Auramine O UV Photocatalytic Degradation on TiO2 Nanoparticles in a Heterogeneous Aqueous Solution
Abstract
:1. Introduction
2. Results
2.1. Photolysis and Adsorption of AO
2.2. Photocatalytic Degradation of AO
2.3. Effect of Temperature
2.4. Effect of Various Parameters on the Photocatalytic Degradation of AO
2.5. FTIR Analysis
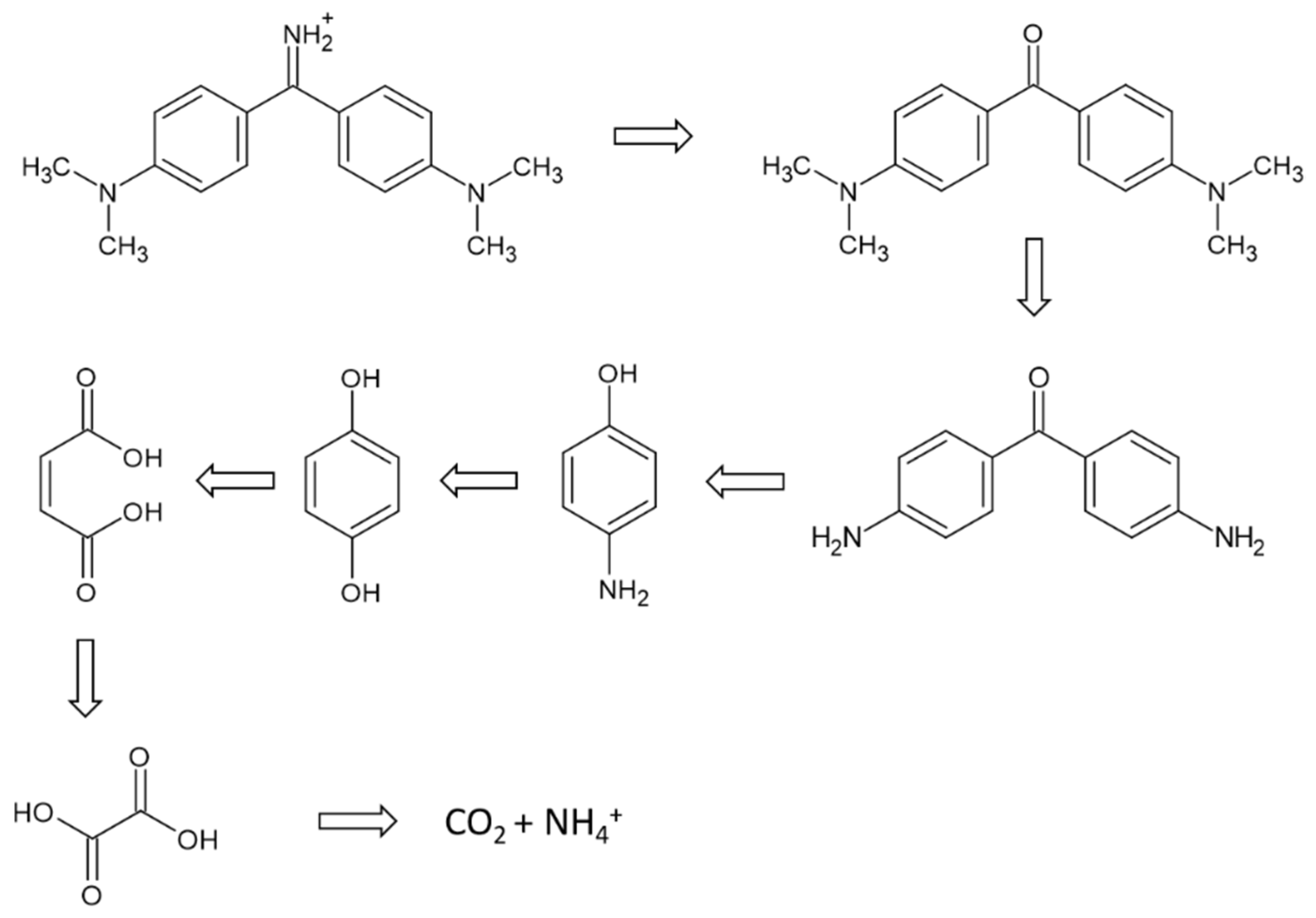
3. Discussion
4. Materials and Methods
4.1. Materials and Reagents
4.2. Characterization of TiO2 Catalyst
4.3. Photocatalysis Setup
5. Conclusions
Supplementary Materials
Author Contributions
Funding
Acknowledgments
Conflicts of Interest
References
- Mekonnen, M.M.; Hoekstra, A.Y. Sustainability: Four billion people facing severe water scarcity. Sci. Adv. 2016, 2, e1500323. [Google Scholar] [CrossRef] [PubMed]
- Schwarzenbach, R.P.; Egli, T.; Hofstetter, T.B.; von Gunten, U.; Wehrli, B. Global water pollution and human health. Annu. Rev. Environ. Resour. 2010, 35, 109–136. [Google Scholar] [CrossRef]
- Akhtar, N.; Ishak, M.I.S.; Bhawani, S.A.; Umar, K. Various natural and anthropogenic factors responsible for water quality degradation: A review. Water 2021, 13, 2660. [Google Scholar] [CrossRef]
- Boretti, A.; Rosa, L. Reassessing the projections of the World Water Development Report. NPJ Clean Water 2019, 2, 15. [Google Scholar] [CrossRef]
- Ghaly, A.E.; Ananthashankar, R.; Alhattab, M.; Ramakrishnan, V.V. Production, characterization and treatment of textile effluents: A critical review. J. Chem. Eng. Process Technol. 2014, 5, 1000182. [Google Scholar]
- Kumar, A.; Dixit, U.; Singh, K.; Gupta, S.P.; Beg, M.S.J. Structure and properties of dyes and pigments. In Dyes and Pigments-Novel Applications and Waste Treatment; Papadakis, R., Ed.; IntechOpen Limited: London, UK, 2021; pp. 1–19. [Google Scholar]
- Routoula, E.; Patwardhan, S.V. Degradation of anthraquinone dyes from effluents: A review focusing on enzymatic dye degradation with industrial potential. Environ. Sci. Technol. 2020, 54, 647–664. [Google Scholar] [CrossRef]
- Lellis, B.; Fávaro-Polonio, C.Z.; Pamphile, J.A.; Polonio, J.C. Effects of textile dyes on health and the environment and bioremediation potential of living organisms. Biotechnol. Res. Innov. 2019, 3, 275–290. [Google Scholar] [CrossRef]
- Yaseen, D.A.; Scholz, M. Textile dye wastewater characteristics and constituents of synthetic effluents: A critical review. Int. J. Environ. Sci. Technol. 2019, 16, 1193–1226. [Google Scholar] [CrossRef]
- Ledakowicz, S.; Paździor, K. Recent achievements in dyes removal focused on advanced oxidation processes integrated with biological methods. Molecules 2021, 26, 870. [Google Scholar] [CrossRef]
- Slama, H.B.; Bouket, A.C.; Pourhassan, Z.; Alenezi, F.N.; Silini, A.; Cherif-Silini, H.; Oszako, T.; Luptakova, L.; Golińska, P.; Belbahri, L. Diversity of synthetic dyes from textile industries, discharge impacts and treatment methods. Appl. Sci. 2021, 11, 6255. [Google Scholar] [CrossRef]
- Berradi, M.; Hsissou, R.; Khudhair, M.; Assouag, M.; Cherkaoui, O.; El Bachiri, A.; El Harfi, A. Textile finishing dyes and their impact on aquatic environs. Heliyon 2019, 5, e02711. [Google Scholar] [CrossRef] [PubMed]
- Vatchalan, L.; Kesavan, B.; Selvam, P. Adsorption and photocatalytic degradation of auramine–O dye using carbon nanoparticles and Carbon–CaO nanocomposites. Nanotechnol. Environ. Eng. 2022. [Google Scholar] [CrossRef]
- Khatri, N.; Tyagi, S.; Rawtani, D. Removal of basic dyes auramine yellow and auramine O by halloysite nanotubes. Int. J. Environ. Waste Manag. 2016, 17, 44. [Google Scholar] [CrossRef]
- Martelli, A.; Campart, G.B.; Canonero, R.; Carrozzino, R.; Mattioli, F.; Robbiano, L.; Cavanna, M. Evaluation of auramine genotoxicity in primary rat and human hepatocytes and in the intact rat. Mutat. Res.–Genet. Toxicol. Environ. Mutagen. 1998, 414, 37–47. [Google Scholar] [CrossRef]
- Carmen, Z.; Daniel, S. Textile organic dyes—Characteristics, polluting effects and separation/elimination procedures from industrial effluents—A critical overview. Org. Pollut. Ten Years Stock. Conv.-Environ. Anal. Updat. 2012, 1, 56–86. [Google Scholar]
- Ardila-Leal, L.D.; Poutou-Piñales, R.A.; Pedroza-Rodríguez, A.M.; Quevedo-Hidalgo, B.E. A brief history of colour, the environmental impact of synthetic dyes and removal by using laccases. Molecules 2021, 26, 3813. [Google Scholar] [CrossRef]
- Ali, I.; Khan, T.A.; Asim, M. Removal of arsenate from groundwater by electrocoagulation method. Environ. Sci. Pollut. Res. 2012, 19, 1668–1676. [Google Scholar] [CrossRef]
- Ma, B.; Xue, W.; Hu, C.; Liu, H.; Qu, J.; Li, L. Characteristics of microplastic removal via coagulation and ultrafiltration during drinking water treatment. Chem. Eng. J. 2019, 359, 159–167. [Google Scholar] [CrossRef]
- Al-Bastaki, N. Removal of methyl orange dye and Na2SO4 salt from synthetic waste water using reverse osmosis. Chem. Eng. Process. Process Intensif. 2004, 43, 1561–1567. [Google Scholar] [CrossRef]
- Bilińska, L.; Blus, K.; Foszpańczyk, M.; Gmurek, M.; Ledakowicz, S. Catalytic ozonation of textile wastewater as a polishing step after industrial scale electrocoagulation. J. Environ. Manag. 2020, 265, 110502. [Google Scholar] [CrossRef]
- Mohan, S.V.; Bhaskar, Y.V.; Karthikeyan, J. Biological decolourisation of simulated azo dye in aqueous phase by algae Spirogyra species. Int. J. Environ. Pollut. 2004, 21, 211–222. [Google Scholar] [CrossRef]
- Benjelloun, M.; Miyah, Y.; Evrendilek, G.A.; Zerrouq, F.; Lairini, S. Recent advances in adsorption kinetic models: Their application to dye types. Arab. J. Chem. 2021, 14, 103031. [Google Scholar] [CrossRef]
- Mills, A.; Davies, R.H.; Worsley, D. Water purification by semiconductor photocatalysis. Chem. Soc. Rev. 1993, 22, 417–425. [Google Scholar] [CrossRef]
- Ali, R.; Mahmood, T.; Naeem, A.; Ullah, A.; Aslam, M.; Khan, S. Process optimization of Auramine O adsorption by surfactant-modified activated carbon using Box–Behnken design of response surface methodology. Desalin. Water Treat. 2021, 217, 367–390. [Google Scholar] [CrossRef]
- Poulios, I.; Avranas, A.; Rekliti, E.; Zouboulis, A. Photocatalytic oxidation of Auramine O in the presence of semiconducting oxides. J. Chem. Technol. Biotechnol. 2000, 75, 205–212. [Google Scholar] [CrossRef]
- Zulmajdi, S.L.N.; Zamri, N.I.I.; Yasin, H.M.; Kusrini, E.; Hobley, J.; Usman, A. Comparative study on the adsorption, kinetics, and thermodynamics of the photocatalytic degradation of six different synthetic dyes on TiO2 nanoparticles. React. Kinet. Mech. Catal. 2020, 129, 519–534. [Google Scholar] [CrossRef]
- Suhaimi, N.A.A.; Shahri, N.N.M.; Samat, J.H.; Kusrini, E.; Lim, J.-W.; Hobley, J.; Usman, A. Domination of methylene blue over rhodamine B during simultaneous photocatalytic degradation by TiO2 nanoparticles in an aqueous binary solution under UV irradiation. React. Kinet. Mech. Catal. 2022, 135, 511–527. [Google Scholar] [CrossRef]
- Lee, Y.; von Gunten, U. Oxidative transformation of micropollutants during municipal wastewater treatment: Comparison of kinetic aspects of selective (chlorine, chlorine dioxide, ferrate VI, and ozone) and non-selective oxidants (hydroxyl radical). Water Res. 2010, 44, 555–566. [Google Scholar] [CrossRef]
- Herrmann, J.-M. Heterogeneous photocatalysis: Fundamentals and applications to the removal of various types of aqueous pollutants. Catal. Today 1999, 53, 115–129. [Google Scholar] [CrossRef]
- Janczarek, M.; Kowalska, E. On the origin of enhanced photocatalytic activity of copper-modified titania in the oxidative reaction systems. Catalysts 2017, 7, 317. [Google Scholar] [CrossRef]
- Chiu, Y.-H.; Chang, T.-F.M.; Chen, C.-Y.; Sone, M.; Yung-Jung Hsu, Y.-J. Mechanistic insights into photodegradation of organic dyes using heterostructure photocatalysts. Catalysts 2019, 9, 430. [Google Scholar] [CrossRef]
- Montazerozohori, M.; Nasr-Esfahani, M.; Moradi-Shammi, Z.; Malekhoseini, A. Photocatalytic decolorization of auramine and its kinetics study in the presence of two different sizes titanium dioxide nanoparticles at various buffer and non-buffer media. J. Ind. Eng. Chem. 2015, 21, 1044–1050. [Google Scholar] [CrossRef]
- Pandurungan, A.; Kamala, P.; Uma, S.; Palanichamy, M.; Murugesan, V. Degradation of basic yellow Auramine O—A textile dye by semiconductor photocatalysis. Indian J. Chem. Technol. 2001, 8, 496–499. [Google Scholar]
- Ako, R.T.; Ekanayake, P.; Young, D.J.; Hobley, J.; Chellappan, V.; Tan, A.L.; Gorelik, S.; Subramanian, G.S.; Lim, C.M. Evaluation of surface energy state distribution and bulk defect concentration in DSSC photoanodes based on Sn, Fe, and Cu doped TiO2. Appl. Surf. Sci. 2015, 351, 950–961. [Google Scholar] [CrossRef]
- O’Regan, B.; Grätzel, M. A low-cost, high-efficiency solar cell based on dye-sensitized colloidal TiO2 films. Nature 1991, 353, 737–740. [Google Scholar] [CrossRef]
- Furube, A.; Du, L.; Hara, K.; Katoh, R.; Tachiya, M. Ultrafast plasmon-induced electron transfer from gold nanodots into TiO2 nanoparticles. J. Am. Chem. Soc. 2007, 129, 14852–14853. [Google Scholar] [CrossRef] [PubMed]
- Nair, R.V.; Gummaluri, V.S.; Matham, M.V.; Vijayan, C. A review on optical bandgap engineering in TiO2 nanostructures via doping and intrinsic vacancy modulation towards visible light applications. J. Phys. D Appl. Phys. 2022, 55, 313003. [Google Scholar] [CrossRef]
- Khan, M.S.; Shah, J.A.; Riaz, N.; Butt, T.A.; Khan, A.J.; Khalifa, W.; Gasmi, H.H.; Latifee, E.R.; Arshad, M.; Al-Naghi, A.A.A.; et al. Synthesis and characterization of Fe-TiO2 nanomaterial: Performance evaluation for RB5 decolorization and in vitro antibacterial studies. Nanomaterials 2021, 11, 436. [Google Scholar] [CrossRef]
- Kumar, K.V.; Porkodi, K.; Rocha, F. Langmuir-Hinshelwood kinetics—A theoretical study. Catal. Commun. 2008, 9, 82–84. [Google Scholar] [CrossRef]
- Armenise, S.; García-Bordejé, E.; Valverde, J.L.; Romeo, E.; Monzón, A. A Langmuir-Hinshelwood approach to the kinetic modelling of catalytic ammonia decomposition in an integral reactor. Phys. Chem. Chem. Phys. 2013, 15, 12104–12117. [Google Scholar] [CrossRef] [PubMed]
- Shaban, Y.A. Solar light-induced photodegradation of chrysene in seawater in the presence of carbon-modified n-TiO2 nanoparticles. Arab. J. Chem. 2019, 12, 652–663. [Google Scholar] [CrossRef]
- Cruz, G.J.F.; Gómez, M.M.; Solis, J.L.; Rimaycuna, J.; Solis, R.L.; Cruz, J.F.; Rathnayake, B.; Keiski, R.L. Composites of ZnO nanoparticles and biomass based activated carbon: Adsorption, photocatalytic and antibacterial capacities. Water Sci. Technol. 2018, 2017, 492–508. [Google Scholar] [CrossRef] [PubMed]
- Setarehshenas, N.; Hosseini, S.H.; Ahmadi, G. Optimization and kinetic model development for photocatalytic dye degradation. Arab. J. Sci. Eng. 2018, 43, 5785–5797. [Google Scholar] [CrossRef]
- Bloh, J.Z. A holistic approach to model the kinetics of photocatalytic reactions. Front. Chem. 2019, 7, 1–13. [Google Scholar] [CrossRef]
- Riaz, N.; Hassan, M.; Siddique, M.; Mahmood, Q.; Farooq, U.; Sarwar, R.; Khan, M.S. Photocatalytic degradation and kinetic modeling of azo dye using bimetallic photocatalysts: Effect of synthesis and operational parameters. Environ. Sci. Pollut. Res. 2020, 27, 2992–3006. [Google Scholar] [CrossRef] [PubMed]
- Zulmajdi, S.L.N.; Ajak, S.N.F.H.; Hobley, J.; Duraman, N.; Harunsani, M.H.; Yasin, H.M.; Nur, M.; Usman, A. Kinetics of photocatalytic degradation of methylene blue in aqueous dispersions of TiO2 nanoparticles under UV-LED irradiation. Am. J. Nanomater. 2017, 5, 1–6. [Google Scholar]
- Paul, D.R.; Sharma, R.; Nehra, S.P.; Sharma, A. Effect of calcination temperature, pH and catalyst loading on photodegradation efficiency of urea derived graphitic carbon nitride towards methylene blue dye solution. RSC Adv. 2019, 9, 15381–15391. [Google Scholar] [CrossRef]
- Blažeka, D.; Car, J.; Klobučar, N.; Jurov, A.; Zavašnik, J.; Jagodar, A.; Kovačević, E.; Krstulović, N. Photodegradation of methylene blue and rhodamine B using laser-synthesized ZnO nanoparticles. Materials 2020, 13, 4357. [Google Scholar] [CrossRef]
- Divya, N.; Bansal, A.; Jana, A.K. Photocatalytic degradation of azo dye Orange II in aqueous solutions using copper-impregnated titania. Int. J. Environ. Sci. Technol. 2013, 10, 1265–1274. [Google Scholar] [CrossRef]
- Mencigar, D.P.; Strlič, M.; Štangar, U.L.; Korošec, R.C. Hydroxyl radical scavenging-based method for evaluation of TiO₂ photocatalytic activity. Acta Chim. Slov. 2013, 60, 908–912. [Google Scholar]
- Liu, Y.; Li, Y.-H.; Li, X.; Zhang, Q.; Yu, H.; Peng, X.; Peng, F. Regulating electron–hole separation to promote photocatalytic H2 evolution activity of nanoconfined Ru/MXene/TiO2 Catalysts. ACS Nano 2020, 14, 14181–14189. [Google Scholar] [CrossRef] [PubMed]
- Hirakawa, T.; Yawata, K.; Nosaka, Y. Photocatalytic reactivity for O2− and OH radical formation in anatase and rutile TiO2 suspension as the effect of H2O2 addition. Appl. Catal. A Gen. 2007, 325, 105–111. [Google Scholar] [CrossRef]
- Mallakpour, S.; Dinari, M.; Hadadzadeh, H. Insertion of fluorophore dyes between cloisite Na+ layered for preparation of novel organoclays. J. Incl. Phenom. Macrocycl. Chem. 2013, 77, 463–470. [Google Scholar] [CrossRef]
- Zulmajdi, S.L.N.; Zamri, N.I.I.; Mahadi, A.H.; Rosli, M.Y.H.; Ja’afar, F.; Yasin, H.M.; Kusrini, E.; Hobley, J.; Usman, A. Sol-gel preparation of different crystalline phases of TiO2 nanoparticles for photocatalytic degradation of methylene blue in aqueous solution. Am. J. Nanomater. 2019, 7, 39–45. [Google Scholar] [CrossRef]
- Saalinraj, S.; Ajithprasad, K.C. Effect of calcination temperature on non-linear absorption co-efficient of nano sized titanium dioxide (TiO2) synthesised by sol-gel method. Mater. Today Proc. 2017, 4, 4372–4379. [Google Scholar] [CrossRef]
- Luttrell, T.; Halpegamage, S.; Tao, J.; Kramer, A.; Sutter, E.; Batzill, M. Why is anatase a better photocatalyst than rutile?—Model studies on epitaxial TiO2 films. Sci. Rep. 2015, 4, 4043. [Google Scholar] [CrossRef]
- Selifonov, A.A.; Shapoval, O.G.; Mikerov, A.N.; Tuchin, V.V. Determination of the diffusion coefficient of methylene blue solutions in dentin of a human tooth using reflectance spectroscopy and their antibacterial activity during laser exposure. Opt. Spectrosc. 2019, 126, 758–768. [Google Scholar] [CrossRef]
- Gendron, P.O.; Avaltroni, F.; Wilkinson, K.J. Diffusion coefficients of several rhodamine derivatives as determined by pulsed field gradient–nuclear magnetic resonance and fluorescence correlation spectroscopy. J. Fluoresc. 2008, 18, 1093. [Google Scholar] [CrossRef]
- Kamaluddin, M.R.; Zamri, N.I.I.; Kusrini, E.; Prihandini, W.W.; Mahadi, A.H.; Usman, A. Photocatalytic activity of kaolin-titania composites to degrade methylene blue under UV light irradiation; Kinetics, mechanism and thermodynamics. React. Kinet. Mech. Catal. 2021, 113, 517–529. [Google Scholar] [CrossRef]
- Nguyen, L.T.; Nguyen, H.T.; Pham, T.D.; Tran, T.D.; Chu, H.T.; Dang, H.T.; Nguyen, V.H.; Nguyen, K.M.; Pham, T.T.; van der Bruggen, B. UV–visible light driven photocatalytic degradation of ciprofloxacin by N,S co-doped TiO2: The effect of operational parameters. Top. Catal. 2020, 63, 985–995. [Google Scholar] [CrossRef]
- Reza, K.M.; Kurny, A.S.W.; Gulshan, F. Parameters affecting the photocatalytic degradation of dyes using TiO2: A review. Appl. Water Sci. 2017, 7, 1569–1578. [Google Scholar] [CrossRef]
- Rani, S.; Aggarwal, M.; Kumar, M.; Sharma, S.; Kumar, D. Removal of methylene blue and rhodamine B from water by zirconium oxide/graphene. Water Sci. 2016, 30, 51–60. [Google Scholar] [CrossRef]
- Sabnis, R.W. Synthesis and industrial applications. In Handbook of Biological Dyes and Stains; John Wiley & Sons Inc. Publication: Hoboken, NJ, USA, 2010; pp. 27–29. [Google Scholar]
- Hisaindee, S.; Meetani, M.A.; Rauf, M.A. Application of LC-MS to the analysis of advanced oxidation process (AOP) degradation of dye products and reaction mechanisms. TrAC-Trends Anal. Chem. 2013, 49, 31–44. [Google Scholar] [CrossRef]
- Wang, X.Q.; Han, S.F.; Zhang, Q.W.; Zhang, N.; Zhao, D.D. Photocatalytic oxidation degradation mechanism study of methylene blue dye waste water with GR/I/TiO2. MATEC Web Conf. 2018, 238, 03006. [Google Scholar] [CrossRef]
- Hmani, E.; Samet, Y.; Abdelhédi, R. Electrochemical degradation of Auramine-O dye at boron-doped diamond and lead dioxide electrodes. Diam. Relat. Mater. 2012, 30, 1–8. [Google Scholar] [CrossRef]
- Amini, M.; Ashrafi, M. Photocatalytic degradation of some organic dyes under solar light irradiation using TiO2 and ZnO nanoparticles. Nano. Chem. Res. 2016, 1, 79–86. [Google Scholar]







Publisher’s Note: MDPI stays neutral with regard to jurisdictional claims in published maps and institutional affiliations. |
© 2022 by the authors. Licensee MDPI, Basel, Switzerland. This article is an open access article distributed under the terms and conditions of the Creative Commons Attribution (CC BY) license (https://creativecommons.org/licenses/by/4.0/).
Share and Cite
Kong, C.P.Y.; Suhaimi, N.A.A.; Shahri, N.N.M.; Lim, J.-W.; Nur, M.; Hobley, J.; Usman, A. Auramine O UV Photocatalytic Degradation on TiO2 Nanoparticles in a Heterogeneous Aqueous Solution. Catalysts 2022, 12, 975. https://doi.org/10.3390/catal12090975
Kong CPY, Suhaimi NAA, Shahri NNM, Lim J-W, Nur M, Hobley J, Usman A. Auramine O UV Photocatalytic Degradation on TiO2 Nanoparticles in a Heterogeneous Aqueous Solution. Catalysts. 2022; 12(9):975. https://doi.org/10.3390/catal12090975
Chicago/Turabian StyleKong, Cristina Pei Ying, Nurul Amanina A. Suhaimi, Nurulizzatul Ningsheh M. Shahri, Jun-Wei Lim, Muhammad Nur, Jonathan Hobley, and Anwar Usman. 2022. "Auramine O UV Photocatalytic Degradation on TiO2 Nanoparticles in a Heterogeneous Aqueous Solution" Catalysts 12, no. 9: 975. https://doi.org/10.3390/catal12090975
APA StyleKong, C. P. Y., Suhaimi, N. A. A., Shahri, N. N. M., Lim, J.-W., Nur, M., Hobley, J., & Usman, A. (2022). Auramine O UV Photocatalytic Degradation on TiO2 Nanoparticles in a Heterogeneous Aqueous Solution. Catalysts, 12(9), 975. https://doi.org/10.3390/catal12090975

