S-Scheme WO3/SnIn4S8 Heterojunction for Water Purification: Enhanced Photocatalytic Performance and Mechanism
Abstract
:1. Introduction
2. Results and Discussion
2.1. Structure and Morphology of WSI S-Scheme Heterojunction
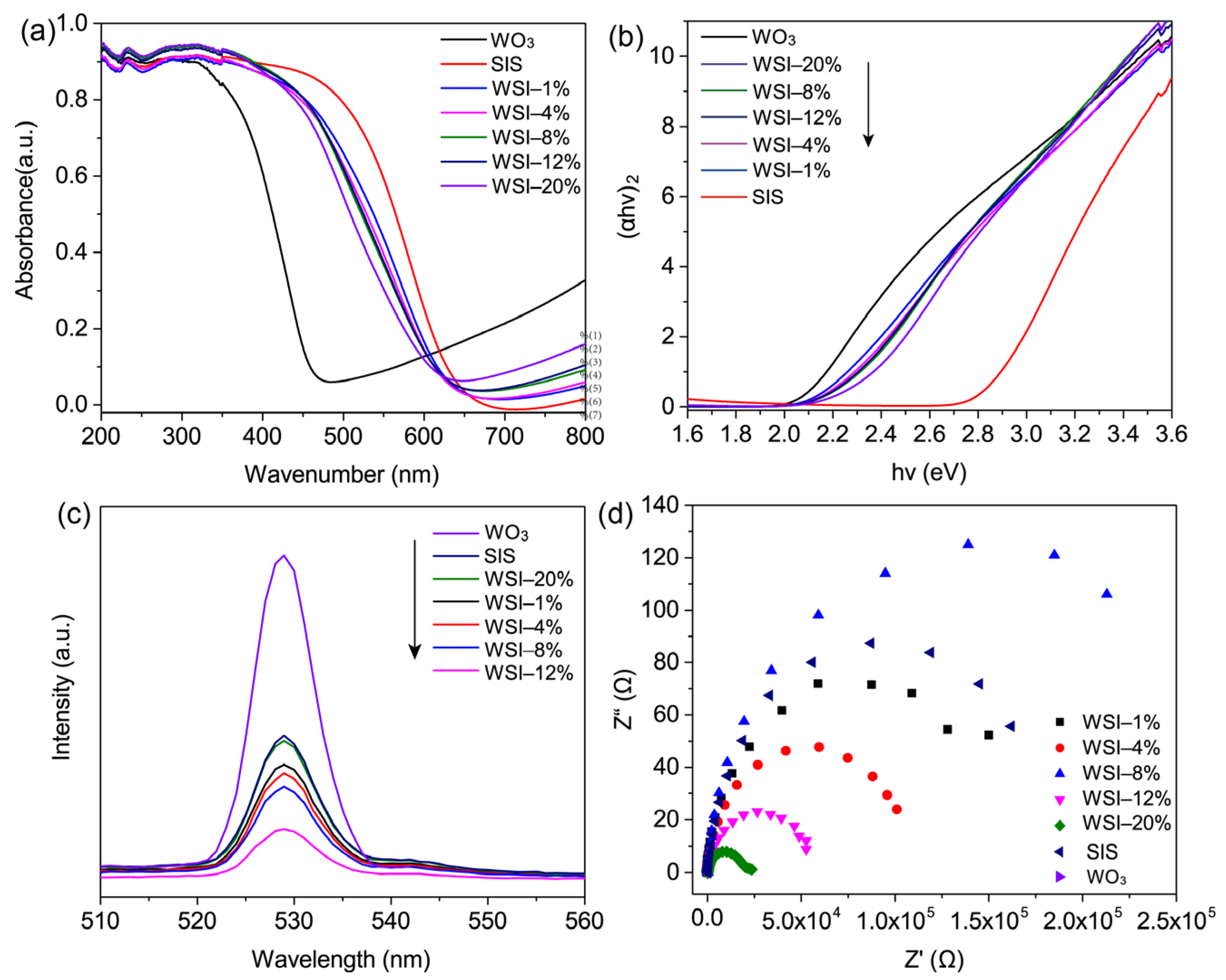
2.2. Optical Properties and Charge Separation Efficiency of WSI S-Scheme Heterojunction
2.3. Photocatalytic Activity of WSI S-Scheme Heterojunction
2.4. Reaction Mechanism
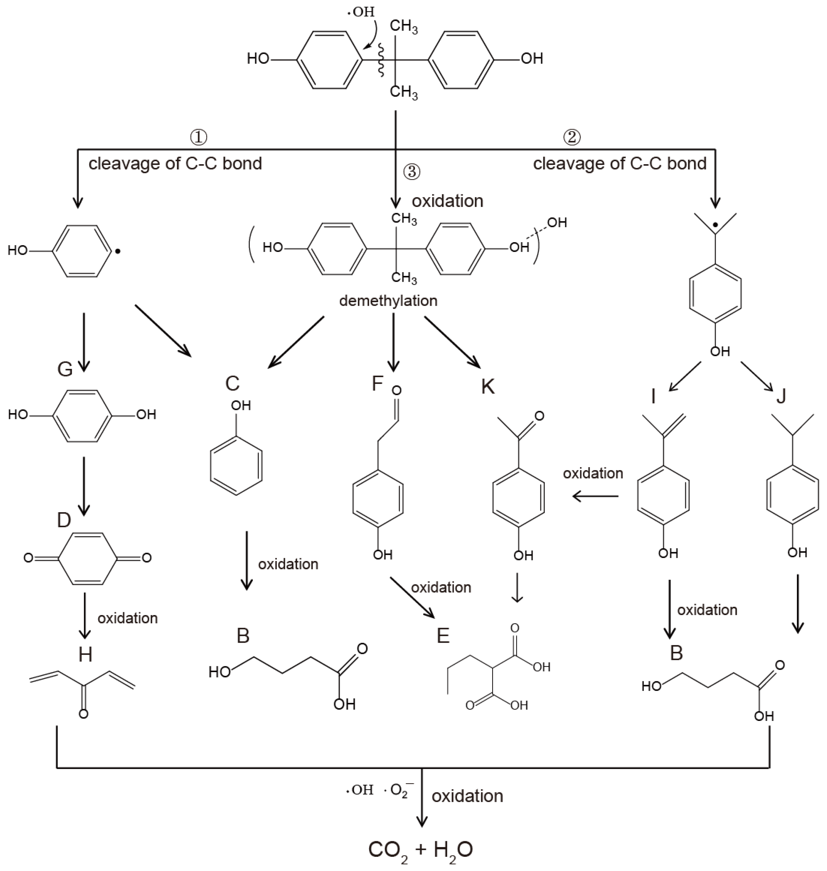
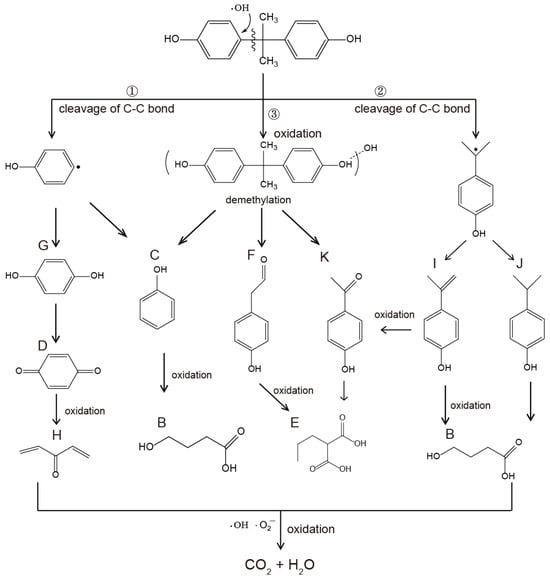
Photocatalytic Degradation Intermediates and Pathway
2.5. S-Scheme Mechanism
3. Materials and Methods
3.1. Synthesis of WSI S-Scheme Heterojunction
3.2. Characterization of WSI S-Scheme Heterojunction
3.3. Photocatalytic Experiment
4. Conclusions
Supplementary Materials
Author Contributions
Funding
Data Availability Statement
Conflicts of Interest
References
- Petrie, B.; Barden, R.; Kasprzyk-Hordern, B. A review on emerging contaminants in wastewaters and the environment: Current knowledge, understudied areas and recommendations for future monitoring. Water Res. 2015, 72, 3–27. [Google Scholar] [CrossRef] [PubMed]
- Sun, Y.; Xu, L.; Jin, P.K.; Bai, X.; Jin, X.; Shi, X. Simultaneous removal of colorless micropollutants and hexavalent chromium by pristine TiO2 under visible light: An electron transfer mechanism. Chem. Eng. J. 2021, 405, 11. [Google Scholar] [CrossRef]
- Fellahi, O.; Barras, A.; Fan, G.H.; Coffinier, Y.; Hadjersi, T.; Maamache, M.; Szunerits, S.; Boukherroub, R. Reduction of Cr(VI) to Cr(III) using silicon nanowire arrays under visible light irradiation. J. Hazard. Mater. 2016, 304, 441–447. [Google Scholar] [CrossRef] [PubMed]
- Oh, W.D.; Lok, L.W.; Veksha, A.; Giannis, A.; Lim, T.T. Enhanced photocatalytic degradation of bisphenol A with Ag-decorated S-doped g-C3N4 under solar irradiation: Performance and mechanistic studies. Chem. Eng. J. 2018, 333, 739–749. [Google Scholar] [CrossRef]
- Ben, W.W.; Zhu, B.; Yuan, X.J.; Zhang, Y.; Yang, M.; Qiang, Z.M. Occurrence, removal and risk of organic micropollutants in wastewater treatment plants across China: Comparison of wastewater treatment processes. Water Res. 2018, 130, 38–46. [Google Scholar] [CrossRef] [PubMed]
- Guillossou, R.; Roux, J.L.; Mailler, R.; Vulliet, E.; Morlay, C.; Nauleau, F.; Gasperi, J.; Rocher, V. Organic micropollutants in a large wastewater treatment plant: What are the benefits of an advanced treatment by activated carbon adsorption in comparison to conventional treatment? Pergamon 2019, 218, 1050–1060. [Google Scholar] [CrossRef]
- Park, H.G.; Kim, T.W.; Chae, M.Y.; Yoo, I.K. Activated carbon-containing alginate adsorbent for the simultaneous removal of heavy metals and toxic organics. Process Biochem. 2007, 42, 1371–1377. [Google Scholar] [CrossRef]
- Dos Santos, G.E.D.; Lins, P.V.D.; Oliveira, L.; da Silva, E.O.; Anastopoulos, I.; Erto, A.; Giannakoudakis, D.A.; de Almeida, A.R.F.; Duarte, J.L.D.; Meili, L. Layered double hydroxides/biochar composites as adsorbents for water remediation applications: Recent trends and perspectives. J. Clean Prod. 2021, 284, 19. [Google Scholar] [CrossRef]
- Pan, S.; Li, J.; Noonan, O.; Fang, X.; Wan, G.; Yu, C.; Wang, L. Dual-functional Ultrafiltration Membrane for Simultaneous Removal of Multiple Pollutants with High-performance. Environ. Sci. Technol. 2017, 51, 5098. [Google Scholar] [CrossRef]
- Butkovskyi, A.; Jeremiasse, A.W.; Leal, L.H.; van der Zande, T.; Rijnaarts, H.; Zeeman, G. Electrochemical Conversion of Micropollutants in Gray Water. Environ. Sci. Technol. 2014, 48, 1893–1901. [Google Scholar] [CrossRef]
- Song, X.L.; Ren, C.W.; Zhao, Q.Y.; Su, B.Q. Simultaneous removal of Cr(VI) and triclosan from aqueous solutions through Fe3O4 magnetic nanoscale-activated persulfate oxidation. Chem. Eng. J. 2020, 381, 11. [Google Scholar] [CrossRef]
- Pelaez, M.; Nolan, N.T.; Pillai, S.C.; Seery, M.K.; Falaras, P.; Kontos, A.G.; Dunlop, P.S.M.; Hamilton, J.W.J.; Byrne, J.A.; O’Shea, K.; et al. A review on the visible light active titanium dioxide photocatalysts for environmental applications. Appl. Catal. B-Environ. 2012, 125, 331–349. [Google Scholar] [CrossRef]
- Szilagyi, I.M.; Forizs, B.; Rosseler, O.; Szegedi, A.; Nemeth, P.; Kiraly, P.; Tarkanyi, G.; Vajna, B.; Varga-Josepovits, K.; Laszlo, K.; et al. WO3 photocatalysts: Influence of structure and composition. J. Catal. 2012, 294, 119–127. [Google Scholar] [CrossRef]
- Wang, X.C.; Blechert, S.; Antonietti, M. Polymeric Graphitic Carbon Nitride for Heterogeneous Photocatalysis. ACS Catal. 2012, 2, 1596–1606. [Google Scholar] [CrossRef]
- Wang, Z.Y.; Sim, A.; Urban, J.J.; Mi, B.X. Removal and Recovery of Heavy Metal Ions by Two-dimensional MoS2 Nanosheets: Performance and Mechanisms. Environ. Sci. Technol. 2018, 52, 9741–9748. [Google Scholar] [CrossRef]
- Abdelraheem, W.H.M.; Patil, M.K.; Nadagouda, M.N.; Dionysiou, D.D. Hydrothermal synthesis of photoactive nitrogen- and boron- codoped TiO(2)nanoparticles for the treatment of bisphenol A in wastewater: Synthesis, photocatalytic activity, degradation byproducts and reaction pathways. Appl. Catal. B-Environ. 2019, 241, 598–611. [Google Scholar] [CrossRef]
- Li, S.Y.; Zhang, M.; Qu, Z.H.; Cui, X.; Liu, Z.Y.; Piao, C.C.; Li, S.G.; Wang, J.; Song, Y.T. Fabrication of highly active Z-scheme Ag/g-C3N4-Ag-Ag3PO4(110) photocatalyst photocatalyst for visible light photocatalytic degradation of levofloxacin with simultaneous hydrogen production. Chem. Eng. J. 2020, 382, 13. [Google Scholar] [CrossRef]
- Du, X.Y.; Bai, X.; Xu, L.; Yang, L.; Jin, P.K. Visible-light activation of persulfate by TiO2/g-C3N4 photocatalyst toward efficient degradation of micropollutants. Chem. Eng. J. 2020, 384, 14. [Google Scholar] [CrossRef]
- Low, J.X.; Dai, B.Z.; Tong, T.; Jiang, C.J.; Yu, J.G. In Situ Irradiated X-Ray Photoelectron Spectroscopy Investigation on a Direct Z-Scheme TiO2/CdS Composite Film Photocatalyst. Adv. Mater. 2019, 31, 1802981. [Google Scholar] [CrossRef]
- Fu, J.; Xu, Q.; Low, J.; Jiang, C.; Yu, J. Ultrathin 2D/2D WO3/g-C3N4 step-scheme H2-production photocatalyst. Appl. Catal. B Environ. 2019, 243, 556–565. [Google Scholar] [CrossRef]
- Zhang, L.; Zhang, J.; Yu, H.; Yu, J. Emerging S-Scheme Photocatalyst. Adv. Mater. 2022, 34, e2107668. [Google Scholar] [CrossRef] [PubMed]
- Li, X.; Xiong, J.; Gao, X.; Ma, J.; Chen, Z.; Kang, B.; Liu, J.; Li, H.; Feng, Z.; Huang, J. Novel BP/BiOBr S-scheme nano-heterojunction for enhanced visible-light photocatalytic tetracycline removal and oxygen evolution activity. J. Hazard. Mater. 2020, 387, 121690. [Google Scholar] [CrossRef]
- Wang, W.; Zhao, W.; Zhang, H.; Dou, X.; Shi, H. 2D/2D step-scheme α-Fe2O3/Bi2WO6 photocatalyst with efficient charge transfer for enhanced photo-Fenton catalytic activity. Chin. J. Catal. 2021, 42, 97–106. [Google Scholar] [CrossRef]
- Singh, T.; Mueller, R.; Singh, J.; Mathur, S. Tailoring surface states in WO3 photoanodes for efficient photoelectrochemical water splitting. Appl. Surf. Sci. 2015, 347, 448–453. [Google Scholar] [CrossRef]
- Subrahmanyam, A.; Karuppasamy, A. Optical and electrochromic properties of oxygen sputtered tungsten oxide (WO3) thin films. Sol. Energy Mater. Sol. Cells 2007, 91, 266–274. [Google Scholar] [CrossRef]
- Xu, P.; Huang, S.; Lv, Y.; Chen, Y.; Liu, M.; Fan, H. Surfactant-assisted hydrothermal synthesis of rGO/SnIn4S8 nanosheets and their application in complete removal of Cr(VI). RSC Adv. 2018, 8, 5749–5759. [Google Scholar] [CrossRef]
- Xi, G.; Ye, J.; Ma, Q.; Su, N.; Bai, H.; Wang, C. In Situ Growth of Metal Particles on 3D Urchin-like WO3 Nanostructures. J. Am. Chem. Soc. 2012, 134, 6508–6511. [Google Scholar] [CrossRef]
- Prakash, A.; Dan, M.; Yu, S.; Wei, S.Q.; Li, Y.; Wang, F.; Zhou, Y. In2S3/CuS nanosheet composite: An excellent visible light photocatalyst for H2 production from H2S. Sol. Energy Mater. Sol. Cells 2018, 180, 205–212. [Google Scholar] [CrossRef]
- Wang, C.P.; Zhang, Y.Y.; Li, Y.S.; Zhang, Y.; Dong, Y.T.; Li, D.; Zhang, J.M. Construction of uniform SnS2/ZnS heterostructure nanosheets embedded in graphene for advanced lithium-ion batteries. J. Alloys Compd. 2020, 820, 7. [Google Scholar] [CrossRef]
- Li, Q.; Xia, Y.; Yang, C.; Lv, K.L.; Lei, M.; Li, M. Building a direct Z-scheme heterojunction photocatalyst by ZnIn2S4 nanosheets and TiO2 hollowspheres for highly-efficient artificial photosynthesis. Chem. Eng. J. 2018, 349, 287–296. [Google Scholar] [CrossRef]
- Katherine, V.; Sebastián, M.; Joan Ramón, M.; Teresa, A. An insight on the role of La in mesoporous WO3 for the photocatalytic conversion of methane into methanol. Appl. Catal. B Environ. Int. J. Devoted Catal. Sci. Its Appl. 2016, 180, 30–36. [Google Scholar]
- Lee, G.Y.; Cho, E.C.; Lo, P.Y.; Zheng, J.H.; Huang, J.H.; Chen, Y.L.; Lee, K.C. Simultaneous formation of Bi2O2(OH)(NO3)/BiOBr ultrathin hierarchical microspheres for effectively promoting visible-light-driven photocatalytic activity in environmental remediation. Chemosphere 2020, 258, 127384. [Google Scholar] [CrossRef]
- An, L.; Park, Y.; Sohn, Y.; Onishi, H. Effect of Etching on Electron–Hole Recombination in Sr-Doped NaTaO3 Photocatalysts. J. Phys. Chem. C 2015, 119, 28440–28447. [Google Scholar] [CrossRef]
- Li, Y.B.; Jin, Z.L.; Wang, H.Y.; Zhang, Y.P.; Liu, H. Effect of electron-hole separation in MoO3@Ni2P hybrid nanocomposite as highly efficient metal-free photocatalyst for H2 production. J. Colloid Interface Sci. 2019, 537, 629–639. [Google Scholar] [CrossRef]
- Ren, H.; Li, J.; Ma, Z.; Wan, H.; Zheng, X.; Cheng, S. Use of three-dimensional excitation and emission matrix fluorescence spectroscopy for predicting the disinfection by-product formation potential of reclaimed water. Water Res. 2012, 46, 5765–5776. [Google Scholar]
- Zhao, G.; Sun, Y.; Zhao, Y.; Wen, T.; Wang, X.; Chen, Z.; Sheng, G.; Chen, C.; Wang, X. Enhanced Photocatalytic Simultaneous Removals of Cr(VI) and Bisphenol A over Co(II)-Modified TiO2. Langmuir ACS J. Surf. Colloids 2019, 35, 276–283. [Google Scholar] [CrossRef]
- Maroto, A.; Kissingou, P.; Diascorn, A.; Benmansour, B.; Deschamps, L.; Stephan, L.; Giamarchi, C.P. Direct laser photo-induced fluorescence determination of bisphenol A. Anal. Bioanal. Chem. 2011, 401, 3011–3017. [Google Scholar] [CrossRef]
- Gao, S.W.; Guo, C.S.; Lv, J.P.; Wang, Q.; Zhang, Y.; Hou, S.; Gao, J.F.; Xu, J. A novel 3D hollow magnetic Fe3O4/BiOI heterojunction with enhanced photocatalytic performance for bisphenol A degradation. Chem. Eng. J. 2017, 307, 1055–1065. [Google Scholar] [CrossRef]
- Kanigaridou, Y.; Petala, A.; Frontistis, Z.; Antonopoulou, M.; Solakidou, M.; Konstantinou, I.; Deligiannakis, Y.; Mantzavinos, D.; Kondarides, D.I. Solar photocatalytic degradation of bisphenol A with CuOx/BiVO4: Insights into the unexpectedly favorable effect of bicarbonates. Chem. Eng. J. 2017, 318, 39–49. [Google Scholar] [CrossRef]










| Photocatalyst | Reaction Rate Constants (k)/min−1 | |
|---|---|---|
| BPA | Cr(VI) | |
| SIS | 0.0557 | 0.6432 |
| WO3 | 0.0852 | 0.1494 |
| WSI-1% | 0.0780 | 0.7482 |
| WSI-4% | 0.1339 | 0.7728 |
| WSI-8% | 0.1614 | 0.8970 |
| WSI-12% | 0.2135 | 0.9834 |
| WSI-20% | 0.1853 | 0.5772 |
Disclaimer/Publisher’s Note: The statements, opinions and data contained in all publications are solely those of the individual author(s) and contributor(s) and not of MDPI and/or the editor(s). MDPI and/or the editor(s) disclaim responsibility for any injury to people or property resulting from any ideas, methods, instructions or products referred to in the content. |
© 2023 by the authors. Licensee MDPI, Basel, Switzerland. This article is an open access article distributed under the terms and conditions of the Creative Commons Attribution (CC BY) license (https://creativecommons.org/licenses/by/4.0/).
Share and Cite
Xu, P.; Zhang, R.; Gong, J.; Luo, Y.; Zhuang, Y.; Zhang, P. S-Scheme WO3/SnIn4S8 Heterojunction for Water Purification: Enhanced Photocatalytic Performance and Mechanism. Catalysts 2023, 13, 1450. https://doi.org/10.3390/catal13111450
Xu P, Zhang R, Gong J, Luo Y, Zhuang Y, Zhang P. S-Scheme WO3/SnIn4S8 Heterojunction for Water Purification: Enhanced Photocatalytic Performance and Mechanism. Catalysts. 2023; 13(11):1450. https://doi.org/10.3390/catal13111450
Chicago/Turabian StyleXu, Pingfan, Runqiu Zhang, Jiarong Gong, Yaofa Luo, Yihua Zhuang, and Peikun Zhang. 2023. "S-Scheme WO3/SnIn4S8 Heterojunction for Water Purification: Enhanced Photocatalytic Performance and Mechanism" Catalysts 13, no. 11: 1450. https://doi.org/10.3390/catal13111450
APA StyleXu, P., Zhang, R., Gong, J., Luo, Y., Zhuang, Y., & Zhang, P. (2023). S-Scheme WO3/SnIn4S8 Heterojunction for Water Purification: Enhanced Photocatalytic Performance and Mechanism. Catalysts, 13(11), 1450. https://doi.org/10.3390/catal13111450
