Effects of Flue Gas Impurities on the Performance of Rare Earth Denitration Catalysts
Abstract
:1. Introduction
2. The Influence of Metal Impurities
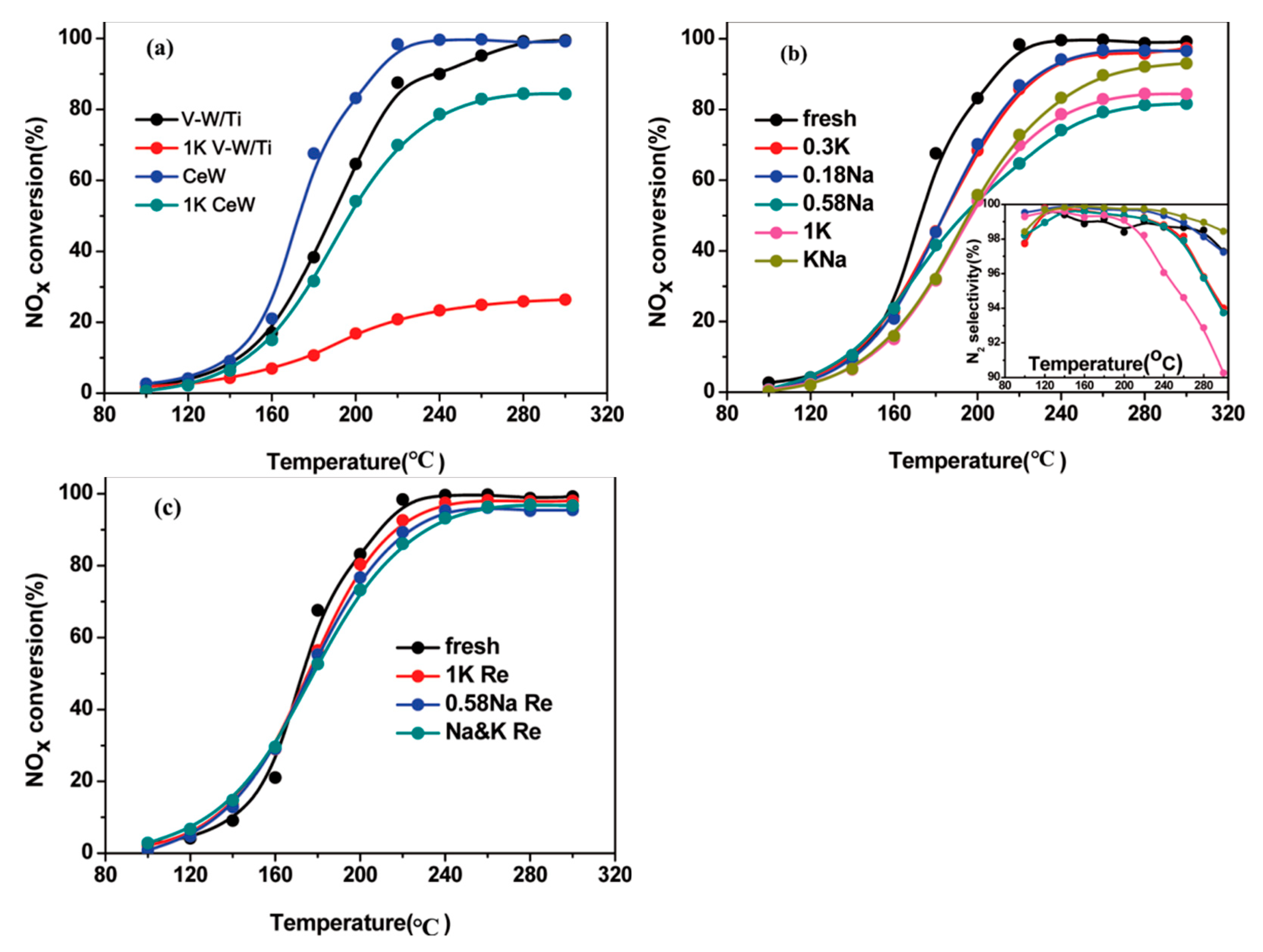
2.1. Influence of Alkali Metals
2.2. Effect of Alkaline Earth Metal Ca
2.3. The Influence of Pb
3. The Influence of Non-Metallic Impurities
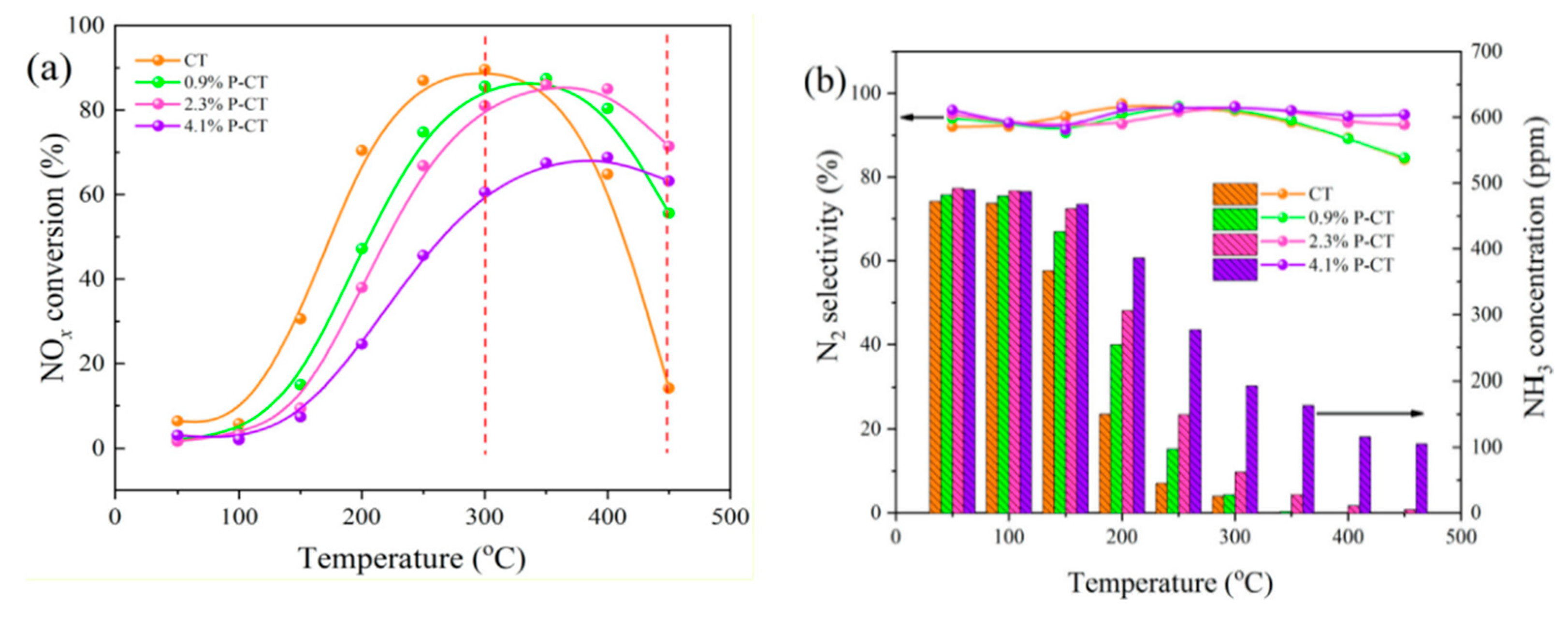
3.1. The Effect of Phosphorus
3.2. The Effect of Chlorine
3.3. Influence of Fluorine
3.4. The Effect of Sulfur
4. Conclusions and Perspectives
Author Contributions
Funding
Data Availability Statement
Conflicts of Interest
References
- Mousavi, S.M.; Niaei, A.; Illán Gómez, M.J.; Salari, D.; Nakhostin Panahi, P.; Abaladejo-Fuentes, V. Characterization and activity of alkaline earth metals loaded CeO2–MOx (M = Mn, Fe) mixed oxides in catalytic reduction of NO. Mater. Chem. Phys. 2014, 143, 921–928. [Google Scholar] [CrossRef]
- Wang, L.Y.; Cheng, X.X.; Wang, Z.Q.; Zhang, X.Y.; Ma, C.Y. Research progress of low temperature catalytic denitration technology. Chem. Ind. Eng. Prog. 2016, 35, 2222–2235. [Google Scholar]
- Du, X.; Gao, X.; Qu, R.; Ji, P.; Luo, Z.; Cen, K.-F. The Influence of Alkali Metals on the Ce-Ti Mixed Oxide Catalyst for the Selective Catalytic Reduction of NOx. ChemCatChem 2012, 4, 2075–2081. [Google Scholar] [CrossRef]
- Li, J.; Chang, H.; Ma, L.; Hao, J.; Yang, R.T. Low-temperature selective catalytic reduction of NOx with NH3 over metal oxide and zeolite catalysts—A review. Catal. Today 2011, 175, 147–156. [Google Scholar] [CrossRef]
- Long, R.Q.; Yang, R.T. Superior Fe-ZSM-5 catalyst for selective catalytic reduction of nitric oxide by ammonia. J. Am. Chem. Soc. 1999, 121, 23. [Google Scholar] [CrossRef]
- Colombo, M.; Nova, I.; Tronconi, E. A comparative study of the NH3-SCR reactions over a Cu-zeolite and a Fe-zeolite catalyst. Catal. Today 2010, 151, 223–230. [Google Scholar] [CrossRef]
- Metkar, P.S.; Harold, M.P.; Balakotaiah, V. Selective catalytic reduction of NOx on combined Fe-and Cu-zeolite monolithic catalysts: Sequential and dual layer configurations. Appl. Catal. B-Environ. 2012, 111, 67–80. [Google Scholar] [CrossRef]
- Xu, W.; Yu, Y.; Zhang, C.; He, H. Selective catalytic reduction of NO by NH3 over a Ce/TiO2 catalyst. Catal. Commun. 2008, 9, 1453–1457. [Google Scholar] [CrossRef]
- Gao, X.; Jiang, Y.; Zhong, Y.; Luo, Z.; Cen, K. The activity and characterization of CeO2-TiO2 catalysts prepared by the sol–gel method for selective catalytic reduction of NO with NH3. J. Hazard. Mater. 2010, 174, 734–739. [Google Scholar] [CrossRef]
- Liu, F.; He, H.; Zhang, C. Novel iron titanate catalyst for the selective catalytic reduction of NO with NH3 in the medium temperature range. Chem. Commun. 2008, 17, 2043–2045. [Google Scholar] [CrossRef]
- Liu, F.; He, H.; Ding, Y.; Zhang, C. Effect of manganese substitution on the structure and activity of iron titanate catalyst for the selective catalytic reduction of NO with NH3. Appl. Catal. B-Environ. 2009, 93, 194–204. [Google Scholar] [CrossRef]
- Karami, A.; Salehi, V. The influence of chromium substitution on an iron–titanium catalyst used in the selective catalytic reduction of NO. J. Catal. 2012, 292, 32–43. [Google Scholar] [CrossRef]
- Mou, X.; Zhang, B.; Li, Y.; Yao, L.; Wei, X.; Su, D.S.; Shen, W. Rod-shaped Fe2O3 as an efficient catalyst for the selective reduction of nitrogen oxide by ammonia. Angew. Chem.-Int. Edit. 2012, 51, 2989–2993. [Google Scholar] [CrossRef] [PubMed]
- Li, Y.; Cheng, H.; Li, D.; Qin, Y.; Xie, Y.; Wang, S. WO3/CeO2-ZrO2, a promising catalyst for selective catalytic reduction (SCR) of NOx with NH3 in diesel exhaust. Chem. Commun. 2008, 12, 1470–1472. [Google Scholar] [CrossRef]
- Chen, L.; Li, J.; Ablikim, W.; Wang, J.; Chang, H.; Ma, L.; Xu, J.; Ge, M.; Arandiyan, H. CeO2-WO3 mixed oxides for the selective catalytic reduction of NOx by NH3 over a wide temperature range. Catal. Lett. 2011, 141, 1859–1864. [Google Scholar] [CrossRef]
- Lee, S.M.; Park, K.H.; Hong, S.C. MnOx/CeO2–TiO2 mixed oxide catalysts for the selective catalytic reduction of NO with NH3 at low temperature. Chem. Eng. J. 2012, 195, 323–331. [Google Scholar] [CrossRef]
- Qi, G.; Yang, R.T.; Chang, R. MnOx-CeO2 mixed oxides prepared by co-precipitation for selective catalytic reduction of NO with NH3 at low temperatures. Appl. Catal. B-Environ. 2004, 51, 93–106. [Google Scholar] [CrossRef]
- Jin, R.; Liu, Y.; Wang, Y.; Cen, W.; Wu, Z.; Wang, H.; Weng, X. The role of cerium in the improved SO2 tolerance for NO reduction with NH3 over Mn-Ce/TiO2 catalyst at low temperature. Appl. Catal. B-Environ. 2014, 148, 582–588. [Google Scholar] [CrossRef]
- Guo, R.T.; Zhen, W.L.; Pan, W.G.; Zhou, Y.; Hong, J.N.; Xu, H.J.; Jin, Q.; Ding, C.G.; Guo, S.Y. Effect of Cu doping on the SCR activity of CeO2 catalyst prepared by citric acid method. J. Ind. Eng. Chem. 2014, 20, 1577–1580. [Google Scholar] [CrossRef]
- Gao, X.; Jiang, Y.; Fu, Y.; Zhong, Y.; Luo, Z.; Cen, K. Preparation and characterization of CeO2/TiO2 catalysts for selective catalytic reduction of NO with NH3. Catal. Commun. 2010, 11, 465–469. [Google Scholar] [CrossRef]
- Peng, Y.; Li, K.; Li, J. Identification of the active sites on CeO2–WO3 catalysts for SCR of NOx with NH3: An in situ IR and Raman spectroscopy study. Appl. Catal. B-Environ. 2013, 140, 483–492. [Google Scholar] [CrossRef]
- Peng, Y.; Li, J.; Chen, L.; Chen, J.; Han, J.; Zhang, H.; Han1, W. Alkali metal poisoning of a CeO2–WO3 catalyst used in the selective catalytic reduction of NO x with NH3: An experimental and theoretical study. Environ. Sci. Technol. 2012, 46, 2864–2869. [Google Scholar] [CrossRef] [PubMed]
- Shan, W.; Liu, F.; He, H.; Shi, X.; Zhang, C. A superior Ce-W-Ti mixed oxide catalyst for the selective catalytic reduction of NOx with NH3. Appl. Catal. B-Environ. 2012, 115, 100–106. [Google Scholar] [CrossRef]
- Jiang, Y.; Xing, Z.; Wang, X.; Huang, S.; Wang, X.; Liu, Q. Activity and characterization of a Ce–W–Ti oxide catalyst prepared by a single step sol–gel method for selective catalytic reduction of NO with NH3. Fuel 2015, 151, 124–129. [Google Scholar] [CrossRef]
- Liu, Z.; Zhang, S.; Li, J.; Ma, L. Promoting effect of MoO3 on the NOx reduction by NH3 over CeO2/TiO2 catalyst studied with in situ DRIFTS. Appl. Catal. B-Environ. 2014, 144, 90–95. [Google Scholar] [CrossRef]
- Jiang, Y.; Xing, Z.; Wang, X.; Huang, S.; Liu, Q.; Yang, J. MoO3 modified CeO2/TiO2 catalyst prepared by a single step sol–gel method for selective catalytic reduction of NO with NH3. J. Ind. Eng. Chem. 2015, 29, 43–47. [Google Scholar] [CrossRef]
- Liu, S.W.; Guo, R.T.; Sun, X.; Liu, J.; Pan, W.G.; Shi, X.; Wang, Z.Y.; Liu, X.Y.; Qin, H. Selective catalytic reduction of NOx over Ce/TiZrOx catalyst: The promoted K resistance by TiZrOx support. Mol. Catal. 2019, 462, 19–27. [Google Scholar] [CrossRef]
- Yan, Q.; Gao, Y.; Li, Y.; Vasiliades, M.A.; Chen, S.; Zhang, C.; Gui, R.; Wang, Q.; Zhu, T.; Efstathiou, A.M. Promotional effect of Ce doping in Cu4Al1Ox–LDO catalyst for low-T practical NH3-SCR: Steady-state and transient kinetics studies. Appl. Catal. B-Environ. 2019, 255, 117749. [Google Scholar] [CrossRef]
- Liu, Z.; Yi, Y.; Li, J.; Woo, S.I.; Wang, B.; Cao, X.; Li, Z. A superior catalyst with dual redox cycles for the selective reduction of NOx by ammonia. Chem. Commun. 2013, 49, 7726–7728. [Google Scholar] [CrossRef]
- Zhang, Q.; Qiu, C.; Xu, H.; Lin, T.; Lin, Z.; Gong, M.; Chen, Y. Low-temperature selective catalytic reduction of NO with NH3 over monolith catalyst of MnOx/CeO2–ZrO2–Al2O3. Catal. Today 2011, 175, 171–176. [Google Scholar] [CrossRef]
- Ko, J.H.; Park, S.H.; Jeon, J.-K.; Kim, S.-S.; Kim, S.C.; Kim, J.M.; Chang, D.; Park, Y.-K. Low temperature selective catalytic reduction of NO with NH3 over Mn supported on Ce0.65Zr0.35O2 prepared by supercritical method: Effect of Mn precursors on NO reduction. Catal. Today 2012, 185, 290–295. [Google Scholar] [CrossRef]
- Andreoli, S.; Deorsola, F.; Galletti, C.; Pirone, R. Nanostructured MnOx catalysts for low-temperature NOx SCR. Chem. Eng. J. 2015, 278, 174–182. [Google Scholar] [CrossRef]
- Zhang, N.; Li, L.; Guo, Y.; He, J.; Wu, R.; Song, L.; Zhang, G.; Zhao, J.; Wang, D.; He, H. A MnO2-based catalyst with H2O resistance for NH3-SCR: Study of catalytic activity and reactants-H2O competitive adsorption. Appl. Catal. B-Environ. 2020, 270, 118860. [Google Scholar] [CrossRef]
- Yang, S.; Liao, Y.; Xiong, S.; Qi, F.; Dang, H.; Xiao, X.; Li, J. N2 selectivity of NO reduction by NH3 over MnOx–CeO2: Mechanism and key factors. J. Phys. Chem. C 2014, 118, 21500–21508. [Google Scholar] [CrossRef]
- Xu, L.; Li, X.S.; Crocker, M.; Zhang, Z.S.; Zhu, A.M.; Shi, C. A study of the mechanism of low-temperature SCR of NO with NH3 on MnOx/CeO2. J. Mol. Catal. A Chem. 2013, 378, 82–90. [Google Scholar] [CrossRef]
- Eigenmann, F.; Maciejewski, M.; Baiker, A. Selective reduction of NO by NH3 over manganese–cerium mixed oxides: Relation between adsorption, redox and catalytic behavior. Appl. Catal. B-Environ. 2006, 62, 311–318. [Google Scholar] [CrossRef]
- Liu, Z.; Yi, Y.; Zhang, S.; Zhu, T.; Zhu, J.; Wang, J. Selective catalytic reduction of NOx with NH3 over Mn-Ce mixed oxide catalyst at low temperatures. Catal. Today 2013, 216, 76–81. [Google Scholar] [CrossRef]
- Qi, G.; Yang, R.T. Characterization and FTIR studies of MnOx−CeO2 catalyst for low-temperature selective catalytic reduction of NO with NH3. J. Phys. Chem. B 2004, 108, 15738–15747. [Google Scholar] [CrossRef]
- Jin, R.; Liu, Y.; Wu, Z.; Wang, H.; Gu, T. Relationship between SO2 poisoning effects and reaction temperature for selective catalytic reduction of NO over Mn–Ce/TiO2 catalyst. Catal. Today 2010, 153, 84–89. [Google Scholar] [CrossRef]
- Wu, Z.; Jin, R.; Liu, Y.; Wang, H. Ceria modified MnOx/TiO2 as a superior catalyst for NO reduction with NH3 at low-temperature. Catal. Commun. 2008, 9, 2217–2220. [Google Scholar] [CrossRef]
- Du, K.M.; Qin, G.H.; Qi, Z.F.; Liu, C.H.; Jiang, N.; Hu, D.Q. Poisoning of NH3-SCR denitration catalyst and its anti-poisoning strategy. Modern Chem. Ind. 2021, 41, 58–62. [Google Scholar]
- Gao, F.; Tang, X.; Yi, H.; Zhao, S.; Zhang, T.; Li, D.; Ma, D. The poisoning and regeneration effect of alkali metals deposed over commercial V2O5-WO3/TiO2 catalysts on SCR of NO by NH3. Chin. Sci. Bull. 2014, 59, 3966–3972. [Google Scholar] [CrossRef]
- Guo, L.X.; Lu, Y.H.; Han, Z.G. Discussion on deactivation mechanism and regeneration technology of SCR denitration catalyst in thermal power plant. Resour. Econ. Environ. Prot. 2016, 19–20. [Google Scholar] [CrossRef]
- Wang, S.X.; Guo, R.T.; Pan, W.G.; Chen, Q.L.; Sun, P.; Li, M.Y.; Liu, S.M. The deactivation of Ce/TiO2 catalyst for NH3-SCR reaction by alkali metals: TPD and DRIFT studies. Catal. Commun. 2017, 89, 143–147. [Google Scholar] [CrossRef]
- Zhou, A.Y. Mechanism Study on the Effect of Alkali/Alkaline Earth Metal and Halogen Deposition on the Performance of Mn-Ce/TiO2 Catalyst for Low Temperature SCR Denitration. Master’s Thesis, Nanjing Normal University, Nanjing, China, 2016. [Google Scholar]
- Jiang, Y.; Shi, W.; Lai, C.; Gao, W.; Yang, L.; Yu, X.; Yang, Z.; Lin, R. The deactivation effect of Na2O and NaCl on CeO2–TiO2 catalysts for selective catalytic reduction of NO with NH3. J. Energy Inst. 2020, 93, 1332–1340. [Google Scholar] [CrossRef]
- Reyna-Alvarado, J.; López-Galán, O.A.; Ramos, M.; Rodríguez, J.; Pérez-Hernández, R. A theoretical catalytic mechanism for methanol reforming in CeO2 vs Ni/CeO2 by energy transition states profiles. Catal. Today. 2022, 392–393, 146–153. [Google Scholar] [CrossRef]
- Jiang, Y.; Lai, C.; Li, Q.; Gao, W.; Yang, L.; Yang, Z.; Lin, R.; Wang, X.; Zhu, X. The poisoning effect of KCl and K2O on CeO2-TiO2 catalyst for selective catalytic reduction of NO with NH3. Fuel 2020, 280, 118638. [Google Scholar] [CrossRef]
- Strege, J.R.; Zygarlicke, C.J.; Folkedahl, B.C.; McCollor, D.P. SCR deactivation in a full-scale cofired utility boiler. Fuel 2008, 87, 1341–1347. [Google Scholar] [CrossRef]
- Kim, S.S.; Kang, Y.S.; Lee, H.D.; Kim, J.K.; Hong, S.C. Release of potassium and sodium species during combustion of various rank coals, biomass, sludge and peats. J. Ind. Eng. Chem. 2012, 18, 2199–2203. [Google Scholar] [CrossRef]
- Chen, J.; Buzanowski, M.; Yang, R.; Cichanowicz, J. Deactivation of the vanadia catalyst in the selective catalytic reduction process. J. Air Waste Manage. Assoc. 1990, 40, 1403–1409. [Google Scholar] [CrossRef]
- Benson, S.A.; Laumb, J.D.; Crocker, C.R.; Pavlish, J.H. SCR catalyst performance in flue gases derived from subbituminous and lignite coals. Fuel Process. Technol. 2005, 86, 577–613. [Google Scholar] [CrossRef]
- Nicosia, D.; Czekaj, I.; Kröcher, O. Chemical deactivation of V2O5/WO3–TiO2 SCR catalysts by additives and impurities from fuels, lubrication oils and urea solution: Part II. Characterization study of the effect of alkali and alkaline earth metals. Appl. Catal. B-Environ. 2008, 77, 228–236. [Google Scholar] [CrossRef]
- Liu, Y.; Gu, T.; Wang, Y.; Weng, X.; Wu, Z. Influence of Ca doping on MnOx/TiO2 catalysts for low-temperature selective catalytic reduction of NOx by NH3. Catal. Commun. 2012, 18, 106–109. [Google Scholar] [CrossRef]
- Shen, B.; Deng, L.; Chen, J. Effect of K and Ca on catalytic activity of Mn-CeOx/Ti-PILC. Front. Environ. Sci. Eng. 2013, 7, 512–517. [Google Scholar] [CrossRef]
- Zhou, A.Y.; Mao, H.F.; Sheng, Z.Y.; Tan, Y.; Yang, L. Poisoning effect of Ca depositing over Mn-Ce/TiO2 catalyst for low-temperature selective catalytic reduction of NO by NH3. Environ. Sci. 2014, 35, 4745–4751. [Google Scholar]
- Wang, X.B.; Zhou, J.; Wang, J.; Ding, A.F.; Gui, K.T.; Thomas, H.R. The effect of different Ca precursors on the activity of manganese and cerium oxides supported on TiO2 for NO abatement. React. Kinet. Mech. Catal. 2020, 129, 153–164. [Google Scholar] [CrossRef]
- Li, X.; Li, X.; Li, J.; Hao, J. High calcium resistance of CeO2–WO3 SCR catalysts: Structure investigation and deactivation analysis. Chem. Eng. J. 2017, 317, 70–79. [Google Scholar] [CrossRef]
- Wang, D.; Luo, J.; Yang, Q.; Yan, J.; Zhang, K.; Zhang, W.; Peng, Y.; Li, J.; Crittenden, J. Deactivation mechanism of multipoisons in cement furnace flue gas on selective catalytic reduction catalysts. Environ. Sci. Technol. 2019, 53, 6937–6944. [Google Scholar] [CrossRef]
- Deng, S.; Zhang, F.; Liu, Y.; Shi, Y.J.; Wang, H.M.; Zhang, C.; Wang, X.F.; Cao, Q. Lead emission and speciation of coal-fired power plants in China. China Environ. Sci. 2013, 33, 1199–1206. [Google Scholar]
- Khodayari, R.; Odenbrand, C.I. Deactivating effects of lead on the selective catalytic reduction of nitric oxide with ammonia over a V2O5/WO3/TiO2 catalyst for waste incineration applications. Ind. Eng. Chem. Res. 1998, 37, 1196–1202. [Google Scholar] [CrossRef]
- Linak, W.P.; Wendt, J.O. Trace metal transformation mechanisms during coal combustion. Fuel Process. Technol. 1994, 39, 173–198. [Google Scholar] [CrossRef]
- Chen, G.; Ke, Z.Y.; Tang, N.; Zhang, K.; Liu, J. Preliminary study on the determination method of lead in flue gas of coal-fired power plant. Adm. Tech. Environ. Monit. 2020, 32, 52–54. [Google Scholar]
- Jiang, Y. Study on Titanium-Based SCR Catalyst and Its Potassium and Lead Poisoning Mechanism. Ph.D. Thesis, Zhejiang University, Zhejiang, China, 2010. [Google Scholar]
- Yan, D.J.; Tong, G.; Ya, Y.; Chen, Z.H. Lead poisoning and regeneration of Mn-Ce/TiO2 catalysts for NH3-SCR of NOx at low temperature. J. Fuel Chem. Technol. 2021, 49, 113–120. [Google Scholar] [CrossRef]
- Guo, R.T.; Lu, C.Z.; Pan, W.G.; Zhen, W.L.; Wang, Q.S.; Chen, Q.L.; Ding, H.L.; Yang, N.Z. A comparative study of the poisoning effect of Zn and Pb on Ce/TiO2 catalyst for low temperature selective catalytic reduction of NO with NH3. Catal. Commun. 2015, 59, 136–139. [Google Scholar] [CrossRef]
- Jiang, Y.; Gao, X.; Zhang, Y.; Wu, W.; Song, H.; Luo, Z.; Cen, K. Effects of PbCl2 on selective catalytic reduction of NO with NH3 over vanadia-based catalysts. J. Hazard. Mater. 2014, 274, 270–278. [Google Scholar] [CrossRef]
- Jiang, Y.; Gao, X.; Du, X.S.; Mao, J.H.; Luo, Z.Y.; Cen, K.F. Effect of PbO on Selective Catalytic Reduction of NO by NH3 over V2O5/TiO2 Catalyst. J. Eng. Thermophys. 2009, 30, 1973–1976. [Google Scholar]
- Jiang, Y.; Liang, G.; Bao, C.; Lu, M.; Lai, C.; Shi, W. The poisoning effect of PbO and PbCl2 on CeO2-TiO2 catalyst for selective catalytic reduction of NO with NH3. J. Colloid Interface Sci. 2018, 528, 82–91. [Google Scholar] [CrossRef]
- Zhou, L.; Li, C.; Zhao, L.; Zeng, G.; Gao, L.; Wang, Y. The poisoning effect of PbO on Mn-Ce/TiO2 catalyst for selective catalytic reduction of NO with NH3 at low temperature. Appl. Surf. Sci. 2016, 389, 532–539. [Google Scholar] [CrossRef]
- Jiang, Y.; Yang, L.; Liang, G.; Liu, S.; Gao, W.; Yang, Z.; Wang, X.; Lin, R.; Zhu, X. The poisoning effect of PbO on CeO2-MoO3/TiO2 catalyst for selective catalytic reduction of NO with NH3. Mol. Catal. 2020, 486, 110877. [Google Scholar] [CrossRef]
- Kong, M.; Zhang, H.; Wang, Y.; Liu, Q.; Liu, W.; Wu, H. Deactivation mechanisms of MnOx-CeO2/Ti-bearing blast furnace slag low-temperature SCR catalyst by PbO and PbCl2. Mol. Catal. 2022, 521, 112209. [Google Scholar] [CrossRef]
- Castellino, F.; Rasmussen, S.B.; Jensen, A.D.; Johnsson, J.E.; Fehrmann, R. Deactivation of vanadia-based commercial SCR catalysts by polyphosphoric acids. Appl. Catal. B-Environ. 2008, 83, 110–122. [Google Scholar] [CrossRef]
- Kröcher, O.; Elsener, M. Chemical deactivation of V2O5/WO3–TiO2 SCR catalysts by additives and impurities from fuels, lubrication oils, and urea solution: I. Catalytic studies. Appl. Catal. B-Environ. 2008, 77, 215–227. [Google Scholar] [CrossRef]
- Yan, T.; Liu, Q.; Wang, S.; Xu, G.; Wu, M.; Chen, J.; Li, J. Promoter rather than Inhibitor: Phosphorus Incorporation Accelerates the Activity of V2O5–WO3/TiO2 Catalyst for Selective Catalytic Reduction of NOx by NH3. ACS Catal. 2020, 10, 2747–2753. [Google Scholar] [CrossRef]
- Trabelsi, F.; Ait-Lyazidi, H.; Ratsimba, B.; Wilhelm, A.; Delmas, H.; Fabre, P.; Berlan, J. Oxidation of phenol in wastewater by sonoelectrochemistry. Chem. Eng. Sci. 1996, 51, 1857–1865. [Google Scholar] [CrossRef]
- Kamata, H.; Takahashi, K.; Odenbrand, C. Surface acid property and its relation to SCR activity of phosphorus added to commercial V2O5 (WO3)/TiO2 catalyst. Catal. Lett. 1998, 53, 65–71. [Google Scholar] [CrossRef]
- Gopal, N.O.; Lo, H.H.; Ke, T.F.; Lee, C.H.; Chou, C.C.; Wu, J.D.; Sheu, S.C.; Ke, S.C. Visible light active phosphorus-doped TiO2 nanoparticles: An EPR evidence for the enhanced charge separation. J. Phys. Chem. C 2012, 116, 16191–16197. [Google Scholar] [CrossRef]
- Miao, Z.; Li, Z.; Liang, M.; Meng, J.; Zhao, Y.; Xu, L.; Mu, J.; Zhou, J.; Zhuo, S.; Si, W. Ordered mesoporous titanium phosphate material: A highly efficient, robust and reusable solid acid catalyst for acetalization of glycerol. Chem. Eng. J. 2020, 381, 122594. [Google Scholar] [CrossRef]
- Yao, X.; Wang, Z.; Yu, S.; Yang, F.; Dong, L. Acid pretreatment effect on the physicochemical property and catalytic performance of CeO2 for NH3-SCR. Appl. Catal. A-Gen. 2017, 542, 282–288. [Google Scholar] [CrossRef]
- You, Y.; Chang, H.; Zhu, T.; Zhang, T.; Li, X.; Li, J. The poisoning effects of phosphorus on CeO2-MoO3/TiO2 DeNOx catalysts: NH3-SCR activity and the formation of N2O. Mol. Catal. 2017, 439, 15–24. [Google Scholar] [CrossRef]
- You, Y.; Shi, C.; Chang, H.; Guo, L.; Xu, L.; Li, J. The promoting effects of amorphous CePO4 species on phosphorus-doped CeO2/TiO2 catalysts for selective catalytic reduction of NOx by NH3. Mol. Catal. 2018, 453, 47–54. [Google Scholar] [CrossRef]
- Zeng, Y.; Wang, Y.; Hongmanorom, P.; Wang, Z.; Zhang, S.; Chen, J.; Zhong, Q.; Kawi, S. Active sites adjustable phosphorus promoted CeO2/TiO2 catalysts for selective catalytic reduction of NOx by NH3. Chem. Eng. J. 2021, 409, 128242. [Google Scholar] [CrossRef]
- Cao, J.; Rohani, S.; Liu, W.; Liu, H.; Lu, Z.; Wu, H.; Jiang, L.; Kong, M.; Liu, Q.; Yao, X. Influence of phosphorus on the NH3-SCR performance of CeO2-TiO2 catalyst for NOx removal from co-incineration flue gas of domestic waste and municipal sludge. J. Colloid Interface Sci. 2022, 610, 463–473. [Google Scholar] [CrossRef] [PubMed]
- Lisi, L.; Lasorella, G.; Malloggi, S.; Russo, G. Single and combined deactivating effect of alkali metals and HCl on commercial SCR catalysts. Appl. Catal. B-Environ. 2004, 50, 251–258. [Google Scholar] [CrossRef]
- Hou, Y.; Cai, G.; Huang, Z.; Han, X.; Guo, S. Effect of HCl on V2O5/AC catalyst for NO reduction by NH3 at low temperatures. Chem. Eng. J. 2014, 247, 59–65. [Google Scholar] [CrossRef]
- Choung, J.W.; Nam, I.-S. Characteristics of copper ion exchanged mordenite catalyst deactivated by HCl for the reduction of NOx with NH3. Appl. Catal. B-Environ. 2006, 64, 42–50. [Google Scholar] [CrossRef]
- Choung, J.W.; Nam, I.-S. Role of cerium in promoting the stability of CuHM catalyst against HCl to reduce NO with NH3. Appl. Catal. A-Gen. 2006, 312, 165–174. [Google Scholar] [CrossRef]
- Yang, N.Z.; Guo, R.T.; Pan, W.G.; Chen, Q.L.; Wang, Q.S.; Lu, C.Z.; Wang, S.X. The deactivation mechanism of Cl on Ce/TiO2 catalyst for selective catalytic reduction of NO with NH3. Appl. Surf. Sci. 2016, 378, 513–518. [Google Scholar] [CrossRef]
- Chang, F.Y.; Chen, J.C.; Wey, M.Y. Activity and characterization of Rh/Al2O3 and Rh–Na/Al2O3 catalysts for the SCR of NO with CO in the presence of SO2 and HCl. Fuel 2010, 89, 1919–1927. [Google Scholar] [CrossRef]
- Lu, M.Y. Influence of Cl on the Flue Gas Denitration Performance of Ce-Ti series Metal Oxide Catalysts. Master’s Thesis, China University of Petro-leum (East China), Shandong, China, 2018. [Google Scholar]
- Zhang, S.; Li, H.; Zhong, Q. Promotional effect of F-doped V2O5–WO3/TiO2 catalyst for NH3-SCR of NO at low-temperature. Appl. Catal. A-Gen. 2012, 435, 156–162. [Google Scholar] [CrossRef]
- Zhang, S.; Zhong, Q.; Zhao, W.; Li, Y. Surface characterization studies on F-doped V2O5/TiO2 catalyst for NO reduction with NH3 at low-temperature. Chem. Eng. J. 2014, 253, 207–216. [Google Scholar] [CrossRef]
- Zhang, R.; Zhong, Q.; Zhao, W.; Yu, L.; Qu, H. Promotional effect of fluorine on the selective catalytic reduction of NO with NH3 over CeO2-TiO2 catalyst at low temperature. Appl. Surf. Sci. 2014, 289, 237–244. [Google Scholar] [CrossRef]
- Ciardelli, C.; Nova, I.; Tronconi, E.; Chatterjee, D.; Bandl-Konrad, B. A “Nitrate Route” for the low temperature “Fast SCR” reaction over a V2O5–WO3/TiO2 commercial catalyst. Catal. Commun. 2004, 23, 2718–2719. [Google Scholar]
- Koebel, M.; Elsener, M.; Madia, G. Reaction pathways in the selective catalytic reduction process with NO and NO2 at low temperatures. Ind. Eng. Chem. Res. 2001, 40, 52–59. [Google Scholar] [CrossRef]
- Zhang, R. Preparation and Denitration Performance of F-Doped Cerium-Titanium Catalysts for low-Temperature SCR. Ph.D. Thesis, Nanjing University of Science and Technology, Nanjing, China, 2014. [Google Scholar]
- Yang, N.Z.; Guo, R.T.; Tian, Y.; Pan, W.G.; Chen, Q.L.; Wang, Q.S.; Lu, C.Z.; Wang, S.X. The enhanced performance of ceria by HF treatment for selective catalytic reduction of NO with NH3. Fuel 2016, 179, 305–311. [Google Scholar] [CrossRef]
- Jin, Q.; Shen, Y.; Zhu, S. Effect of fluorine additive on CeO2(ZrO2)/TiO2 for selective catalytic reduction of NO by NH3. J. Colloid Interface Sci. 2017, 487, 401–409. [Google Scholar] [CrossRef] [PubMed]
- Won, J.M.; Kim, J.T.; Jeong, S.K.; Hwang, S.M. Primary factors affecting denitrification efficiency of V-based catalysts in low-temperature selective catalytic reduction using NH3. Appl. Surf. Sci. 2021, 566, 150632. [Google Scholar] [CrossRef]
- Lin, F.; Wang, Q.; Zhang, J.; Jin, J.; Lu, S.; Yan, J. Mechanism and kinetics study on low-temperature NH3-SCR over manganese–cerium composite oxide catalysts. Ind. Eng. Chem. Res. 2019, 58, 22763–22770. [Google Scholar] [CrossRef]
- Liu, K.; He, H.; Chu, B. Microkinetic study of NO oxidation, standard and fast NH3-SCR on CeWOx at low temperatures. Chem. Eng. J. 2021, 423, 130128. [Google Scholar] [CrossRef]
- Woo, J.; Wang, A.; Bernin, D.; Ahari, H.; Shost, M.; Zammit, M.; Olsson, L. Impact of Different Synthesis Methods on the Low-Temperature Deactivation of Cu/SAPO-34 for NH3-SCR Reaction. Emiss. Control. Sci. Technol. 2021, 7, 198–209. [Google Scholar] [CrossRef]
- Yang, W.; Ren, J.; Zhang, H.; Li, J.; Wu, C.; Gates, I.D.; Gao, Z. Single-atom iron as a promising low-temperature catalyst for selective catalytic reduction of NOx with NH3: A theoretical prediction. Fuel 2021, 302, 121041. [Google Scholar] [CrossRef]
- Wang, H.; Huang, B.; Yu, C.; Lu, M.; Huang, H.; Zhou, Y. Research progress, challenges and perspectives on the sulfur and water resistance of catalysts for low temperature selective catalytic reduction of NOx by NH3. Appl. Catal. A-Gen. 2019, 588, 117207. [Google Scholar] [CrossRef]
- Xiao, X.; Xiong, S.; Shi, Y.; Shan, W.; Yang, S. Effect of H2O and SO2 on the selective catalytic reduction of NO with NH3 over Ce/TiO2 catalyst: Mechanism and kinetic study. J. Phys. Chem. C 2016, 120, 1066–1076. [Google Scholar] [CrossRef]
- Wang, Y.; Ge, D.; Chen, M.; Gao, S.; Wu, Z. A dual-functional way for regenerating NH3-SCR catalysts while enhancing their poisoning resistance. Catal. Commun. 2018, 117, 69–73. [Google Scholar] [CrossRef]
- Wu, Z.; Jin, R.; Wang, H.; Liu, Y. Effect of ceria doping on SO2 resistance of Mn/TiO2 for selective catalytic reduction of NO with NH3 at low temperature. Catal. Commun. 2009, 10, 935–939. [Google Scholar] [CrossRef]
- Xu, W.; He, H.; Yu, Y. Deactivation of a Ce/TiO2 catalyst by SO2 in the selective catalytic reduction of NO by NH3. J. Phys. Chem. C 2009, 113, 4426–4432. [Google Scholar] [CrossRef]
- Wang, Q.; Zhou, J.; Zhang, J.; Zhu, H.; Feng, Y.; Jin, J. Effect of ceria doping on the catalytic activity and SO2 resistance of MnOx/TiO2 catalysts for the selective catalytic reduction of NO with NH3 at low temperatures. Aerosol Air Qual. Res. 2020, 20, 477–488. [Google Scholar] [CrossRef] [Green Version]
- Zhai, G.; Han, Z.; Wu, X.; Du, H.; Gao, Y.; Yang, S.; Song, L.; Dong, J.; Pan, X. Pr-modified MnOx catalysts for selective reduction of NO with NH3 at low temperature. J. Taiwan Inst. Chem. Eng. 2021, 125, 132–140. [Google Scholar] [CrossRef]
- Gao, C.; Shi, J.W.; Fan, Z.; Wang, B.; Wang, Y.; He, C.; Wang, X.; Li, J.; Niu, C. “Fast SCR” reaction over Sm-modified MnOx-TiO2 for promoting reduction of NOx with NH3. Appl. Catal. A-Gen. 2018, 564, 102–112. [Google Scholar] [CrossRef]
- Sun, P.; Guo, R.T.; Liu, S.M.; Wang, S.X.; Pan, W.G.; Li, M.Y. The enhanced performance of MnOx catalyst for NH3-SCR reaction by the modification with Eu. Appl. Catal. A-Gen. 2017, 531, 129–138. [Google Scholar] [CrossRef]
- Sheng, Z.; Hu, Y.; Xue, J.; Wang, X.; Liao, W. SO2 poisoning and regeneration of Mn-Ce/TiO2 catalyst for low temperature NOx reduction with NH3. J. Rare Earths 2012, 30, 676–682. [Google Scholar] [CrossRef]
- Kresse, G.; Furthmüller, J. Efficiency of ab-initio total energy calculations for metals and semiconductors using a plane-wave basis set. Comput. Mater. Sci. 1996, 6, 15–50. [Google Scholar]
- Gu, T.; Liu, Y.; Weng, X.; Wang, H.; Wu, Z. The enhanced performance of ceria with surface sulfation for selective catalytic reduction of NO by NH3. Catal. Commun. 2010, 12, 310–313. [Google Scholar] [CrossRef]
- Shen, Y.; Ma, Y.; Zhu, S. Promotional effect of zirconium additives on Ti0.8Ce0.2O2 for selective catalytic reduction of NO. Catal. Sci. Technol. 2012, 2, 589–599. [Google Scholar] [CrossRef]
- Shen, B.; Liu, T.; Zhao, N.; Yang, X.; Deng, L. Iron-doped Mn-Ce/TiO2 catalyst for low temperature selective catalytic reduction of NO with NH3. J. Environ. Sci. 2010, 22, 1447–1454. [Google Scholar] [CrossRef]
- Liu, C.; Chen, L.; Li, J.; Ma, L.; Arandiyan, H.; Du, Y.; Xu, J.; Hao, J. Enhancement of activity and sulfur resistance of CeO2 supported on TiO2–SiO2 for the selective catalytic reduction of NO by NH3. Environ. Sci. Technol. 2012, 46, 6182–6189. [Google Scholar] [CrossRef]
- Yu, J.; Guo, F.; Wang, Y.; Zhu, J.; Liu, Y.; Su, F.; Gao, S.; Xu, G. Sulfur poisoning resistant mesoporous Mn-base catalyst for low-temperature SCR of NO with NH3. Appl. Catal. B-Environ. 2010, 95, 160–168. [Google Scholar] [CrossRef]
- Shan, W.; Liu, F.; He, H.; Shi, X.; Zhang, C. The Remarkable Improvement of a CeTi based Catalyst for NOx Abatement, Prepared by a Homogeneous Precipitation Method. ChemCatChem 2011, 3, 1286–1289. [Google Scholar] [CrossRef]
- Wang, Q.; Wang, R.; Huang, X.; Shi, H. Sulfur/water resistance and regeneration of MnOx-CeO2/TiO2 catalyst for low-temperature selective catalytic reduction of NOx. J. Environ. Chem. Eng. 2022, 10, 107345. [Google Scholar]































| Types of Impurities | Effect on Rare Earth Catalysts |
|---|---|
| Na, K | K and Na will decrease the acid sites of the catalyst, and their oxides and chlorides will weaken the reaction activity of the catalyst surface, inhibit the formation of oxygen vacancies and chemical adsorbed oxygen, thereby reducing the NH3 adsorption amount and weakening the denitrification performance. The influence of K is greater than that of Na, and the influence of oxides is more serious than that of chlorides. |
| Ca | Ca deposition can destroy the pore structure of the catalyst, reduce the surface active elements and acid sites, and Mg has a similar effect. |
| Pb | Lead will reduce the redox performance, chemical adsorption of oxygen and specific surface area of the catalyst. The toxicity of lead chloride is higher than lead oxide, because lead chloride is easier to form crystalline phase. |
| P | At low temperature, P promotes the grain growth of TiO2 and CeO2 in the catalyst, reduces the specific surface area of the catalyst, inhibits the electron transfer between Ce and Ti ions, and reduces its redox performance. At high temperature, P inhibits NOx and N2O produced by ammonia peroxidation, thereby increasing its activity. |
| Cl | HCl led to the decrease of specific surface area, the increase of crystallinity, the decrease of redox ability, and the significant decrease of surface acid sites, which further affected the catalyst activity. |
| F | F can inhibit crystallization, so that the catalyst has more surface active sites, increasing oxygen vacancies and chemisorption oxygen. In addition, the addition of F can bring more NOx adsorption sites and the formation of intermediate species, thereby promoting the activity of the catalyst. |
| S | Ce in rare earth catalysts can effectively delay the formation of surface sulfating substances, reduce the binding energy of ammonium and sulfate ions, so that ammonium sulfate is easier to decompose and improve the sulfur resistance of Ce modified catalysts. |
Publisher’s Note: MDPI stays neutral with regard to jurisdictional claims in published maps and institutional affiliations. |
© 2022 by the authors. Licensee MDPI, Basel, Switzerland. This article is an open access article distributed under the terms and conditions of the Creative Commons Attribution (CC BY) license (https://creativecommons.org/licenses/by/4.0/).
Share and Cite
Bian, X.; Lv, K.; Cai, M.; Cen, P.; Wu, W. Effects of Flue Gas Impurities on the Performance of Rare Earth Denitration Catalysts. Catalysts 2022, 12, 808. https://doi.org/10.3390/catal12080808
Bian X, Lv K, Cai M, Cen P, Wu W. Effects of Flue Gas Impurities on the Performance of Rare Earth Denitration Catalysts. Catalysts. 2022; 12(8):808. https://doi.org/10.3390/catal12080808
Chicago/Turabian StyleBian, Xue, Kaikai Lv, Ming Cai, Peng Cen, and Wenyuan Wu. 2022. "Effects of Flue Gas Impurities on the Performance of Rare Earth Denitration Catalysts" Catalysts 12, no. 8: 808. https://doi.org/10.3390/catal12080808
APA StyleBian, X., Lv, K., Cai, M., Cen, P., & Wu, W. (2022). Effects of Flue Gas Impurities on the Performance of Rare Earth Denitration Catalysts. Catalysts, 12(8), 808. https://doi.org/10.3390/catal12080808

