Synthesis of Oxygen Deficient TiO2 for Improved Photocatalytic Efficiency in Solar Radiation
Abstract
:1. Introduction
2. Results and Discussion
2.1. Absorption of Zero Valent Nano Iron-Doped TiO2 under Electromagnetic Spectrum
2.2. Morphology, Surface Area and Size Distributions
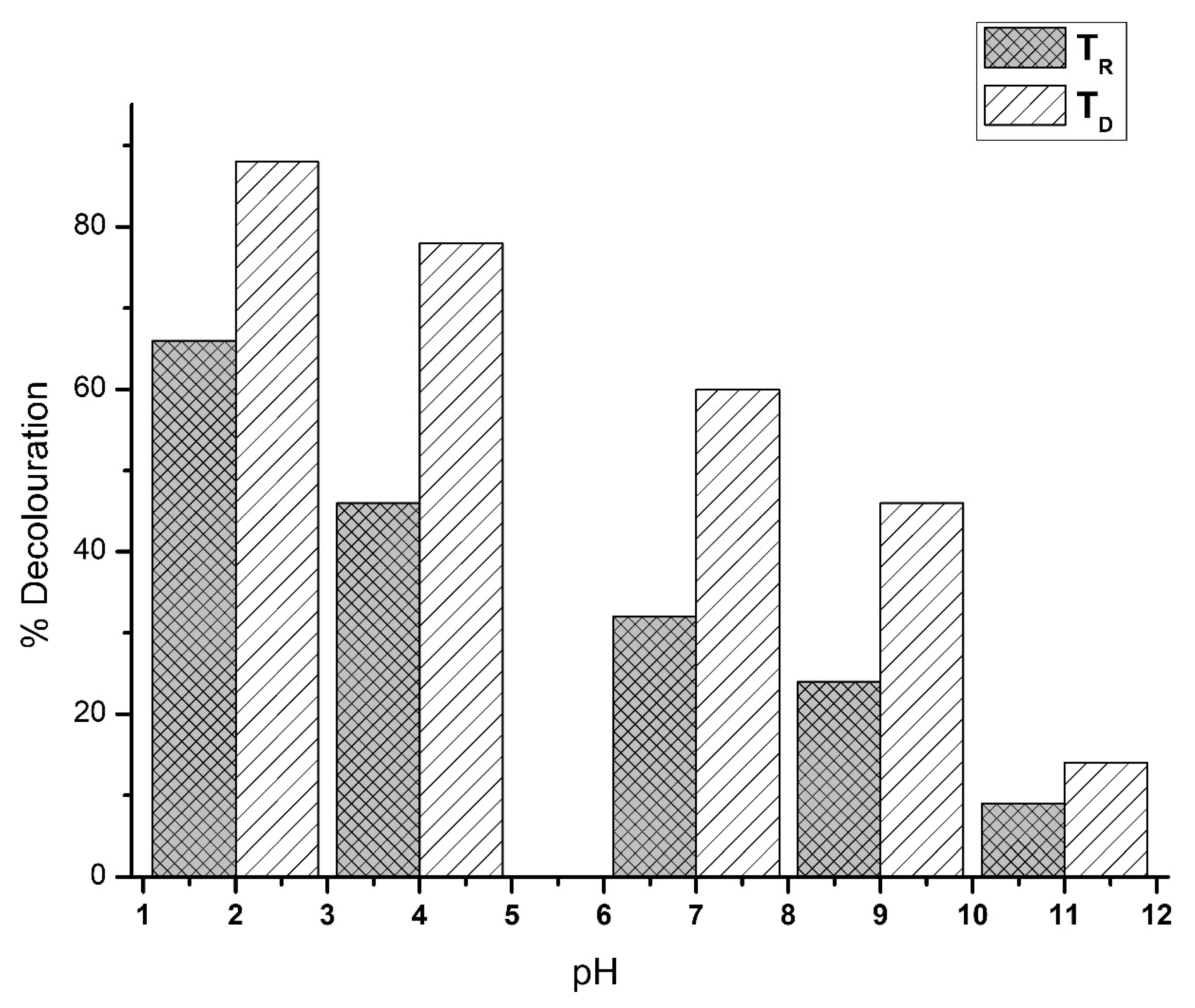
2.3. Photo-Catalytic Application of the Synthesized Titanium Oxide Nanoparticle
3. Materials and Methods
3.1. Materials
3.2. Preparation Method
3.3. Application Method for the Synthesized Titanium (IV) Oxide Nanoparticle
3.4. Sample Characterization
3.5. Computational Simulation
4. Conclusions
Author Contributions
Funding
Acknowledgments
Conflicts of Interest
References
- Khan, M.M.; Adil, S.; Al-Mayouf, A. Metal oxides as photocatalysts. J. Saudi Chem. Soc. 2015, 19, 462–464. [Google Scholar] [CrossRef] [Green Version]
- Ibrahim, M.M.; Mezni, A.; El-Sheshtawy, H.S.; Abu Zaid, A.A.; Alsawat, M.; El-Shafi, N.; Ahmed, S.I.; Shaltout, A.A.; Amin, M.A.; Kumeria, T.; et al. Direct Z-scheme of Cu2O/TiO2 enhanced self-cleaning, antibacterial activity, and UV protection of cotton fiber under sunlight. Appl. Surf. Sci. 2019, 479, 953–962. [Google Scholar] [CrossRef]
- Aguirre, M.E.; Zhou, R.; Eugene, A.J.; Guzman, M.I.; Grela, M.A. Cu2O/TiO2 heterostructures for CO2 reduction through a direct Z-scheme: Protecting Cu2O from photocorrosion. Appl. Catal. B Environ. 2017, 217, 485–493. [Google Scholar] [CrossRef]
- Mestre, A.S.; Carvalho, A.P. Photocatalytic Degradation of Pharmaceuticals Carbamazepine, Diclofenac, and Sulfamethoxazole by Semiconductor and Carbon Materials: A Review. Molecules 2019, 24, 3702. [Google Scholar] [CrossRef] [Green Version]
- Zangeneh, H.; Zinatizadeh, A.; Habibi, M.; Akia, M.; Isa, M.H. Photocatalytic oxidation of organic dyes and pollutants in wastewater using different modified titanium dioxides: A comparative review. J. Ind. Eng. Chem. 2015, 26, 1–36. [Google Scholar] [CrossRef]
- Máynez-Navarro, O.D.; Sánchez-Salas, J.L. Focus on Zinc Oxide as a Photocatalytic Material for Water Treatment. Int. J. Bioremediation Biodegrad. 2018, 2017, 1–9. [Google Scholar] [CrossRef]
- Minero, C.; Vione, D. A quantitative evalution of the photocatalytic performance of TiO2 slurries. Appl. Catal. B Environ. 2006, 67, 257–269. [Google Scholar] [CrossRef]
- Lee, S.-Y.; Park, S.-J. TiO2 photocatalyst for water treatment applications. J. Ind. Eng. Chem. 2013, 19, 1761–1769. [Google Scholar] [CrossRef]
- Phuong, N.M.; Chu, N.C.; Van Thuan, D.; Ha, M.N.; Hanh, N.T.; Viet, H.D.T.; Thu, N.T.M.; Van Quan, P.; Truc, N.T.T. Novel Removal of Diazinon Pesticide by Adsorption and Photocatalytic Degradation of Visible Light-Driven Fe-TiO2/Bent-Fe Photocatalyst. J. Chem. 2019, 2019, 1–7. [Google Scholar] [CrossRef] [Green Version]
- Rehman, S.; Ullah, R.; Butt, A.; Gohar, N. Strategies of making TiO2 and ZnO visible light active. J. Hazard. Mater. 2009, 170, 560–569. [Google Scholar] [CrossRef] [PubMed]
- Pereira, L.D.O.; Sales, I.M.; Zampiere, L.P.; Vieira, S.S.; Guimarães, I.D.R.; Magalhães, F. Preparation of magnetic photocatalysts from TiO2, activated carbon and iron nitrate for environmental remediation. J. Photochem. Photobiol. A Chem. 2019, 382, 111907. [Google Scholar] [CrossRef]
- Park, G.D.; Lee, J.; Piao, Y.; Kang, Y.C. Mesoporous graphitic carbon-TiO2 composite microspheres produced by a pilot-scale spray-drying process as an efficient sulfur host material for Li-S batteries. Chem. Eng. J. 2018, 335, 600–611. [Google Scholar] [CrossRef]
- Nakamura, I.; Negishi, N.; Kutsuna, S.; Ihara, T.; Sugihara, S.; Takeuchi, K. Role of oxygen vacancy in the plasma-treated TiO2 photocatalyst with visible light activity for NO removal. J. Mol. Catal. A Chem. 2000, 161, 205–212. [Google Scholar] [CrossRef]
- Bethi, B.; Sonawane, S.; Rohit, G.; Holkar, C.; Pinjari, D.; Bhanvase, B.; Pandit, A. Investigation of TiO2 photocatalyst performance for decolorization in the presence of hydrodynamic cavitation as hybrid AOP. Ultrason. Sonochem. 2016, 28, 150–160. [Google Scholar] [CrossRef] [PubMed]
- Zhang, Z.; Wu, Q.; Johnson, G.; Ye, Y.; Li, X.; Li, N.; Cui, M.; Lee, J.D.; Liu, C.; Zhao, S.; et al. Generalized Synthetic Strategy for Transition-Metal-Doped Brookite-Phase TiO2 Nanorods. J. Am. Chem. Soc. 2019, 141, 16548–16552. [Google Scholar] [CrossRef] [PubMed]
- Bhatia, V.; Dhir, A. Transition metal doped TiO2 mediated photocatalytic degradation of anti-inflammatory drug under solar irradiations. J. Environ. Chem. Eng. 2016, 4, 1267–1273. [Google Scholar] [CrossRef]
- Zhang, J.; Fu, D.; Wang, S.; Hao, R.; Xie, Y. Photocatalytic removal of chromium(VI) and sulfite using transition metal (Cu, Fe, Zn) doped TiO2 driven by visible light: Feasibility, mechanism and kinetics. J. Ind. Eng. Chem. 2019, 80, 23–32. [Google Scholar] [CrossRef]
- Liu, Q.-F.; Zhang, Q.; Liu, B.-R.; Li, S.; Ma, J.-J. Building surface defects by doping with transition metal on ultrafine TiO2 to enhance the photocatalytic H2 production activity. Chin. J. Catal. 2018, 39, 542–548. [Google Scholar] [CrossRef]
- Bhardwaj, S.; Pal, B. Effect of variable oxidation states of Mn+n ion impregnated TiO2 nanocomposites for superior adsorption and photoactivity under visible light. J. Alloys Compd. 2020, 816, 152639. [Google Scholar] [CrossRef]
- Kuo, C.-Y.; Jheng, H.-K.; Syu, S.-E. Effect of non-metal doping on the photocatalytic activity of titanium dioxide on the photodegradation of aqueous bisphenol A. Environ. Technol. 2019, 42, 1603–1611. [Google Scholar] [CrossRef]
- Mouele, E.S.M.; Dinu, M.; Cummings, F.; Fatoba, O.O.; Myint, M.T.Z.; Kyaw, H.H.; Parau, A.C.; Vladescu, A.; Francesconi, M.G.; Pescetelli, S.; et al. Effect of Calcination Time on the Physicochemical Properties and Photocatalytic Performance of Carbon and Nitrogen Co-Doped TiO2 Nanoparticles. Catalysts 2020, 10, 847. [Google Scholar] [CrossRef]
- Basavarajappa, P.S.; Patil, S.B.; Ganganagappa, N.; Reddy, K.R.; Raghu, A.V.; Reddy, C.V. Recent progress in metal-doped TiO2, non-metal doped/codoped TiO2 and TiO2 nanostructured hybrids for enhanced photocatalysis. Int. J. Hydrogen Energy 2020, 45, 7764–7778. [Google Scholar] [CrossRef]
- Danilov, F.I.; Tsurkan, A.; Vasil’Eva, E.; Protsenko, V. Electrocatalytic activity of composite Fe/TiO2 electrodeposits for hydrogen evolution reaction in alkaline solutions. Int. J. Hydrog. Energy 2016, 41, 7363–7372. [Google Scholar] [CrossRef]
- Badmus, K.O.; Coetsee-Hugo, E.; Swart, H.; Petrik, L. Synthesis and characterisation of stable and efficient nano zero valent iron. Environ. Sci. Pollut. Res. 2018, 25, 23667–23684. [Google Scholar] [CrossRef]
- Sotoudeh, M.; Abbasnejad, M.; Mohammadizadeh, M.R. First principles study of hydrogen doping in anatase TiO2. Eur. Phys. J. Appl. Phys. 2014, 67, 30401. [Google Scholar] [CrossRef]
- Hsu, C.-L.; Wu, H.-Y.; Fang, C.-C.; Chang, S.-P. Solution-Processed UV and Visible Photodetectors Based on Y-Doped ZnO Nanowires with TiO2 Nanosheets and Au Nanoparticles. ACS Appl. Energy Mater. 2018, 1, 2087–2095. [Google Scholar] [CrossRef]
- Reinosa, J.J.; Docio, C.M.Á.; Ramírez, V.Z.; Lozano, J.F.F. Hierarchical nano ZnO-micro TiO2 composites: High UV protection yield lowering photodegradation in sunscreens. Ceram. Int. 2018, 44, 2827–2834. [Google Scholar] [CrossRef]
- Kang, X.; Liu, S.; Dai, Z.; He, Y.; Song, X.; Tan, Z. Titanium Dioxide: From Engineering to Applications. Catalysts 2019, 9, 191. [Google Scholar] [CrossRef] [Green Version]
- He, X.; Tang, A.; Yang, H.; Ouyang, J. Synthesis and catalytic activity of doped TiO2-palygorskite composites. Appl. Clay Sci. 2011, 53, 80–84. [Google Scholar] [CrossRef]
- Hejri, Z.; Hejri, M.; Omidvar, M.; Morshedi, S. Synthesis of TiO2/nZVI nanocomposite for nitrate removal from aqueous solution. Int. J. Ind. Chem. 2019, 10, 225–236. [Google Scholar] [CrossRef] [Green Version]
- El Mragui, A.; Logvina, Y.; Da Silva, L.P.; Zegaoui, O.; Da Silva, J.C.E. Synthesis of Fe- and Co-Doped TiO2 with Improved Photocatalytic Activity Under Visible Irradiation Toward Carbamazepine Degradation. Materials 2019, 12, 3874. [Google Scholar] [CrossRef] [PubMed] [Green Version]
- Nosaka, Y.; Nosaka, A. Understanding Hydroxyl Radical (•OH) Generation Processes in Photocatalysis. ACS Energy Lett. 2016, 1, 356–359. [Google Scholar] [CrossRef] [Green Version]
- An, H.-R.; Hong, Y.C.; Kim, H.; Huh, J.Y.; Park, E.C.; Park, S.Y.; Jeong, Y.; Park, J.-I.; Kim, J.-P.; Lee, Y.-C.; et al. Studies on mass production and highly solar light photocatalytic properties of gray hydrogenated-TiO2 sphere photocatalysts. J. Hazard. Mater. 2018, 358, 222–233. [Google Scholar] [CrossRef] [PubMed]
- Yu, X.; Kim, B.; Kim, Y.K. Highly Enhanced Photoactivity of Anatase TiO2 Nanocrystals by Controlled Hydrogenation-Induced Surface Defects. ACS Catal. 2013, 3, 2479–2486. [Google Scholar] [CrossRef]
- Xu, J.; Li, L.; Yan, Y.; Wang, H.; Wang, X.; Fu, X.; Li, G. Synthesis and photoluminescence of well-dispersible anatase TiO2 nanoparticles. J. Colloid Interface Sci. 2008, 318, 29–34. [Google Scholar] [CrossRef] [PubMed]
- Haider, A.J.; Anbari, R.H.A.; Kadhim, G.R.; Salame, C.T. Exploring potential Environmental applications of TiO2 Nanoparticles. Energy Procedia 2017, 119, 332–345. [Google Scholar] [CrossRef]
- Chang, J.; Zhang, Q.; Liu, Y.; Shi, Y.; Qin, Z. Preparation of Fe3O4/TiO2 magnetic photocatalyst for photocatalytic degradation of phenol. J. Mater. Sci. Mater. Electron. 2018, 29, 8258–8266. [Google Scholar] [CrossRef]
- Petala, E.; Baikousi, M.; Karakassides, M.A.; Zoppellaro, G.; Filip, J.; Tuček, J.; Vasilopoulos, K.C.; Pechoušek, J.; Zbořil, R. Synthesis, physical properties and application of the zero-valent iron/titanium dioxide heterocomposite having high activity for the sustainable photocatalytic removal of hexavalent chromium in water. Phys. Chem. Chem. Phys. 2016, 18, 10637–10646. [Google Scholar] [CrossRef]
- Yun, D.-M.; Cho, H.-H.; Jang, J.-W.; Park, J.-W. Nano zero-valent iron impregnated on titanium dioxide nanotube array film for both oxidation and reduction of methyl orange. Water Res. 2013, 47, 1858–1866. [Google Scholar] [CrossRef]
- Yan, J.; Wu, G.; Guan, N.; Li, L.; Li, Z.; Cao, X. Understanding the effect of surface/bulk defects on the photocatalytic activity of TiO2: Anatase versus rutile. Phys. Chem. Chem. Phys. 2013, 15, 10978–10988. [Google Scholar] [CrossRef]
- Hengerer, R.; Bolliger, B.; Erbudak, M.; Grätzel, M. Structure and stability of the anatase TiO2 (101) and (001) surfaces. Surf. Sci. 2000, 460, 162–169. [Google Scholar] [CrossRef]
- Zhao, H.; Pan, F.; Li, Y. A review on the effects of TiO2 surface point defects on CO2 photoreduction with H2O. J. Mater. 2017, 3, 17–32. [Google Scholar] [CrossRef]
- Li, H.; Guo, Y.; Robertson, J. Calculation of TiO2 Surface and Subsurface Oxygen Vacancy by the Screened Exchange Functional. J. Phys. Chem. C 2015, 119, 18160–18166. [Google Scholar] [CrossRef]
- Sarvari, N.; Mohammadi, M.R. Influence of photoanode architecture on light scattering mechanism and device performance of dye-sensitized solar cells using TiO2 hollow cubes and nanoparticles. J. Taiwan Inst. Chem. Eng. 2018, 86, 81–91. [Google Scholar] [CrossRef]
- Luo, X.; Zhu, S.; Wang, J.; Wang, C.; Wu, M. Characterization and Computation of Yb/TiO2 and Its Photocatalytic Degradation with Benzohydroxamic Acid. Int. J. Environ. Res. Public Health 2017, 14, 1471. [Google Scholar] [CrossRef] [PubMed] [Green Version]
- Clark, S.J.; Segall, M.D.; Pickard, C.J.; Hasnip, P.J.; Probert, M.J.; Refson, K.; Payne, M.C. First principles methods using CASTEP. Z. Krist. 2005, 220, 567–570. [Google Scholar] [CrossRef] [Green Version]












| TiO2 Photocatalyst | SBET (m2/g) | Pore Volume (cm3/g) | Pore Size (A0) |
|---|---|---|---|
| TR | 53.78 | 0.1897 | 137.6 |
| TD | 44.62 | 0.1799 | 158.1 |
Publisher’s Note: MDPI stays neutral with regard to jurisdictional claims in published maps and institutional affiliations. |
© 2021 by the authors. Licensee MDPI, Basel, Switzerland. This article is an open access article distributed under the terms and conditions of the Creative Commons Attribution (CC BY) license (https://creativecommons.org/licenses/by/4.0/).
Share and Cite
Badmus, K.O.; Wewers, F.; Al-Abri, M.; Shahbaaz, M.; Petrik, L.F. Synthesis of Oxygen Deficient TiO2 for Improved Photocatalytic Efficiency in Solar Radiation. Catalysts 2021, 11, 904. https://doi.org/10.3390/catal11080904
Badmus KO, Wewers F, Al-Abri M, Shahbaaz M, Petrik LF. Synthesis of Oxygen Deficient TiO2 for Improved Photocatalytic Efficiency in Solar Radiation. Catalysts. 2021; 11(8):904. https://doi.org/10.3390/catal11080904
Chicago/Turabian StyleBadmus, Kassim Olasunkanmi, Francois Wewers, Mohammed Al-Abri, Mohd Shahbaaz, and Leslie F. Petrik. 2021. "Synthesis of Oxygen Deficient TiO2 for Improved Photocatalytic Efficiency in Solar Radiation" Catalysts 11, no. 8: 904. https://doi.org/10.3390/catal11080904
APA StyleBadmus, K. O., Wewers, F., Al-Abri, M., Shahbaaz, M., & Petrik, L. F. (2021). Synthesis of Oxygen Deficient TiO2 for Improved Photocatalytic Efficiency in Solar Radiation. Catalysts, 11(8), 904. https://doi.org/10.3390/catal11080904

