Protein-Carbonized Engineering to Construct Three-Dimensional Sponge-like Carbons for Oxygen Reduction Electrocatalysis
Abstract
1. Introduction
2. Results and Discussion
2.1. Electrocatalyst Characterization
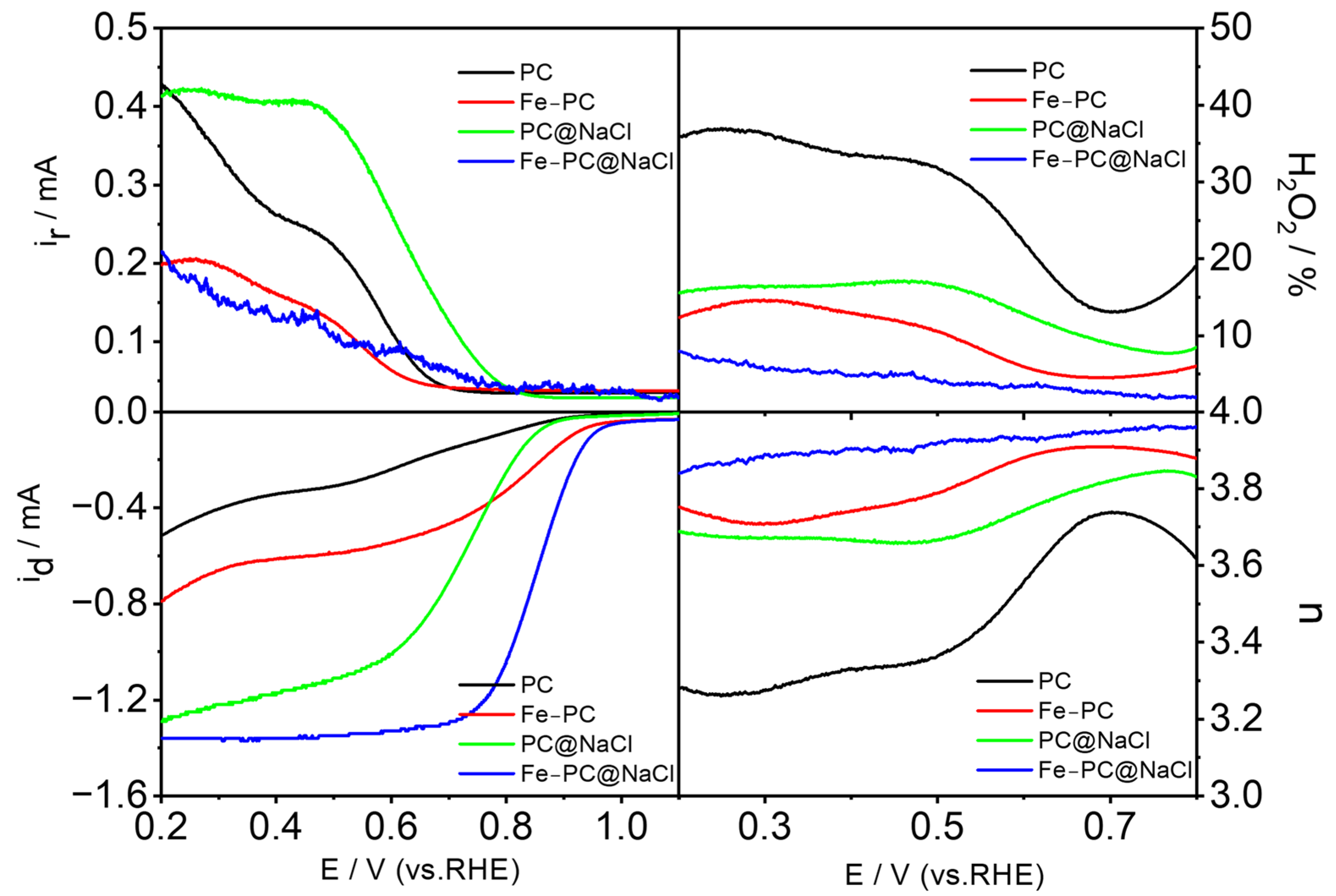
2.2. ORR Electrocatalytic Activity
3. Experimental
3.1. Synthesis of Catalysts
3.2. Characterizations
3.3. Electrochemical Measurements
4. Conclusions
Supplementary Materials
Author Contributions
Funding
Data Availability Statement
Conflicts of Interest
References
- Debe, M.K. Electrocatalyst Approaches and Challenges for Automotive Fuel Cells. Nature 2012, 486, 43–51. [Google Scholar] [CrossRef] [PubMed]
- Liang, Y.; Li, Y.; Wang, H.; Zhou, J.; Wang, J.; Regier, T.; Dai, H. Co3O4 Nanocrystals on Graphene as a Synergistic Catalyst for Oxygen Reduction Reaction. Nat. Mater. 2011, 10, 780–786. [Google Scholar] [CrossRef] [PubMed]
- Greeley, J.; Stephens, I.E.L.; Bondarenko, A.S.; Johansson, T.P.; Hansen, H.A.; Jaramillo, T.F.; Rossmeisl, J.; Chorkendorff, I.; Nørskov, J.K. Alloys of Platinum and Early Transition Metals as Oxygen Reduction Electrocatalysts. Nat. Chem. 2009, 1, 552–556. [Google Scholar] [CrossRef] [PubMed]
- Zhou, T.; Xu, W.; Zhang, N.; Du, Z.; Zhong, C.; Yan, W.; Ju, H.; Chu, W.; Jiang, H.; Wu, C.; et al. Ultrathin Cobalt Oxide Layers as Electrocatalysts for High-Performance Flexible Zn–Air Batteries. Adv. Mater. 2019, 31, 1807468. [Google Scholar] [CrossRef]
- Song, D.; Guo, H.; Huang, K.; Zhang, H.; Chen, J.; Wang, L.; Lian, C.; Wang, Y. Carboxylated Carbon Quantum Dot-Induced Binary Metal–Organic Framework Nanosheet Synthesis to Boost the Electrocatalytic Performance. Mater. Today 2022, 54, 42–51. [Google Scholar] [CrossRef]
- Pi, Y.; Zhang, N.; Guo, S.; Guo, J.; Huang, X. Ultrathin Laminar Ir Superstructure as Highly Efficient Oxygen Evolution Electrocatalyst in Broad PH Range. Nano Lett. 2016, 16, 4424–4430. [Google Scholar] [CrossRef]
- Banham, D.; Ye, S.; Pei, K.; Ozaki, J.I.; Kishimoto, T.; Imashiro, Y. A Review of the Stability and Durability of Non-Precious Metal Catalysts for the Oxygen Reduction Reaction in Proton Exchange Membrane Fuel Cells. J. Power Sources 2015, 285, 334–348. [Google Scholar] [CrossRef]
- Guo, C.; Liao, W.; Chen, C. Fe/N/C Catalysts Derived from Blood Protein and Their Electrocatalytic Activity towards the Oxygen Reduction Reaction in Acidic Solution. Chin. Sci. Bull. 2014, 59, 3424–3429. [Google Scholar] [CrossRef]
- Guo, C.; Liao, W.; Li, Z.; Sun, L.; Chen, C. Easy Conversion of Protein-Rich Enoki Mushroom Biomass to a Nitrogen-Doped Carbon Nanomaterial as a Promising Metal-Free Catalyst for Oxygen Reduction Reaction. Nanoscale 2015, 7, 15990–15998. [Google Scholar] [CrossRef]
- Jaouen, F.; Proietti, E.; Lefèvre, M.; Chenitz, R.; Dodelet, J.P.; Wu, G.; Chung, H.T.; Johnston, C.M.; Zelenay, P. Recent Advances in Non-Precious Metal Catalysis for Oxygen-Reduction Reaction in Polymer Electrolyte Fuel Cells. Energy Environ. Sci. 2010, 4, 114–130. [Google Scholar] [CrossRef]
- Sun, M.; Davenport, D.; Liu, H.; Qu, J.; Elimelech, M.; Li, J. Highly Efficient and Sustainable Non-Precious-Metal Fe-N-C Electrocatalysts for the Oxygen Reduction Reaction. J. Mater. Chem. A Mater. 2018, 6, 2527–2539. [Google Scholar] [CrossRef]
- Jasinski, R. A New Fuel Cell Cathode Catalyst. Nature 1964, 201, 1212–1213. [Google Scholar] [CrossRef]
- Yao, Z.C.; Tang, T.; Hu, J.S.; Wan, L.J. Recent Advances on Nonprecious-Metal-Based Bifunctional Oxygen Electrocatalysts for Zinc-Air Batteries. Energy Fuels 2021, 35, 6380–6401. [Google Scholar] [CrossRef]
- Zhang, X.; Xu, X.; Yao, S.; Hao, C.; Xiang, X.; Tian, Z.Q.; Shen, P.K.; Shao, Z.; Jiang, S.P.; Zhang, X.; et al. Boosting Electrocatalytic Activity of Single Atom Catalysts Supported on Nitrogen-Doped Carbon through N Coordination Environment Engineering. Small 2022, 18, 2105329. [Google Scholar] [CrossRef] [PubMed]
- Liu, R.; Zhang, H.; Liu, S.; Zhang, X.; Wu, T.; Ge, X.; Zang, Y.; Zhao, H.; Wang, G. Shrimp-Shell Derived Carbon Nanodots as Carbon and Nitrogen Sources to Fabricate Three-Dimensional N-Doped Porous Carbon Electrocatalysts for the Oxygen Reduction Reaction. Phys. Chem. Chem. Phys. 2016, 18, 4095–4101. [Google Scholar] [CrossRef]
- Wang, H.; Zhang, Z.; Yang, Y.; Wang, K.; Ji, S.; Key, J.; Ma, Y.; Wang, R. A Co-N-Doped Carbonized Egg White as a High-Performance, Non-Precious Metal, Electrocatalyst for Oxygen Reduction. J. Solid State Electrochem. 2015, 19, 1727–1733. [Google Scholar] [CrossRef]
- Wang, H.; Wang, K.; Key, J.; Ji, S.; Linkov, V.; Wang, R. Egg White Derived Tremella-like Mesoporous Carbon as Efficient Non-Precious Electrocatalyst for Oxygen Reduction. J. Electrochem. Soc. 2014, 161, H637–H642. [Google Scholar] [CrossRef]
- Zhang, Z.; Gao, Z.; Yan, Z.; Dai, C.; Kesse, I.; Zhao, X.; Xie, J. Porous Carbonized Egg White as Efficient Electrocatalyst for Oxygen Reduction Reaction. Int. J. Hydrogen Energy 2021, 46, 21112–21123. [Google Scholar] [CrossRef]
- Wang, Z.; Jin, X.; Zhu, C.; Liu, Y.; Tan, H.; Ku, R.; Zhang, Y.; Zhou, L.; Liu, Z.; Hwang, S.-J.; et al. Atomically Dispersed Co2-N6 and Fe-N4 Costructures Boost Oxygen Reduction Reaction in Both Alkaline and Acidic Media. Adv. Mater. 2021, 33, 2104718. [Google Scholar] [CrossRef]
- Li, Y.; Guo, C.; Li, J.; Liao, W.; Li, Z.; Zhang, J.; Chen, C. Pyrolysis-Induced Synthesis of Iron and Nitrogen-Containing Carbon Nanolayers Modified Graphdiyne Nanostructure as a Promising Core-Shell Electrocatalyst for Oxygen Reduction Reaction. Carbon N. Y. 2017, 119, 201–210. [Google Scholar] [CrossRef]
- Artyushkova, K.; Walker, C.; Patterson, W.; Atanassov, P. Hierarchically Structured Non-PGM Oxygen Reduction Electrocatalyst Based on Microemulsion-Templated Silica and Pyrolyzed Iron and Cyanamide Precursors. Electrocatalysis 2014, 5, 241–247. [Google Scholar] [CrossRef]
- Guo, C.; Hu, R.; Liao, W.; Li, Z.; Sun, L.; Shi, D.; Li, Y.; Chen, C. Protein-Enriched Fish “Biowaste” Converted to Three-Dimensional Porous Carbon Nano-Network for Advanced Oxygen Reduction Electrocatalysis. Electrochim. Acta 2017, 236, 228–238. [Google Scholar] [CrossRef]
- Guo, C.; Li, Y.; Liao, W.; Liu, Y.; Li, Z.; Sun, L.; Chen, C.; Zhang, J.; Si, Y.; Li, L. Boosting the Oxygen Reduction Activity of a Three-Dimensional Network Co–N–C Electrocatalyst via Space-Confined Control of Nitrogen-Doping Efficiency and the Molecular-Level Coordination Effect. J. Mater. Chem. A Mater. 2018, 6, 13050–13061. [Google Scholar] [CrossRef]
- Zhou, J.; Gao, X.; Liu, R.; Xie, Z.; Yang, J.; Zhang, S.; Zhang, G.; Liu, H.; Li, Y.; Zhang, J.; et al. Synthesis of Graphdiyne Nanowalls Using Acetylenic Coupling Reaction. J. Am. Chem. Soc. 2015, 137, 7596–7599. [Google Scholar] [CrossRef] [PubMed]
- Mo, Z.; Zheng, R.; Peng, H.; Liang, H.; Liao, S. Nitrogen-Doped Graphene Prepared by a Transfer Doping Approach for the Oxygen Reduction Reaction Application. J. Power Sources 2014, 245, 801–807. [Google Scholar] [CrossRef]
- Wang, W.; Han, N.; Ge, D.; Liao, L.; Li, M.; Yin, Y. Metal-Organic Framework-Derived Atomically Dispersed Co-N-C Electrocatalyst for Efficient Oxygen Reduction Reaction. Catalysts 2022, 12, 1462. [Google Scholar] [CrossRef]
- Zhang, D.; Li, Y.-F.; Liu, L.-X.; Duan, L.; Ren, Z.-L.; Xu, S.-D.; Chen, L.; Guo, H.-J.; Huang, Y.; Shi, L.-J.; et al. Cu/CuOx@C Composite as a High-Efficiency Electrocatalyst for Oxygen Reduction Reactions. Catalysts 2022, 12, 1515. [Google Scholar] [CrossRef]
- Cheng, M.; Bhalothia, D.; Yeh, W.; Beniwal, A.; Yan, C.; Wang, K.-W.; Chen, P.-C.; Tu, X.; Cheng, M.; Bhalothia, D.; et al. Optimization of SnPd Shell Configuration to Boost ORR Performance of Pt-Clusters Decorated CoOx@SnPd Core-Shell Nanocatalyst. Catalysts 2022, 12, 1411. [Google Scholar] [CrossRef]
- Zhang, W.L.; Liu, S.M.; Zhang, L.H.; He, T.T.; Yu, F.S. Interfacial Electron Redistribution of FeCo2 S4/N-S-RGO Boosting Bifunctional Oxygen Electrocatalysis Performance. Catalysts 2022, 12, 1002. [Google Scholar] [CrossRef]
- Fu, Y.; Han, L.; Zheng, P.; Peng, X.; Xian, X.; Liu, J.; Zeng, X.; Dong, P.; Xiao, J.; Zhang, Y. Vanadium Nitride Supported on N-Doped Carbon as High-Performance ORR Catalysts for Zn–Air Batteries. Catalysts 2022, 12, 877. [Google Scholar] [CrossRef]
- Liu, Y.; Xu, Y.; Wang, H.; Zhang, J.; Zhao, H.; Chen, L.; Xu, L.; Xie, Y.; Huang, J. MIL-88-Derived N and S Co-Doped Carbon Materials with Supplemental FeSx to Enhance the Oxygen Reduction Reaction Performance. Catalysts 2022, 12, 806. [Google Scholar] [CrossRef]
- Wang, C.; Zheng, Z.; Chen, Z.; Luo, X.; Hou, B.; Gholizadeh, M.; Gao, X.; Fan, X.; Tan, Z. Enhancement on PrBa0.5Sr0.5Co1.5Fe0.5O5 Electrocatalyst Performance in the Application of Zn-Air Battery. Catalysts 2022, 12, 800. [Google Scholar] [CrossRef]
- Wolf, S.; Roschger, M.; Genorio, B.; Kolar, M.; Garstenauer, D.; Bitschnau, B.; Hacker, V. Ag-MnxOy on Graphene Oxide Derivatives as Oxygen Reduction Reaction Catalyst in Alkaline Direct Ethanol Fuel Cells. Catalysts 2022, 12, 780. [Google Scholar] [CrossRef]
- Cui, N.; Bi, K.; Sun, W.; Wu, Q.; Li, Y.; Xu, T.; Lv, B.; Zhang, S. Effect of Pyrolysis Conditions on the Performance of Co-Doped MOF-Derived Carbon Catalysts for Oxygen Reduction Reaction. Catalysts 2021, 11, 1163. [Google Scholar] [CrossRef]
- Xiang, Q.; Yin, W.; Liu, Y.; Yu, D.; Wang, X.; Li, S.; Chen, C. A Study of Defect-Rich Carbon Spheres as a Metal-Free Electrocatalyst for an Efficient Oxygen Reduction Reaction. J. Mater. Chem. A Mater. 2017, 5, 24314–24320. [Google Scholar] [CrossRef]
- Sonkar, P.K.; Prakash, K.; Yadav, M.; Ganesan, V.; Sankar, M.; Gupta, R.; Yadav, D.K. Co(II)-Porphyrin-Decorated Carbon Nanotubes as Catalysts for Oxygen Reduction Reactions: An Approach for Fuel Cell Improvement. J. Mater. Chem. A Mater. 2017, 5, 6263–6276. [Google Scholar] [CrossRef]
- Wu, J.; Yang, Z.; Wang, Z.; Sun, Q.; Yang, R. Synthesis and Electrocatalytic Activity of Phosphorus and Co Co-Doped Mesoporous Carbon for Oxygen Reduction. Electrochem. Commun. 2014, 42, 46–49. [Google Scholar] [CrossRef]








Disclaimer/Publisher’s Note: The statements, opinions and data contained in all publications are solely those of the individual author(s) and contributor(s) and not of MDPI and/or the editor(s). MDPI and/or the editor(s) disclaim responsibility for any injury to people or property resulting from any ideas, methods, instructions or products referred to in the content. |
© 2023 by the authors. Licensee MDPI, Basel, Switzerland. This article is an open access article distributed under the terms and conditions of the Creative Commons Attribution (CC BY) license (https://creativecommons.org/licenses/by/4.0/).
Share and Cite
Luo, X.; Liu, Y.; Liao, W.; Li, Z.; Guo, C.; Sun, W.; Luo, Z. Protein-Carbonized Engineering to Construct Three-Dimensional Sponge-like Carbons for Oxygen Reduction Electrocatalysis. Catalysts 2023, 13, 166. https://doi.org/10.3390/catal13010166
Luo X, Liu Y, Liao W, Li Z, Guo C, Sun W, Luo Z. Protein-Carbonized Engineering to Construct Three-Dimensional Sponge-like Carbons for Oxygen Reduction Electrocatalysis. Catalysts. 2023; 13(1):166. https://doi.org/10.3390/catal13010166
Chicago/Turabian StyleLuo, Xinyi, Yao Liu, Wenli Liao, Zhongbin Li, Chaozhong Guo, Wei Sun, and Zhongli Luo. 2023. "Protein-Carbonized Engineering to Construct Three-Dimensional Sponge-like Carbons for Oxygen Reduction Electrocatalysis" Catalysts 13, no. 1: 166. https://doi.org/10.3390/catal13010166
APA StyleLuo, X., Liu, Y., Liao, W., Li, Z., Guo, C., Sun, W., & Luo, Z. (2023). Protein-Carbonized Engineering to Construct Three-Dimensional Sponge-like Carbons for Oxygen Reduction Electrocatalysis. Catalysts, 13(1), 166. https://doi.org/10.3390/catal13010166

