Trends in Sustainable Synthesis of Organics by Gold Nanoparticles Embedded in Polymer Matrices
Abstract
1. Introduction
2. Synthesis and Properties of AuNPs Embedded in Polymer Matrices
3. Catalytic Properties
3.1. Selective Hydrogenation Reactions
3.1.1. Hydrogenation of Unsaturated Carbon-Carbon Bonds
3.1.2. Hydrogenation of α-β-Unsaturated Carbonyl Compounds
3.1.3. Reduction of Nitroarenes
3.2. Selective Oxidations
3.2.1. Alcohol Oxidation
| Catalyst/Co-Catalyst | Substrate | Main Product | Conv. (%) | Sel. (%) | Activity (mol/molcath) | Reference |
|---|---|---|---|---|---|---|
| AuNPs-PVP | ![]() | ![]() | 85 | >99 | n.r. | (Tsunoyama et al., 2005) [120] |
![]() | ![]() | 54 | 61 | n.r. | ||
![]() | ![]() | 52 | 60 | n.r. | ||
![]() | ![]() | 91 | 97 | k = 2.7 × 10−1 h−1 | ||
| (Au&Pd)NPs-PVP | ![]() | ![]() | 71 | 88 | TOF = 306 | (Balcha et al., 2011) [121] |
| AuNPs-(PCMS-g-P4VP)-b-PS) | ![]() | ![]() | 95 | >99 | TOF = 540 | (Shi et al., 2015) [122] |
| AuNPs-PPD/ | ![]() | ![]() | 95 | 94 | TOF = 16 | (Han et al., 2009) [123] |
| (Au&Pd)NPs-PANI | ![]() | ![]() | >99 | 98 | TOF = 16 | (Marx and Baiker, 2009) [124] |
| AuNPs-clPS | ![]() | ![]() | >99 | >99 | TOF = 6.6 | (Miyamura et al., 2007) [36] |
![]() | ![]() | 75 | n.r. | TOF = 6.6 | ||
| AuNPs-clPS&CB | ![]() | ![]() | >99 | >99 | TOF = 33.3 | (Lucchesi et al., 2008) [125] |
| (Au&Pt)NPs-(clPS&CB) | ![]() | ![]() | 98 | 94 | TOF = 4 | (Kaizuka et al., 2010) [126] |
| (Au&Pt)NPs-(clPS&CB) | ![]() | ![]() | 96 | 98 | TOF = 4 | |
![]() | ![]() | 85 | 92 | TOF = 3.5 | ||
| Au&Pd-(HAS&BaAl2O4) | ![]() | ![]() | 99 | >99 | TOF = 19,980 | (Mertens et al., 2009) [127] |
![]() | ![]() | 99 | >99 | TOF = 52,760 | ||
| AuNPs-PS/ | ![]() | ![]() | 99 | 99 | TOF = 11.1 | (Li et al., 2014) [128] |
| AuNPs-sPSB/ | ![]() | ![]() | 96 | >99 | TOF = 24 | (Buonerba et al., 2012) [37] |
![]() | ![]() | >99 | 97 | TOF = 4.2 | ||
![]() | ![]() | 97 | >99 | TOF = 32 | (Buonerba et al., 2014) [67] | |
![]() | ![]() | >99 | 90 | TOF = 4.2 | ||
| AuNPs-sPSB/ | ![]() | ![]() | 78 | 80 | TOF = 1.2 | (Buonerba et al., 2018) [69] |
![]() | ![]() | 78 | 95 | TOF = 1.2 | ||
| (Au&Pd)NPs-(MTEMA&DMAA-10–4) | ![]() | ![]() | 28.2 | 55.1 | TOF = 141 | (Burato et al., 2005) [63] |
3.2.2. Polyols Oxidation
3.2.3. Amine Oxidation to Imine
3.2.4. Cross Coupling and Cascade of Oxidation Reactions
4. Concluding Remarks and Outlook
Author Contributions
Funding
Conflicts of Interest
References
- Pandey, S.; Nanda, K.K. Au nanocomposite based chemiresistive ammonia sensor for health monitoring. ACS Sens. 2016, 1, 55–62. [Google Scholar] [CrossRef]
- Pandey, S.; Goswami, G.K.; Nanda, K.K. Nanocomposite based flexible ultrasensitive resistive gas sensor for chemical reactions studies. Sci. Rep. 2013, 3, 2082. [Google Scholar] [CrossRef]
- Pandey, S.; Ramontja, J. Sodium alginate stabilized silver nanoparticles-silica nanohybrid and their antibacterial characteristics. Int. J. Biol. Macromol. 2016, 93, 712–723. [Google Scholar] [CrossRef]
- Pandey, S.; Mishra, S.B. Catalytic reduction of p-nitrophenol by using platinum nanoparticles stabilised by guar gum. Carbohydr. Polym. 2014, 113, 525–531. [Google Scholar] [CrossRef]
- Capek, I. Noble Metal Nanoparticles; Springer: Berlin/Heidelberg, Germany, 2017. [Google Scholar]
- Hutchings, G.J. Heterogeneous gold catalysis. ACS Cent. Sci. 2018, 4, 1095–1101. [Google Scholar] [CrossRef]
- Rönsch, S.; Schneider, J.; Matthischke, S.; Schlüter, M.; Götz, M.; Lefebvre, J.; Prabhakaran, P.; Bajohr, S. Review on methanation—From fundamentals to current projects. Fuel 2016, 166, 276–296. [Google Scholar] [CrossRef]
- Curry, S.W. Platinum catalysts in petroleum refining. Platin. Met. Rev. 1957, 1, 38–43. [Google Scholar]
- Haruta, M.; Kobayashi, T.; Sano, H.; Yamada, N. Novel gold catalysts for the oxidation of carbon monoxide at a temperature far below 0 °C. Chem. Lett. 1987, 16, 405–408. [Google Scholar] [CrossRef]
- Claus, P.; Brückner, A.; Mohr, C.; Hofmeister, H. Supported gold nanoparticles from quantum dot to mesoscopic size scale: Effect of electronic and structural properties on catalytic hydrogenation of conjugated functional groups. J. Am. Chem. Soc. 2000, 122, 11430–11439. [Google Scholar] [CrossRef]
- Priecel, P.; Salami, H.A.; Padilla, R.H.; Zhong, Z.; Lopez-Sanchez, J.A. Anisotropic gold nanoparticles: Preparation and applications in catalysis. Chin. J. Catal. 2016, 37, 1619–1650. [Google Scholar] [CrossRef]
- Sharma, G.; Kumar, A.; Sharma, S.; Naushad, M.; Dwivedi, R.P.; Alothman, Z.A.; Mola, G.T. Novel development of nanoparticles to bimetallic nanoparticles and their composites: A review. J. King Saud Univ. Sci. 2019, 31, 257–269. [Google Scholar] [CrossRef]
- Sun, Q.; Dai, Z.; Meng, X.; Xiao, F.-S. Porous polymer catalysts with hierarchical structures. Chem. Soc. Rev. 2015, 44, 6018–6034. [Google Scholar] [CrossRef]
- Zhang, Y.; Riduan, S.N. Functional porous organic polymers for heterogeneous catalysis. Chem. Soc. Rev. 2012, 41, 2083–2094. [Google Scholar] [CrossRef]
- Stratakis, M.; Garcia, H. Catalysis by supported gold nanoparticles: Beyond aerobic oxidative processes. Chem. Rev. 2012, 112, 4469–4506. [Google Scholar] [CrossRef]
- Zhang, Y.; Cui, X.; Shi, F.; Deng, Y. Nano-gold catalysis in fine chemical synthesis. Chem. Rev. 2012, 112, 2467–2505. [Google Scholar] [CrossRef]
- Ishida, T.; Haruta, M. Gold catalysts: Towards sustainable chemistry. Angew. Chem. Int. Ed. 2007, 46, 7154–7156. [Google Scholar] [CrossRef]
- Bond, G.; Louis, C.; Thompson, D.T. Catalysis by Gold; Imperial College Press: London, UK, 2006. [Google Scholar] [CrossRef]
- Prati, L.; Villa, A. Gold Catalysis: Preparation, Characterization, and Applications; Jenny Stanford Publishing: Singapore, 2015. [Google Scholar] [CrossRef]
- Dzhardimalieva, G.I.; Uflyand, I.E. Preparation of metal-polymer nanocomposites by chemical reduction of metal ions: Functions of polymer matrices. J. Polym. Res. 2018, 25, 255. [Google Scholar] [CrossRef]
- Tsubota, S.; Haruta, M.; Kobayashi, T.; Ueda, A.; Nakahara, Y.; Poncelet, G. Preparation of Catalysts V; Poncelet, G., Jacobs, J.A., Delmon, B., Eds.; Elsevier: Amsterdam, The Netherlands, 1991; pp. 695–704. [Google Scholar]
- Haruta, M.; Tsubota, S.; Kobayashi, T.; Kageyama, H.; Genet, M.J.; Delmon, B. Low-temperature oxidation of CO over gold supported on TiO2, α-Fe2O3, and Co3O4. J. Catal. 1993, 144, 175–192. [Google Scholar] [CrossRef]
- Dzhardimalieva, G.I.; Zharmagambetova, A.K.; Kudaibergenov, S.E.; Uflyand, I.E. Polymer-immobilized clusters and metal nanoparticles in catalysis. Kinet. Catal. 2020, 61, 198–223. [Google Scholar] [CrossRef]
- Pomogailo, A.D.; Dzhardimalieva, G.I. Nanostructured Materials Preparation via Condensation Ways; Springer: Berlin/Heidelberg, Germany, 2014. [Google Scholar] [CrossRef]
- Vreeland, E.C.; Watt, J.; Schober, G.B.; Hance, B.G.; Austin, M.J.; Price, A.D.; Fellows, B.D.; Monson, T.C.; Hudak, N.S.; Maldonado-Camargo, L.; et al. Enhanced nanoparticle size control by extending Lamer’s mechanism. Chem. Mater. 2015, 27, 6059–6066. [Google Scholar] [CrossRef]
- LaMer, V.K.; Dinegar, R.H. Theory, production and mechanism of formation of monodispersed hydrosols. J. Am. Chem. Soc. 1950, 72, 4847–4854. [Google Scholar] [CrossRef]
- Parveen, R.; Tremiliosi-Filho, G. A step ahead towards the green synthesis of monodisperse gold nanoparticles: The use of crude glycerol as a greener and low-cost reducing agent. RSC Adv. 2016, 6, 95210–95219. [Google Scholar] [CrossRef]
- Kumar, A.; Bhatt, M.; Vyas, G.; Bhatt, S.; Paul, P. Sunlight induced preparation of functionalized gold nanoparticles as recyclable colorimetric dual sensor for aluminum and fluoride in water. ACS Appl. Mater. Interfaces 2017, 9, 17359–17368. [Google Scholar] [CrossRef]
- Das, S.; Pandey, A.; Pal, S.; Kolya, H.; Tripathy, T. Green synthesis, characterization and antibacterial activity of gold nanoparticles using hydroxyethyl starch-g-poly (methylacrylate-co-sodium acrylate): A novel biodegradable graft copolymer. J. Mol. Liq. 2015, 212, 259–265. [Google Scholar] [CrossRef]
- Otari, S.V.; Patel, S.K.S.; Jeong, J.-H.; Lee, J.H.; Lee, J.-K. A green chemistry approach for synthesizing thermostable antimicrobial peptide-coated gold nanoparticles immobilized in an alginate biohydrogel. RSC Adv. 2016, 6, 86808–86816. [Google Scholar] [CrossRef]
- Valdez, J.; Gómez, I. One-step green synthesis of metallic nanoparticles using sodium alginate. J. Nanomater. 2016, 2016, 9790345. [Google Scholar] [CrossRef]
- Chairam, S.; Konkamdee, W.; Parakhun, R. Starch-supported gold nanoparticles and their use in 4-nitrophenol reduction. J. Saudi Chem. Soc. 2017, 21, 656–663. [Google Scholar] [CrossRef]
- Abrica-González, P.; Zamora-Justo, J.A.; Sotelo-López, A.; Vázquez-Martínez, G.R.; Balderas-López, J.A.; Muñoz-Diosdado, A.; Ibáñez-Hernández, M. Gold nanoparticles with chitosan, N-acylated chitosan, and chitosan oligosaccharide as DNA carriers. Nanoscale Res. Lett. 2019, 14, 258. [Google Scholar] [CrossRef] [PubMed]
- Manivasagan, P.; Bharathiraja, S.; Bui, N.Q.; Lim, I.G.; Oh, J. Paclitaxel-loaded chitosan oligosaccharide-stabilized gold nanoparticles as novel agents for drug delivery and photoacoustic imaging of cancer cells. Int. J. Pharm. 2016, 511, 367–379. [Google Scholar] [CrossRef] [PubMed]
- Chen, X.; Zhao, D.; An, Y.; Zhang, Y.; Cheng, J.; Wang, B.; Shi, L. Formation and catalytic activity of spherical composites with surfaces coated with gold nanoparticles. J. Colloid Interface Sci. 2008, 322, 414–420. [Google Scholar] [CrossRef]
- Miyamura, H.; Matsubara, R.; Miyazaki, Y.; Kobayashi, S. Aerobic oxidation of alcohols at room temperature and atmospheric conditions catalyzed by reusable gold nanoclusters stabilized by the benzene rings of polystyrene derivatives. Angew. Chem. Int. Ed. 2007, 46, 4151–4154. [Google Scholar] [CrossRef]
- Buonerba, A.; Cuomo, C.; Sánchez, S.O.; Canton, P.; Grassi, A. Gold nanoparticles incarcerated in nanoporous syndiotactic polystyrene matrices as new and efficient catalysts for alcohol oxidations. Chem. Eur. J. 2012, 18, 709–715. [Google Scholar] [CrossRef]
- Sakai, T.; Alexandridis, P. Single-step synthesis and stabilization of metal nanoparticles in aqueous pluronic block copolymer solutions at ambient temperature. Langmuir 2004, 20, 8426–8430. [Google Scholar] [CrossRef]
- Sakai, T.; Alexandridis, P. Mechanism of gold metal ion reduction, nanoparticle growth and size control in aqueous amphiphilic block copolymer solutions at ambient conditions. J. Phys. Chem. B 2005, 109, 7766–7777. [Google Scholar] [CrossRef]
- Goy-López, S.; Castro, E.; Taboada, P.; Mosquera, V. Block copolymer-mediated synthesis of size-tunable gold nanospheres and nanoplates. Langmuir 2008, 24, 13186–13196. [Google Scholar] [CrossRef]
- Saldías, C.; Leiva, A.; Quezada, C.; Jaque, P.; Gargallo, L.; Radic, D. Structural effects of amphiphilic block copolymers on the gold nanoplates synthesis. Experimental and theoretical study. Eur. Polym. J. 2011, 47, 1866–1876. [Google Scholar] [CrossRef]
- Dai, Y.; Li, Y.; Wang, S. ABC triblock copolymer-stabilized gold nanoparticles for catalytic reduction of 4-nitrophenol. J. Catal. 2015, 329, 425–430. [Google Scholar] [CrossRef]
- Alkilany, A.M.; Yaseen, A.I.B.; Kailani, M.H. Synthesis of monodispersed gold nanoparticles with exceptional colloidal stability with grafted polyethylene glycol-g-polyvinyl alcohol. J. Nanomater. 2015, 2015, 712359. [Google Scholar] [CrossRef]
- Ruiz-Muelle, A.B.; Kuttner, C.; Alarcón-Fernández, C.; López-Romero, J.M.; Uhlmann, P.; Contreras-Cáceres, R.; Fernández, I. Hybrid surfaces active in catalysis based on gold nanoparticles modified with redox-active pendants and polymer brushes. Appl. Surf. Sci. 2019, 496, 143598. [Google Scholar] [CrossRef]
- Höller, R.P.M.; Kuttner, C.; Mayer, M.; Wang, R.; Dulle, M.; Contreras-Cáceres, R.; Fery, A.; Liz-Marzán, L.M. Colloidal superstructures with triangular cores: Size effects on SERS efficiency. ACS Photonics 2020, 7, 1839–1848. [Google Scholar] [CrossRef]
- Tebbe, M.; Kuttner, C.; Männel, M.; Fery, A.; Chanana, M. Colloidally stable and surfactant-free protein-coated gold nanorods in biological media. ACS Appl. Mater. Interfaces 2015, 7, 5984–5991. [Google Scholar] [CrossRef]
- De Barros, H.R.; García, I.; Kuttner, C.; Zeballos, N.; Camargo, P.H.C.; de Torresi, S.I.C.; López-Gallego, F.; Liz-Marzán, L.M. Mechanistic insights into the light-driven catalysis of an immobilized lipase on plasmonic nanomaterials. ACS Catal. 2021, 11, 414–423. [Google Scholar] [CrossRef]
- Faraday, M.X. The bakerian lecture. Experimental relations of gold (and other metals) to light. Philos. Trans. R. Soc. Lond. 1857, 147, 145–181. [Google Scholar] [CrossRef]
- Turkevich, J.; Stevenson, P.C.; Hillier, J. A study of the nucleation and growth processes in the synthesis of colloidal gold. Discuss. Faraday Soc. 1951, 11, 55–75. [Google Scholar] [CrossRef]
- Frens, G. Controlled nucleation for the regulation of the particle size in monodisperse gold suspensions. Nat. Phys. Sci. 1973, 241, 20–22. [Google Scholar] [CrossRef]
- Sundaram, D.; Yang, V.; Yetter, R.A. Metal-based nanoenergetic materials: Synthesis, properties, and applications. Prog. Energy Combust. Sci. 2017, 61, 293–365. [Google Scholar] [CrossRef]
- Kinayyigit, S.; Philippot, K. Chapter 4—Organometallic approach for the synthesis of noble metal nanoparticles: Towards application in colloidal and supported nanocatalysis. In Metal Nanoparticles for Catalysis: Advances and Applications; The Royal Society of Chemistry: London, UK, 2014; pp. 47–82. [Google Scholar] [CrossRef]
- Bronstein, L.M.; Matveeva, V.G.; Sulman, E.M. Nanoparticulate catalysts based on nanostructured polymers. In Nanoparticles and Catalysis; Astruc, D., Ed.; Wiley-VCH: Weinheim, Germany, 2007; pp. 93–127. [Google Scholar] [CrossRef]
- Ma, Z.; Tao, F. Chapter 8—Metal salt-based gold nanocatalysts. In Metal Nanoparticles for Catalysis: Advances and Applications; The Royal Society of Chemistry: London, UK, 2014; pp. 157–171. [Google Scholar] [CrossRef]
- Caseri, W.R. In situ synthesis of polymer-embedded nanostructures. In Nanocomposites; Nicolais, L., Carotenuto, G., Eds.; Wiley-VCH: Weinheim, Germany, 2013; pp. 45–72. [Google Scholar] [CrossRef]
- Grisel, R.; Weststrate, K.-J.; Gluhoi, A.; Nieuwenhuys, B.E. Catalysis by gold nanoparticles. Gold Bull. 2002, 35, 39–45. [Google Scholar] [CrossRef]
- Liu, X.Y.; Wang, A.; Zhang, T.; Mou, C.-Y. Catalysis by gold: New insights into the support effect. Nano Today 2013, 8, 403–416. [Google Scholar] [CrossRef]
- Astruc, D. Transition-metal nanoparticles in catalysis: From historical background to the state-of-the art. In Nanoparticles and Catalysis; Astruc, D., Ed.; Wiley-VCH: Weinheim, Germany, 2007; pp. 1–48. [Google Scholar] [CrossRef]
- Akiyama, R.; Kobayashi, S. “Microencapsulated” and related catalysts for organic chemistry and organic synthesis. Chem. Rev. 2009, 109, 594–642. [Google Scholar] [CrossRef]
- Miyamura, H.; Kobayashi, S. Tandem oxidative processes catalyzed by polymer-incarcerated multimetallic nanoclusters with molecular oxygen. Acc. Chem. Res. 2014, 47, 1054–1066. [Google Scholar] [CrossRef]
- Shan, J.; Tenhu, H. Recent advances in polymer protected gold nanoparticles: Synthesis, properties and applications. Chem. Commun. 2007, 44, 4580–4598. [Google Scholar] [CrossRef] [PubMed]
- Shi, F.; Deng, Y. Polymer-immobilized gold catalysts for the efficient and clean syntheses of carbamates and symmetric ureas by oxidative carbonylation of aniline and its derivatives. J. Catal. 2002, 211, 548–551. [Google Scholar] [CrossRef]
- Burato, C.; Centomo, P.; Pace, G.; Favaro, M.; Prati, L.; Corain, B. Generation of size-controlled palladium(0) and gold(0) nanoclusters inside the nanoporous domains of gel-type functional resins: Part II: Prospects for oxidation catalysis in the liquid phase. J. Mol. Catal. A 2005, 238, 26–34. [Google Scholar] [CrossRef]
- Tsunoyama, H.; Sakurai, H.; Ichikuni, N.; Negishi, Y.; Tsukuda, T. Colloidal gold nanoparticles as catalyst for carbon-carbon bond formation: Application to aerobic homocoupling of phenylboronic acid in water. Langmuir 2004, 20, 11293–11296. [Google Scholar] [CrossRef] [PubMed]
- Pastoriza-Santos, I.; Liz-Marzán, L.M. Formation of PVP-protected metal nanoparticles in DMF. Langmuir 2002, 18, 2888–2894. [Google Scholar] [CrossRef]
- Litta, A.D.; Buonerba, A.; Casu, A.; Falqui, A.; Capacchione, C.; Franconetti, A.; Garcia, H.; Grassi, A. Highly Efficient Hydroamination of Phenylacetylenes with Anilines Catalysed by Gold Nanoparticles Embedded in Nanoporous Polymer Matrix: Insight into the Reaction Mechanism by Kinetic and DFT Investigations. J. Catal. 2021, in press. [Google Scholar] [CrossRef]
- Buonerba, A.; Noschese, A.; Grassi, A. Highly efficient direct aerobic oxidative esterification of cinnamyl alcohol with alkyl alcohols catalysed by gold nanoparticles incarcerated in a nanoporous polymer matrix: A tool for investigating the role of the polymer host. Chem. Eur. J. 2014, 20, 5478–5486. [Google Scholar] [CrossRef]
- Noschese, A.; Buonerba, A.; Canton, P.; Milione, S.; Capacchione, C.; Grassi, A. Highly efficient and selective reduction of nitroarenes into anilines catalyzed by gold nanoparticles incarcerated in a nanoporous polymer matrix: Role of the polymeric support and insight into the reaction mechanism. J. Catal. 2016, 340, 30–40. [Google Scholar] [CrossRef]
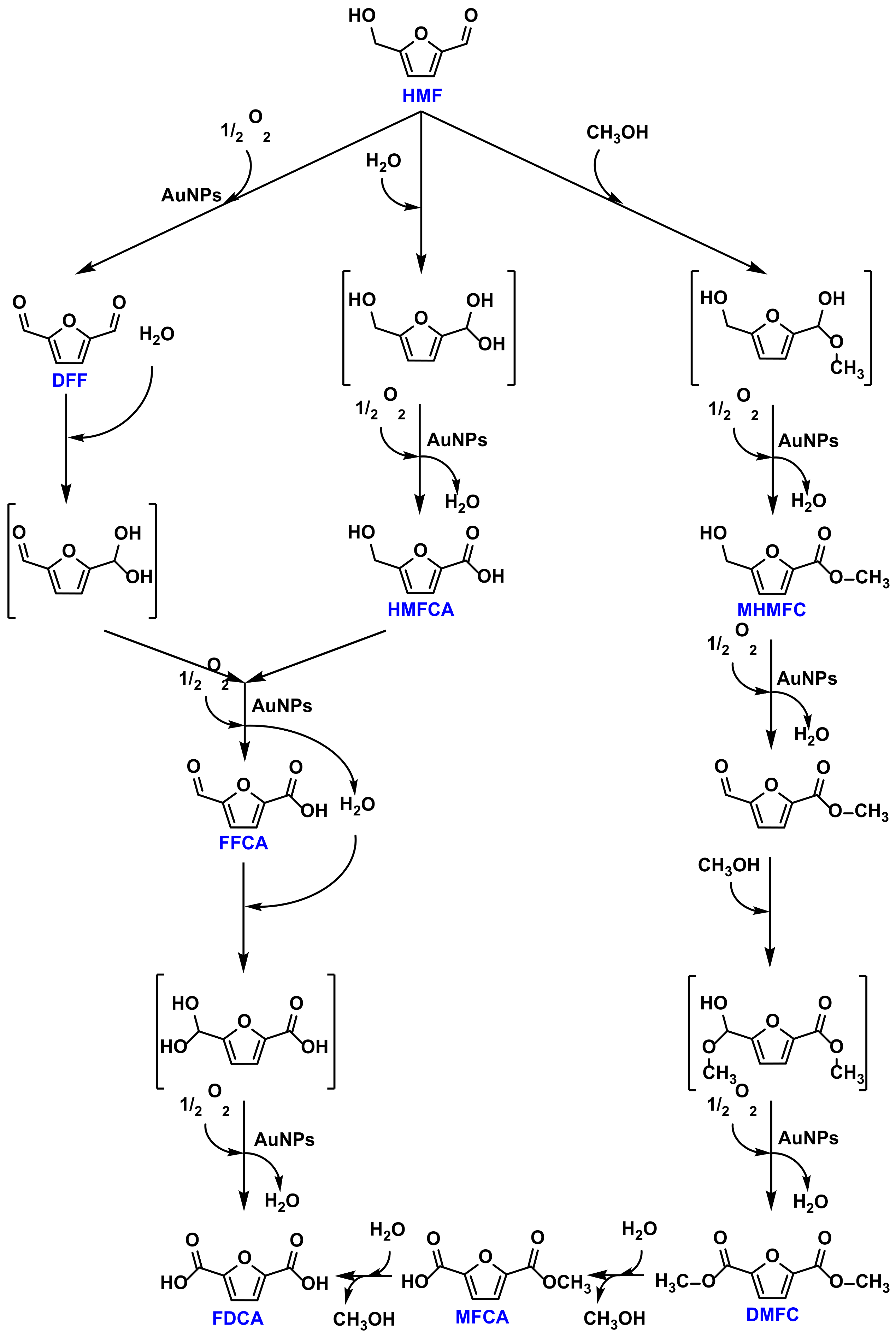
- Buonerba, A.; Impemba, S.; Litta, A.D.; Capacchione, C.; Milione, S.; Grassi, A. Aerobic oxidation and oxidative esterification of 5-hydroxymethylfurfural by gold nanoparticles supported on nanoporous polymer host matrix. ChemSusChem 2018, 11, 3139–3149. [Google Scholar] [CrossRef]
- Mitsudome, T.; Kaneda, K. Gold nanoparticle catalysts for selective hydrogenations. Green Chem. 2013, 15, 2636–2654. [Google Scholar] [CrossRef]
- Bond, G.C.; Sermon, P.A.; Webb, G.; Buchanan, D.A.; Wells, P.B. Hydrogenation over supported gold catalysts. J. Chem. Soc. Chem. Commun. 1973, 13, 444b–445. [Google Scholar] [CrossRef]
- Okumura, M.; Akita, T.; Haruta, M. Hydrogenation of 1,3-butadiene and of crotonaldehyde over highly dispersed Au catalysts. Catal. Today 2002, 74, 265–269. [Google Scholar] [CrossRef]
- Zhang, X.; Shi, H.; Xu, B.-Q. Vital roles of hydroxyl groups and gold oxidation states in Au/ZrO2 catalysts for 1,3-butadiene hydrogenation. J. Catal. 2011, 279, 75–87. [Google Scholar] [CrossRef]
- Yang, X.-F.; Wang, A.-Q.; Wang, Y.-L.; Zhang, T.; Li, J. Unusual selectivity of gold catalysts for hydrogenation of 1,3-butadiene toward cis-2-butene: A joint experimental and theoretical investigation. J. Phys. Chem. C 2010, 114, 3131–3139. [Google Scholar] [CrossRef]
- Seregina, M.V.; Bronstein, L.M.; Platonova, O.A.; Chernyshov, D.M.; Valetsky, P.M.; Hartmann, J.; Wenz, E.; Antonietti, M. Preparation of noble-metal colloids in block copolymer micelles and their catalytic properties in hydrogenation. Chem. Mater. 1997, 9, 923–931. [Google Scholar] [CrossRef]
- Bronstein, L.M.; Chernyshov, D.M.; Volkov, I.O.; Ezernitskaya, M.G.; Valetsky, P.M.; Matveeva, V.G.; Sulman, E.M. Structure and properties of bimetallic colloids formed in polystyrene-block-poly-4-vinylpyridine micelles: Catalytic behavior in selective hydrogenation of dehydrolinalool. J. Catal. 2000, 196, 302–314. [Google Scholar] [CrossRef]
- Mertens, P.G.N.; Poelman, H.; Ye, X.; Vankelecom, I.F.J.; Jacobs, P.A.; de Vos, D.E. Au0 nanocolloids as recyclable quasihomogeneous metal catalysts in the chemoselective hydrogenation of α,β-unsaturated aldehydes and ketones to allylic alcohols. Catal. Today 2007, 122, 352–360. [Google Scholar] [CrossRef]
- Biondi, I.; Laurenczy, G.; Dyson, P.J. Synthesis of gold nanoparticle catalysts based on a new water-soluble ionic polymer. Inorg. Chem. 2011, 50, 8038–8045. [Google Scholar] [CrossRef] [PubMed]
- Hu, T.; Zhang, L.; Wang, Y.; Yue, Z.; Li, Y.; Ma, J.; Xiao, H.; Chen, W.; Zhao, M.; Zheng, Z.; et al. Defect engineering in Pd/NiCo2O4−x for selective hydrogenation of α,β-unsaturated carbonyl compounds under ambient conditions. ACS Sustain. Chem. Eng. 2020, 8, 7851–7859. [Google Scholar] [CrossRef]
- Mohr, C.; Hofmeister, H.; Claus, P. The influence of real structure of gold catalysts in the partial hydrogenation of acrolein. J. Catal. 2003, 213, 86–94. [Google Scholar] [CrossRef]
- Wang, M.-M.; He, L.; Liu, Y.-M.; Cao, Y.; He, H.-Y.; Fan, K.-N. Gold supported on mesostructured ceria as an efficient catalyst for the chemoselective hydrogenation of carbonyl compounds in neat water. Green Chem. 2011, 13, 602–607. [Google Scholar] [CrossRef]
- Takale, B.S.; Wang, S.; Zhang, X.; Feng, X.; Yu, X.; Jin, T.; Bao, M.; Yamamoto, Y. Chemoselective reduction of α,β-unsaturated aldehydes using an unsupported nanoporous gold catalyst. Chem. Commun. 2014, 50, 14401–14404. [Google Scholar] [CrossRef]
- Ju, K.-S.; Parales, R.E. Nitroaromatic compounds, from synthesis to biodegradation. Microbiol. Mol. Biol. Rev. 2010, 74, 250–272. [Google Scholar] [CrossRef]
- Seo, E.; Kim, J.; Hong, Y.; Kim, Y.S.; Lee, D.; Kim, B.-S. Double hydrophilic block copolymer templated Au nanoparticles with enhanced catalytic activity toward nitroarene reduction. J. Phys. Chem. C 2013, 117, 11686–11693. [Google Scholar] [CrossRef]
- Zhao, P.; Li, N.; Salmon, L.; Liu, N.; Ruiz, J.; Astruc, D. How a simple “clicked” PEGylated 1,2,3-triazole ligand stabilizes gold nanoparticles for multiple usage. Chem. Commun. 2013, 49, 3218–3220. [Google Scholar] [CrossRef]
- Xiao, C.; Chen, S.; Zhang, L.; Zhou, S.; Wu, W. One-pot synthesis of responsive catalytic Au@PVP hybrid nanogels. Chem. Commun. 2012, 48, 11751–11753. [Google Scholar] [CrossRef]
- Esumi, K.; Hayakawa, K.; Yoshimura, T. Morphological change of gold-dendrimer nanocomposites by laser irradiation. J. Colloid Interface Sci. 2003, 268, 501–506. [Google Scholar] [CrossRef]
- Hayakawa, K.; Yoshimura, T.; Esumi, K. Preparation of gold-dendrimer nanocomposites by laser irradiation and their catalytic reduction of 4-nitrophenol. Langmuir 2003, 19, 5517–5521. [Google Scholar] [CrossRef]
- Li, M.; Chen, G. Revisiting catalytic model reaction p-nitrophenol/NaBH4 using metallic nanoparticles coated on polymeric spheres. Nanoscale 2013, 5, 11919–11927. [Google Scholar] [CrossRef]
- Han, J.; Li, L.; Guo, R. Novel approach to controllable synthesis of gold nanoparticles supported on polyaniline nanofibers. Macromolecules 2010, 43, 10636–10644. [Google Scholar] [CrossRef]
- Fang, X.; Ma, H.; Xiao, S.; Shen, M.; Guo, R.; Cao, X.; Shi, X. Facile immobilization of gold nanoparticles into electrospun polyethyleneimine/polyvinyl alcohol nanofibers for catalytic applications. J. Mater. Chem. 2011, 21, 4493–4501. [Google Scholar] [CrossRef]
- Liu, X.; Li, L.; Ye, M.; Xue, Y.; Chen, S. Polyaniline: Poly(sodium 4-styrenesulfonate)-stabilized gold nanoparticles as efficient, versatile catalysts. Nanoscale 2014, 6, 5223–5229. [Google Scholar] [CrossRef]
- Huang, T.; Meng, F.; Qi, L. Facile synthesis and one-dimensional assembly of cyclodextrin-capped gold nanoparticles and their applications in catalysis and surface-enhanced raman scattering. J. Phys. Chem. C 2009, 113, 13636–13642. [Google Scholar] [CrossRef]
- Corma, A.; Serna, P. Chemoselective hydrogenation of nitro compounds with supported gold catalysts. Science 2006, 313, 332–334. [Google Scholar] [CrossRef]
- Serna, P.; Corma, A. Transforming nano metal nonselective particulates into chemoselective catalysts for hydrogenation of substituted nitrobenzenes. ACS Catal. 2015, 5, 7114–7121. [Google Scholar] [CrossRef]
- Corma, A.; Concepción, P.; Serna, P. A different reaction pathway for the reduction of aromatic nitro compounds on gold catalysts. Angew. Chem. Int. Ed. 2007, 46, 7266–7269. [Google Scholar] [CrossRef]
- Combita, D.; Concepción, P.; Corma, A. Gold catalysts for the synthesis of aromatic azocompounds from nitroaromatics in one step. J. Catal. 2014, 311, 339–349. [Google Scholar] [CrossRef]
- Smith, M.B.; March, J. Oxidations and reductions. In March’s Advanced Organic Chemistry; John Wiley and Sons, Inc.: Hoboken, NJ, USA, 2006; pp. 1703–1869. [Google Scholar] [CrossRef]
- Tojo, G.; Fernandez, M.I. Oxidation of Primary Alcohols to Carboxylic Acids. A Guide to Current Common Practice; Springer: New York, NY, USA, 2007. [Google Scholar]
- Mallat, T.; Baiker, A. Potential of gold nanoparticles for oxidation in fine chemical synthesis. Annu. Rev. Chem. Biomol. Eng. 2012, 3, 11–28. [Google Scholar] [CrossRef]
- Hashmi, A.S.K.; Hutchings, G.J. Gold catalysis. Angew. Chem. Int. Ed. 2006, 45, 7896–7936. [Google Scholar] [CrossRef]
- Corma, A.; Garcia, H. Supported gold nanoparticles as catalysts for organic reactions. Chem. Soc. Rev. 2008, 37, 2096–2126. [Google Scholar] [CrossRef]
- Carabineiro, S.A.C. Supported gold nanoparticles as catalysts for the oxidation of alcohols and alkanes. Front. Chem. 2019, 7. [Google Scholar] [CrossRef] [PubMed]
- Della Pina, C.; Falletta, E.; Prati, L.; Rossi, M. Selective oxidation using gold. Chem. Soc. Rev. 2008, 37, 2077–2095. [Google Scholar] [CrossRef] [PubMed]
- Tsukuda, T.; Tsunoyama, H.; Sakurai, H. Aerobic oxidations catalyzed by colloidal nanogold. Chem. Asian J. 2011, 6, 736–748. [Google Scholar] [CrossRef] [PubMed]
- Takei, T.; Akita, T.; Nakamura, I.; Fujitani, T.; Okumura, M.; Okazaki, K.; Huang, J.; Ishida, T.; Haruta, M. Chapter one—Heterogeneous catalysis by gold. In Advances in Catalysis; Gates, B.C., Jentoft, F.C., Eds.; Academic Press: Cambridge, MA, USA, 2012; Volume 55, pp. 1–126. [Google Scholar]
- Davis, S.E.; Ide, M.S.; Davis, R.J. Selective oxidation of alcohols and aldehydes over supported metal nanoparticles. Green Chem. 2013, 15, 17–45. [Google Scholar] [CrossRef]
- Sharma, A.S.; Kaur, H.; Shah, D. Selective oxidation of alcohols by supported gold nanoparticles: Recent advances. RSC Adv. 2016, 6, 28688–28727. [Google Scholar] [CrossRef]
- Staykov, A.; Nishimi, T.; Yoshizawa, K.; Ishihara, T. Oxygen activation on nanometer-size gold nanoparticles. J. Phys. Chem. C 2012, 116, 15992–16000. [Google Scholar] [CrossRef]
- Montemore, M.M.; van Spronsen, M.A.; Madix, R.J.; Friend, C.M. O2 activation by metal surfaces: Implications for bonding and reactivity on heterogeneous catalysts. Chem. Rev. 2018, 118, 2816–2862. [Google Scholar] [CrossRef]
- Teng, B.-T.; Lang, J.-J.; Wen, X.-D.; Zhang, C.; Fan, M.; Harris, H.G. O2 adsorption and oxidative activity on gold-based catalysts with and without a ceria support. J. Phys. Chem. C 2013, 117, 18986–18993. [Google Scholar] [CrossRef]
- Staykov, A.; Derekar, D.; Yamamura, K. Oxygen dissociation on palladium and gold core/shell nanoparticles. Int. J. Quantum Chem. 2016, 116, 1486–1492. [Google Scholar] [CrossRef]
- Zhao, J.; Jin, R. Heterogeneous catalysis by gold and gold-based bimetal nanoclusters. Nano Today 2018, 18, 86–102. [Google Scholar] [CrossRef]
- Biella, S.; Castiglioni, G.L.; Fumagalli, C.; Prati, L.; Rossi, M. Application of gold catalysts to selective liquid phase oxidation. Catal. Today 2002, 72, 43–49. [Google Scholar] [CrossRef]
- Guo, Z.; Liu, B.; Zhang, Q.; Deng, W.; Wang, Y.; Yang, Y. Recent advances in heterogeneous selective oxidation catalysis for sustainable chemistry. Chem. Soc. Rev. 2014, 43, 3480–3524. [Google Scholar] [CrossRef]
- Mallat, T.; Baiker, A. Oxidation of alcohols with molecular oxygen on solid catalysts. Chem. Rev. 2004, 104, 3037–3058. [Google Scholar] [CrossRef]
- Besson, M.; Gallezot, P. Selective oxidation of alcohols and aldehydes on metal catalysts. Catal. Today 2000, 57, 127–141. [Google Scholar] [CrossRef]
- Biella, S.; Prati, L.; Rossi, M. Selective oxidation of D-glucose on gold catalyst. J. Catal. 2002, 206, 242–247. [Google Scholar] [CrossRef]
- Carrettin, S.; McMorn, P.; Johnston, P.; Griffin, K.; Hutchings, G.J. Selective oxidation of glycerol to glyceric acid using a gold catalyst in aqueous sodium hydroxide. Chem. Commun. 2002, 7, 696–697. [Google Scholar] [CrossRef]
- Tsunoyama, H.; Sakurai, H.; Negishi, Y.; Tsukuda, T. Size-specific catalytic activity of polymer-stabilized gold nanoclusters for aerobic alcohol oxidation in water. J. Am. Chem. Soc. 2005, 127, 9374–9375. [Google Scholar] [CrossRef]
- Balcha, T.; Strobl, J.R.; Fowler, C.; Dash, P.; Scott, R.W.J. Selective aerobic oxidation of crotyl alcohol using AuPd core-shell nanoparticles. ACS Catal. 2011, 1, 425–436. [Google Scholar] [CrossRef]
- Shi, P.; Gao, C.; He, X.; Sun, P.; Zhang, W. Multicompartment nanoparticles of poly(4-vinylpyridine) graft block terpolymer: Synthesis and application as scaffold for efficient Au nanocatalyst. Macromolecules 2015, 48, 1380–1389. [Google Scholar] [CrossRef]
- Han, J.; Liu, Y.; Li, L.; Guo, R. Poly(o-phenylenediamine) submicrosphere-supported gold nanocatalysts: Synthesis, characterization, and application in selective oxidation of benzyl alcohol. Langmuir 2009, 25, 11054–11060. [Google Scholar] [CrossRef]
- Marx, S.; Baiker, A. Beneficial interaction of gold and palladium in bimetallic catalysts for the selective oxidation of benzyl alcohol. J. Phys. Chem. C 2009, 113, 6191–6201. [Google Scholar] [CrossRef]
- Lucchesi, C.; Inasaki, T.; Miyamura, H.; Matsubara, R.; Kobayashi, S. Aerobic oxidation of alcohols under mild conditions catalyzed by novel polymer-incarcerated, carbon-stabilized gold nanoclusters. Adv. Synth. Catal. 2008, 350, 1996–2000. [Google Scholar] [CrossRef]
- Kaizuka, K.; Miyamura, H.; Kobayashi, S. Remarkable effect of bimetallic nanocluster catalysts for aerobic oxidation of alcohols: Combining metals changes the activities and the reaction pathways to aldehydes/carboxylic acids or esters. J. Am. Chem. Soc. 2010, 132, 15096–15098. [Google Scholar] [CrossRef] [PubMed]
- Mertens, P.G.N.; Corthals, S.L.F.; Ye, X.; Poelman, H.; Jacobs, P.A.; Sels, B.F.; Vankelecom, I.F.J.; de Vos, D.E. Selective alcohol oxidation to aldehydes and ketones over base-promoted gold-palladium clusters as recyclable quasihomogeneous and heterogeneous metal catalysts. J. Mol. Catal. A 2009, 313, 14–21. [Google Scholar] [CrossRef]
- Li, Y.; Gao, Y.; Yang, C.; Sha, S.; Hao, J.; Wu, Y. Facile synthesis of polystyrene/gold composite particles as a highly active and reusable catalyst for aerobic oxidation of benzyl alcohol in water. RSC Adv. 2014, 4, 24769–24772. [Google Scholar] [CrossRef]
- Yuan, Y.; Yan, N.; Dyson, P.J. pH-sensitive gold nanoparticle catalysts for the aerobic oxidation of alcohols. Inorg. Chem. 2011, 50, 11069–11074. [Google Scholar] [CrossRef] [PubMed]
- Miyamura, H.; Matsubara, R.; Kobayashi, S. Gold-platinum bimetallic clusters for aerobic oxidation of alcohols under ambient conditions. Chem. Commun. 2008, 17, 2031–2033. [Google Scholar] [CrossRef]
- Gong, J.; Mullins, C.B. Surface science investigations of oxidative chemistry on gold. Acc. Chem. Res. 2009, 42, 1063–1073. [Google Scholar] [CrossRef]
- Abad, A.; Corma, A.; García, H. Catalyst parameters determining activity and selectivity of supported gold nanoparticles for the aerobic oxidation of alcohols: The molecular reaction mechanism. Chem. Eur. J. 2008, 14, 212–222. [Google Scholar] [CrossRef]
- Conte, M.; Miyamura, H.; Kobayashi, S.; Chechik, V. Spin trapping of Au-H intermediate in the alcohol oxidation by supported and unsupported gold catalysts. J. Am. Chem. Soc. 2009, 131, 7189–7196. [Google Scholar] [CrossRef]
- Wang, N.; Matsumoto, T.; Ueno, M.; Miyamura, H.; Kobayashi, S. A gold-immobilized microchannel flow reactor for oxidation of alcohols with molecular oxygen. Angew. Chem. Int. Ed. 2009, 48, 4744–4746. [Google Scholar] [CrossRef]
- Kanaoka, S.; Yagi, N.; Fukuyama, Y.; Aoshima, S.; Tsunoyama, H.; Tsukuda, T.; Sakurai, H. Thermosensitive gold nanoclusters stabilized by well-defined vinyl ether star polymers: Reusable and durable catalysts for aerobic alcohol oxidation. J. Am. Chem. Soc. 2007, 129, 12060–12061. [Google Scholar] [CrossRef]
- Wang, X.; Kawanami, H.; Islam, N.M.; Chattergee, M.; Yokoyama, T.; Ikushima, Y. Amphiphilic block copolymer-stabilized gold nanoparticles for aerobic oxidation of alcohols in aqueous solution. Chem. Commun. 2008, 37, 4442–4444. [Google Scholar] [CrossRef]
- Porta, F.; Rossi, M. Gold nanostructured materials for the selective liquid phase catalytic oxidation. J. Mol. Catal. A 2003, 204, 553–559. [Google Scholar] [CrossRef]
- Villa, A.; Wang, D.; Su, D.S.; Prati, L. Gold sols as catalysts for glycerol oxidation: The role of stabilizer. ChemCatChem 2009, 1, 510–514. [Google Scholar] [CrossRef]
- Ishida, T.; Okamoto, S.; Makiyama, R.; Haruta, M. Aerobic oxidation of glucose and 1-phenylethanol over gold nanoparticles directly deposited on ion-exchange resins. Appl. Catal. A 2009, 353, 243–248. [Google Scholar] [CrossRef]
- Toshima, N.; Zhang, H. Polymer-protected and Au-containing Bi- and trimetallic nanoparticles as novel catalysts for glucose oxidation. Macromol. Symp. 2012, 317, 149–159. [Google Scholar] [CrossRef]
- Berndt, H.; Pitsch, I.; Evert, S.; Struve, K.; Pohl, M.M.; Radnik, J.; Martin, A. Oxygen adsorption on Au/Al2O3 catalysts and relation to the catalytic oxidation of ethylene glycol to glycolic acid. Appl. Catal. A 2003, 244, 169–179. [Google Scholar] [CrossRef]
- Murugadoss, A.; Sakurai, H. Chitosan-stabilized gold, gold-palladium, and gold-platinum nanoclusters as efficient catalysts for aerobic oxidation of alcohols. J. Mol. Catal. A 2011, 341, 1–6. [Google Scholar] [CrossRef]
- Schumperli, M.T.; Hammond, C.; Hermans, I. Developments in the aerobic oxidation of amines. ACS Catal. 2012, 2, 1108–1117. [Google Scholar] [CrossRef]
- Zhu, B.; Angelici, R.J. Non-nanogold catalyzed aerobic oxidation of secondary amines to imines. Chem. Commun. 2007, 21, 2157–2159. [Google Scholar] [CrossRef]
- Aschwanden, L.; Mallat, T.; Grunwaldt, J.-D.; Krumeich, F.; Baiker, A. Gold-catalyzed aerobic oxidation of dibenzylamine: Homogeneous or heterogeneous catalysis? J. Mol. Catal. A 2009, 300, 111–115. [Google Scholar] [CrossRef]
- Aschwanden, L.; Mallat, T.; Krumeich, F.; Baiker, A. A simple preparation of an efficient heterogeneous gold catalyst for aerobic amine oxidation. J. Mol. Catal. A 2009, 309, 57–62. [Google Scholar] [CrossRef]
- Aschwanden, L.; Panella, B.; Rossbach, P.; Keller, B.; Baiker, A. Magnetically separable gold catalyst for the aerobic oxidation of amines. ChemCatChem 2009, 1, 111–115. [Google Scholar] [CrossRef]
- Aschwanden, L.; Mallat, T.; Maciejewski, M.; Krumeich, F.; Baiker, A. Development of a new generation of gold catalysts for amine oxidation. ChemCatChem 2010, 2, 666–673. [Google Scholar] [CrossRef]
- Grirrane, A.; Corma, A.; Garcia, H. Highly active and selective gold catalysts for the aerobic oxidative condensation of benzylamines to imines and one-pot, two-step synthesis of secondary benzylamines. J. Catal. 2009, 264, 138–144. [Google Scholar] [CrossRef]
- Miyamura, H.; Morita, M.; Inasaki, T.; Kobayashi, S. Aerobic oxidation of amines catalyzed by polymer-incarcerated Au nanoclusters: Effect of cluster size and cooperative functional groups in the polymer. Bull. Chem. Soc. Jpn. 2011, 84, 588–599. [Google Scholar] [CrossRef]
- Miyamura, H.; Yasukawa, T.; Kobayashi, S. Aerobic oxidative esterification of alcohols catalyzed by polymer-incarcerated gold nanoclusters under ambient conditions. Green Chem. 2010, 12, 776–778. [Google Scholar] [CrossRef]
- Soulé, J.-F.; Miyamura, H.; Kobayashi, S. Powerful amide synthesis from alcohols and amines under aerobic conditions catalyzed by gold or gold/iron, -nickel or -cobalt nanoparticles. J. Am. Chem. Soc. 2011, 133, 18550–18553. [Google Scholar] [CrossRef]
- Soulé, J.-F.; Miyamura, H.; Kobayashi, S. Selective imine formation from alcohols and amines catalyzed by polymer incarcerated gold/palladium alloy nanoparticles with molecular oxygen as an oxidant. Chem. Commun. 2013, 49, 355–357. [Google Scholar] [CrossRef]
- Zhang, L.; Wang, W.; Wang, A.; Cui, Y.; Yang, X.; Huang, Y.; Liu, X.; Liu, W.; Son, J.-Y.; Oji, H.; et al. Aerobic oxidative coupling of alcohols and amines over Au-Pd/resin in water: Au/Pd molar ratios switch the reaction pathways to amides or imines. Green Chem. 2013, 15, 2680–2684. [Google Scholar] [CrossRef]
- Shi, F.; Zhang, Q.; Ma, Y.; He, Y.; Deng, Y. From CO oxidation to CO2 activation: An unexpected catalytic activity of polymer-supported nanogold. J. Am. Chem. Soc. 2005, 127, 4182–4183. [Google Scholar] [CrossRef] [PubMed]
- Xiang, D.; Liu, X.; Sun, J.; Xiao, F.-S.; Sun, J. A novel route for synthesis of styrene carbonate using styrene and CO2 as substrates over basic resin R201 supported Au catalyst. Catal. Today 2009, 148, 383–388. [Google Scholar] [CrossRef]
- Preedasuriyachai, P.; Kitahara, H.; Chavasiri, W.; Sakurai, H. N-formylation of amines catalyzed by nanogold under aerobic oxidation conditions with MeOH or formalin. Chem. Lett. 2010, 39, 1174–1176. [Google Scholar] [CrossRef]
- Preedasuriyachai, P.; Chavasiri, W.; Sakurai, H. Aerobic oxidation of cyclic amines to lactams catalyzed by PVP-stabilized nanogold. Synlett 2011, 2011, 1121–1124. [Google Scholar]










| Catalyst | Substrate | Conv. (%) | Main Product | Select. (%) | Reference |
|---|---|---|---|---|---|
| (Au&Pd)NPs-(PS-b-P4VP) (Au:Pd = 1:4) | ![]() cyclohexene | 65.7 | ![]() cyclohexane | >99 | (Seregina et al., 1997) [75] |
| (Au&Pd)NPs-(PS-b-P4VP&Al2O3) (Au:Pd = 1:5) | ![]() cyclohexene | 72.5 | ![]() cyclohexane | >99 | (Seregina et al., 1997) [75] |
![]() 1,3-cyclohexadiene | 94.8 | ![]() cyclohexane | 82.2 | (Seregina et al., 1997) [75] | |
![]() dehydrolinalool | >99 | ![]() 3,7-dimethyloct-6-en-3-ol | 99.8 | (Bronstein et al., 2000) [76] | |
| AuNPs-PVP | ![]() crotonaldehyde | 92 | ![]() crotyl alcohol | 73 | (Mertens et al., 2007) [77] |
![]() methacrolein | 93 | ![]() 2-methyl-2-propen-1-ol | 75 | (Mertens et al., 2007) [77] | |
![]() mesityl oxide | 91 | ![]() 4-methylpent-3-en-2-ol | 64 | (Mertens et al., 2007) [77] | |
![]() 3-methyl-3-penten-2-one | 56 | ![]() (E)-3-methylpent-3-en-2-ol | 70 | (Mertens et al., 2007) [77] | |
| AuNPs-(Methyl-imidazolium-based ionic polymer) | ![]() cinnamaldehyde | 27 | ![]() cinnamyl alcohol | 78 | (Biondi et al., 2011) [78] |
![]() | |||||
|---|---|---|---|---|---|
| Catalyst | Substrate | Product | Conv. (%) | Activity | Ref. |
| AuNPs-(PEO-b-PAA) | 4-NP | 4-AP | >99 | TOF = 800 mol/molcath | (Seo et al., 2013) [84] |
| AuNPs–(triazole functionalized PEG) | 4-NP | 4-AP | >99 | kapp = 5.2 × 10−3 s−1 | (Zhao et al., 2013) [85] |
| AuNPs-(PVP&PMBAAm) | 4-NP | 4-AP | n.r. | kapp = 7.2 × 10−2 min | (Xiao et al., 2012) [86] |
| AuNPs-(PS-b-P4VP) | 4-NP | 4-AP | n.r. | kapp = 3.15 × 10−3 | (Chen et al., 2008) [35] |
| AuNPs-sPSB | nitrobenzene | aniline | >99 | TOF = 2310 mol/molcath | (Noschese et al., 2016) [68] |
| AuNPs-PPI | 4-NP | 4-AP | >99 | kapp = 9.49 × 10−3 s−1 | (Esumi et al., 2003) [87] |
| AuNPs-PAMAM | 4-NP | 4-AP | >99 | kapp = 3.70 × 10−3 s−1 | (Hayakawa et al., 2003) [88] |
| AuNPs-(PGMA@PAH) | 4-NP | 4-AP | >99 | kapp = 1.97 × 10−2 s−1 | (Li and Chen, 2013) [89] |
| AuNPs-(methyl-imidazolium-based ionic polymer) | 4-NP | 4-AP | >99 | kapp = 1.2 × 10−3 s−1 | (Biondi et al., 2011) [78] |
| AuNPs-PANI | 4-NP | 4-AP | >99 | kapp = 11.7 × 10−3 s−1 | (Han et al., 2010) [90] |
| AuNPs-(PEI&PVA nanofibers) | 4-NP | 4-AP | 72 | n.r. | (Fang et al., 2011) [91] |
| AuNPs-(PANI&PSS) | 4-NP | 4-AP | >99 | kapp = 2.17 × 10−2 s−1 | (Liu et al., 2014) [92] |
| AuNPs -cyclodextrin | 4-NP | 4-AP | >99 | kapp = 4.65 × 10−3 s−1 | (Huang et al., 2009) [93] |
| AuNPs-(PEG&PEI&PCL) | 4-NP | 4-AP | n.r. | kapp = 0.370 min−1 | (Dai et al., 2015) [42] |
| Catalyst/Co-Catalyst | Substrate | Main Product | Conv. (%) | Sel. (%) | TOF (mol/molcath) | Reference |
|---|---|---|---|---|---|---|
| AuNPs-C12E23 | ![]() | ![]() | 84 | >99 | 1678 | (Porta and Rossi, 2003) [137] |
| AuNPs-PEG | n.r. | >99 | 746 | |||
| AuNPs-dextrin | 93 | >99 | 1865 | |||
| AuNPs-PVA | ![]() | ![]() | 90 | 62 | 715 | (Villa et al., 2009) [138] |
| AuNPs-THPC | 90 | 63 | 2478 | |||
| AuNPs-citrate | 90 | 70 | 160 | |||
| AuNPs-(Ion-exchange resin) | ![]() | ![]() | 40 | n.r. | 27000 | (Ishida et al., 2009) [139] |
| (Au&Pt&Ag)NPs-PVP | ![]() | ![]() | n.r. | n.r. | 13970 | (Toshima and Zhang, 2012) [140] |
Publisher’s Note: MDPI stays neutral with regard to jurisdictional claims in published maps and institutional affiliations. |
© 2021 by the authors. Licensee MDPI, Basel, Switzerland. This article is an open access article distributed under the terms and conditions of the Creative Commons Attribution (CC BY) license (https://creativecommons.org/licenses/by/4.0/).
Share and Cite
Buonerba, A.; Grassi, A. Trends in Sustainable Synthesis of Organics by Gold Nanoparticles Embedded in Polymer Matrices. Catalysts 2021, 11, 714. https://doi.org/10.3390/catal11060714
Buonerba A, Grassi A. Trends in Sustainable Synthesis of Organics by Gold Nanoparticles Embedded in Polymer Matrices. Catalysts. 2021; 11(6):714. https://doi.org/10.3390/catal11060714
Chicago/Turabian StyleBuonerba, Antonio, and Alfonso Grassi. 2021. "Trends in Sustainable Synthesis of Organics by Gold Nanoparticles Embedded in Polymer Matrices" Catalysts 11, no. 6: 714. https://doi.org/10.3390/catal11060714
APA StyleBuonerba, A., & Grassi, A. (2021). Trends in Sustainable Synthesis of Organics by Gold Nanoparticles Embedded in Polymer Matrices. Catalysts, 11(6), 714. https://doi.org/10.3390/catal11060714











































































