Abstract
Non-heme manganese(II) complexes [(IndH)MnIICl2] (1) and [(N4Py*)MnII(CH3CN)](ClO4)2 (2) with tridentate isoindoline and pentadentate polypyridyl ligands (IndH = 1,3-bis(2′-pyridylimino)isoindoline; N4Py* = N,N-bis(2-pyridylmethyl)-1,2- di(2-pyridyl)ethylamine) proved to be suitable to catalyze the oxidative demethylation of N,N-dimethylaniline (DMA) with various oxidants such as tert-butyl hydroperoxide (TBHP), peracetic acid (PAA), and meta-chloroperoxybenzoic acid (mCPBA), resulting N-methylaniline (MA) as a main product with N-methylformanilide (MFA) as a result of a free-radical chain process under air. The effect of electron-donating and electron-withdrawing substituents on the aromatic ring on the relative reactivity of the substrates and on the product composition (MA/MFA) was also studied and showed a significant impact on the catalytic N-demethylation reaction. Based on the Hammett correlation with ρ = −0.38 (PAA), −0.45 (mCPBA), and −0.63 (TBHP) for 1 and ρ = −0.38 (PAA) and −0.37 (mCPBA) for 2, an electrophilic intermediate is suggested as the key oxidant. Furthermore, the spectral investigation (UV-Vis) resulted in direct evidence for the formation of a high-valent oxomanganese(IV) and a transient radical cation intermediate, p-Me-DMA•+, suggesting that the initial step in the manganese-catalyzed oxidations is a fast electron-transfer between the amine and the high valent oxometal species. The mechanisms of the subsequent steps are discussed.
1. Introduction
Metalloenzymes such as copper proteins, non-heme iron proteins, and hemoproteins (peroxidases and P450s) catalyze oxidation of N,N-dialkylamines resulting in (usually) an unstable carbinolamine as hydroxylated product, which decomposes into amine and a carbonyl derivative [1,2]. N-dealkylation reactions play significant roles in several biological processes from DNA repair to the detoxification and metabolism of a variety of xenobiotics, for example, tertiary-amine-containing drugs [3,4,5,6,7,8,9]. The mechanistic details of the N-dealkylation, for example, may provide certain insights into the P450-mediated metabolism of various toxins such as 1-methyl-4-phenyl- 1,2,3,6-tetrahydropyridine (MPTP) as a neurotoxic byproduct of heroin synthesis, which is able to induce a Parkinson-like syndrome in humans [10]. At least four mechanisms are possible for the hemoproteins, including a single-electron transfer (SET) preceding deprotonation (PT) mechanism and/or Cα-H abstraction via direct hydrogen atom transfer (HAT) [11,12,13,14,15,16,17,18]. SET is generally accepted for peroxidases (e.g., horseradish peroxidase, HRP) [19,20]; however, direct HAT has been considered for cytochrome P450 enzymes [17,18,21].
Efforts have been made to elucidate and compare the mechanisms of these enzymes by the use of synthetic biomimics, including both catalytic and stoichiometric systems as functional models. Iron salts, FeCl3, Fe(ClO4)3, and iron(II, III) complexes with bidentate bipyridine, tetradentate porphyrin, and pentadentate N4Py* ligands have been used as catalysts with O2 and various oxidants such as iodosobenzene (PhIO), peracids (peracetic acid, PAA; meta-chloroperoxybenzoic acid, mCPBA) and H2O2 [22,23,24,25,26,27]. It was shown that the selectivity and the product composition (the ratio of N-methylaniline (MA) to N-methylformanilide (MFA)) depends on the electron density on the substrate and the nature of the oxidants. N-methylformanilide is an important intermediate in the Vilsmeier synthesis [28,29]. Since high-valent metal-oxo intermediates have been proposed to be key species in heme and non-heme enzymes as well as in their structural and functional models, efforts have been made to investigate and compare the mechanism of well-defined, fully-characterized oxoiron(IV)- and oxomanganese(IV)-mediated N-dealkylation reactions. Recent studies, including [(N4Py)FeIV(O)]2+ (N4Py = N,N-bis(2-pyridylmethyl)-N-bis(2-pyridyl)methylamine), [(N4Py*)FeIV(O)]2+, [(TMC)FeIV(O)]2+ (TMC = 1,4,8,11-tetramethyl-1,4,8,11-tetraazacyclotetradecane), and [(TPFPP)FeIV(O)]2+ (TPFPP = meso-tetrakis(pentafluorophenyl)-porphinato dianion) complexes proposed an electron-transfer/proton-transfer (ET-PT) mechanism, but no direct evidence was found for the formation of the transient aminium radical cation [27,30,31]. However, thermodynamic and kinetic data of [(Bn-TPEN)MnIV(O)]2+ (Bn-TPEN = N-benzyl-N,N′,N′-tris(2-pyridylmethyl)-1,2-diaminoethane) have shown that oxomanganese(IV) complex is a much stronger one-electron oxidant than its oxoiron(IV) analogue, and the transient radical intermediate p-Me-DMA●+ could be detected in the demethylation reaction of p-Me-DMA, resulting in only p-Me-MA without formation of 4-Me-MFA [32].
As a continuation of these investigations, our goal is to develop new highly efficient and highly selective catalytic systems that include manganese-polypyridyl catalysts. Herein, we are going to explore the catalytic reactivity of the [MnII(IndH)Cl2] (1) (IndH = 1,3-bis(2′-pyridylimino)isoindoline) [33] and [(N4Py*)MnII(CH3CN)](ClO4)2 (2) complexes for N-dealkylation reactions using various co-oxidants such as TBHP, PAA, and mCPBA [34] (Scheme 1).
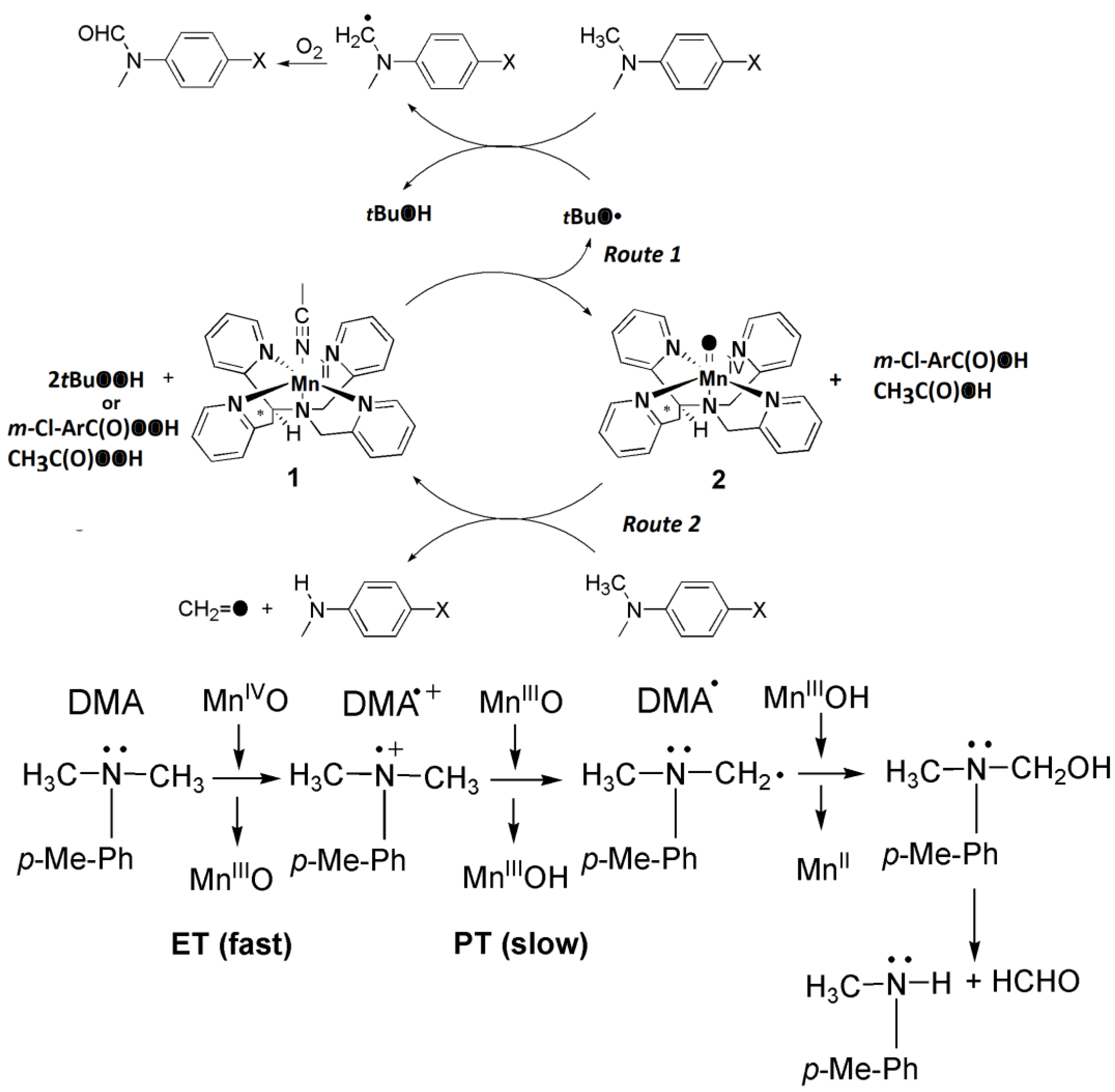
Scheme 1.
Structural formulae for the complexes used in the catalytic oxidation of N,N-dimethylanilines.
These ligands are strongly electron-donating and resistant to oxidation; furthermore, the abovementioned systems are accountable for a broad range of oxidative transformations. Recent advancements established metal–isoindoline complexes as versatile and tunable catalysts, such as catalase [34,35,36], catechol oxidase [37], superoxide dismutase [38], and phenoxazinone synthases [37] for attractive applications in the field of enzyme modeling, and they can also be used as cheap and highly efficient bleaching [39] and oxidation catalysts for selective oxidation of organic sulfides and benzyl alcohols [40], although the structure of the active species in these systems is mostly unclear [41]. Previous studies have shown that iron and manganese polypyridyl complexes are coordinatively stable both in lower and higher oxidation states, and various types of polypyridyl complexes of oxoiron(IV) and oxomanganese(IV) can be used as efficient stoichiometric oxidants toward various organic substrates by oxygen atom transfer (OAT), electron transfer/proton transfer (ET-PT), hydrogen atom transfer (HAT), and electron-transfer (ET) reactions [42,43,44,45,46,47,48,49]. Taking this into account, we chose the [(N4Py*)MnII(CH3CN)](ClO4)2 (2) [34], where the structure of the active species, [(N4Py*)MnIV(O)](ClO4)2 (3), is already spectroscopically characterized, which can help in describing a plausible mechanism for Mn-based oxidative N-dealkylation reactions.
2. Results and Discussion
Based on previous results, it can be said that 1,3-bis(2′-pyridylimino)isoindoline, as an open-chained phthalocyanine mimic, is a suitable candidate for the synthesis of efficient and selective oxidative catalysts. Similar to iron- and manganese-containing porphyrin and phthalocyanine complexes [50,51,52,53,54], iron and manganese isoindoline complexes can also be used for a wide range of oxidation reactions. For example, the 1,3-bis(2′-pyridylimino)isoindolinato manganese(II) complex, [MnII(IndH)Cl2] (1) was found to efficiently catalyze the mild oxidation of organic sulfides and benzyl alcohols with mCPBA. In this study we investigated the catalytic activity of [MnII(IndH)Cl2] (1) and [(N4Py*)MnII(CH3CN)](ClO4)2 (2) complexes, where the possible reactive high-valent intermediate (MnIVO, 3) is known and spectroscopically well characterized for the oxidation of N,N-dimethylanilines with various oxidants. These results are also compared to the recently published [(N4Py*)FeII(CH3CN)](ClO4)2-containing system [27].
To obtain insight into the mechanism of the manganese-catalyzed oxidative N-demethylation reaction, the catalytic activity and selectivity of complexes 1 and 2 were investigated in the oxidation of DMA derivatives (Scheme 1) using TBHP, PAA, and mCPBA oxidants compared to each other and to the corresponding MnII(ClO4)2/co-oxidant system (Table 1 and Figure 1). The oxidants were added by syringe to avoid the over-oxidized products. Based on preliminary measurements, reactions were carried out at 30°C under standard conditions (1:100:100 for the catalyst:DMA: oxidant). In the first round, it can be established that the catalytic activity of the manganese salt MnII(ClO4)2 is negligible. Regardless of the oxidant used, only small amounts of products were observed (overall yields (the sum of both MA and MFA) are from 0.7 to 2.8%). A somewhat larger but not significant increase in activity was found for Mn(OAc)2 with 14% yield. In contrast, much higher activity was observed for both complexes but without remarkable differences. The complex 1 with mCPBA oxidizes DMA to MA and MFA, and a turnover number (TON) of 40.0 and 11.2 was obtained with an overall yield of 51.2%, and there was a decrease in the overall yield when the oxidants employed were mCPBA, PAA, and TBHP (from 51.2% to 30.7%), albeit with moderate product selectivity based on MA/MFA ratios (3.6, 3.0, and 3.2 for mCPBA, PAA, and TBHP, respectively). The significant differences between the MnII/mCPBA and MnII/TBHP systems can be explained by the different pKa value of the co-oxidants (The pKa values for mCPBA/mCPBA− and tBuO−/tBuOH are 3.8 and 19.2, respectively.), which correlates with the rate of the MnIV(O) formation (MnII + HO-B → MnII-O-B + H+ → MnIV(O) + B−) during the catalytic reaction. Low yields were obtained for H2O2, probably due to the significant catalase-like activity of 1 and 2 [33,34]. Almost identical trends and values were observed for complex 2 (from 47.8% to 22.6% with a similar MA to MFA ratio (2.9, 2.6, and 2.3 for mCPBA, PAA, and TBHP, respectively)). The relatively low MA/MFA ratio indicates the presence of an autoxidation process, which can be interpreted by the reaction of the DMA● (PhN(Me)CH2●) radical with dioxygen, resulting in the formation of equimolar amounts of PhN(Me)CH2OH and PhN(Me)CHO and finally MA and CH2O via Russel-type termination mechanism (Scheme 2 and Route 1 in Scheme 3).
Table 1.
Manganese-catalyzed oxidative demethylation of N,N-dimethylanilines with various oxidants under air and argon.
Figure 1.
Manganese-catalyzed (Mn(ClO4)2 vs. 1 and 2) oxidative demethylation of N,N-dimethylaniline (ΣYield, red) to N-methylaniline (MA, green) and N-methylformanilide (MFA, purple) with various oxidants in CH3CN at 30 °C under air (Ar).
Scheme 2.
Proposed mechanism for the Russel-type termination mechanism.
Scheme 3.
Proposed mechanism for the manganese(II)-catalyzed N-demethylation reaction.
Moreover, the reaction of the cage-escaped radical with dioxygen is also conceivable and also leads to MFA (Scheme 2 and Route 1 in Scheme 3). Repeating the reaction in the presence of 2 under argon, we did not observe formation of MFA, which is consistent with our hypothesis above (Route 2 in Scheme 3). The same behavior has been observed for the [(N4Py*)FeII(CH3CN)](ClO4)2-catalyzed oxidation of DMAs under similar conditions [27].
The effect of electron-donating and electron-withdrawing substituents on the aromatic ring on the relative reactivity of the substrates and on the product composition (MA/MFA) has also been studied and showed a significant impact on the catalytic N-demethylation reaction. DMAs with electron-donating groups (e. g., Me) on the phenyl ring gave better yields (60% for 1/PAA (Figure 2a, and Table 1) and 57% for 1/mCPBA (Figure 2b, and Table 1)) and selectivity than those with electron-withdrawing groups (e. g., CN, 34% (Figure 2a, and Table 1) and 30%, (Figure 2b, and Table 1), respectively), suggesting an electrophilic metal-based oxidant. Similar trends but slightly lower yields were observed for 2/PAA (Figure 3a, and Table 1) and 2/mCPBA (Figure 3b, and Table 1).
Figure 2.
Manganese-catalyzed (1) oxidative demethylation of p-substituted N,N-dimethylanilines to N-methylaniline (MA, green) and N-methylformanilide (MFA, purple) derivatives with PAA (a) and mCPBA (b) oxidants in CH3CN at 30 °C under air (Table 1).
Figure 3.
Manganese-catalyzed (2) oxidative demethylation of p-substituted N,N-dimethylanilines to N-methylaniline (MA, green) and N-methylformanilide (MFA, purple) derivatives with PAA (a) and mCPBA (b) oxidants in CH3CN at 30 °C under air (Table 1).
The reactivities of para-substituted N,N-dimethylanilines (4R-DMA) relative to that of DMA were also investigated (Figure 4 and Figure 5). It was found that anilines with Hammett treatments of relative reactivities (krel = log(Xf/Xi)/log(Yf/Yi), where Xi and Xf are the initial and final concentration of para-substituted N,N-dimethylanilines, and Yi and Yf are the initial and final concentration of DMA) of various substituents against σ gave ρ values of −0.38 (PAA), −0.45 (mCPBA), and −0.63 (TBHP) for 1 (Figure 4a) and ρ = −0.38 (PAA), −0.37 (mCPBA) for 2 (Figure 5a), which suggests that the behavior of the oxidants generated from 1 and 2 is mildly electrophilic. When the logkrel values were plotted against the E0ox potentials of para-substituted DMAs, the plot gave, a gradient of −0.38 (PAA), −0.45 (mCPBA), and −0.63 (TBHP) for 1 (Figure 4b) and ρ = −0.67 (PAA), −0.66 (mCPBA) for 2 (Figure 5b). The magnitude of these values may be consistent with an ET mechanism.
Figure 4.
Manganese-catalyzed (1) oxidation of p-substituted N,N-dimethylanilines with PAA (red), mCPBA (green), and TBHP (black) oxidants in CH3CN at 30 °C under air (Table 1): (a) Hammett plots of logkrel against the σp of para-substituted DMAs; (b) plots of logkrel against the E°ox of para-substituted DMAs.
Figure 5.
Manganese-catalyzed (2) oxidation of p-substituted N,N-dimethylanilines with PAA (black) and mCPBA (green) oxidants in CH3CN at 30 °C under air (Table 1): (a) Hammett plots of logkrel against the σp of para-substituted DMAs; (b) plots of logkrel against the E°ox of para-substituted DMAs.
The product composition (MA/MFA) is also significantly influenced by the electron density on the DMA (from 2.09 to 4.13 for 1/PAA and 2.0 to 4.18 for 2/PAA (Figure 6a); from 2.0 to 4.18 for 1/mCPBA and 1.58 to 3.3 for 2/mCPBA (Figure 6b); and from 1.21 to 3.3 for 1/TBHP (Figure 7a,b)).
Figure 6.
Manganese-catalyzed (1 and 2) oxidation of p-substituted N,N-dimethylanilines with PAA and mCPBA oxidants in CH3CN at 30 °C under air (Table 1): (a) Plots of MA to MFA ratios against the σp of para-substituted DMAs with 1/PAA (black) and 2/PAA (green); (b) plots of MA to MFA ratios against the σp of para-substituted DMAs with 1/mCPBA (black) and 2/mCPBA (green).
Figure 7.
Manganese-catalyzed (1) oxidative demethylation of N,N-dimethylaniline (ΣYield, red) to N-methylaniline (MA, green) and N-methylformanilide (MFA, purple) with various oxidants in CH3CN at 30 °C under air (Ar) (Table 1): (a) Comparison of the product formation (ΣYield, red) in the manganese-catalyzed (1) oxidation of p-substituted N,N-dimethylanilines to N-methylaniline (MA, green) and N-methylformanilide (MFA, blue) derivatives; (b) plot of MA to MFA ratios against the σp of para-substituted DMAs with 1/TBHP.
Our previous results, based on spectroscopic measurements, showed that the in-situ-formed high-valent [(N4Py*)FeIV(O)]2+ is capable of mediating the oxidative demethylation reaction of the substituted DMA derivatives to the corresponding MA products, but no direct evidence was observed for the formation of transient radical cation intermediate p-Me-DMA+•, which can be explained by the rate-determining ET step. In order to better understand the mechanism of the metal-catalyzed oxidative N-dealkylation reaction and to compare the iron- and manganese-containing systems, we synthesized the analogous oxomanganese(IV) complex [(N4Py*)MnIV(O)]2+ (3) [34] and investigated its reaction with p-Me-DMA via UV-Vis measurements. In contrast to the iron-containing system, the reaction of the in-situ-formed oxomanganese(IV) with p-Me-DMA resulted in the immediate generation of a transient absorption band at λmax = 460 nm (Figure 8a), which can be assigned to the formation of the transient radical cation intermediate p-Me-DMA+• [32]. This band shows a spontaneous increase for 8–10 s, then merges into a new, intense band (540 nm). The formation of the characteristic band at 460 nm is accompanied by a decrease in the absorption band at 944 nm, which can be assigned to the oxomanganese(IV) (3) species [34,55,56,57,58,59]. The new intense absorption in the range of 544 nm indicates a complexation and charge-transfer (CT)-type interaction between the oxidant and the substrate, although its nature is not known. Based on these results, the reaction can be described by a fast electron-transfer (ET) from DMA to 2, followed by slower proton transfer (PT) step from p-Me-DMA+• to [(N4Py*)MnIII(O)]+ (Route 2 in Scheme 3), similar to the [(Bn-TPEN)MnIV(O)]2+/p-Me-DMA system [32].
Figure 8.
UV-Vis spectral changes during the oxomanganese(IV)-mediated oxidation of p-Me-DMA: (a) Stoichiometric oxidation of p-Me-DMA (30 mM) with [(N4Py*)MnIV(O)]2+ (generated in situ by the reaction of 2 (3 mM) with 5 equivalents of PhIO in CF3CH2OH-CH3CN (1:1 v/v) at 0 °C [34]); (b) UV-Vis spectral changes of 1 (0.5 mM) in the presence of p-Me-DMA (15 mM) upon addition of mCPBA (5 mM) in CH3CN at 10 °C.
Finally, the UV-Vis experiments in the presence of p-Me-DMA under catalytic conditions (1/m-CPBA/p-Me-DMA = 1:10:30) also confirmed the formation of MnIV(O) species (λmax = 764 nm) and that the substrate, DMA, affects its decay (Figure 8b). The λmax value is similar to that was observed for [(Bn-TPEN)MnIV(O)]2+ (λmax = 725 nm) [32]. Unfortunately, due to the intense absorptions appearing in the range of 400–500 nm, in this case, we did not find evidence for the formation of the p-Me-DMA+• radical here.
3. Materials and Methods
3.1. Materials and Methods
The ligands 1,3-bis(2′-pyridylimino)isoindoline (indH), and N,N-bis(2-pyridylmethyl)-1,2-di(2-pyridyl)ethylamine (N4Py*) and their complexes [MnII(indH)(ClO4)2] (1) and [(N4Py*)MnII(CH3CN)](ClO4)2 (2) were synthesized according to published procedures [33,34], respectively, under a pure argon atmosphere using standard Schlenk-type inert-gas techniques. Solvents used for the reactions were dried according to published procedures and stored under argon. All chemicals and starting materials for the ligand synthesis were obtained from Sigma Aldrich.
UV-visible spectra were recorded on an Agilent 8453 diode-array spectrophotometer using quartz cells. IR spectra were recorded using a Thermo Nicolet Avatar 330 FT-IR instrument (Thermo Nicolet Corporation, Madison, WI, USA). Samples were prepared in the form of KBr pellets. GC analyses were performed on an Agilent 6850 (Budapest, Hungary) gas chromatograph equipped with a flame ionization detector and a 30 m HP-5MS column. GC-MS analyses were carried out on Shimadzu QP2010SE (Budapest, Hungary) equipped with a secondary electron multiplier detector with conversion dynode and a 30 m HP5MS column. Microanalyses elemental analysis was performed by the Microanalytical Service of the University of Pannonia.
3.2. Description of the Catalytic Oxidation of N,N-Dimethylaniline under Air (Ar)
Due to the comparison of iron and manganese-containing systems, the reactions were carried out according to the previously published iron-containing systems [27]. In a typical reaction, 1 mL of mCPBA (77%), PAA (diluted from 38–40% solution) or TBHP (diluted from 70% solution) solution in CH3CN was delivered by syringe pump in 20 min under air (or Ar) to a stirred solution (2 mL) of catalyst 1, 2, or salts Mn(ClO4)2, Mn(OAc)2, and p-substituted DMAs inside a vial. The final concentrations were 3 mM catalyst, 300 mM co-oxidant, and 300 mM substrate. Product analysis was performed by injecting the resulting solutions into GC and GC/MS: N-methylaniline (MA), base peak m/z 106 (100%), 79.10 (31.31%), 77 (51.66%), 65 (24.13%), 51 (42.05%), 50 (21.68%), 39 (33.25%), 38 (12.04%); N-methylformanilide (MFA), m/z 136 (42.9%), 106 (100%), 77 (65.97%), 66 (31.38%), 65 (24.13%), 51 (38.15%), 39 (35.77%). The HCHO was identified as 2,4-dinitrophenylhydrazone by GC/MS (M+ = 210). The yields were determined by comparison against standard curves prepared with authentic samples, using bromobenzene as an internal standard.
3.3. Reaction of Oxomanganese(IV) Compex with N,N-Dimethylaniline under Air
Oxomanganese(IV) complex, [(N4Py*)MnIV(O)](ClO4)2 (3) was prepared by reacting [(N4Py*)MnII(CH3CN)](ClO4)2 (2) (3 mM) with 5 equivalents of PhIO in a 1 cm UV cuvette in CF3CH2OH-CH3CN (2 mL, 1:1 v/v) at 0 °C, [34]. The appropriate amounts of DMA were added into the UV cuvette, and spectral changes of the oxomanganese(IV) (3) and the forming p-Me-DMA+• radical cation at 944 and 460 nm, respectively, were directly monitored with a UV-Vis spectrophotometer. The p-Me-MA was identified by GC/MS (M+ = 125).
4. Conclusions
Based on the obtained results, it can be said that manganese complexes [MnII(indH)(ClO4)2] (1) and [(N4Py*)MnII(CH3CN)](ClO4)2 (2) with various co-oxidants such as PAA, mCPBA, and TBHP catalyze the oxidative N-demethylation reaction of N,N-dimethylanilines with different reactivity and selectivity depending on the conditions used. When the reaction was carried out under argon, the catalytic activity was moderate, but it proved to be selective, producing only MA as a product (Route 2 in Scheme 3). However, when the reaction was carried out under air, in addition to the main product MA, the formation of MFA was also detected (Scheme 2 and Route 1 in Scheme 3). The ratio of products depends on the nature of the co-oxidants, and the substituent on the substrate. Based on Hammett correlation for para-substituted DMA derivatives, electrophilic high-valent oxomanganese(IV) intermediate formation and the ET-PT mechanism were proposed for the N-demethylation process. The detection of the p-Me-DMA+• radical in the stoichiometric and catalytic reaction is also consistent with the proposed (one-electron transfer) mechanism above (Scheme 3). In conclusion, it can be said that the investigated system can be considered as a functional model of heme-containing peroxidase enzymes.
Author Contributions
Resources, B.I.M., D.L.-B. and P.T.; writing—original draft preparation and supervision, J.K. All authors have read and agreed to the published version of the manuscript.
Funding
This research received no external funding.
Data Availability Statement
Not applicable.
Acknowledgments
Financial support of the Hungarian National Research, Development and Innovation Fund, OTKA K142212 (J.K.), and ÚNKP-22-3 (P.T.) New National Excellence Program of the Ministry for Culture and Innovation are gratefully acknowledged.
Conflicts of Interest
The authors declare no conflict of interest.
References
- Guengerich, F.P. Enzymatic oxidation of xenobiotic chemicals. Crit. Rev. Mol. Biol. 1990, 25, 97–153. [Google Scholar]
- Hawkins, B.K.; Dawson, J.H. Intrasubstituent isotope effect studies of oxidative N-demethylations catalyzed by secondary amine monooxygenase. Comparison to cytochrome P-450. J. Am. Chem. Soc. 1992, 114, 3547–3549. [Google Scholar] [CrossRef]
- Guengerich, F.P. Reactions and significance of cytochrome P-450 enzymes. J. Biol. Chem. 1991, 266, 10019–10022. [Google Scholar] [CrossRef] [PubMed]
- Guengerich, F.P.; Macdonald, L.T. Chemical mechanisms of catalysis by cytochromes P-450: A unified view. Acc. Chem. Res. 1984, 17, 9–16. [Google Scholar] [CrossRef]
- Porter, T.D.; Coon, M.J. Cytochrome P-450. Multiplicity of isoforms, substrates, and catalytic and regulatory mechanisms. J. Biol. Chem. 1991, 266, 13469–13472. [Google Scholar] [CrossRef] [PubMed]
- Hollenberg, P.F. Mechanisms of cytochrome P450 and peroxides-catalyzed xenobiotic metabolism. FASEB J. 1992, 6, 686–694. [Google Scholar] [CrossRef]
- Hanzlik, R.P.; Ling, K.-H.J. Active site dynamics of xylene hydroxylation by cytochrome P-450 as revealed by kinetic deuterium isotope effects. J. Am. Chem. Soc. 1993, 115, 9363–9370. [Google Scholar] [CrossRef]
- Newcomb, M.; Shen, R.; Choi, S.-Y.; Toy, P.H.; Hollenberg, P.F.; Vaz, A.D.M.; Coon, J. Cytochrome P450-Catalyzed Hydroxylation of Mechanistic Probes that Distinguish between Radicals and Cations. Evidence for Cationic but Not for Radical Intermediates. J. Am. Chem. Soc. 2000, 122, 2677–2686. [Google Scholar]
- Toy, P.H.; Newcomb, M.; Hollenberg, P.F. Hypersensitive Mechanistic Probe Studies of Cytochrome P450-Catalyzed Hydroxylation Reactions. Impications for the Cationic Pathway. J. Am. Chem. Soc. 1998, 120, 7719–7729. [Google Scholar]
- Li, X.-X.; Wang, Y.; Zheng, Q.-C.; Zhang, H.-X. detoxification of 1-methyl-4-phenyl-1,2,3,6-tetrahydropyridine (MTPT) by cytochrome P450 enzymes: A theoretical investigation. J. Inorg. Biochem. 2016, 154, 21–28. [Google Scholar] [CrossRef]
- Macdonald, L.T.; Zirvi, K.; Burka, L.T.; Peyman, P.; Guengerich, F.P. Mechanism of cytochrome P-450 inhibition by cyclopropylamines. J. Am. Chem. Soc. 1982, 104, 2050–2052. [Google Scholar] [CrossRef]
- Stearns, R.A.; Ortiz de Montillano, P.R. Cytochrome P-450 catalyzed oxidation of quadriclane. Evidence for a radical cation intermediate. J. Am. Chem. Soc. 1985, 107, 4081–4082. [Google Scholar] [CrossRef]
- Augusto, O.; Beilan, H.S.; Ortiz de Montillano, P.R. The catalytic mechanism of cytochrome P-450. Spin-trapping evidence for one-electron substrate oxidation. J. Biol. Chem. 1982, 257, 11288–11295. [Google Scholar] [CrossRef] [PubMed]
- Shono, T.; Toda, T.; Oshino, N. Electron transfer from nitrogen in microsomal oxidation of amine and amide. Simulation of microsomal oxidation by anodic oxidation. J. Am. Chem. Soc. 1982, 104, 2639–2641. [Google Scholar] [CrossRef]
- Hall, L.R.; Hanzlik, R.P. Kinetic deuterium isotope effects on the N-demethylation of tertiary amides by cytochrome P-450. J. Biol. Chem. 1990, 265, 12349–12355. [Google Scholar] [CrossRef]
- Guengerich, P.F.; Yun, C.-H.; Macdonald, T.L. Evidence for a 1-electron oxidation mechanism in N-dealkylation of N,N-dialkylanilines by cytochrome P450 2B1. Kinetic hydrogen isotope effects, linear free energy relationships, comparisons with horseradish peroxidase, and studies with oxygen surrogates. J. Biol. Chem. 1996, 271, 27321–27329. [Google Scholar] [CrossRef]
- Karki, S.B.; Dinnocenzo, J.P.; Jones, J.P.; Korzekwa, K.R. Mechanism of Oxidative Amine Dealkylation of Substituted N,N-Dimethylanilines by Cytochrome P-450: Application of Isotope Effect Profiles. J. Am. Chem. Soc. 1995, 117, 3657–3664. [Google Scholar] [CrossRef]
- Manchester, J.I.; Dinnocenzo, J.P.; Higgins, L.A.; Jones, J.P. A New Mechanistic Probe for Cytochrome P450: An Application of Isotope Effect Profiles. J. Am. Chem. Soc. 1997, 119, 5069–5070. [Google Scholar] [CrossRef]
- Griffin, B.W.; Ting, P.L. Mechanism of N-demethylation of aminopyrine by hydrogen peroxide catalyzed by horseradish peroxidase, metmyoglobin, and protohemin. Biochemistry 1978, 17, 2206–2211. [Google Scholar] [CrossRef]
- Van der Zee, J.; Duling, R.; Mason, R.P.; Eling, T.E. The oxidation of N-substituted aromatic amines by horseradish peroxidase. J. Biol. Chem. 1989, 264, 19828–19836. [Google Scholar] [CrossRef]
- Miwa, G.T.; Walsh, J.S.; Kedderis, G.L.; Hollenberg, P.F. The use of intramolecular isotope effects to distinguish between deprotonation and hydrogen atom abstraction mechanisms in cytochrome P-450- and peroxidase-catalyzed N-demethylation reactions. J. Biol. Chem. 1983, 258, 14445–14449. [Google Scholar] [CrossRef] [PubMed]
- Hagel, J.M.; Facchini, P.J. Biochemistry and occurance of O-demethylation in plant metabolism. Front. Physiol. 2010, 1, 14. [Google Scholar] [CrossRef] [PubMed]
- Smith, J.R.L.; Mortimer, D.N. Model systems for cytochrome P450-dependent monooxygenases. Part 5. Amine oxidation. Part 17. Oxidative N-dealkylation of tertiary amines by metalloporphyrin-catalysed model systems for cytochrome P450 monooxygenases. J. Chem. Soc., Perkin Trans. 1986, 2, 1743–1749. [Google Scholar] [CrossRef]
- Murata, S.; Miura, M.; Nomura, M. Oxidation of 3- or 4-substituted N,N-dimethylanilines with molecular oxygen in the presence of either ferric chloride or [Fe(salen)]OAc. J. Org. Chem. 1989, 54, 4700–4702. [Google Scholar] [CrossRef]
- Murata, S.; Miura, M.; Nomura, M. Iron-catalysed oxidation of N,N-dimethylaniline with molecular oxygen. J. Chem. Soc. Chem. Commun. 1989, 2, 116–118. [Google Scholar] [CrossRef]
- Narog, D.; Lechowicz, U.; Pietryga, T.; Sobkowiak, A. Iron(II, III)-catalyzed oxidative N-dealkylation of amines with dioxygen. J. Mol. Catal. A Chem. 2004, 212, 25–33. [Google Scholar] [CrossRef]
- Lakk-Bogáth, D.; Kripli, B.; Meena, B.I.; Speier, G.; Kaizer, J. Catalytic and stoichiometric oxidation of N,N-dimethylanilines mediated by nonheme oxoiron(IV) complex with tetrapyridyl ligand. Polyhedron 2019, 169, 169–175. [Google Scholar] [CrossRef]
- Meth-Cohn, O.; Stanforth, S.P. Comprehensive Organic Synthesis; Trost, B., Fleming, I., Eds.; Pergamon: Oxford, UK, 1991; Volume 4, p. 777. [Google Scholar]
- Downie, I.M.; Earle, M.J.; Heaney, H.; Shuhaibar, K.F. Vilsmeier formylation and glyoxylation reactions of nucleophilic aromatic compounds using pyrophosphoryl chloride. Tetrahedron 1993, 49, 4015–4034. [Google Scholar] [CrossRef]
- Barbieri, A.; De Gennaro, M.; Di Stefano, S.; Lanzalunga, O.; Lapi, A.; Mazzonna, M.; Olivoa, G.; Ticconia, B. Isotope effect profiles in the N-demethylation of N,N-dimethylanilines: A key to determine the pKa of nonheme Fe(III)-OH complexes. Chem. Commun. 2015, 51, 5032–5035. [Google Scholar]
- Nehru, K.; Seo, M.S.; Kim, J.; Nam, W. Oxidative N-Dealkylation Reactions by Oxoiron(IV) Complexes of Nonheme and Heme Ligands. Inorg. Chem. 2007, 46, 293–298. [Google Scholar] [CrossRef]
- Yoon, H.; Morimoto, Y.; Lee, Y.-M.; Nam, W.; Fukuzumi, S. Electron-transfer properties of a nonheme manganese(IV)-oxo complex acting as a stronger one-electron oxidant than the iron(IV)-oxo analogue. Chem. Commun. 2012, 48, 11187–11189. [Google Scholar] [CrossRef] [PubMed]
- Kaizer, J.; Csay, T.; Kővári, P.; Speier, G.; Párkányi, L. Catalase mimics of a manganese(II) complex: The effect of axial ligands and pH. J. Mol. Catal. Chem. 2008, 280, 203–209. [Google Scholar] [CrossRef]
- Kripli, B.; Garda, Z.; Sólyom, B.; Tircsó, G.; Kaizer, J. Formation, stability and catalase-like activity of mononuclear manganese(II) and oxomanganese(IV) complexes in protic and aprotic solvents. New J. Chem. 2020, 44, 5545–5555. [Google Scholar] [CrossRef]
- Kaizer, J.; Kripli, B.; Speier, G.; Párkányi, L. Synthesis, structure, and catalase-like activity of a novel manganese(II) complex: Dichloro[1,3-bis(2′-benzimidazolylimino)isoindoline]manganese(II). Polyhedron 2009, 28, 933–936. [Google Scholar] [CrossRef]
- Kaizer, J.; Baráth, G.; Speier, G.; Réglier, M.; Giorgi, M. Synthesis, structure and catalase mimics of novel homoleptic manganese(II) complexes of 1,3-bis(2′-pyridylimino)isoindoline, Mn(4R-ind)2 (R = H, Me). Inorg. Chem. Commun. 2007, 10, 292–294. [Google Scholar] [CrossRef]
- Kaizer, J.; Baráth, G.; Csonka, R.; Speier, G.; Korecz, L.; Rockenbauer, A.; Párkányi, L. Catechol oxidase and phenoxazinone synthase activity of a manganese(II) isoindoline complex. J. Inorg. Biochem. 2008, 102, 773–780. [Google Scholar] [CrossRef]
- Pap, J.S.; Kripli, B.; Váradi, T.; Giorgi, M.; Kaizer, J.; Speier, G. Comparison of the SOD-like activity of hexacoordinate Mn(II), Fe(II) and Ni(II) complexes having isoindoline-based ligands. J. Inorg. Biochem. 2011, 105, 911–918. [Google Scholar] [CrossRef]
- Meena, B.I.; Lakk-Bogáth, D.; Keszei, S.; Kaizer, J. Bleach catalysis in aqueous medium by iron(III)-isoindoline complexes and hydrogen peroxide. Comptes Rendus. Chim. 2021, 24, 351–360. [Google Scholar] [CrossRef]
- Meena, B.I.; Lakk-Bogáth, D.; Kaizer, J. Effect of redox potential on manganese-mediated benzylalcohol and sulfideoxidation. Comptes Rendus. Chim. 2021, 24, 281–290. [Google Scholar] [CrossRef]
- Csonka, R.; Speier, G.; Kaizer, J. Isoindoline-derived ligands and applications. RSC Adv. 2015, 5, 18401–18419. [Google Scholar] [CrossRef]
- Nam, W. Dioxygen Activation by Metalloenzymes and Models. Acc. Chem. Res. 2007, 40, 465. [Google Scholar] [CrossRef]
- Nam, W. High-valent Iron(IV)-Oxo Complexes of Heme and Non-Heme Ligands in Oxygenation Reactions. Acc. Chem. Res. 2007, 40, 522–531. [Google Scholar] [CrossRef] [PubMed]
- Zhang, L.; Lee, Y.-M.; Guo, M.; Fukuzumi, S.; Nam, W. Unprecedented Reactivities of Highly Reactive Manganese (III)–Iodosylarene Porphyrins in Oxidation Reactions. J. Am. Chem. Soc. 2020, 142, 19879–19884. [Google Scholar] [CrossRef] [PubMed]
- Guo, M.; Corona, T.; Ray, K.; Nam, W. Heme and Nonheme High-Valent Iron and Manganese Oxo Cores in Biological and Abiological Oxidation Reactions. ACS Cent. Sci. 2019, 5, 13–28. [Google Scholar] [CrossRef]
- McDonald, A.R.; Que, L., Jr. High-valent nonheme iron-oxo complexes: Synthesis, structure, and spectroscopy. Coord. Chem. Rev. 2013, 257, 414–428. [Google Scholar] [CrossRef]
- Lakk-Bogáth, D.; Csonka, R.; Speier, G.; Reglier, M.; Simaan, A.J.; Naubron, J.V.; Giorgi, M.; Lazar, K.; Kaizer, J. Oxoiron(IV) Complex Derived from Chiral Pentadentate Ligand asN4Py. Inorg. Chem. 2016, 55, 10090–10093. [Google Scholar] [CrossRef]
- Kaizer, J.; Klinker, E.J.; Oh, N.Y.; Rohde, J.U.; Song, W.J.; Stubna, A.; Kim, J.; Munck, E.; Nam, W.; Que, L., Jr. Nonheme FeIVO Complexes That Can Oxidize the C-H Bonds of Cyclohexane at Room Temperature. J. Am. Chem. Soc. 2004, 126, 472–473. [Google Scholar] [CrossRef]
- Klinker, E.J.; Kaizer, J.; Brennessel, W.W.; Woodrum, N.L.; Cramer, C.J.; Que, L., Jr. Structures of Nonheme Oxoiron(IV) Complexes from X-ray Crystallography, NMR Spectroscopy, and DFT Calculations. Angew. Chem. Int. Ed. 2005, 44, 3690–3694. [Google Scholar]
- Meunier, B.; Sorokin, A. Oxidation of Pollutants Catalyzed by Metallophthalocyanines. Acc. Chem. Res. 1997, 30, 470–476. [Google Scholar] [CrossRef]
- Mangematin, S.; Sorokin, A.B. Synthesis and catalytic properties of a novel phthalocyanine covalently grafted onto silica. J. Porphyr. Phthalocyanines 2001, 5, 674–680. [Google Scholar] [CrossRef]
- Sorokin, A.; Séris, J.-L.; Meunier, B. Efficient oxidative dechlorination and aromatic ring cleavage of chlorinated phenols catalyzed by iron sulfophthalocyanine. Science 1995, 268, 1163–1166. [Google Scholar] [CrossRef] [PubMed]
- Sorokin, A.; Meunier, B. Oxidative Degradation of Polychlorinated Phenols Catalyzed by Metallosulfophthalocyanines. Chem. Eur. J. 1996, 2, 1308–1317. [Google Scholar] [CrossRef]
- Sorokin, B. Phthalocyanine Metal Complexes in Catalysis. Chem. Rev. 2013, 113, 8152–8191. [Google Scholar] [CrossRef]
- Chen, J.; Lee, Y.-M.; Davis, K.M.; Wu, X.; Seo, M.S.; Cho, K.-B.; Yoon, H.; Park, Y.J.; Fukuzumi, S.; Pushkar, Y.N.; et al. A Mononuclear Non-Heme Manganese(IV)-Oxo Complex Binding Redox-Inactive Metal Ions. J. Am. Chem. Soc. 2013, 135, 6388–6391. [Google Scholar] [CrossRef] [PubMed]
- Leto, D.F.; Ingram, R.; Day, V.W.; Jackson, T.A. Spectroscopic properties and reactivity of a mononuclear oxomanganese(IV) complex. Chem. Commun. 2013, 49, 5378–5380. [Google Scholar]
- Leto, D.F.; Massie, A.A.; Rice, D.B.; Jackson, T.A. Spectroscopic and Computational Investigations of a Mononuclear Manganese(IV)-Oxo Complex Reveal Electronic Structure Contributions to Reactivity. J. Am. Chem. Soc. 2016, 138, 15413–15424. [Google Scholar] [CrossRef]
- Massie, A.A.; Denler, M.C.; Cardoso, L.T.; Walker, A.N.; Hossain, M.K.; Day, V.W.; Nordlander, E.; Jackson, T.A. Equatorial Ligand Perturbations Influence the Reactivity of Manganese(IV)-oxo Complexes. Angew. Chem. Int. Ed. 2017, 56, 4178–4182. [Google Scholar] [CrossRef]
- Denler, M.C.; Massie, A.A.; Singh, R.; Stewart-Jones, E.; Sinha, A.; Day, V.W.; Nordlander, E.; Jackson, T.A. MnIV-Oxo complex of a bis(benzimidazolyl)-containing N5 ligand reveals different reactivity trends for MnIV-oxo than FeIV-oxo species. Dalton Trans. 2019, 48, 5007–5021. [Google Scholar] [CrossRef]
Disclaimer/Publisher’s Note: The statements, opinions and data contained in all publications are solely those of the individual author(s) and contributor(s) and not of MDPI and/or the editor(s). MDPI and/or the editor(s) disclaim responsibility for any injury to people or property resulting from any ideas, methods, instructions or products referred to in the content. |
© 2023 by the authors. Licensee MDPI, Basel, Switzerland. This article is an open access article distributed under the terms and conditions of the Creative Commons Attribution (CC BY) license (https://creativecommons.org/licenses/by/4.0/).










