Towards Dual-Metal Catalyzed Hydroalkoxylation of Alkynes
Abstract
1. Introduction
2. Synthesis of Vinyl Ethers
2.1. Alcohols to Get Vinyl Ethers
2.2. Reduction of Vinyl Phosphate Ether
2.3. Isomerization of Allyl Ethers to Vinyl Ethers
2.4. Hydrogenation of Acetylenic Ethers
2.5. Elimination
2.6. Olefination of Carbonyl Compounds
2.7. Addition of Alcohols
2.8. Hydroalkoxylation
2.8.1. Dual Catalysis: An Efficient and Versatile Synthetic Tool
2.8.2. Dual-Assisted Hydroalkoxylation Process
3. Conclusions
Author Contributions
Funding
Data Availability Statement
Acknowledgments
Conflicts of Interest
References
- Kenly, S.J. Encyclopedia of Catalysis; John Wiley and Sons, Inc.: Hoboken, NJ, USA, 2010; pp. 1–30. [Google Scholar]
- Sabatier, P. How I Have Been Led to the Direct Hydrogenation Method by Metallic Catalysts. Ind. Eng. Chem. 1926, 18, 1005–1008. [Google Scholar] [CrossRef]
- American Chemical Society National Historic Chemical Landmarks. The Houdry Process for Catalytic Cracking. Available online: http://www.acs.org/content/acs/en/education/whatischemistry/landmaks/houdry.html (accessed on 23 May 2017).
- Smith, J.K.; Spitz, P.H. Petrochemicals: The Rise of an Industry. Technol. Cult. 1989, 30, 710. [Google Scholar] [CrossRef]
- Worthy, W. Canadian chemical firms: Another good year. Chem. Eng. News 1979, 57, 17. [Google Scholar] [CrossRef]
- Weirsselmel, K.; Arpe, H.J. Industrial Organic Chemistry, 3rd ed.; VCH Publishers, Inc.: New York, NY, USA, 1997; p. 218. [Google Scholar]
- Available online: http://www.dupont.com/corporate-functions/our-company/dupont-history.html (accessed on 15 November 2020).
- Schröder, G. Ullmann´s Encyclopedia of Industrial Chemistry; John Wiley and Sons, Inc.: Hoboken, NJ, USA, 2012; Volume 28, pp. 481–485. [Google Scholar]
- Okimoto, Y.; Sakaguchi, S.; Ishii, Y. Development of a Highly Efficient Catalytic Method for Synthesis of Vinyl Ethers. J. Am. Chem. Soc. 2002, 124, 1590–1591. [Google Scholar] [CrossRef] [PubMed]
- Bosch, M.; Schlaf, M. Synthesis of Allyl and Alkyl Vinyl Ethers Using an in Situ Prepared Air-Stable Palladium Catalyst. Efficient Transfer Vinylation of Primary, Secondary, and Tertiary Alcohols. J. Org. Chem. 2003, 68, 5225–5227. [Google Scholar] [CrossRef]
- Nakamura, A.; Tokunaga, M. Au(I) complexes-catalyzed transfer vinylation of alcohols and carboxylic acids. Tetrahedron Lett. 2008, 49, 3729–3732. [Google Scholar] [CrossRef]
- Charbonnier, F.; Moyano, A.; Greene, A.E. Facile synthesis of chiral Oalkyl enol ethers. J. Org. Chem. 1987, 52, 2303–2306. [Google Scholar] [CrossRef]
- Sageot, O.; Monteux, D.; Langlois, Y.; Riche, C.; Chiaroni, A. Preparation and use of chiral (Z)-enol ethers in asymmetric bradsher cycloaddition. Tetrahedron Lett. 1996, 37, 7019–7022. [Google Scholar] [CrossRef]
- Aloui, M.; Chambers, D.J.; Cumpstey, I.; Fairbanks, A.J.; Redgrave, A.J.; Seward, C.M.P. Stereoselective 1,2-cis Glycosylation of 2-O-Allyl Protected Thioglycosides. Chem. Eur. J. 2002, 8, 2608–2621. [Google Scholar] [CrossRef]
- Crivello, J.V.; Kong, S. Efficient Isomerization of Allyl Ethers and Related Compounds Using Pentacarbonyliron. J. Org. Chem. 1998, 63, 6745–6748. [Google Scholar] [CrossRef]
- Roche, C.; Delair, P.; Greene, A.E. Dichloroketene−Chiral Olefin-Based Approach to Pyrrolizidines: Highly Stereocontrolled Synthesis of (+)-Amphorogynine A. Org. Lett. 2003, 5, 1741–1744. [Google Scholar] [CrossRef]
- Mizuno, K.; Kimura, Y.; Otsuji, Y. A Convenient Synthesis of Aryl Vinyl Ethers by Use of Tetra-n-butylammonium Hydrogen Sulfate. Synthesis 1979, 1979, 688. [Google Scholar] [CrossRef]
- Hiersemann, M. Synthesis of α-Allyloxy-Substituted α,β-Unsaturated Esters via Aldol Condensation. Convenient Access of Highly Substituted Allyl Vinyl Ethers. Synthesis 2000, 2000, 1279–1290. [Google Scholar] [CrossRef]
- Park, H.G.; Kim, D.H.; Yoo, M.S.; Park, M.K.; Jew, S.S. Practical regioselective synthetic method for (E)-enol ether. Tetrahedron Lett. 2000, 41, 4579–4582. [Google Scholar] [CrossRef]
- Maeda, K.; Shinokubo, H.; Oshima, K.; Utimoto, K. Stereoselective Synthesis of Allyl Vinyl Ethers from Silyl Enol Ethers. J. Org. Chem. 1996, 61, 2262–2263. [Google Scholar] [CrossRef]
- Hoffmann, R.W. Wittig and His Accomplishments: Still Relevant Beyond His 100th Birthday. Angew. Chem. Int. Ed. 2001, 40, 1411–1416. [Google Scholar] [CrossRef]
- Julia, M.; Paris, J.-M. Syntheses a l’aide de sulfones v(+)-methode de synthese generale de doubles liaisons. Tetrahedron Lett. 1973, 14, 4833–4836. [Google Scholar] [CrossRef]
- Sabitha, G.; Reddy, M.M.; Srinivas, D.; Yadov, J. Microwave irradiation: Wittig olefination of lactones and amides. Tetrahedron Lett. 1999, 40, 165–166. [Google Scholar] [CrossRef]
- Kulkarni, M.; Dhondge, A.; Borhade, A.; Gaikwad, D.; Chavhan, S.; Shaikh, Y.; Nigdale, V.; Desai, M.; Birhade, D.; Shinde, M. Total Synthesis of (±)-Physovenine. Eur. J. Org. Chem. 2009, 23, 3875–3877. [Google Scholar] [CrossRef]
- Surprenant, S.; Chan, W.Y.; Berthelette, C. Efficient Synthesis of Substituted Vinyl Ethers Using the Julia Olefination. Org. Lett. 2003, 5, 4851–4854. [Google Scholar] [CrossRef]
- Alonso, F.; Beletskaya, I.P.; Yus, M. Transition-Metal-Catalyzed Addition of Heteroatom−Hydrogen Bonds to Alkynes. Chem. Rev. 2004, 104, 3079–3160. [Google Scholar] [CrossRef]
- Alcazar, E.; Pletcher, J.M.; McDonald, F.E. Synthesis of Seven-Membered Ring Glycals via endo-Selective Alkynol Cycloisomerization. Org. Lett. 2004, 6, 3877–3880. [Google Scholar] [CrossRef]
- Danishefsky, S.J.; DeNinno, M.P.; Chen, S.H. Stereoselective total syntheses of the naturally occurring enantiomers of N-acetylneuraminic acid and 3-deoxy-D-manno-2-octulosonic acid. A new and stereospecific approach to sialo and 3-deoxy-D-manno-2-octulosonic acid conjugates. J. Am. Chem. Soc. 1988, 110, 3929–3940. [Google Scholar] [CrossRef]
- Wan, Z.; Jones, C.D.; Koenig, T.M.; Pu, Y.J.; Mitchell, D. Vinyl aryl ethers from copper-catalyzed coupling of vinyl halides and phenols. Tetrahedron Lett. 2003, 44, 8257–8259. [Google Scholar] [CrossRef]
- Shade, R.E.; Hyde, A.M.; Olsen, J.-C.; Merlic, C.A. Copper-Promoted Coupling of Vinyl Boronates and Alcohols: A Mild Synthesis of Allyl Vinyl Ethers. J. Am. Chem. Soc. 2010, 132, 1202–1203. [Google Scholar] [CrossRef]
- Messerle, B.A.; Vuong, K.Q. Rhodium- and Iridium-Catalyzed Double Hydroalkoxylation of Alkynes, an Efficient Method for the Synthesis of O,O-Acetals: Catalytic and Mechanistic Studies. Organometallics 2007, 26, 3031–3040. [Google Scholar] [CrossRef]
- Hopkinson, M.N.; Richter, C.; Schedler, M.; Glorius, F. An overview of N-heterocyclic carbenes. Nat. Cell Biol. 2014, 510, 485–496. [Google Scholar] [CrossRef]
- Leung, C.H.; Baron, M.; Biffis, A. Gold-Catalyzed Intermolecular Alkyne Hydrofunctionalizations—Mechanistic Insights. Catalysts 2020, 10, 1210. [Google Scholar] [CrossRef]
- Brooner, R.E.M.; Widenhoefer, R.A. Cationic, Two-Coordinate Gold π Complexes. Angew. Chem. Int. Ed. 2013, 52, 11714–11724. [Google Scholar] [CrossRef]
- Gomez, S.A.; Ramon, S.R.; Songis, O.; Slawin, A.M.Z.; Cazin, C.S.J.; Nolan, S.P. Influence of a Very Bulky N-Heterocyclic Carbene in Gold-Mediated Catalysis. Organometallics 2011, 30, 5463–5470. [Google Scholar] [CrossRef]
- Biasiolo, L.; Del Zotto, A.; Zuccaccia, D. Toward Optimizing the Performance of Homogeneous L-Au-X Catalysts through Appropriate Matching of the Ligand (L) and Counterion (X–). Organometallics 2015, 34, 1759–1765. [Google Scholar] [CrossRef]
- D’Amore, L.; Ciancaleoni, G.; Belpassi, L.; Tarantelli, F.; Zuccaccia, D.; Belanzoni, P. Unraveling the Anion/Ligand Interplay in the Reaction Mechanism of Gold(I)-Catalyzed Alkoxylation of Alkynes. Organometallics 2017, 36, 2364–2376. [Google Scholar] [CrossRef]
- Ciancaleoni, G.; Belpassi, L.; Zuccaccia, D.; Tarantelli, F.; Belanzoni, P. Counterion Effect in the Reaction Mechanism of NHC Gold(I)-Catalyzed Alkoxylation of Alkynes: Computational Insight into Experiment. ACS Catal. 2015, 5, 803–814. [Google Scholar] [CrossRef]
- Trinchillo, M.; Belanzoni, P.; Belpassi, L.; Biasiolo, L.; Busico, V.; D’Amora, A.; D’Amore, L.; Del Zotto, A.; Tarantelli, F.; Tuzi, A.; et al. Extensive Experimental and Computational Study of Counterion Effect in the Reaction Mechanism of NHC-Gold(I)-Catalyzed Alkoxylation of Alkynes. Organometallics 2016, 35, 641–654. [Google Scholar] [CrossRef]
- Kuram, M.R.; Bhanuchandra, M.; Sahoo, A.K. Gold-Catalyzed Intermolecular Hydrophenoxylation of Unactivated Internal Alkynes. J. Org. Chem. 2010, 75, 2247–2258. [Google Scholar] [CrossRef]
- Kovács, G.; Lledós, A.; Ujaque, G. Reaction Mechanism of the Gold(I)-Catalyzed Addition of Phenols to Olefins: A Concerted Process Accelerated by Phenol and Water. Organometallics 2010, 29, 3252–3260. [Google Scholar] [CrossRef]
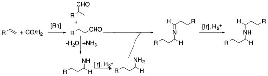
- Zimmermann, B.; Herwing, J.; Beller, M. The First Efficient Hydroaminomethylation with Ammonia: With Dual Metal Catalysts and Two-Phase Catalysis to Primary Amines. Angew. Chem. Int. Ed. 1999, 38, 2372–3275. [Google Scholar] [CrossRef]
- Yang, R.; Zhang, Y.; Tsubaki, N. Dual catalysis mechanism of alcohol solvent and Cu catalyst for a new methanol synthesis method. Catal. Commun. 2005, 6, 275–279. [Google Scholar] [CrossRef]
- Bin Kim, U.; Jung, D.J.; Jeon, H.J.; Rathwell, K.; Lee, S.-G. Synergistic Dual Transition Metal Catalysis. Chem. Rev. 2020, 120, 13382–13433. [Google Scholar] [CrossRef]
- Chen, Z.-S.; Huang, L.-Z.; Jeon, H.J.; Xuan, Z.; Lee, S.-G. Cooperative Pd(0)/Rh(II) Dual Catalysis: Interceptive Capturing of π-Allyl Pd(II) Complexes with α-Imino Rh(II) Carbenoids. ACS Catal. 2016, 6, 4914–4919. [Google Scholar] [CrossRef]
- Bozoglian, F.; Romain, S.; Ertem, M.Z.; Todorova, T.K.; Sens, C.; Mola, J.; Rodriguez, M.; Romero, I.; Benet-Buchholz, J.; Fontrodona, X.; et al. The Ru-Hbpp water oxidation catalyst. J. Am. Chem. Soc. 2009, 131, 15176–15187. [Google Scholar] [CrossRef]
- Richmond, C.J.; Matheu, R.; Poater, A.; Falivene, L.; Benet-Buchholz, J.; Sala, X.; Cavallo, L.; Llobet, A. Supramolecular Water Oxidation with Ru-bda-Based Catalysts. Chem. Eur. J. 2014, 20, 17282–17286. [Google Scholar] [CrossRef] [PubMed]
- Richmond, C.J.; Escayola, S.; Poater, A. Axial Ligand Effects of Ru-BDA Complexes in the O-O Bond Formation via the I2M Bimolecular Mechanism in Water Oxidation Catalysis. Eur. J. Inorg. Chem. 2019, 2019, 2101–2108. [Google Scholar] [CrossRef]
- Luque-Urrutia, J.A.; Kamdar, J.M.; Grotjahn, D.B.; Solà, M.; Poater, A. Understanding the Performance of a Bisphosphonate Ru Water Oxidation Catalyst. Dalton Trans. 2020, 49, 14052–14060. [Google Scholar] [CrossRef]
- Bucci, A.; Rodriguez, G.M.; Bellachioma, G.; Zuccaccia, C.; Poater, A.; Cavallo, L.; Macchioni, A. An Alternative Reaction Pathway for Iridium-Catalyzed Water Oxidation Driven by Cerium Ammonium Nitrate (CAN). ACS Catal. 2016, 6, 4559–4563. [Google Scholar] [CrossRef]
- Rünzi, T.; Tritschler, U.; Roesle, P.; Göttker-Schnetmann, I.; Möller, H.M.; Caporaso, L.; Poater, A.; Cavallo, L.; Mecking, S. Activation and Deactivation of Neutral Palladium(II) Phosphinesulfonato Polymerization Catalysts. Organometallics 2012, 31, 8388–8406. [Google Scholar] [CrossRef]
- Das, R.K.; Saha, B.; Rahaman, S.M.W.; Bera, J.K. Bimetallic Catalysis Involving Dipalladium(I) and Diruthenium(I) Complexes. Chem. Eur. J. 2010, 16, 14459–14468. [Google Scholar] [CrossRef]
- Aufiero, M.; Proutiere, F.; Schoenebeck, F. Redox Reactions in Palladium Catalysis: On the Accelerating and/or Inhibiting Effects of Copper and Silver Salt Additives in Cross-Coupling Chemistry Involving Electron-rich Phosphine Ligands. Angew. Chem. Int. Ed. 2012, 51, 7226–7230. [Google Scholar] [CrossRef]
- Proutiere, F.; Aufiero, M.; Schoenebeck, F. Reactivity and Stability of Dinuclear Pd(I) Complexes: Studies on the Active Catalytic Species, Insights into Precatalyst Activation and Deactivation, and Application in Highly Selective Cross-Coupling Reactions. J. Am. Chem. Soc. 2011, 134, 606–612. [Google Scholar] [CrossRef]
- Hansmann, M.M.; Pernpointner, M.; Döpp, R.; Hashmi, A.S.K. A Theoretical DFT-Based and Experimental Study of the Transmetalation Step in Au/Pd-Mediated Cross-Coupling Reactions. Chem. Eur. J. 2013, 19, 15290–15303. [Google Scholar] [CrossRef]
- Naumann, S.; Scholten, P.B.V.; Wilson, J.A.; Dove, A.P. Dual Catalysis for Selective Ring-Opening Polymerization of Lactones: Evolution toward Simplicity. J. Am. Chem. Soc. 2015, 137, 14439–14445. [Google Scholar] [CrossRef] [PubMed]
- Xu, T.; Chen, E.Y.-X. Silylium dual catalysis in living polymerization of methacrylates via In situ hydrosilylation of monomer. J. Polym. Sci. Part A Polym. Chem. 2015, 53, 1895–1903. [Google Scholar] [CrossRef]
- Sammis, M.G.; Danjo, H.; Jacobsen, N.E. Cooperative Dual Catalysis: Application to the Highly Enantioselective Conjugate Cyanation of Unsaturated Imides. J. Am. Chem. Soc. 2004, 126, 9928–9929. [Google Scholar] [CrossRef]
- Rueping, M.; Antonchick, A.P.; Brinkmann, C. Dual catalysis: A combined enantioselective brønsted acid and metal-catalyzed reaction-Metal catalysis with chiral counterions. Angew. Chem. Int. Ed. 2007, 46, 6903–6906. [Google Scholar] [CrossRef]
- Du, J.; Skubi, K.L.; Schultz, D.M.; Yoon, T.P. A Dual-Catalysis Approach to Enantioselective [2+2] Photocycloadditions Using Visible Light. Science 2014, 334, 392–396. [Google Scholar] [CrossRef]
- Peters, R. Cooperative Catalysis: Designing Efficient Catalysis for Synthesis; John Wiley and Sons: Hoboken, NJ, USA, 2015; p. 16. [Google Scholar]
- Corey, E.J.; Bakshi, R.K.; Shibata, S. Highly enantioselective borane reduction of ketones catalyzed by chiral oxazaborolidines. Mechanism and synthetic implications. J. Am. Chem. Soc. 1987, 109, 5551–5553. [Google Scholar] [CrossRef]
- DiMauro, E.F.; Kozlowski, M.C. Salen-Derived Catalysts Containing Secondary Basic Groups in the Addition of Diethylzinc to Aldehydes. Org. Lett. 2001, 3, 3053–3056. [Google Scholar] [CrossRef]
- DiMauro, E.F.; Kozlowski, M.S. The First Catalytic Asymmetric Addition of Dialkylzincs to α-Ketoesters. Org. Lett. 2002, 4, 3781–3784. [Google Scholar] [CrossRef]
- Wadamoto, M.; Ozasa, N.; Yanagisawa, A.; Yamamoto, H. BIN-AP/AgOTf/KF/18-Crown-6 as New Bifunctional Catalysts for Asymmetric Sakurai−Hosomi Allylation and Mukaiyama Aldol Reaction. J. Org. Chem. 2003, 68, 5593–5601. [Google Scholar] [CrossRef] [PubMed]
- Denmark, S.E.; Chung, W.-J. Lewis Base Activation of Lewis Acids: Catalytic, Enantioselective Addition of Glycolate-Derived Silyl Ketene Acetals to Aldehydes. J. Org. Chem. 2008, 73, 4582–4595. [Google Scholar] [CrossRef]
- Kobayashi, S.; Hamada, T.; Manabe, K. The Catalytic Asymmetric Mannich-Type Reactions in Aqueous Media. J. Am. Chem. Soc. 2002, 124, 5640–5641. [Google Scholar] [CrossRef]
- Ohkuma, T.; Ooka, H.; Hashiguchi, S.; Ikariya, T.; Noyori, R. Practical Enantioselective Hydrogenation of Aromatic Ketones. J. Am. Chem. Soc. 1995, 117, 2675–2676. [Google Scholar] [CrossRef]
- Mikhailine, A.A.; Maishan, M.I.; Lough, A.J.; Morris, R.H. The Mechanism of Efficient Asymmetric Transfer Hydrogenation of Acetophenone Using an Iron(II) Complex Containing an (S,S)-Ph2PCH2CH═NCHPhCHPhN═CHCH2PPh2 Ligand: Partial Ligand Reduction Is the Key. J. Am. Chem. Soc. 2012, 134, 12266–12280. [Google Scholar] [CrossRef]
- Zuo, W.; Lough, A.J.; Li, Y.F.; Morris, R.H. Amine(imine)diphosphine Iron Catalysts for Asymmetric Transfer Hydrogenation of Ketones and Imines. Science 2013, 342, 1080–1083. [Google Scholar] [CrossRef] [PubMed]
- Westerhausen, D.; Herrmann, S.; Hummel, W.; Steckhan, E. Formate-Driven, Non-Enzymatic NAD(P)H Regeneration for the Alcohol Dehydrogenase Catalyzed Stereoselective Reduction of 4-Phenyl-2-butanone. Angew. Chem. Int. Ed. 1992, 31, 1529–1531. [Google Scholar] [CrossRef]
- Allen, J.V.; Williams, J.M.J. Dynamic kinetic resolution with enzyme and palladium combinations. Tetrahedron Lett. 1996, 37, 1859–1862. [Google Scholar] [CrossRef]
- Dinh, P.M.; Howarth, J.A.; Hudnott, A.R.; Williams, J.M.J.; Harris, W. Catalytic racemisation of alcohols: Applications to enzymatic resolution reactions. Tetrahedron Lett. 1996, 37, 7623–7626. [Google Scholar] [CrossRef]
- Pàmies, O.; Bäckvall, J.-E. Combination of Enzymes and Metal Catalysts. A Powerful Approach in Asymmetric Catalysis. Chem. Rev. 2003, 103, 3247–3261. [Google Scholar] [CrossRef]
- Denard, C.A.; Huang, H.; Bartlett, M.J.; Lu, L.; Tan, Y.; Zhao, H.; Hartwig, J.F. Cooperative Tandem Catalysis by an Organometallic Complex and a Metalloenzyme. Angew. Chem. Int. Ed. 2013, 126, 465–469. [Google Scholar] [CrossRef]
- Simons, C.; Hanefeld, U.; Arends, I.W.C.E.; Maschmeyer, T.; Sheldon, R.A. Towards catalytic cascade reactions: Asymmetric synthesis using combined chemo-enzymatic catalysts. Top. Catal. 2006, 40, 35–44. [Google Scholar] [CrossRef]
- Abdellah, I.; Poater, A.; Lohier, J.-F.; Gaumont, A.-C. Au(I)-Catalyzed Hydroarylation of Alkenes with N,N-dialkylanilines: A Dual Gold Catalysis Concept. Catal. Sci. Technol. 2018, 8, 6486–6492. [Google Scholar] [CrossRef]
- Burns, N.Z.; Witten, M.R.; Jacobsen, E.N. Dual Catalysis in Enantioselective Ox-idopyrylium-Based [5 + 2] Cycloadditions. J. Am. Chem. Soc. 2011, 133, 14578–14581. [Google Scholar] [CrossRef]
- Oliveira, M.T.; Luparia, M.; Audisio, D.; Maulide, N. Dual Catalysis Becomes Diastereodivergent. Angew. Chem. Int. Ed. 2013, 52, 13149–13152. [Google Scholar] [CrossRef] [PubMed]
- Hanna, L.E.; Jarvo, E.R. Selective Cross-Electrophile Coupling by Dual Catalysis. Angew. Chem. Int. Ed. 2015, 54, 15618–15620. [Google Scholar] [CrossRef]
- Cheong, P.H.Y.; Morganelli, P.; Luzung, M.R.; Houk, K.N.; Toste, F.D. Gold-Catalyzed Cycloisomerization of 1,5-Allenynes via Dual Activation of an Ene Reaction. J. Am. Chem. Soc. 2008, 130, 4517–4526. [Google Scholar] [CrossRef]
- Gaillard, S.; Bosson, J.; Ramon, R.S.; Nun, P.; Slawin, A.M.Z.; Nolan, S.P. Development of Versatile and Silver-Free Protocols for Gold(I) Catalysis. Chem. Eur. J. 2010, 16, 13729–13740. [Google Scholar] [CrossRef]
- Brown, T.J.; Widenhoefer, R.A. Cationic Gold(I) π-Complexes of Terminal Alkynes and Their Conversion to Dinuclear σ,π-Acetylide Complexes. Organometallics 2011, 30, 6003–6009. [Google Scholar] [CrossRef]
- Roithová, J.; Janková, Š.; Jašíková, L.; Váňa, J.; Hybelbauerová, S. Gold–Gold Cooperation in the Addition of Methanol to Alkynes. Angew. Chem. Int. Ed. 2012, 51, 8378–8382. [Google Scholar] [CrossRef]
- Jašíková, L.; Anania, M.; Hybelbauerová, S.; Roithová, J. Reaction Intermediates Kinetics in Solution Investigated by Electrospray Ionization Mass Spectrometry: Diaurated Complexes. J. Am. Chem. Soc. 2015, 137, 13647–13657. [Google Scholar] [CrossRef]
- Anania, M.; Jašíková, L.; Jašík, J.; Roithová, J. Why can a gold salt react as a base? Org. Biomol. Chem. 2017, 15, 7841–7852. [Google Scholar] [CrossRef]
- Anania, M.; Jašíková, L.; Zelenka, J.; Shcherbachenko, E.; Jašík, J.; Roithová, J. Monoaurated vs. diaurated intermediates: Causality or independence? Chem. Sci. 2020, 11, 980–988. [Google Scholar] [CrossRef]
- Larsen, M.H.; Houk, K.N.; Hashmi, A.S.K. Dual Gold Catalysis: Stepwise Catalyst Transfer via Dinuclear Clusters. J. Am. Chem. Soc. 2015, 137, 10668–10676. [Google Scholar] [CrossRef] [PubMed]
- Oonishi, Y.; Gómez-Suárez, A.; Martin, A.R.; Nolan, S. Hydrophenoxylation of Alkynes by Cooperative Gold Catalysis. Angew. Chem. Int. Ed. 2013, 52, 9767–9771. [Google Scholar] [CrossRef] [PubMed]
- Dupuy, S.; Gasperini, D.; Nolan, S.P. Highly Efficient Gold(I)-Catalyzed Regio- and Stereoselective Hydrocarboxylation of Internal Alkynes. ACS Catal. 2015, 5, 6918–6921. [Google Scholar] [CrossRef]
- Gómez-Suárez, A.; Oonishi, Y.; Martin, A.R.; Vummaleti, S.V.C.; Nelson, D.; Cordes, D.; Slawin, A.M.Z.; Cavallo, L.; Nolan, S.P.; Poater, A. On the Mechanism of the Digold(I)-Hydroxide-Catalysed Hydrophenoxylation of Alkynes. Chem. Eur. J. 2016, 22, 1125–1132. [Google Scholar] [CrossRef] [PubMed]
- Cavarzan, A.; Scarso, A.; Sgarbossa, P.; Strukul, G.; Reek, J.N.H. Supramolecular Control on Chemo- and Regioselectivity via Encapsulation of (NHC)-Au Catalyst within a Hexameric Self-Assembled Host. J. Am. Chem. Soc. 2011, 133, 2848–2851. [Google Scholar] [CrossRef]
- Jans, A.C.H.; Gómez-Suárez, A.; Nolan, S.P.; Reek, J.N.H. A Switchable Gold Catalyst by Encapsulation in a Self-Assembled Cage. Chem. Eur. J. 2016, 22, 14836–14839. [Google Scholar] [CrossRef]
- Escayola, S.; Poater, J.; Ramos, M.; Luque-Urrutia, J.A.; Duran, J.; Simon, S.; Solà, M.; Cavallo, L.; Nolan, S.P.; Poater, A. Chelation enforcing a dual gold configuration in the catalytic hydroxyphenoxylation of alkynes. Appl. Organomet. Chem. 2021. unpublish. [Google Scholar]
- Lazreg, F.; Guidone, S.; Gómez-Herrera, A.; Nahra, F.; Cazin, C.S.J. Hydrophenoxylation of internal alkynes catalysed with a heterobimetallic Cu-NHC/Au-NHC system. Dalton Trans. 2017, 46, 2439–2444. [Google Scholar] [CrossRef]
- Gonzalez-Belman, O.F.; Jiménez-Halla, J.O.C.; Nahra, F.; Cazin, C.S.J.; Poater, A. The role of the metal in the dual-metal catalysed hydrophenoxylation of diphenylacetylene. Catal. Sci. Technol. 2018, 8, 3638–3648. [Google Scholar] [CrossRef]
- Ramos, M.; Poater, J.; Villegas-Escobar, N.; Gimferrer, M.; Toro-Labbé, A.; Cavallo, L.; Poater, A. Phenoxylation of Alkynes through Mono- and Dual Activation Using Group 11 (Cu, Ag, Au) Catalysts. Eur. J. Inorg. Chem. 2020, 2020, 1123–1134. [Google Scholar] [CrossRef]
- D’Elia, V.; Ghani, A.A.; Monassier, A.; Sofack-Kreutzer, J.; Pelletier, J.D.A.; Drees, M.; Vummaleti, S.V.C.; Poater, A.; Cavallo, L.; Cokoja, M.; et al. Dynamics of the NbCl5-catalyzed cycloaddition of propylene oxide and CO2: Assessing the dual role of the nucleophilic Co-catalysts. Chem. Eur. J. 2014, 20, 11870–11882. [Google Scholar] [CrossRef]
- D’Elia, V.; Dong, H.; Rossini, A.; Widdifield, C.; Vummaleti, S.V.C.; Minenkov, Y.; Poater, A.; Abou-Hamad, E.; Pelletier, J.D.A.; Cavallo, L.; et al. Cooperative effect by monopodal surface niobium complexes enhancing cyclic carbonate production. J. Am. Chem. Soc. 2015, 137, 7728–7739. [Google Scholar] [CrossRef]
- Arayachukiat, S.; Yingcharoen, P.; Vummaleti, S.V.; Cavallo, L.; Poater, A.; D’Elia, V. Cycloaddition of CO2 to challenging N-tosyl aziridines using a halogen-free niobium complex: Catalytic activity and mechanistic insights. Mol. Catal. 2017, 443, 280–285. [Google Scholar] [CrossRef]
- Gimferrer, M.; D’Alterio, M.C.; Talarico, G.; Minami, Y.; Hiyama, T.; Poater, A. Allyl Monitorization of the Regioselective Pd-Catalyzed Annulation of Alkylnyl Aryl Ethers Leading to Bismethylenechromanes. J. Org. Chem. 2020, 85, 12262–12269. [Google Scholar] [CrossRef]












![]() | |||||
|---|---|---|---|---|---|
| R1 | R2 | R3 | Base | Time (h) | Yield (%) |
| 4-OMe | Ph- | Ph- | Ag2CO3/K2CO3 | 96 | 83 |
| 4-Cl | Ph- | Ph- | Ag2CO3/K2CO4 | 46 | 88 |
| 2-F | Ph- | Ph- | Ag2CO3/K2CO5 | 120 | 90 |
| 4-OMe | Et- | Et- | Ag2CO3/K2CO6 | 48 | 94 |
| 3-OMe | Bu- | Bu- | Ag2CO3/K2CO7 | 50 | 93 |
Publisher’s Note: MDPI stays neutral with regard to jurisdictional claims in published maps and institutional affiliations. |
© 2021 by the authors. Licensee MDPI, Basel, Switzerland. This article is an open access article distributed under the terms and conditions of the Creative Commons Attribution (CC BY) license (https://creativecommons.org/licenses/by/4.0/).
Share and Cite
González-Belman, O.F.; Brotons-Rufes, A.; Tomasini, M.; Falivene, L.; Caporaso, L.; Jiménez-Halla, J.O.C.; Poater, A. Towards Dual-Metal Catalyzed Hydroalkoxylation of Alkynes. Catalysts 2021, 11, 704. https://doi.org/10.3390/catal11060704
González-Belman OF, Brotons-Rufes A, Tomasini M, Falivene L, Caporaso L, Jiménez-Halla JOC, Poater A. Towards Dual-Metal Catalyzed Hydroalkoxylation of Alkynes. Catalysts. 2021; 11(6):704. https://doi.org/10.3390/catal11060704
Chicago/Turabian StyleGonzález-Belman, Oscar F., Artur Brotons-Rufes, Michele Tomasini, Laura Falivene, Lucia Caporaso, Jose Oscar C. Jiménez-Halla, and Albert Poater. 2021. "Towards Dual-Metal Catalyzed Hydroalkoxylation of Alkynes" Catalysts 11, no. 6: 704. https://doi.org/10.3390/catal11060704
APA StyleGonzález-Belman, O. F., Brotons-Rufes, A., Tomasini, M., Falivene, L., Caporaso, L., Jiménez-Halla, J. O. C., & Poater, A. (2021). Towards Dual-Metal Catalyzed Hydroalkoxylation of Alkynes. Catalysts, 11(6), 704. https://doi.org/10.3390/catal11060704


