The Effect of Mg and Zn Dopants on Pt/Al2O3 for the Dehydrogenation of Perhydrodibenzyltoluene
Abstract
1. Introduction
2. Results and Discussion
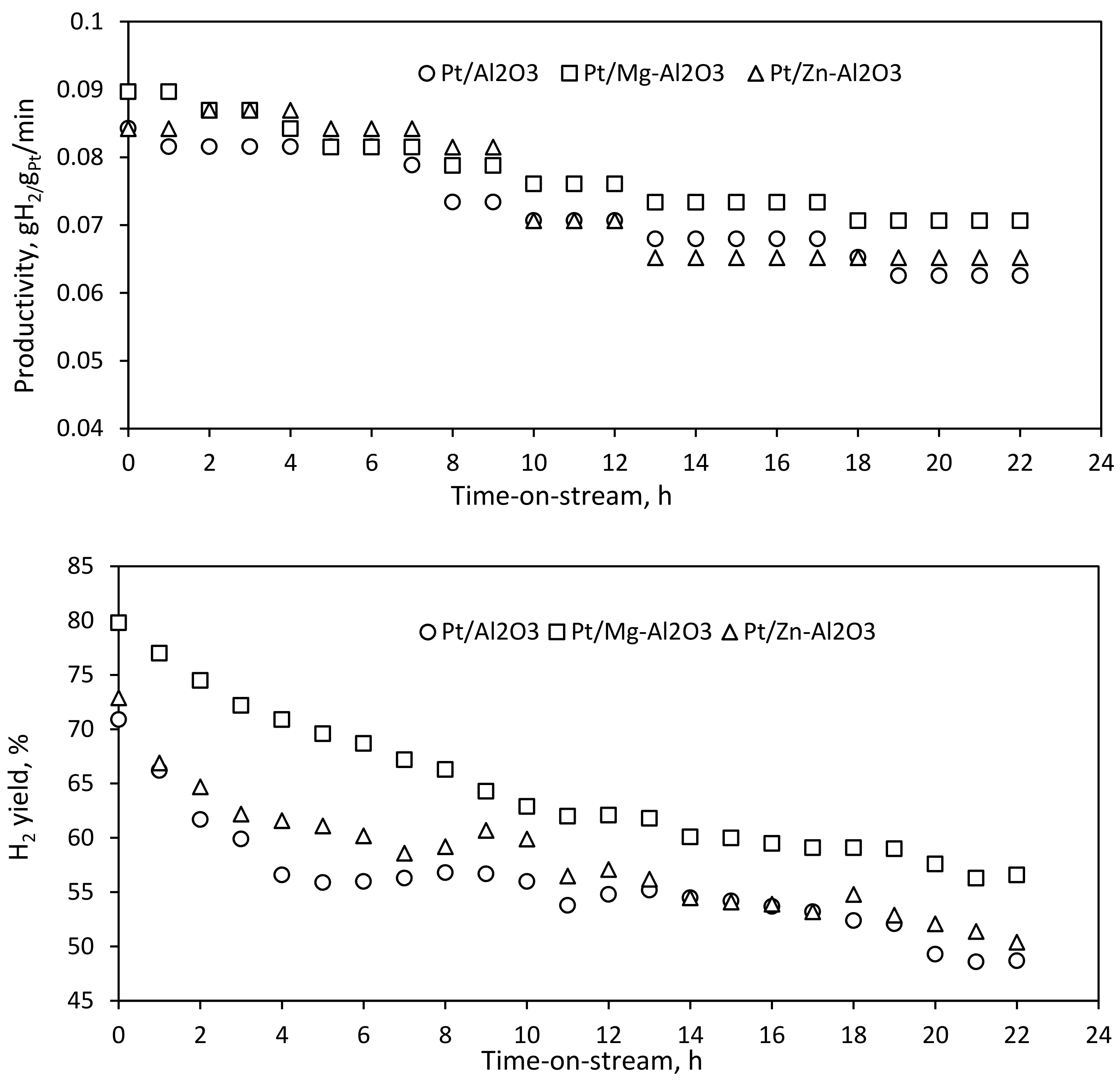
2.1. Catalytic Dehydrogenation Activity
2.2. Characterisation
2.2.1. Inductively Coupled Plasma-Optical Emission Spectrometry (ICP-OES) and Scanning Electron Microscopy-Energy Dispersive X-ray Spectroscopy (SEM-EDS)
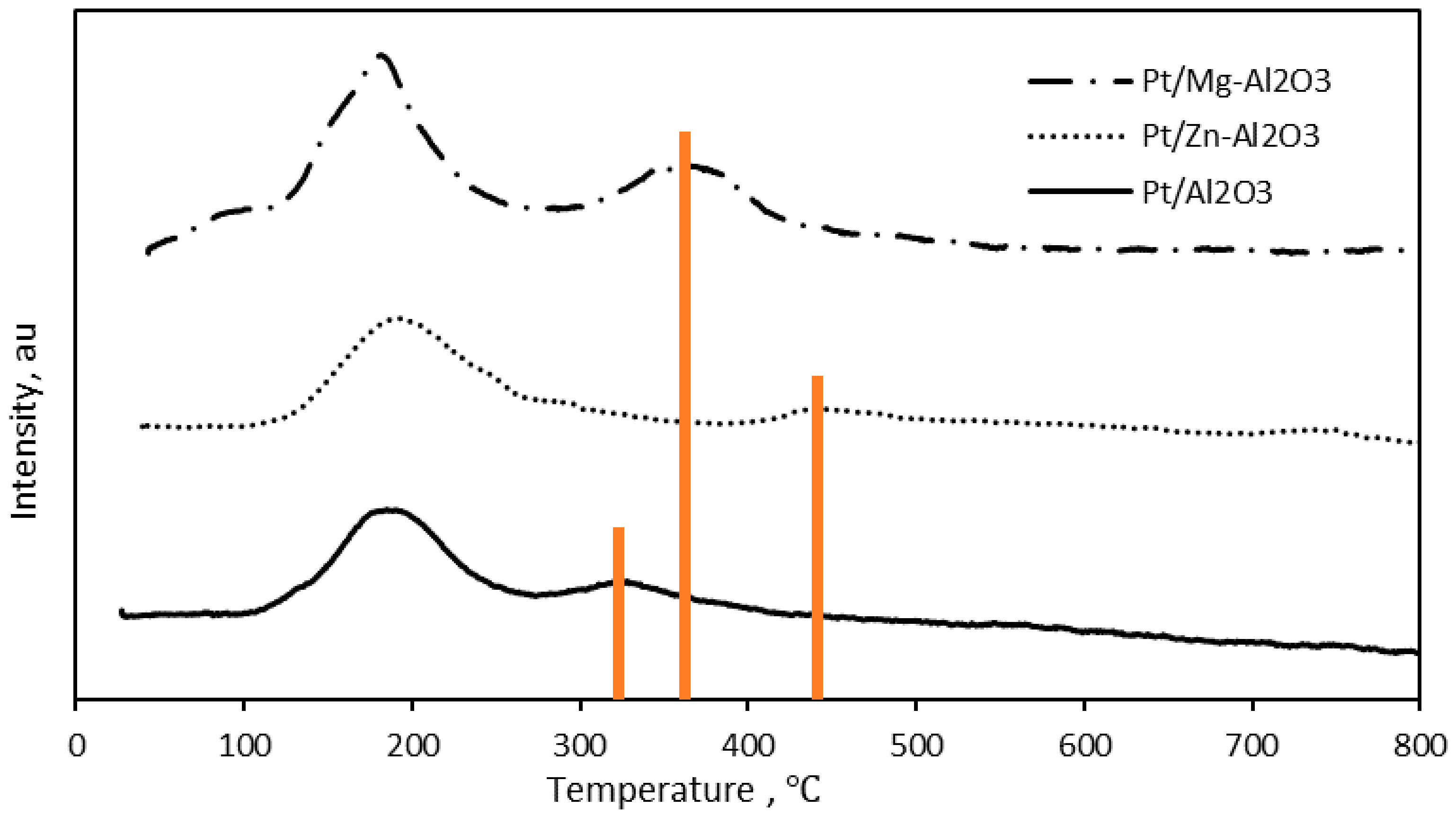
2.2.2. Hydrogen Temperature-Programmed Reduction (H2-TPR)
2.2.3. CO Pulse Chemisorption
2.2.4. NH3-TPD
2.2.5. Transmission Electron Microscopy (TEM)
2.2.6. X-ray Diffraction (XRD)
2.2.7. Characterisation of the Liquid Carrier Molecules
3. Experimental
3.1. Materials
3.2. Catalyst Preparation
3.3. Catalyst Characterisation
3.3.1. Catalyst
3.3.2. Analysis of LOHC Molecule
3.4. Dehydrogenation Activity Tests
4. Conclusions
Author Contributions
Funding
Data Availability Statement
Acknowledgments
Conflicts of Interest
References
- Modisha, P.M.; Ouma, C.N.; Garidzirai, R.; Wasserscheid, P.; Bessarabov, D. The prospect of hydrogen storage using liquid organic hydrogen carriers. Energy Fuels 2019, 33, 2778–2796. [Google Scholar] [CrossRef]
- Modisha, P.; Gqogqa, P.; Garidzirai, R.; Ouma, C.N.M.; Bessarabov, D. Evaluation of catalyst activity for release of hydrogen from liquid organic hydrogen carriers. Int. J. Hydrogen Energy 2019, 44, 21926–21935. [Google Scholar] [CrossRef]
- Bessarabov, D.; Human, G.; Kruger, A.J.; Chiuta, S.; Modisha, P.M.; Du Preez, S.P.; Oelofse, S.P.; Vincent, I.; Van Der Merwe, J.; Langmi, H.W.; et al. South African hydrogen infrastructure (HySA infrastructure) for fuel cells and energy storage: Overview of a projects portfolio. Int. J. Hydrogen Energy 2017, 42, 13568–13588. [Google Scholar] [CrossRef]
- Ouma, C.N.; Modisha, P.; Bessarabov, D. Insight into the adsorption of a liquid organic hydrogen carrier, perhydro-i-dibenzyltoluene (i = m, o, p), on Pt, Pd and PtPd planar surfaces. RSC Adv. 2018, 8, 31895–31904. [Google Scholar] [CrossRef]
- Amende, M.; Kaftan, A.; Bachmann, P.; Brehmer, R.; Preuster, P.; Koch, M.; Wasserscheid, P.; Libuda, J. Regeneration of LOHC dehydrogenation catalysts: In-situ IR spectroscopy on single crystals, model catalysts, and real catalysts from UHV to near ambient pressure. Appl. Surf. Sci. 2016, 360, 671–683. [Google Scholar] [CrossRef]
- Ballarini, A.; Basile, F.; Benito, P.; Bersani, I.; Fornasari, G.; de Miguel, S.; Maina, S.C.P.; Vilella, J.; Vaccari, A.; Scelza, O.A. Platinum supported on alkaline and alkaline earth metal-doped alumina as catalysts for dry reforming and partial oxidation of methane. Appl. Catal. A Gen. 2012, 433–434, 1–11. [Google Scholar] [CrossRef]
- Yu, C.; Xu, H.; Ge, Q.; Li, W. Properties of the metallic phase of zinc-doped platinum catalysts for propane dehydrogenation. J. Mol. Catal. A Chem. 2007, 266, 80–87. [Google Scholar] [CrossRef]
- Buitrago-Sierra, R.; Ruiz-Martínez, J.; Serrano-Ruiz, J.C.; Rodríguez-Reinoso, F.; Sepúlveda-Escribano, A. Ethanol steam reforming on Ni/Al2O3 catalysts: Effect of addition of Zn and Pt. J. Colloid Interface Sci. 2012, 383, 148–154. [Google Scholar] [CrossRef]
- Zhang, Y.; Zhou, Y.; Huang Li Zhou, S.; Sheng, X.; Wang, Q.; Zhang, C. Structure and catalytic properties of the Zn-modified ZSM-5 supported platinum catalyst for propane dehydrogenation. Chem. Eng. J. 2015, 270, 352–361. [Google Scholar] [CrossRef]
- Belskaya, O.B.; Stepanova, L.N.; Gulyaeva, T.I.; Erenburg, S.B.; Trubina, S.V.; Kvashnina, K.; Nizovskii, A.I.; Kalinkin, A.V.; Zaikovskii, V.I.; Bukhtiyarov, V.I.; et al. Zinc influence on the formation and properties of Pt/Mg(Zn)AlOx catalysts synthesised from layered hydroxides. J. Catal. 2016, 341, 13–23. [Google Scholar] [CrossRef]
- Berry, A.K.; Harmer, M.P. Effect of MgO solute on microstructure development in Al2O3. J. Am. Ceram. Soc. 1986, 69, 143–149. [Google Scholar] [CrossRef]
- Clavenna, L.R.; Davis, S.M.; Fiato, R.A.; Say, G.R. Structurally Modified Alumina Supports, and Heat Transfer Solids for High Temperature Fluidized Bed Reactions. U.S. Patent 5,395,406, 7 March 1995. Available online: https://patents.google.com/patent/US5395406A/en (accessed on 17 January 2021).
- Zhou, Y.; Davis, S.M. Dehydrogenation Catalysts and Process for Preparing the Catalysts. U.S. Patent 5,219,816, 15 June 1993. Available online: https://patents.google.com/patent/US5219816A/en (accessed on 17 January 2021).
- Biniwale, R.B.; Pande, J.V.; Shukla, A. Process for the Storage Delivery of Hydrogen Using Catalyst. U.S. Patent 9,005,571, 14 April 2015. Available online: https://patents.google.com/patent/US9005571B2/en (accessed on 17 January 2021).
- Martins, A.R.; Santos, L.; Patrício, C.; Javier, R.; Grau, M.; do Carmo Rangel, M. Hydrogen production on alumina-supported platinum catalysts. J. Mol. Catal. A Chem. 2017, 429, 1–9. [Google Scholar] [CrossRef]
- Escobar, J.; Barrera, M.C.; Santes, V.; Terrazas, J.E. Naphthalene hydrogenation over Mg-doped Pt/Al2O3. Catal. Today 2017, 296, 197–204. [Google Scholar] [CrossRef]
- Kumar, M.; Aberuagba, F.; Gupta, J.K.; Rawat, K.S.; Sharma, L.D.; Dhar, G.M. Temperature-programmed reduction and acidic properties of molybdenum supported on MgO-Al2O3 and their correlation with catalytic activity. J. Mol. Catal. A Chem. 2004, 213, 217–223. [Google Scholar] [CrossRef]
- Zhang, Y.; Zhou, Y.; Wan, L.; Xue, M.; Duan, Y.; Liu, X. Effect of magnesium addition on catalytic performance of PtSnK/γ-Al2O3 catalyst for iso-butane dehydrogenation. Fuel Process. Technol. 2011, 92, 1632–1638. [Google Scholar] [CrossRef]
- Arnby, K.; Törncrona, A.; Skoglundh, M. Influence of ammonia on CO and methanol oxidation over Pt/γ-Al2O3 catalysts modified by Mg. Appl. Catal. B Environ. 2004, 49, 51–59. [Google Scholar] [CrossRef]
- Zhan, Y.Y.; Liang, K.A.; Zhou, Y.C.; Cai, G.H.; Chen, C.Q.; Jiang, L.L. Pd/Al2O3 catalysts modified with Mg for catalytic combustion of methane: Effect of Mg/Al mole ratios on the supports and active PdOx formation. J. Fuel Chem. Technol. 2019, 47, 1235–1244. [Google Scholar] [CrossRef]
- Auer, F.; Blaumeiser, D.; Bauer, T.; Bösmann, A.; Szesni, N.; Libuda, J.; Wasserscheid, P. Boosting the activity of hydrogen release from liquid organic hydrogen carrier systems by sulfur-additives to Pt on alumina catalysts. Catal. Sci. Technol. 2019, 9, 3537–3547. [Google Scholar] [CrossRef]
- Bai, L.; Zhou, Y.; Zhang, Y.; Liu, H.; Sheng, X. Effect of magnesium addition to PtSnNa/ZSM-5 on the catalytic properties in the dehydrogenation of propane. Ind. Eng. Chem. Res. 2009, 48, 9885–9891. [Google Scholar] [CrossRef]
- Shi, J.; Zhou, Y.; Zhang, Y.; Zhou, S.; Zhang, Z.; Kong, J.; Guo, M. Synthesis of magnesium-modified mesoporous Al2O3 with enhanced catalytic performance for propane dehydrogenation. J. Mater. Sci. 2014, 49, 5772–5781. [Google Scholar] [CrossRef]
- Xue, M.W.; Zhou, Y.M.; Zhang, Y.W.; Huang, L.; Duan, Y.Z. Effects of Mg addition on catalytic performance of PtNa/Sn-ZSM-5 in propane dehydrogenation. Acta Phys. Chim. Sin. 2012, 28, 928–934. [Google Scholar]
- Posner, G.H. Organic Reactions at Alumina Surfaces. Angew. Chem. Int. Ed. Engl. 1978, 17, 487–496. [Google Scholar] [CrossRef]
- Modisha, P.M.; Jordaan, J.H.; Bösmann, A.; Wasserscheid, P.; Bessarabov, D. Analysis of reaction mixtures of perhydro-dibenzyltoluene using two-dimensional gas chromatography and single quadrupole gas chromatography. Int. J. Hydrogen Energy 2018, 43, 5620–5636. [Google Scholar] [CrossRef]
- Bocanegra, S.A.; Guerrero-Ruiz, A.; de Miguel, S.R.; Scelza, O.A. Performance of PtSn catalysts supported on MAl2O4 (M: Mg or Zn) in n-butane dehydrogenation: Characterisation of the metallic phase. Appl. Catal. A Gen. 2004, 277, 11–22. [Google Scholar] [CrossRef]
- Park, J.E.; Kim, B.B.; Park, E.D. Propane combustion over Pt/Al2O3 catalysts with different crystalline structures of alumina. Korean J. Chem. Eng. 2015, 32, 2212–2219. [Google Scholar] [CrossRef]
- Aguilar-Ríos, G.; Valenzuela, M.; Salas, P.; Armendáriz, H.; Bosch, P.; Del Toro, G.; Silva, R.; Bertín, V.; Castillo, S.; Ramírez-Solís, A.; et al. Hydrogen interactions and catalytic properties of platinum–tin supported on zinc aluminate. Appl. Catal. A Gen. 1995, 127, 65–75. [Google Scholar] [CrossRef]
- Bensaddik, A.; Mouaddib, N.; Pitchon, V.; Garin, F.; Maire, G.; Krawczyk, M. Promoting effect of zinc in DeNOx reaction over Pt/AI2O3. Catalysis and Automotive Pollution Control IV. Stud. Surf. Sci. Catal. 1998, 116, 265–274. [Google Scholar] [CrossRef]
- Consonni, M.; Jokic, D.; Murzin, Y.D.; Touroude, R. High performances of Pt/ZnO catalysts in selective hydrogenation of crotonaldehyde. J. Catal. 1999, 188, 165–175. [Google Scholar] [CrossRef]
- Berteau, P.; Delmon, B. Modified aluminas: Relationship between activity in 1-butanol dehydration and acidity measured by NH3-TPD. Catal. Today 1989, 5, 121–137. [Google Scholar] [CrossRef]
- Gutiérrez-Alejandrea, A.; González-Cruza, M.; Trombettab, M.; Buscab, G.; Ramíreza, J. Characterisation of alumina-titania mixed oxide supports: Part II: Al2O3-based supports. Microporous Mesoporous Mater. 1998, 23, 265–275. [Google Scholar] [CrossRef]
- Shi, Y.; Li, X.; Rong, X.; Gu, B.; Wei, H.; Sun, C. Influence of support on catalytic properties of Pt-Sn-K/θ-Al2O3 for propane dehydrogenation. RSC Adv. 2017, 7, 19841–19848. [Google Scholar] [CrossRef]
- Stanislaus, A.; Absi-Halabi, M.; Al-Doloma, K. Effect of phosphorous on the acidity of γ-alumina and on the thermal stability of γ-alumina supported nickel-molybdenum hydrotreating catalysts. Appl. Catal. A Gen. 1988, 39, 239–253. [Google Scholar] [CrossRef]
- Laniecki, M.; Małecka-Grycz, M.; Domka, F. Water–gas shift reaction over sulfided molybdenum catalysts: I. Alumina, titania and zirconia-supported catalysts. Appl. Catal. A Gen. 2000, 196, 293–303. [Google Scholar] [CrossRef]
- Karnjanakom, S.; Bayu, A.; Hao, X.; Kongparakul, S.; Samart, C.; Abudula, A.; Guan, G. Selectively catalytic upgrading of bio-oil to aromatic hydrocarbons over Zn, Ce or Ni-doped mesoporous rod-like alumina catalysts. J. Mol. Catal. A Chem. 2016, 421, 235–244. [Google Scholar] [CrossRef]
- Miyazawa, K.; Yoshitake, M.; Tanaka, Y. HRTEM analyses of the platinum nano-particles prepared on graphite particles using coaxial arc plasma deposition. J. Nanopart. Res. 2017, 19, 191–199. [Google Scholar] [CrossRef]
- Kirilin, A.V.; Hasse, B.; Tokarev, A.V.; Kustov, L.M.; Baeva, G.N.; Bragina, G.O.; Stakheev, A.Y.; Rautio, A.R.; Salmi, T.; Etzold, B.J.; et al. Aqueous-phase reforming of xylitol over Pt/C and Pt/TiC-CDC catalysts: Catalyst characterization and catalytic performance. Catal. Sci. Technol. 2014, 4, 387–401. [Google Scholar] [CrossRef]
- Zhang, H.; Wan, H.; Zhao, Y.; Wang, W. Effect of chlorine elimination from Pt-Sn catalyst on the behavior of hydrocarbon reconstruction in propane dehydrogenation. Catal. Today 2019, 330, 85–91. [Google Scholar] [CrossRef]
- Bai, Q.; Li, D.; He, L.; Xiao, H.; Sui, N.; Liu, M. Solvent-free selective hydrogenation of o-chloronitrobenzene to o-chloroaniline over alumina supported Pt nano-particles. Prog. Nat. Sci. Mater. Int. 2015, 25, 179–184. [Google Scholar] [CrossRef]
















| Catalyst | Xi | Xf | Si | Sf | Yi | Yf | ΔX |
|---|---|---|---|---|---|---|---|
| Pt/Al2O3 | 97 | 90 | 71 | 45 | 72 | 49 | 7.2 |
| Pt/Mg-Al2O3 | 99 | 93 | 77 | 57 | 80 | 60 | 6.1 |
| Pt/Zn-Al2O3 | 96 | 89 | 74 | 51 | 73 | 51 | 7.3 |
| Catalyst | Target Pt Loading (wt.%) | Actual Loading (wt.%) | ||
|---|---|---|---|---|
| Pt | Mg | Zn | ||
| Pt/Al2O3 | 0.5 | 0.48 | - | - |
| Pt/Mg-Al2O3 | 0.5 | 0.49 | 3.89 | - |
| Pt/Zn-Al2O3 | 0.5 | 0.48 | - | 3.44 |
| Catalyst | Pt Dispersion, % | Active Particle Diameter, nm | Metallic Surface Area, m2/g sample | H2 Consumption, µmol/g | |
|---|---|---|---|---|---|
| Pt/Al2O3 | 38 | 3.0 | 0.47 | 34 | |
| Pt/Mg-Al2O3 | 34 | 3.3 | 0.42 | 64 | |
| Pt/Zn-Al2O3 | 23 | 5.0 | 0.28 | 55 | |
| Catalyst/Support | Temperature, °C | Total Acidity, mmol NH3/gcat | Peak Fraction | ||
|---|---|---|---|---|---|
| A | B | A | B | ||
| Al2O3 | 251 | 562 | 0.63 | 0.45 | 0.55 |
| Mg-Al2O3 | 214 | 597 | 0.40 | 0.43 | 0.57 |
| Zn-Al2O3 | 252 | 659 | 0.68 | 0.44 | 0.56 |
| Pt/Al2O3 | 236 | 566 | 0.48 | 0.52 | 0.48 |
| Pt/Mg-Al2O3 | 202 | 565 | 0.41 | 0.56 | 0.44 |
| Pt/Zn-Al2O3 | 250 | 575 | 0.49 | 0.60 | 0.40 |
| hkl | Measured d-Value, Å | JCPDS d-Value, Å | Error, % |
|---|---|---|---|
| 111 | 2.12 | 2.26 | 6 |
| 200 | 2.11 | 1.96 | 8 |
| 2.07 | 5.6 |
| Catalyst | µ | σ | Mean | Mode |
|---|---|---|---|---|
| Before reaction | ||||
| Pt/Al2O3 | 0.50 | 0.30 | 1.72 | 1.51 |
| Pt/Mg-Al2O3 | 0.52 | 0.18 | 1.70 | 1.62 |
| Pt/Zn-Al2O3 | 0.41 | 0.21 | 1.54 | 1.44 |
| After 22 h dehydrogenation | ||||
| Pt/Al2O3 | 1.00 | 0.24 | 2.80 | 2.57 |
| Pt/Mg-Al2O3 | 0.73 | 0.25 | 2.14 | 1.93 |
| Pt/Zn-Al2O3 | - | - | - | - |
Publisher’s Note: MDPI stays neutral with regard to jurisdictional claims in published maps and institutional affiliations. |
© 2021 by the authors. Licensee MDPI, Basel, Switzerland. This article is an open access article distributed under the terms and conditions of the Creative Commons Attribution (CC BY) license (https://creativecommons.org/licenses/by/4.0/).
Share and Cite
Garidzirai, R.; Modisha, P.; Shuro, I.; Visagie, J.; van Helden, P.; Bessarabov, D. The Effect of Mg and Zn Dopants on Pt/Al2O3 for the Dehydrogenation of Perhydrodibenzyltoluene. Catalysts 2021, 11, 490. https://doi.org/10.3390/catal11040490
Garidzirai R, Modisha P, Shuro I, Visagie J, van Helden P, Bessarabov D. The Effect of Mg and Zn Dopants on Pt/Al2O3 for the Dehydrogenation of Perhydrodibenzyltoluene. Catalysts. 2021; 11(4):490. https://doi.org/10.3390/catal11040490
Chicago/Turabian StyleGaridzirai, Rudaviro, Phillimon Modisha, Innocent Shuro, Jacobus Visagie, Pieter van Helden, and Dmitri Bessarabov. 2021. "The Effect of Mg and Zn Dopants on Pt/Al2O3 for the Dehydrogenation of Perhydrodibenzyltoluene" Catalysts 11, no. 4: 490. https://doi.org/10.3390/catal11040490
APA StyleGaridzirai, R., Modisha, P., Shuro, I., Visagie, J., van Helden, P., & Bessarabov, D. (2021). The Effect of Mg and Zn Dopants on Pt/Al2O3 for the Dehydrogenation of Perhydrodibenzyltoluene. Catalysts, 11(4), 490. https://doi.org/10.3390/catal11040490

