Abstract
Hoveyda–Grubbs-type complexes, ruthenium catalysts for olefin metathesis, have gained increased interest as a research target in the interdisciplinary research fields of chemistry and biology because of their high functional group selectivity in olefin metathesis reactions and stabilities in aqueous media. This review article introduces the application of designed Hoveyda–Grubbs-type complexes for bio-relevant studies including the construction of hybrid olefin metathesis biocatalysts and the development of in-vivo olefin metathesis reactions. As a noticeable issue in the employment of Hoveyda–Grubbs-type complexes in aqueous media, the influence of water on the catalytic activities of the complexes and strategies to overcome the problems resulting from the water effects are also discussed. In connection to the structural effects of protein structures on the reactivities of Hoveyda–Grubbs-type complexes included in the protein, the regulation of metathesis activities through second-coordination sphere effect is presented, demonstrating that the reactivities of Hoveyda–Grubbs-type complexes are controllable by the structural modification of the complexes at outer-sphere parts. Finally, as a new-type reaction based on the ruthenium-olefin specific interaction, a recent finding on the ruthenium complex transfer reaction between Hoveyda–Grubbs-type complexes and biomolecules is introduced.
1. Introduction
Transition metal-catalyzed olefin metathesis (OM), the rearrangement of C–C double bonds, has gained its importance in organic synthesis because a variety of OM reaction fashions (shown in Scheme 1) are applicable for the syntheses of natural products and bioactive compounds [1,2,3]. Among transition metal catalysts used for OM reactions, a series of Grubbs catalyst and its derivatives (1–5; shown in Figure 1), catalysts with a ruthenium center, are the most popular catalysts both in industrial and laboratory-scale reactions [4]. This is because these catalysts are properly stable under the air compared to other transition metal complexes for OM reactions, such as Schrock-type complexes with a molybdenum center. The usability of these catalysts has motivated researchers to develop more diverted ruthenium catalysts equipped with various substituent groups. Especially, Hoveyda–Grubbs second-generation catalyst (HG-II, 5) shows the stability to some extent even in protic media, resulting from the strong coordination of an N-heterocyclic carbene (NHC) ligand and the bidentate coordination fashion of a 2-alkoxybenzylidene ligand (so-called Hoveyda-type ligand) [5]. Furthermore, HG-II is applicable for all types of OM reaction shown in Scheme 1. Consequently, HG-II has been a target of structural modification to develop a variety of derivatives with controlled reactivities [6,7,8,9,10,11].
Scheme 1.
Reaction fashions of olefin metathesis.
Figure 1.
Grubbs catalyst and its derivatives 1–5.
Another advantage of ruthenium catalysts, other than the tolerance to moisture and air, is that the ruthenium centers in these catalysts have the higher affinity towards olefin than amide, ester, and carboxy groups (i.e., functional groups seen in biomolecules) [12]. Inspired by this fact, researchers have attempted to apply structurally modified HG-II-type complexes for biochemical demands (e.g., the construction of enzymatic olefin metathesis process, the regulation of bioreactions, and so on). This is an example for the marriage between organometallic chemistry and biological chemistry [13].
“No naturally occurring enzyme catalyzes olefin metathesis”—with this abiological aspect in OM reactions, a variety of structural modifications for HG-II-type complexes have been attempted to employ these complexes for biomolecule chemistry. Olefin metathesis in aqueous media has also been of importance as a diverted research topic. In this context, this review article introduces several types of structural modification of HG-II-type complexes for biochemical applications (Figure 2): At first, recent achievements on the development of hybrid materials composed of HG-II-type complexes and biomolecules are described. Next, the structural factors in HG-II-type complexes which influence OM reaction efficiencies in aqueous media will be discussed. Furthermore, in connection to the structural effects of biomacromolecules on OM reaction reactivities of HG-II-type complexes, the reactivity modulation of HG-II-type complexes on the basis of second-coordination sphere effect will be described. Finally, the application of ruthenium-olefin specific interaction, a driving force of OM reactions catalyzed by HG-II-type complexes, for a new type of protein modification will be presented.
Figure 2.
Outline of this review article: Structural modification of HG-II-type complexes for various demands.
2. Protein-Based Artificial Metalloenzymes with Olefin Metathesis Activity
The research field on organic syntheses using enzymes has a long history, which have been summarized in many review article and books including special issues in journals [14]. Most past works on enzymatic syntheses have mainly focused on the reaction types that are often seen in metabolism (e.g., oxidation, reduction, and hydrolysis). In contrast, artificial metalloenzymes (ArMs; ArM = artificial metalloenzyme), synthetically constructed enzymes with a metal complex embedded in protein scaffolds, have the potential to mediate abiological types of reaction, with the design of metal complexes inserted into the protein core. In this context, ArMs with OM activity (OM-ArMs) are attractive because no enzymes in nature mediate olefin metathesis: The scientific importance of ArMs with olefin metathesis activity can be seen in the fact that several review articles have taken up this topic [15,16,17,18,19,20,21,22,23,24]. Accordingly, this chapter, firstly, introduces the general concept for the construction of ArMs with olefin metathesis activity. Next, as one example, we introduce our work on the ArM with the scaffold of α-chymotrypsin (α-CT), a commercially available protease [25]. Furthermore, recent achievements in the application of OM-ArMs for in-cell systems will also be presented.
2.1. Choice of Host Proteins and Design of Hoveyda–Grubbs-Type Complexes
To construct ArMs with OM activity (i.e., OM-ArMs), the most frequently employed approach is to embed a HG-II-type complex, the active site for OM, into a host protein (so-called “hybrid metalloenzymes”). Figure 3 depicts typical strategies for the construction of OM-ArMs through the hybridization of a protein and an HG-II-type complex. For the fixation of a HG-II-type complex into a host protein, covalent conjugation and supramolecular anchoring are representative strategies [17].
Figure 3.
Strategies for the construction of artificial metalloenzymes with olefin metathesis activity (OM-ArMs) [17].
Protein scaffolds in ArMs provide a hydrophobic environment in the vicinity of the metal complex site. As the guideline for the choice of the protein scaffolds in the construction of ArMs, several structural demands should be considered:
- Sufficient space to accommodate a HG-II-type complex inside the protein core;
- Possession of the structural mechanism for regioselective binding of a HG-II-type complex to a protein part;
- Proper thermostability.
Table 1 lists the research examples of hybrid OM-ArMs. For example, the heat shock protein from Methanocaldcoccus jannaschii (MjHSP) forms a 24-subunit spherical capsid with large pores. The structure provides sufficient space for a metal complex site [26]. (Strept)avidin also has a glove-like wide space near the protein surface [27]. Proteins are structurally robust and tolerant to acidic conditions. FhuAΔCVFTEV and nitrobindin construct a metal complex space in the inside of their β-barrel and cylinder-type structures [28,29]. α-CT, a protease recognizing a hydrophobic side chain of Phe, Tyr, and Trp, basically has a structural cleft for the accommodation of a peptide chain [30], which is used as a reaction space for OM reactions.
Table 1.
Hybrid artificial metalloenzymes with olefin metathesis activity (OM-ArMs).
According to the structural characteristics of the host protein, HG-II-type complexes incorporated into the protein should be decorated with some functional groups. In this case, the functional groups are attached to the NHC moiety in the complexes. Figure 4 presents several HG-II-type complexes developed for the construction of OM-ArMs. To introduce an HG-II-type complex through covalent interactions, the complex is equipped with a functional group to react with a nucleophilic amino acid side chain in host proteins (complexes 6–9) [25,26,28,29,31]. To apply the noncovalent anchoring strategy, the complexes should possess a “tag” moiety to attain a specific interaction with a host protein (complexes 10 and 11) [27,32].
Figure 4.
HG-II-type complexes used for the construction of hybrid artificial metalloenzymes with olefin metathesis activity (OM-ArMs) [24].
The combination of the two strategies (i.e., supramolecular anchoring followed by covalent conjugation) is also useful to situate a HG-II-type complex near a specific amino acid residue. For example, complex 8, a complex used for the α-CT-based OM-ArM has a phenylalanine moiety at the terminal of the complex, where α-CT accommodates the hydrophobic side-chain of the phenylalanine part at the S1-pocket at the protease active site (Figure 5) [30]. As a result, the chloromethyl ketone group is forced to position near His57 imidazole, followed by the regioselective conjugation at the place. His57 is located in the protease active site in α-CT. The blocking of His57 by complex 8 was confirmed by the abolishment of the intrinsic protease activity of α-CT.
Figure 5.
Mechanism explaining the regioselective conjugation of complex 8 onto His57 in α-chymotrypsin [18,25]; (a) whole structure of α-chymotrypsin from bovine pancreas (PDB (protein data bank) code: 4CHA); (b) structure of complex 8.
In the characterization of OM-ArMs, one of the most important issues to be clarified is the location of the metal center in the protein structure. In the studies of the α-CT-based OM-ArM with complex 8, the appearance of induced circular dichroism (CD) signals around 370 nm, the region of metal-to-ligand charge transfer (MLCT) in HG-II-type complexes [33,34], was used as an indicator to confirm the local environment around the metal center. The CD signals were observed for the complex in α-CT, whereas no CD signal appeared without α-CT. The finding proved that complex 8 attached to α-CT has structural torsion around the metal coordination site, resulted from the positioning of the complex in the cleft part of α-CT (see Figure 5).
2.2. Modulation of Catalytic Activities
The protein scaffolds of OM-ArMs help to situate a HG-II-type complex under different environments from that in bulk, regulating the OM catalytic activities. For example, the OM-ArM in α-CT showed the higher ring-closing metathesis (RCM) activity toward a glucose-pendant substrate (a water-soluble and electrostatically neutral compound) compared to an ammonium compound or N-tosyldiallyamide although the substrate specificity was low without the protein (see Table 1). This is because the positively charged protein surface of α-CT (pI ~ 8.6) interfered the access of the positively charged or hydrophobic substrate to the metal center embedded in the protein core. As a result, the structural characteristic of α-CT (the surface charge) brought about the substrate specificity.
Furthermore, the structural optimization of reaction space in OM-ArMs have also been performed using genetic mutation. The mutation of (an) amino acid residue(s) near the metal center can change the shape of the reaction space to regulate the access of a substrate to the metal center. As an example, the OM-ArM constructed by the mutant nitrobindin (denoted as NB4; see Table 1) showed the activity of ring-opening metathesis polymerization (ROMP) for 7-oxonorbornene; however, the conversion was very low (10% conversion, turnover numeber (TON) = 1100). This is because the inserted ruthenium complex in the protein almost occupied a small cavity in the protein core (the estimated volume: 855 Å3 vs. 795 Å3 for 7 (n = 3)). Consequently, the access of a substrate molecule was limited. After inserting an additional β-strand part into the original protein structure to expand the narrow cavity (up to 1389 Å3), the conversion was successfully increased up to 75% (TON = 9300) [35]. As demonstrated in this work, genetic mutation around the reaction center is a useful strategy for modulating the substrate specificity and the stereoselectivity in substrate/product as well as the increase in turnover numbers of catalytic reactions. In this context, the concept of “directed molecular evolution” (i.e., repetition of mutation and screening to find the best class of ArMs) has been recognized as a general idea in the development of ArMs [36,37]. For the optimization of the catalytic activities of OM-ArMs, one example based on in-cell systems will be introduced in the next chapter.
To utilize the structural effects of a host protein on the catalytic activities of OM-ArMs, the metal center in an OM-ArM should be placed inside of the protein core but be situated around the entry of the core to achieve a smooth catalytic cycle (i.e., approach of a substrate molecule, chemical processes, and a fast release of a product). In this situation, the reactivities of OM-ArMs are partially influenced by components in reaction media (e.g., pH, buffe, additives, and so on). For example, the OM-ArM with α-CT exhibited the RCM activities in 100 mM KCl aq, whereas the addition of buffer reagent significantly decreased the catalytic activity. Several OM-ArMs showed the higher OM activities under weakly acidic conditions rather than neutral conditions in spite of no significant change in the whole structures of the host proteins. This fact is a generally considerable issue in the OM reactions in aqueous media. This topic will be discussed later.
3. In-Cell Olefin Metathesis Reactions
Pharmacotherapy (in other words, regulation of bioreactions) requires site-specificity and chemo-selectivity in the presence of various substances in bodies. Because many bioactive compounds with olefin moieties have been known, the real-time production of the bioactive compounds at targeted tissues using olefin metathesis is expected to be an attractive approach. In this context, several research groups have attempted to develop in-cell olefin metathesis processes.
The pioneering research of in-cell olefin metathesis was achieved using the streptavidin-based ArM formed in periplasm of Escherichia coli cells (Figure 6) [38]. In this work, the expression system of streptavidin fused to the OmpA signal peptide was firstly constructed (OmpA = outer membrane protein A). The attachment of OmpA signal peptide helped the expressed protein to be secreted into periplasm. On secretion of the protein into periplasm, the protein encountered complex 12 added from the outside of cells, forming the streptavidin-based ArM in situ. The ArM catalyzes the RCM reaction to produce umbelliferon in periplasm. The RCM reaction in periplasm is useful for preventing the decomposition of the metal center by the reduced form of glutathione, a cysteine-containing peptide because glutathione is oxidized in periplasm.
Figure 6.
In-situ preparation of the hybrid OM-ArM composed of OmpA-fused streptavidin and complex 12 in periplasm of E. coli cells [38]. In the figure, “Sav” stands for “streptavidin”.
Another advantage of the in-cell OM system is that the evaluation of the catalytic activities with umbelliferon fluorescence is applicable for a throughput screening system to discover the best mutant that has the highest catalytic activity from several mutants, without isolation of each mutant. Using this procedure, the K121R/N49K/A119G/T114Q/V47A streptavidin mutant was found to provide the most suitable reaction field for the RCM reaction of the umbelliferon precursor 13. This work is one of the examples for optimization of the OM catalytic activity based on “directed evolution” strategy.
The streptavidin-based ArM with complex 12 was also incorporated into a DNA protocell, a self-assembly DNA circular structure with A-T duplexes (Figure 7) [39]. In this system, the olefin metathesis-induced uncaging reaction accompanying 1,4-elimination was applied for the induction of protocell morphology (Figure 7a) [40]. Upon the RCM reaction for coumarin-derivative 14 in the protocell, the DNA duplexes intercalate umbelliferon (the RCM product), which is readily detected by umbelliferon fluorescence (Figure 7b). The protocells intercalated by umbelliferon show the change in their shapes (swelling of a protocell and fusion). This result indicates that the technique of in-situ uncaging of a sensor compound with OM reaction is applicable for monitoring the status of living tissues. The intercalation of umbelliferon into DNA strands driven by OM may be employed for a therapeutical demand such as the regulation of genetic transcription.
Figure 7.
Metathesis-induced uncaging and its application for hybrid OM-ArM with complex 12 in DNA protocells [39]; (a) Mechanism of uncaging induced by ring-closing metathesis (RCM) reaction; (b) Streptavidin-based ArM with complex 12 in a DNA protocell.
The potential of ArMs with a HG-II-type complex for therapeutical application was demonstrated by the RCM reaction on the surface of cancer cells. The albumin modified with N-glycans on the protein surface hydrophobically binds HG-II-type complex 14 into the protein core (Figure 8) [41,42]. Because the glycosylated albumin-based ArM with 14 is readily recognized by receptor proteins overexpressed in cancer cells (e.g., lectins, glucose transporter, and so on), the ArM is able to convert the prodrug compound 15 into an anticancer cytotoxic form (umbelliprenin (16)) through an RCM reaction in the vicinity of cancer cell surface. The RCM reaction catalyzed by the glycosylated albumin-based ArM having 14 successfully induced the umbelliprenin-based cytotoxicity towards SW620, HeLa, and A549 cancer cells. The albumin core ensures the biocompatibility of the ArM with the protection of the metal center from metabolites in living cells such as glutathione.
Figure 8.
Hybrid OM-ArM with glycosylated human serum albumin (HSA) and ruthenium complex 14 [41,42].
4. Application of Ruthenium Complexes for Sensing Small Molecules In Vitro and In Vivo
The ruthenium-olefin specific interaction is an important factor of the high chemo-selectivity in ruthenium complex-catalyzed OM reactions. This fact, from the different aspects of research targets, motivated researchers to apply a series of Grubbs-type complexes for sensing olefin compounds in vivo. One example was demonstrated in the detection of a Dapoxyl dye–olefin conjugate compound 17 by Grubbs first-generation catalyst (1) (Figure 9), where fluorescence resonance energy transfer (FRET) occurred in the dye moiety was used as an indicator of the olefin [43].
Figure 9.
Detection of a dye–olefin conjugate by ruthenium-olefin interaction on Grubbs first-generation catalyst [43].
Recently, several research works have demonstrated the potential of HG-II-type complexes as an ethylene gas biosensor [44,45]. Because OM reactions produce ethylene as a concomitant, the accumulated ethylene molecules in reaction solutions bind to the catalyst metal center, resulting in the termination of OM reactions. On the other hand, ethylene produced in biosynthesis works as a plant hormone. Furthermore, ethylene is produced in the repining of several fruits. Focusing on the roles of ethylene in biological systems, ethylene sensing systems using HG-II-type complexes have been developed (Figure 10).
Figure 10.
Hoveyda–Grubbs-type complexes developed for ethylene detection; (a) Ethylene detection using boron dipyrromethene (BODIPY)-modified ruthenium complex [44]; (b) Ethylene detection using BODIPY-modified ruthenium complex using the human serum albumin (HSA) with complex 19 [45].
Although ruthenium complex 18 has a boron dipyrromethene (BODIPY) moiety, a typical fluorescent (Figure 10a) [44], the complex is a nonfluorescence compound because of quenching of BODIPY fluorescence by the ruthenium center. On the ligand exchange with ethylene, the release of BODIPY can be used as an ethylene indicator. The quantitative relationship between BODIPY fluorescence intensity and the amount of ethylene was experimentally confirmed. Complex 18 was also examined for the detection of ethylene in a live cell environment with a variety of ethylene sources such as ripe fruits. Another example is the human serum albumin (HSA) with complex 19 (Figure 10b) [45]. Before the binding of ethylene, the coumarin moiety is fluorometrically inert because of the intramolecular quenching by an azobenzene moiety. On binding of ethylene, the azobenzene moiety is released from the metal center to restore the fluorescence property of the coumarin part. As a result, the HSA works as a colorimetric sensor of ethylene produced from fruit slices. Furthermore, the albumin with complex 19 is applicable for a diagnosis senor to detect the defense response in plants towards pathogenic bacteria. As one example, the albumin detects the enhancement of ethylene biosynthesis in plants in the presence of bacterial pathogen-derived molecules.
5. Optimization of Catalytic Activities for Olefin Metathesis in Aqueous Media
In bio-relevant studies of HG-II complexes, researchers should notice that the reactivities of HG-II-type complexes basically decrease in aqueous solutions [9,46,47,48,49], mainly because a water molecule bind to the metal center (vide infra). The catalytic activities of the OM-ArMs presented above are sometimes influenced by medium components. For example, the α-CT-based ArM showed the significant decrease in the catalytic activity in the presence of buffer reagents [25]. Other OM-ArMs also showed the dependency of the OM activities on the medium characteristics (pH, additive salt, buffer reagents, and so on). This fact proves the importance of optimizing the OM efficiency in aqueous media considering the bulk solvent effects even if the metal center is located in the inside of the protein core.
For example, the chlorido ligands on the metal center of HG-II complex 5 undergo the ligand exchange with hydroxide anions in solutions to form a bis-hydrido complex 20 (Scheme 2) [49,50,51]. The complex reacts with ethylene (possible to be generated during conventional OM reactions) to form metallocyclobutane (MCS) intermediate 20, followed by the MCS-decomposed complex 22 or the olefin-exchanged complex 23. The density functional theory (DFT) calculation for this reaction proposed that the formation of μ-oxo-bridged complexes 24-cis and 24-trans produced by the dimerization of complexes 20 and 23 is thermodynamically favorable. These dimerized complexes are catalytically inactive. Consequently, the OM reactions in aqueous solutions are readily terminated at higher pH, under the conditions with an increase in hydroxide anion.
Scheme 2.
Deactivation pathway of HG-II complex in the presence of hydroxide anion [49,50,51].
Furthermore, the coordination of a protic solvent molecule to the metal center may also induce the loss of a chlorido ligand, which was demonstrated by the reaction of Grubbs second-generation catalyst (2) with methanol (Scheme 3) [52,53]. The metal center of catalyst 2 is directly coordinated by a protic solvent molecule via associative or dissociative pathway, inducing the loss of HCl. A DFT calculation suggests the preference of the dissociation pathway for methanol. HG-II-type complexes are also expected to undergo a similar reaction with a solvent molecule after the dissociation of the phenolic oxygen in the initial step of a catalytic cycle. In the early stage of studies on OM reactions in aqueous media including OM-ArM-catalyzed reactions, the reactivities of water-soluble Grubbs complexes were investigated under acidic conditions (diluted HCl solutions) to avoid the catalyst decomposition resulting from the loss of HCl.
Scheme 3.
Deactivation pathway of Grubbs second-generation catalyst in the presence of methanol [52,53].
Normally, two chlorido ligands in HG-type complexes take the configuration of trans-form. However, the ligand exchange of chlorido ligands may induce the cis/trans isomerization around the metal center. As an example, complex 26-cis, a latent catalyst form, is activated to 26-trans through the cis/trans isomerization via the replacement of a chlorido ligand with pyridine (Scheme 4) [54]. Namely, the presence of coordinative molecules triggers the cis/trans isomerization at the metal center, resulting in the interconversion between a pre-catalyst form and an active catalyst form. Conversely, the active catalyst with a trans-form may decrease their activities with the cis/trans isomerization caused by the ligand exchange.
Scheme 4.
Pyridine-induced cis/trans isomerization [54].
Recently, a systematic study on the tolerance of several water-soluble OM catalysts toward water content was reported. In the investigation on the intramolecular RCM reaction of diethyl diallylmalonate (27) (Table 2) [55], the catalytic activities of HG-II-type complexes with a fast-initiating catalytic cycle are more decreased by the presence of water in toluene, compared to the parent HG-II complex (5). It was proposed that the fast dissociation of a ligand (e.g., the benzylidene ligand with a nitro group in complex 5-NO2) produces more active catalyst molecules with an open site that is readily coordinated by a water molecule. According to a DFT calculation, a hydrogen bonding between a substrate and a water molecule interferes with the formation of a favorable conformation for the ring closing. Interestingly, the substitution of chlorine atoms with iodide on the metal center increases the tolerance to water (see the data for 5′-NO2). This fact suggests that the coordination of halogeno ligands on the metal center in HG-II-type complexes is also a noticeable factor to regulate their reactivities. The effects of halogeno ligand substitution in HG-II-type complexes on their catalytic activities depend on the fashion of OM reactions: The HG-II-type complex with diiodo ligands on the metal center showed significantly decreased ROMP activity compared to the parent complex 5, whereas similar RCM activities were observed between the two complexes [56].
Table 2.
Dependency of ligands on water tolerance in the RCM activities of HG-II-type complexes [55].
In this context, the author’s research group reported that the addition of a chloride is a simple and useful method to effectively achieve the OM reactions in aqueous media. In our investigation using water-soluble complex 29-catalyzed RCM reactions (Table 3) [57], the RCM yield increased in the presence of KCl (see entries 1 and 2). Although the RCM yield decreased in buffer solution (entry 3), the presence of KCl in the buffer solution recovered the RCM yield (entry 4). The addition of KNO3 was not effective for improving the RCM yield (entry 5). Namely, the presence of chloride salt is essential to efficiently conduct OM reactions in aqueous media. The UV-vis analyses for the complex in water displayed a significant decrease in the MLCT band intensity in the absence of KCl. The decrease in the UV-vis band was ascribed to the replacement of a chlorido ligand with a water molecule or a hydroxide anion in a pathway similar to the aforementioned one. In turn, the additive chloride salt suppressed the loss of a chlorido ligand (Scheme 5). Although the deactivated form of complex 29 in aqueous media has not been exactly identified, a chloride- or oxo-bridged dimerization was proposed as a possible deactivated form. The presence of a chloride source in a solution “rescues” the complex from the deactivation caused by the ligand exchange with huge excess water molecules and/or hydroxide anions.
Table 3.
Effect of additive salt on the yield of the RCM reaction [57].
Scheme 5.
Role of additive chloride salt in the rescue of HG-II-type catalyst from the complex deactivation [57].
The aforementioned finding indicates that OM reactions in aqueous media can be effectively conducted by a simple procedure—the addition of chloride salt—under neutral conditions, especially for acid-sensitive compounds. The utility of chloride-salt additive was also confirmed in ROMP reactions catalyzed by complex 3′, a derivative of Grubbs third-generation catalyst (3) (Scheme 6) [58]. The ROMP of compound 32, an exo-norbornene derivative with a polyethylene glycol chain, the monomer conversion (i.e., the consumption of the monomer) reached 100% in the presence of NaCl, KCl, or TBAC (n-tetrabutylammonium chloride), whereas the conversion remained at ca. 20% without additive salts. The polymerization rate was found to increase with the concentration of TBAC increasing (0–100 mM). The monomer conversion also increased at pH = 2 (in HCl aq or H3PO4-HCl aq). In contrast, no improvement of the monomer conversion was observed in diluted H2SO4aq. The fact indicates that the presence of chloride anion is more important for the improvement of OM reaction efficiency in aqueous solutions, rather than the reaction conditions of acidic media.
Scheme 6.
Effect of additives on the 3′-catalyzed ring-opening metathesis polymerization (ROMP) of exo-norbornene derivative 32 [58].
6. Reactivity Modulation for Hoveyda–Grubbs-Type Complexes through Second-Coordination Sphere Effect: Utility of Structural Modification of Phenolic Moiety
The complexes employed for the construction of OM-ArMs (depicted in Figure 4) commonly have the coordination of an NHC, 2-isopropoxybenzylidene, and two chlorido ligands in their structures. Consequently, the reactivities of OM-ArMs are mainly regulated by the environment around the metal center in the protein core (polarity, steric hindrance for substrate access, and so on), in other words, the outer-sphere and indirect effects denoted as “the second-coordination sphere effect”. In contrast, most works on the reactivities of HG-II-type complex derivatives in the field of organometallic chemistry have traditionally focused on the direct perturbation to the metal centers (“the first-coordination sphere effect”) [7,59,60,61]. In this approach, the NHC or 2-alkoxybenzylidene moieties have been mainly targeted as a structurally modificative site because the introduction of substituent groups into these ligands affects the electron density on the metal center (see Figure 11a) [9]. On the other hand, the phenolic moiety (marked with a green background in Figure 11a) has not often been targeted in the modulation of reactivities, although the bulkiness of this part influences the catalytic activities of HG-II-type complexes [62,63]. In this situation, thermostable and catalytically reactive HG-II-type complexes (complexes 32-H and 32-Me) were successfully developed by modifying the phenolic moiety with a carbonyl group (Figure 11b) [7]. These complexes still attain the reactivity regulation through the first-coordination sphere effect, where the carbonyl group directly coordinates to the ruthenium center. Another example of phenolic moiety-modified complexes is complex 33 with an Weinreb amide (N,O-dimethylhydroxylamide) [64]. The moiety was introduced for easy removal of metal contaminants from products on silica gel, rather than the regulation of catalytic activity.
Figure 11.
Structural modification of HG-II-type complexes; (a) Possible parts for structural modification of HG-II-type complexes [9]; (b) Examples of phenolic moiety-modified HG-II-type complexes [7,9,64].
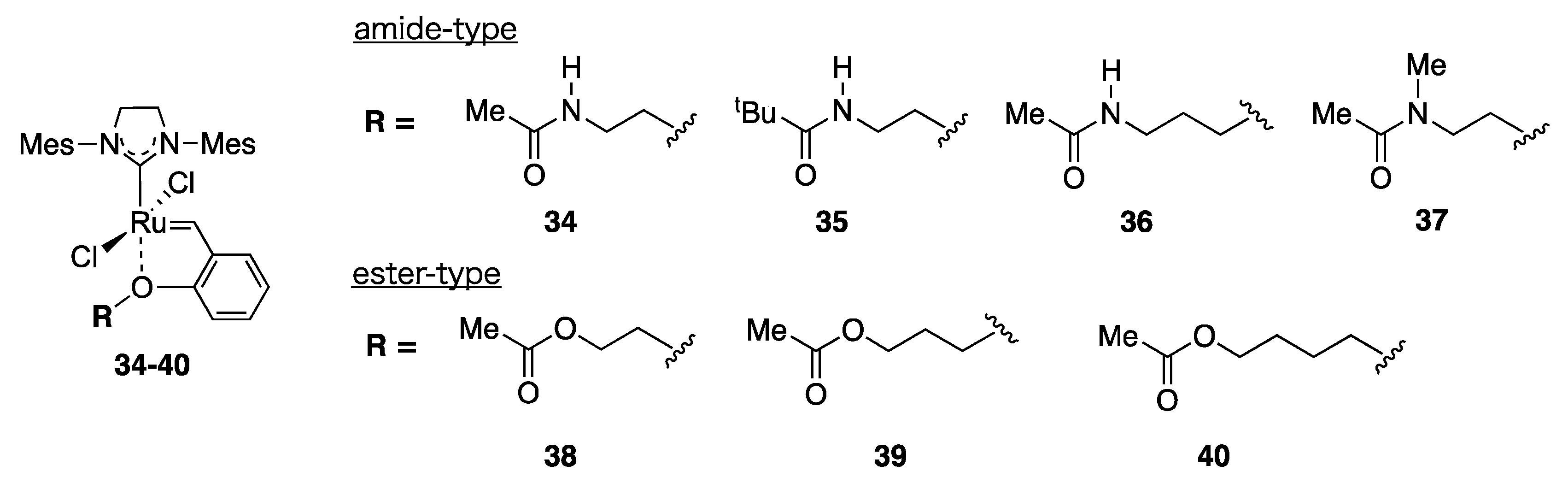
In general, the phenolic moiety in HG-II has not been significantly regarded as a structural modification site because the phenolic moiety is rather far from the metal coordination site. However, the author’s group recently found that a series of HG-II-type complexes with an amide or ester group at the terminal of the phenolic moiety (complexes 34–40) regulate their stabilities and OM catalytic activities through “the second-coordination sphere effect” (Figure 12) [65]. This fact suggests that, without using protein structures, the reactivities of HG-II-type complexes are controllable by precise modification of the phenolic moiety.
Figure 12.
HG-II-type complexes equipped with an amide or ester moiety at the terminal of the phenolic moiety [65].
The stabilities of HG-II-type complexes 34–40 were evaluated by the ligand exchange reaction between HG-II complex 5 and ligand precursors 34-L–40-L with a stoichiometry of 1:1 (Scheme 7).
Scheme 7.
Ligand exchange reactions between HG-II complex (5) and phenolic moiety-modified ligands [65].
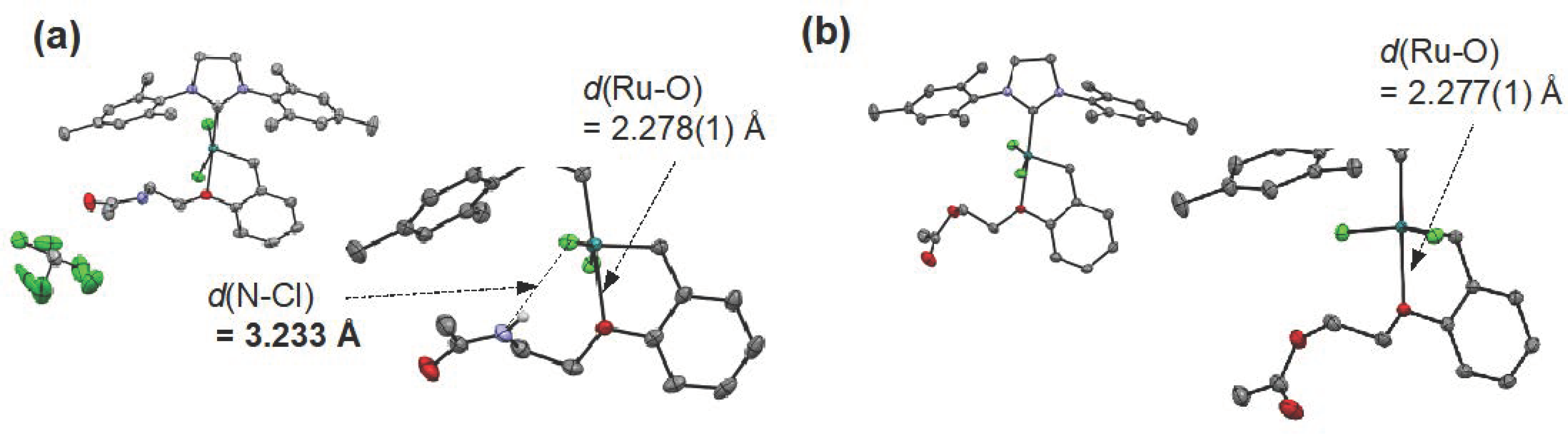
Table 4 lists the conversions of the ligand exchange reactions, where more than 50% conversion indicates that product complexes are more stable than HG-II. The stabilities (indicated by conversions of the ligand exchange reactions) were ranked as 34 (n = 2, N–H amide) > 35 (n = 2, N–H amide) > 36 (n = 3, N–H amide)|50%| > 40 (n = 4, ester) > 39 (n = 3, ester) > 37 (n = 2, N–Me amide) > 38 (n = 2, ester). Overall, the complexes with an N–H amide moiety have higher stabilities compared to the complexes with an ester moiety. The increase in the linker length tended to reduce the influence of a functional group attached to the end of the ligands: The conversion approached 50%. Although complexes 34 and 38 commonly have an ethylene linker (n = 2), they showed the opposite tendencies in their stabilities. As an exception among amide-type complexes 34–37, complex 37 was found to be less stable. Consequently, the N–H amide proton in complex 34 was attributed to a key factor of the highest stability in the complex. According to the X-ray structural analyses for complexes 34 and 38 (Figure 13) [65], complex 34 showed a hydron bonding between the amide N–H and a chlorido ligand (N–Cl distance = 3.233 Å, which is smaller than the sum of van der Waals radii of nitrogen and chlorine atoms), whereas the ester carbonyl group in complex 38 took away from a chlorido ligand to avoid electrostatic repulsion between the ester oxygen atom and the chlorine atom. Because both complexes have similar Ru–O distances (2.278 Å in 34; 2.277 Å in 38), it was concluded that the difference in the stabilities of these complexes should be attributed to the weak interaction (or repulsion) far from the metal coordination site.
Table 4.
Conversions of ligand exchange reactions between HG-II (5) and phenolic moiety-modified ligand precursors 1 [65].
Figure 13.
X-ray crystallographic structures of complexes 34 and 38; (a) structure of complex 34; (b) structure of complex 38 (reproduced from Ref. [65] with permission from The Royal Society of Chemistry).
The stabilities of complexes 34 and 38 were correlated to their catalytic activities. In the RCM reactions of coumarin precursor 41 (Table 5), the final conversions were >90% in all cases. The catalytic activities of 34, 38, and HG-II (5) based on the reaction rates at the initial phases (2 h) were ranked as 38 > HG-II > 34, which is opposite to the order of the complex stabilities. The similar tendency in the reaction rate was also observed in the RCM of N-tosyldiallylamine (43) and in the CM reaction of compounds 45 and 46. The slow initiation of 34-catalyzed reactions was attributed to the N–H•••Cl hydrogen bond in the complex: The hydrogen bonding deaccelerates the catalyst activation that involves the exchange between the benzylidene ligand and a substrate molecule. The electronic repulsion at the ester moiety in complex 38 contributes to the fast dissociation of the benzylidene ligand.
Table 5.
Catalytic activities of HG-II (5), complexes 34, and 38 1 [65].
As expected from the similar Ru–O bond distances in complexes 34 and 38, the coordination of the phenolic oxygen to the metal center is similar between these complexes. Namely, the above-mentioned fact proves that the catalytic activities of HG-II-type complexes are controllable by the structural modification of the phenolic moiety that induces “the second-coordination sphere effect”, as well as traditionally conducted methods that involves the direct perturbation to the metal coordination site.
7. Immobilization of Hoveyda–Grubbs-Type Complexes onto Biomolecules through Ruthenium–Olefin Specific Interaction
One of the popular methods for chemical modification of biomolecules (peptides, proteins, and so on) with synthetic molecules is a reaction of the conjugative compounds with cysteine thiols because the cysteine thiols are nucleophilic under physiological conditions. Several OM-ArMs shown above have also been prepared by the conjugation of a HG-II-type complex onto a cysteine residue. However, metal complexes are sometimes deactivated by nucleophilic species through the direct coordination of the nucleophilic functional group. This unfavorable side-reaction is possible to occur in HG-II-type complexes as seen in the deactivation by the reduced form of glutathione.
The HG-type complex-catalyzed OM reactions result from the specific interaction between the ruthenium center and olefins. The ligand exchange reactions described above are also driven by the ruthenium-olefin interaction. On the basis of the fact that ruthenium favorably interacts with olefin rather than other functional groups that are seen in biomolecules, the ruthenium-olefin specific interaction may be applicable for the immobilization of a HG-II-type complex onto biomolecules following the procedure in Scheme 8. In other words, “ruthenium complex transfer reaction” will be possible. In this procedure, the benzylidene moiety is firstly introduced onto a biomolecule, followed by the ligand exchange between the biomolecule and a ruthenium complex donor. The complex stabilization through the second-coordination sphere effect is expected to enhance the efficiency of complex immobilization.
Scheme 8.
Ruthenium complex transfer onto biomolecules based on ligand exchange.
The occurrence of a ruthenium complex transfer reaction onto a biomolecule, at first, was examined using tripeptides with a benzylidene moiety at the side-chain of Cys residue (49 or 50) (Scheme 9) [66]. The reaction was readily monitorable by 1H-NMR spectroscopy, where a down-field shift of the benzylidene proton was used as a reaction indicator. In the product peptide 51 (originated from 49), the ethylene linker length between the amide moiety at the periphery of the cysteine side chain and the phenolic oxygen atom is suitable to stabilize the peptide in similar to complex, reflecting the higher yield compared to 52 (produced from 49). However, a serious problem was the slow reaction rate (120 h for the completion).
Scheme 9.
Ruthenium complex transfer from HG-II (5) to tripeptide (Boc)2Lys-Cys-Phe-OMe with a benzylidene ligand at the side chain of the Cys residue [66].
To accelerate the ruthenium transfer reaction, ruthenium complexes 53 and 54 were targeted as a ruthenium complex donor (See scheme indicated in Table 6). An electron-withdrawing group (nitro or trimethylammonium group) on the benzylidene ligand of the complexes facilitates the unligation of the benzylidene ligand from the metal center, resulting in the fast exchange with another benzylidene ligand on a peptide.
Table 6.
Conversion values of the ruthenium complex transfer reactions [66].
The reaction of 49 with complex 53 or 54 in chloroform reached the equilibrium at 24 h with a conversion of ca. 90% (Table 6; Entries 1, 2). The ruthenium complex transfer was found to proceed also in methanol, a protic medium (Table 6; Entries 4, 5). Furthermore, the reaction of water-soluble peptide 49′ with complex 54 proved that the ligand exchange strategy is applicable in aqueous media ((Table 6; Entries 6–11). As demonstrated in the OM reactions in water, the additive chloride salt was found to be essential to the ruthenium complex transfer reaction on peptides (See Entries 10 and 11).
The aforementioned strategy was also applicable for proteins (Figure 14). As an experimental model, two cysteine residues on the mutant adenylate kinase (A55C/C77S/V169C) [67,68,69], a phosphoryl transfer enzyme between ATP/ADP/AMP, were firstly modified with bromoacetamide 55 to attach benzylidene moieties on the protein surface, followed by the ligand exchange reaction using complex 54. Additionally, the optimization of solution pH (lower pH than pI (isoelectric point) of the protein (pI ~ 5)) and the addition of chloride salt were required. The protein modified with 54 showed the characteristic band around 370 nm after size-exclusion column purification, indicative of the immobilization of an NHC-Ru complex unit. The protein sample was obtained as a green color solution. In contrast, no green color nor the MLCT band characteristic to NHC-Ru complexes were observed for the unmodified protein with 55. The finding proved that the ruthenium-olefin specific interaction induced the ruthenium complex transfer reaction onto the protein surface.
Figure 14.
Immobilization of ruthenium complex onto the surface of the adenylate kinase triple mutant (A55C/C77S/V169C) through ligand exchange strategy [66].
8. Conclusion and Perspective
“Organometallic species” (i.e., chemical species with a metal-carbon bond) are rarely seen in in vivo bioreactions, except for a cobalt–alkyl species generated in vitamin B12-related enzymes. Therefore, chemical reactions involving organometallic complexes have been unfamiliar among biochemists. However, recent studies on hybrid materials composed of biomolecules and organometallic species have opened a door towards a new research field (so-called “bioorganometallic chemistry”), where many hybrid materials composed of biomolecules and organometallic complexes have been reported.
Olefin groups are involved in terpenoids and unsaturated fatty acid derivatives in biological systems although the functional group is not so often seen in metabolism compared to other functional groups such as amide, carboxylate, ester, hydroxy group, and so on. Because of the scarcity in biomolecules and in vivo systems, the biomolecule manipulation with the attention to olefins has been attempted; one example is the labeling of proteins with synthetic molecules through olefin metathesis [15,70,71,72,73]. In this context, Hoveyda–Grubbs-type complexes, with their stabilities in aqueous media and olefin specificity, will gain more attention as an experimental tool in the biochemical research field.
Funding
This research was funded by a Grant-in-Aid for Science Research on Innovative Areas “Molecular Activation Directed toward Straightforward Synthesis” (JSPS KAKENHI Grant Number JP11001793, JP25105738), a Grant-in-Aid for Science Research on Innovative Areas “Precisely Designed Catalysts with Customized Scaffolds” (JSPS KAKENHI Grant Number JP16H01029), and a Grant-in Aid for Scientific Research on Innovative Areas “Molecular Engine” (JSPS KAKENHI Grant Number JP19H05395).
Data Availability Statement
Data sharing is not applicable to this article.
Acknowledgments
The author thanks Takashi Hayashi (Osaka University, Japan) and Hiroyasu Yamaguchi (Osaka University, Japan) for their kind help as collaborators. Furthermore, the author acknowledges all collaborators in the author’s research group for their devotion to a part of the works presented in this review article.
Conflicts of Interest
The author declares no conflict of interest.
References
- Hughes, D.; Wheeler, P.; Ene, D. Olefin Metathesis in Drug Discovery and Development-Examples from Recent Patent Literature. Org. Process Res. Dev. 2017, 21, 1938–1962. [Google Scholar] [CrossRef]
- Ravindar, L.; Lekkala, R.; Rakesh, K.P.; Asiri, A.M.; Marwani, H.M.; Qin, H.L. Carbonyl-Olefin Metathesis: A Key Review. Org. Chem. Front. 2018, 5, 1381–1391. [Google Scholar] [CrossRef]
- Lecourt, C.; Dhambri, S.; Allievi, L.; Sanogo, Y.; Zeghbib, N.; Ben Othman, R.; Lannou, M.I.; Sorin, G.; Ardisson, J. Natural Products And Ring-Closing Metathesis: Synthesis of Sterically Congested Olefins. Nat. Prod. Rep. 2018, 35, 105–124. [Google Scholar] [CrossRef]
- Grubbs, R.H. Olefin Metathesis. Tetrahedron 2004, 60, 7117–7140. [Google Scholar] [CrossRef]
- Garber, S.B.; Kingsbury, J.S.; Gray, B.L.; Hoveyda, A.H. Efficient and Recyclable Monomeric and Dendritic Ru-Based Metathesis Catalysts. J. Am. Chem. Soc. 2001, 123, 3186. [Google Scholar] [CrossRef][Green Version]
- Grela, K.; Harutyunyan, S.; Michrowska, A. A Highly Efficient Ruthenium Catalyst for Metathesis Reaction. Angew. Chem. Int. Ed. 2002, 41, 4038–4040. [Google Scholar] [CrossRef]
- Bieniek, M.; Samojłowicz, C.; Sashuk, V.; Bujok, R.; Śledź, P.; Lugan, N.; Lavigne, G.; Arlt, D.; Grela, K. Rational Design and Evaluation of Upgraded Grubbs/Hoveyda Olefin Metathesis Catalysts: Polyfunctional Benzylidene Ethers on the Test Bench. Organometallics 2011, 30, 4144–4158. [Google Scholar] [CrossRef]
- Keitz, B.K.; Endo, K.; Patel, P.R.; Herbert, M.B.; Grubbs, R.H. Improved Ruthenium Catalysts for Z-Selective Olefin Metathesis. J. Am. Chem. Soc. 2012, 134, 693–699. [Google Scholar] [CrossRef]
- Szczepaniak, G.; Kosiński, K.; Grela, K. Towards “Cleaner” Olefin Metathesis: Tailoring the NHC Ligand of Second Generation Ruthenium Catalysts to Afford Auxiliary Traits. Green Chem. 2014, 16, 4474–4492. [Google Scholar] [CrossRef]
- Wang, Z.J.; Jackson, W.R.; Robinson, A.J. A Simple and Practical Preparation of an Efficient Water Soluble Olefin Metathesis Catalyst. Green Chem. 2015, 17, 3407–3414. [Google Scholar] [CrossRef]
- Paradiso, V.; Bertolasi, V.; Costabile, C.; Caruso, T.; Dąbrowski, M.; Grela, K.; Grisi, F. Expanding the Family of Hoveyda-Grubbs Catalysts Containing Unsymmetrical NHC Ligands. Organometallics 2017, 36, 3692–3708. [Google Scholar] [CrossRef]
- Trnka, T.M.; Grubbs, R.H. The Development Of L2X2Ru = CHR Olefin Metathesis Catalysts: An Organometallic Success Story. Acc. Chem. Res. 2001, 34, 18–29. [Google Scholar] [CrossRef]
- Fish, R.H.; Jaouen, G. Bioorganometallic Chemistry: Structural Diversity of Organometallic Complexes with Bioligands and Molecular Recognition Studies of Several Supramolecular Hosts with Biomolecules, Alkali-Metal Ions, and Organometallic Pharmaceuticals. Organometallics 2003, 22, 2166–2177. [Google Scholar] [CrossRef]
- Hartwig, J.F.; Ward, T.R. New “Cats” in the House: Chemistry Meets Biology in Artificial Metalloenzymes and Repurposed Metalloenzymes. Acc. Chem. Res. 2019, 52, 1145. [Google Scholar]
- Binder, J.B.; Raines, R.T. Olefin Metathesis for Chemical Biology. Curr. Opin. Chem. Biol. 2008, 12, 767–773. [Google Scholar] [CrossRef] [PubMed]
- Rosati, F.; Roelfes, G. Artificial Metalloenzymes. ChemCatChem 2010, 2, 916–927. [Google Scholar] [CrossRef]
- Lewis, J.C. Artificial Metalloenzymes and Metallopeptide Catalysts for Organic Synthesis. ACS Catal. 2013, 3, 2954–2975. [Google Scholar] [CrossRef]
- Matsuo, T.; Hirota, S. Artificial Enzymes with Protein Scaffolds: Structural Design and Modification. Bioorg. Med. Chem. 2014, 22, 5638–5656. [Google Scholar] [CrossRef] [PubMed]
- Sauer, D.F.; Gotzen, S.; Okuda, J. Metatheases: Artificial Metalloproteins for Olefin Metathesis. Org. Biomol. Chem. 2016, 14, 9174–9183. [Google Scholar] [CrossRef] [PubMed]
- Schwizer, F.; Okamoto, Y.; Heinisch, T.; Gu, Y.; Pellizzoni, M.M.; Lebrun, V.; Reuter, R.; Köhler, V.; Lewis, J.C.; Ward, T.R. Artificial Metalloenzymes: Reaction Scope and Optimization Strategies. Chem. Rev. 2018, 118, 142–231. [Google Scholar] [CrossRef]
- Sauer, D.F.; Matsuo, T.; Onoda, A.; Okuda, J.; Hayashi, T. Artificially Created Metathease Consisting of an Organometallic Complex Immobilized to a Protein Matrix. In Advances in Bioorganometallic Chemistry; Hirao, T., Moriuchi, T., Eds.; Elsevier Science Publishing Co Inc.: Chennai, India, 2018; pp. 302–326. [Google Scholar]
- Sauer, D.F.; Schiffels, J.; Hayashi, T.; Schwaneberg, U.; Okuda, J. Olefin Metathesis Catalysts Embedded In Beta-Barrel Proteins: Creating Artificial Metalloproteins for Olefin Metathesis. Beilstein J. Org. Chem. 2018, 14, 2861–2871. [Google Scholar] [CrossRef]
- Sabatino, V.; Ward, T.R. Aqueous Olefin Metathesis: Recent Developments and Applications. Beilstein J. Org. Chem. 2019, 15, 445–468. [Google Scholar] [CrossRef] [PubMed]
- Matsuo, T.; Miyake, T.; Hirota, S. Recent Developments on Creation of Artificial Metalloenzymes. Tetrahedron Lett. 2019, 60, 151226. [Google Scholar] [CrossRef]
- Matsuo, T.; Imai, C.; Yoshida, T.; Saito, T.; Hayashi, T.; Hirota, S. Creation of an Artificial Metalloprotein With a Hoveyda-Grubbs Catalyst Moiety through the Intrinsic Inhibition Mechanism of α-Chymotrypsin. Chem. Commun. 2012, 48, 1662–1664. [Google Scholar] [CrossRef] [PubMed]
- Mayer, C.; Gillingham, D.G.; Ward, T.R.; Hilvert, D. An Artificial Metalloenzyme for Olefin Metathesis. Chem. Commun. 2011, 47, 12068–12070. [Google Scholar] [CrossRef] [PubMed]
- Lo, C.; Ringenberg, M.R.; Gnandt, D.; Wilson, Y.; Ward, T.R. Artificial Metalloenzymes for Olefin Metathesis Based on the Biotin-(strept)Avidin Technology. Chem. Commun. 2011, 47, 12065–12067. [Google Scholar] [CrossRef] [PubMed]
- Philippart, F.; Arlt, M.; Gotzen, S.; Tenne, S.J.; Bocola, M.; Chen, H.H.; Zhu, L.L.; Schwaneberg, U.; Okuda, J. A Hybrid Ring-Opening Metathesis Polymerization Catalyst Based on an Engineered Variant of the β-Barrel Protein FhuA. Chem. Eur. J. 2013, 19, 13865–13871. [Google Scholar] [CrossRef] [PubMed]
- Sauer, D.F.; Himiyama, T.; Tachikawa, K.; Fukumoto, K.; Onoda, A.; Mizohata, E.; Inoue, T.; Bocola, M.; Schwaneberg, U.; Hayashi, T. A Highly Active Biohybrid Catalyst for Olefin Metathesis in Water: Impact of a Hydrophobic Cavity in a β-Barrel Protein. ACS Catal. 2015, 5, 7519–7522. [Google Scholar] [CrossRef]
- Kraut, J. Chymotrypsin-Chemical Properties and Catalysis. In The Enzymes; Paul, D.B., Krebs, E.G., Eds.; Academic Press: Cambdige, MA, USA, 1971; Volume 3, pp. 213–248. [Google Scholar]
- Basauri-Molina, M.; Verhoeven, D.G.A.; van Schaik, A.J.; Kleijn, H.; Klein Gebbink, R.J.M. Ring-Closing and Cross-Metathesis with Artificial Metalloenzymes Created by Covalent Active Site-Directed Hybridization of a Lipase. Chem. Eur. J. 2015, 21, 15676–15685. [Google Scholar] [CrossRef]
- Zhao, J.; Kajetanowicz, A.; Ward, T.R. Carbonic Anhydrase II as Host Protein for the Creation of a Biocompatible Artificial Metathesase. Org. Biomol. Chem. 2015, 13, 5652–5655. [Google Scholar] [CrossRef]
- Mingotaud, A.F.; Mingotaud, C.; Moussa, W. Characterization of the Micellar Ring Opening Metathesis Polymerization in Water of a Norbornene Derivative Initiated by Hoveyda-Grubbs’ Catalyst. J. Polym. Sci. Pol. Chem. 2008, 46, 2833–2844. [Google Scholar] [CrossRef]
- Thiel, V.; Hendann, M.; Wannowius, K.J.; Plenio, H. On the Mechanism of the Initiation Reaction in Grubbs-Hoveyda Complexes. J. Am. Chem. Soc. 2012, 134, 1104–1114. [Google Scholar] [CrossRef]
- Grimm, A.R.; Sauer, D.F.; Davari, M.D.; Zhu, L.L.; Bocola, M.; Kato, S.; Onoda, A.; Hayashi, T.; Okuda, J.; Schwaneberg, U. Cavity Size Engineering of a β-Barrel Protein Generates Efficient Biohybrid Catalysts for Olefin Metathesis. ACS Catal. 2018, 8, 3358–3364. [Google Scholar] [CrossRef]
- Lutz, S. Beyond Directed Evolution—Semi-Rational Protein Engineering and Design. Curr. Opin. Biotechnol. 2010, 21, 734–743. [Google Scholar] [CrossRef]
- Reetz, M.T. Directed Evolution of Selective Enzymes: Catalysts for Organic Chemistry and Biotechnology; Wiley-VCH: Weinheim, Germany, 2016. [Google Scholar]
- Jeschek, M.; Reuter, R.; Heinisch, T.; Trindler, C.; Klehr, J.; Panke, S.; Ward, T.R. Directed Evolution Of Artificial Metalloenzymes For In Vivo Metathesis. Nature 2016, 537, 661–665. [Google Scholar] [CrossRef] [PubMed]
- Samanta, A.; Sabatino, V.; Ward, T.R.; Walther, A. Functional and Morphological Adaptation in DNA Protocells via Signal Processing Prompted by Artificial Metalloenzymes. Nat. Nanotechnol. 2020, 15, 914–921. [Google Scholar] [CrossRef] [PubMed]
- Sabatino, V.; Rebelein, J.G.; Ward, T.R. “Close-to-Release”: Spontaneous Bioorthogonal Uncaging Resulting from Ring-Closing Metathesis. J. Am. Chem. Soc. 2019, 141, 17048–17052. [Google Scholar] [CrossRef]
- Eda, S.; Nasibullin, I.; Vong, K.; Kudo, N.; Yoshida, M.; Kurbangalieva, A.; Tanaka, K. Biocompatibility and Therapeutic Potential of Glycosylated Albumin Artificial Metalloenzymes. Nat. Catal. 2019, 2, 780–792. [Google Scholar] [CrossRef]
- Vong, K.; Nasibullin, I.; Tanaka, K. Exploring and Adapting the Molecular Selectivity of Artificial Metalloenzymes. Bull. Chem. Soc. Jpn. 2021, 94, 382–396. [Google Scholar] [CrossRef]
- Sohn, J.H.; Kim, K.H.; Lee, H.Y.; No, Z.S.; Ihee, H. Initial Catalyst-Substrate Association Step in Enyne Metathesis Catalyzed by Grubbs Ruthenium Complex Probed by Time-Dependent Fluorescence Quenching. J. Am. Chem. Soc. 2008, 130, 16506–16507. [Google Scholar] [CrossRef]
- Toussaint, S.N.W.; Calkins, R.T.; Lee, S.; Michel, B.W. Olefin Metathesis-based Fluorescent Probes for the Selective Detection of Ethylene in Live Cells. J. Am. Chem. Soc. 2018, 140, 13151–13155. [Google Scholar] [CrossRef]
- Vong, K.; Eda, S.; Kadota, Y.; Nasibullin, I.; Wakatake, T.; Yokoshima, S.; Shirasu, K.; Tanaka, K. An Artificial Metalloenzyme Biosensor can Detect Ethylene Gas in Fruits and Arabidopsis Leaves. Nat. Commun. 2019, 10, 5746. [Google Scholar] [CrossRef]
- Kirkland, T.A.; Lynn, D.M.; Grubbs, R.H. Ring-closing Metathesis in Methanol And Water. J. Org. Chem. 1998, 63, 9904–9909. [Google Scholar] [CrossRef]
- Lynn, D.M.; Grubbs, R.H. Novel Reactivity Of Ruthenium Alkylidenes in Protic Solvents: Degenerate Alkylidene Proton Exchange. J. Am. Chem. Soc. 2001, 123, 3187–3193. [Google Scholar] [CrossRef]
- Hong, S.H.; Wenzel, A.G.; Salguero, T.T.; Day, M.W.; Grubbs, R.H. Decomposition of Ruthenium Olefin Metathesis Catalysts. J. Am. Chem. Soc. 2007, 129, 7961–7968. [Google Scholar] [CrossRef]
- Jawiczuk, M.; Marczyk, A.; Trzaskowski, B. Decomposition of Ruthenium Olefin Metathesis Catalyst. Catalysts 2020, 10, 887. [Google Scholar] [CrossRef]
- Dinger, M.B.; Mol, J.C. Degradation of The First-Generation Grubbs Metathesis Catalyst with Primary Alcohols, Water, and Oxygen. Formation and Catalytic Activity of Ruthenium(II) Monocarbonyl Species. Organometallics 2003, 22, 1089–1095. [Google Scholar] [CrossRef]
- Goudreault, A.Y.; Walden, D.M.; Nascimento, D.L.; Botti, A.G.; Steinmann, S.N.; Michel, C.; Fogg, D.E. Hydroxide-induced Degradation of Olefin Metathesis Catalysts: A Challenge for Metathesis in Alkaline Media. ACS Catal. 2020, 10, 3838–3843. [Google Scholar] [CrossRef]
- Dinger, M.B.; Mol, J.C. Degradation of the Second-generation Grubbs Metathesis Catalyst with Primary Alcohols and Oxygen—Isomerization and Hydrogenation Activities of Monocarbonyl Complexes. Eur. J. Inorg. Chem. 2003, 2003, 2827–2833. [Google Scholar] [CrossRef]
- Banti, D.; Mol, J.C. Degradation of the Ruthenium-based Metathesis Catalyst [RuCl2(CHPh)(H2IPr)(PCy3)] with Primary Alcohols. J. Organomet. Chem. 2004, 689, 3113–3116. [Google Scholar] [CrossRef]
- Zirngast, M.; Pump, E.; Leitgeb, A.; Albering, J.H.; Slugovc, C. Pyridine as Trigger for Chloride Isomerisation in Chelated Ruthenium Benzylidene Complexes: Implications for Olefin Metathesis. Chem. Commun. 2011, 47, 2261–2263. [Google Scholar] [CrossRef] [PubMed]
- Blanco, C.O.; Sims, J.; Nascimento, D.L.; Goudreault, A.Y.; Steinmann, S.N.; Michel, C.; Fogg, D.E. The Impact of Water on Ru-catalyzed Olefin Metathesis: Potent Deactivating Effects Even at Low Water Concentrations. ACS Catal. 2021, 11, 893–899. [Google Scholar] [CrossRef] [PubMed]
- Wappel, J.; Urbina-Blanco, C.A.; Abbas, M.; Albering, J.H.; Saf, R.; Nolan, S.P.; Slugovc, C. Halide Exchanged Hoveyda-type Complexes in Olefin Metathesis. Beilstein J. Org. Chem. 2010, 6, 1091–1098. [Google Scholar] [CrossRef] [PubMed]
- Matsuo, T.; Yoshida, T.; Fujii, A.; Kawahara, K.; Hirota, S. Effect of Added Salt on Ring-closing Metathesis Catalyzed by a Water-Soluble Hoveyda-Grubbs Type Complex To Form N-Containing Heterocycles in Aqueous Media. Organometallics 2013, 32, 5313–5319. [Google Scholar] [CrossRef]
- Foster, J.C.; Grocott, M.C.; Arkinstall, L.A.; Varlas, S.; Redding, M.J.; Grayson, S.M.; O’Reilly, R.K. It is Better with Salt: Aqueous Ring-Opening Metathesis Polymerization at Neutral pH. J. Am. Chem. Soc. 2020, 142, 13878–13885. [Google Scholar] [CrossRef]
- Michrowska, A.; Bujok, R.; Harutyunyan, S.; Sashuk, V.; Dolgonos, G.; Grela, K. Nitro-substituted Hoveyda−Grubbs Ruthenium Carbenes: Enhancement of Catalyst Activity through Electronic Activation. J. Am. Chem. Soc. 2004, 126, 9318–9325. [Google Scholar] [CrossRef]
- Michrowska, A.; Gułajski, Ł.; Kaczmarska, Z.; Mennecke, K.; Kirschning, A.; Grela, K. A Green Catalyst for Green Chemistry: Synthesis and Application of an Olefin Metathesis Catalyst Bearing a Quaternary Ammonium Group. Green Chem. 2006, 8, 685–688. [Google Scholar] [CrossRef]
- Gawin, R.; Makal, A.; Wozniak, K.; Mauduit, M.; Grela, K. A Dormant Ruthenium Catalyst Bearing A Chelating Carboxylate Ligand: In Situ Activation and Application in Metathesis Reactions. Angew. Chem. Int. Ed. 2007, 46, 7206–7209. [Google Scholar] [CrossRef]
- Engle, K.M.; Lu, G.; Luo, S.X.; Henling, L.M.; Takase, M.K.; Liu, P.; Houk, K.N.; Grubbs, R.H. Origins of Initiation Rate Differences in Ruthenium Olefin Metathesis Catalysts Containing Chelating Benzylidenes. J. Am. Chem. Soc. 2015, 137, 5782–5792. [Google Scholar] [CrossRef] [PubMed]
- Zieliński, A.; Szczepaniak, G.; Gajda, R.K.W.; Trzaskowski, B.; Vidović, D.; Kajetanowicz, A.; Grela, K. Ruthenium Olefin Metathesis Catalysts Systematically Modified in Chelating Benzylidene Ether Fragment: Experiment and Computations. Eur. J. Inorg. Chem. 2018, 3675–3685. [Google Scholar] [CrossRef]
- Skowerski, K.; Kasprzycki, P.; Bieniek, M.; Olszewski, T.K. Efficient, Durable and Reusable Olefin Metathesis Catalysts with High Affinity to Silica Gel. Tetrahedron 2013, 69, 7408–7415. [Google Scholar] [CrossRef]
- Jatmika, C.; Goshima, K.; Wakabayashi, K.; Akiyama, N.; Hirota, S.; Matsuo, T. Second-coordination Sphere Effects on The Reactivities of Hoveyda-Grubbs-Type Catalysts: A Ligand Exchange Study Using Phenolic Moiety-Functionalized Ligands. Dalton Trans. 2020, 49, 11618–11627. [Google Scholar] [CrossRef]
- Jatmika, C.; Wakabayashi, K.; Tamaki, R.; Akiyama, N.; Nakamura, I.; Hirota, S.; Yamaguchi, H.; Matsuo, T. Ligand Exchange Strategy for Delivery of Ruthenium Complex Unit to Biomolecules Based on Ruthenium-Olefin Specific Interactions. Chem. Lett. 2020, 49, 1490–1493. [Google Scholar] [CrossRef]
- Fujii, A.; Hirota, S.; Matsuo, T. Reversible Switching of Fluorophore Property Based on Intrinsic Conformational Transition of Adenylate Kinase During Its Catalytic Cycle. Bioconjugate Chem. 2013, 24, 1218–1225. [Google Scholar] [CrossRef] [PubMed]
- Fujii, A.; Sekiguchi, Y.; Matsumura, H.; Inoue, T.; Chung, W.S.; Hirota, S.; Matsuo, T. Excimer Emission Properties on Pyrene-Labeled Protein Surface: Correlation Between Emission Spectra, Ring Stacking Modes, and Flexibilities of Pyrene Probes. Bioconjugate Chem. 2015, 26, 537–548. [Google Scholar] [CrossRef]
- Miyake, T.; Tamaki, R.; Asanuma, M.; Fukada, Y.; Hirota, S.; Matsuo, T. Regioselective Chemical Modification of Cysteine Residues on Protein Surfaces Focusing on Local Environment around the Conjugation Site. Bioconjugate Chem. 2020, 31, 794–802. [Google Scholar] [CrossRef]
- Lin, Y.A.; Chalker, J.M.; Floyd, N.; Bernardes, G.J.; Davis, B.G. Allyl Sulfides Are Privileged Substrates in Aqueous Cross-Metathesis: Application to Site-Selective Protein Modification. J. Am. Chem. Soc. 2008, 130, 9642–9643. [Google Scholar] [CrossRef]
- Chalker, J.M.; Lin, Y.A.; Boutureira, O.; Davis, B.G. Enabling Olefin Metathesis on Proteins: Chemical Methods for Installation of S-Allyl Cysteine. Chem. Commun. 2009, 3714–3716. [Google Scholar] [CrossRef] [PubMed]
- Lin, Y.A.; Chalker, J.M.; Davis, B.G. Olefin Metathesis for Site-Selective Protein Modification. ChemBioChem 2009, 10, 959–969. [Google Scholar] [CrossRef] [PubMed]
- Bhushan, B.; Lin, Y.A.; Bak, M.; Phanumartwiwath, A.; Yang, N.; Bilyard, M.K.; Tanaka, T.; Hudson, K.L.; Lercher, L.; Stegmann, M. Genetic Incorporation of Olefin Cross-Metathesis Reaction Tags for Protein Modification. J. Am. Chem. Soc. 2018, 140, 14599–14603. [Google Scholar] [CrossRef]
Publisher’s Note: MDPI stays neutral with regard to jurisdictional claims in published maps and institutional affiliations. |
© 2021 by the author. Licensee MDPI, Basel, Switzerland. This article is an open access article distributed under the terms and conditions of the Creative Commons Attribution (CC BY) license (http://creativecommons.org/licenses/by/4.0/).










































