Abstract
The pivotal role played by ω-transaminases (ω-TAs) in the synthesis of chiral amines used as building blocks for drugs and pharmaceuticals is widely recognized. However, chiral bulky amines are challenging to produce. Herein, a ω-TA (TR8) from a marine bacterium was used to synthesize a fluorine chiral amine from a bulky ketone. An analysis of the reaction conditions for process development showed that isopropylamine concentrations above 75 mM had an inhibitory effect on the enzyme. Five different organic solvents were investigated as co-solvents for the ketone (the amine acceptor), among which 25–30% (v/v) dimethyl sulfoxide (DMSO) produced the highest enzyme activity. The reaction reached equilibrium after 18 h at 30% of conversion. An in situ product removal (ISPR) approach using an aqueous organic two-phase system was tested to mitigate product inhibition. However, the enzyme activity initially decreased because the ketone substrate preferentially partitioned into the organic phase, n-hexadecane. Consequently, DMSO was added to the system to increase substrate mass transfer without affecting the ability of the organic phase to prevent inhibition of the enzyme activity by the product. Thus, the enzyme reaction was maintained, and the product amount was increased for a 62 h reaction time. The investigated ω-TA can be used in the bioconversion of bulky ketones to chiral amines for future bioprocess applications.
1. Introduction
Biocatalysts are being explored as green alternatives to alleviate environmental problems created by the use of traditional organic chemistry [1,2]. Biocatalysts, either in the form of whole cells or isolated enzymes, catalyze the transformation of chemical substrates to target product molecules. Biocatalysts operate under mild conditions and in aqueous environments, usually require fewer reaction steps than traditional chemistry, and are renewable [3,4]. Thus, the application of biocatalysts to bioprocesses is associated with economic and environmental benefits. Novel biocatalysts are being increasingly developed for different industrial applications [5,6,7,8], and novel enzymes have been successfully bioprospected from rarely explored habitats [9,10,11,12]. In particular, transaminases have been found to deliver novel and enantiomeric pure molecules as building blocks for the pharmaceutical industry [13,14,15,16].
Transaminases are environment-friendly alternatives for the chemical synthesis of chiral amines, which conventionally require high pressure conditions and expensive heavy-metal catalysts [17]. Chiral amine synthesis is important, because pharmaceutical drugs and agrochemicals have been estimated to contain 40% of chiral amines [18]. In the presence of the co-factor pyridoxal-5-phosphate (PLP), ω-transaminases (ω-TAs) can transfer an amino group from an amine donor to a keto acid, a ketone, or an aldehyde, which act as amine acceptors. Asymmetric synthesis can achieve 100% of the theoretical yield of enantiomerically pure (R)- or (S)-products [19,20]. However, the full industrial application of reactions involving ω-TAs poses challenges because of reduced enzyme activity, of which the two most critical are process-related, including an unfavorable thermodynamic equilibrium, and biocatalyst-related, including product inhibition [21]. The two aforementioned issues can be addressed by discovering or designing appropriate amine donors [22], and by implementing in situ product removal (ISPR) strategies [23,24,25].
Fluorine atoms are being increasingly incorporated into agrochemical and pharmaceutical products [26,27], as evidenced by fluorine use in 35% of the agrochemicals and 20% of the pharmaceuticals on the market [28]. Fluorine can donate molecules, such as chiral amines, with exceptional physicochemical properties, including acidity, a dipole moment, lipophilicity, metabolic stability and bioavailability [29,30]. The introduction of one or more fluorine atoms to molecules thus gives them exceptionally physicochemical properties. A notable example of the production of a chiral amine molecule containing fluorine atoms involving a transaminase is the synthesis of sitagliptin, a potent drug for treating type 2 diabetes mellitus. ω-TA has been used as an alternative to a rhodium-based chiral catalyst in the asymmetric synthesis of this chiral amine drug [31]. Merck and Codexis engineered a highly evolved transaminase biocatalyst that can tolerate a substrate concentration of 200 g/L in 50% DMSO at 40 °C, and to produce the chiral amine in high yield [32]. The biocatalytic mechanism increased the overall yield, productivity, and sustainability of the process. Another excellent example is the synthesis of a JAK2 kinase inhibitor by AstraZeneca [33]. The intermediate (S)-1-(5-fluoropyrimidin-2-yl)ethylamine was prepared using a wild ω-TA in a two-phase system [34]. Toluene was used as a co-solvent to remove the acetophenone co-product from the aqueous phase. Acetophenone inhibition and/or denaturation of the enzyme were thus prevented.
In the present study, we report the use of a marine ω-TA, TR8, for the bioconversion of 4′-(trifluoromethyl)acetophenone (referred to as S for substrate in the remaining text) to (S)-1-(4-trifluoromethylphenyl)ethylamine (referred to as P for product in the remaining text) (Scheme 1) which may be used as a building block in the synthesis of novel drugs and/or agrochemicals.
Scheme 1.
Enzyme-catalyzed asymmetric transamination of 4′-(trifluoromethyl)acetophenone (S) with isopropylamine (IPA) as an amine donor to produce (S)-1-(4-trifluoromethylphenyl)ethylamine (P), and acetone (co-product).
Coscolín et al. first reported the wild-type class III (S)-selective TR8 [10], which was isolated from a marine sample and most likely derived from a bacterium of the Amphritea genus that had not been previously reported to contain transaminases [35,36,37]. The enzyme was shown to be most active from 60 to 65 °C, being thermoactive up to 65 °C, to retain more than 35% activity in the presence of 50% (v/v) methanol, acetonitrile, or DMSO, and to prefer bulky ketones and (S)-amines [10]. In the present study, the optimal reaction conditions and organic solvents for the production of (S)-1-(4-trifluoromethylphenyl)ethylamine were assessed. The application of an in situ product removal (ISPR) approach using an aqueous two-phase system to prevent inhibition of the chiral amine product was studied and proven successful. The results demonstrate the use of the novel ω-TA and the process development to produce a chiral amine, for which synthetic challenges have remained unsolved thus far.
2. Results and Discussion
2.1. Bioconversion Conditions
Bioprocess development requires determination of the conversion rate. The experiments showed that the initial bioconversion rate of cell extract containing TR8 varied linearly until a maximum concentration of 1.5 g L−1 (Figure S1). Thus, 1 g L−1 of cell extract was used to ensure that subsequent assays were performed in the linear region. This guaranteed that an increase in biocatalyst concentration contributed fully to the measured kinetics and is also a required first step procedure for the determination of the kinetic parameters of transaminases [38,39]. Experiments were performed using different initial ketone concentrations and 100 mM IPA, and the Michaelis–Menten model was applied to the results to determine Vmax and Km for the reaction as 7.4 × 10−4 µmol min−1 and 2.24 µmol, respectively.
The amine donor for the transamination was chosen to be IPA, which has a low cost and proven industrial applicability, because the transamination co-product, acetone, can be easily removed despite the challenge posed by an unfavorable thermodynamic equilibrium [22]. This problem can be circumvented by using IPA in excess [22]. Although TR8 was previously found to be most active between 60 °C and 65 °C at pH 7.5 [10], the present bioconversion was carried out at 30 °C due to the low boiling point of IPA, which is 34 °C at atmospheric pressure. Besides, enzyme stability was affected by temperature. In fact, when we tested the TR8 enzyme at 60 °C, the rate of P production was 1.8-fold greater than that observed at 30 °C, but after 3 h it was only 20% (Figure S2). After 19 h, the amount of P produced at 30 °C was 3.2-fold higher than that attained at 60 °C. It was also suggested by other authors that, because the synthesis with IPA as an amine donor is not thermodynamically favored, the temperature should be sufficiently low to allow enzyme conversion to run for hours or days even if acetone removal is hindered [22].
In the present study, the enzyme activity was found to increase with the IPA concentration up to approximately 75 mM (Figure 1). The enzymatic activity decreased abruptly at IPA concentrations higher than 75 mM, and was completely inhibited at 150 mM IPA. Chen et al. also observed a decrease in transaminase activity with increasing IPA concentrations in thermodynamic stability tests [40]. An amine donor-induced inactivation mechanism was proposed by Börner et al. [41]. In summary, inactivation induced by an amine donor was hypothesized to involve the accumulation of the less stable aminated enzyme–PLP complex, and that its dissociation results in the rapid unfolding of the produced apoenzyme. Increasing the PLP supply could enhance stability but would reduce transamination activity.
Figure 1.
Effect of both isopropylamine (IPA) and 4′-(trifluoromethyl)acetophenone (S) concentrations on TR8 activity.
No inhibition effects on the enzyme activity were observed at the tested concentrations of 4′-(trifluoromethyl)acetophenone (S), up to a concentration of 200 mM (Figure 1). The enzyme activity was maintained at approximately 6.6 nmol min−1 mg−1 for S concentrations between 10 and 50 mM, and at approximately 7.2 nmol min−1 mg−1 above 100 mM S. To minimize substrate usage and because a high IPA:S ratio favours the reaction thermodynamic equilibrium towards the product, 10 mM of S and 75 mM of IPA were selected for the subsequent studies.
Most commercially useful ketones, including S, exhibit low water solubility, which makes the amine acceptor inaccessible to a biocatalyst. This problem can be circumvented by using an organic solvent (a co-solvent) as a second phase or as reaction medium [17,35]. However, the addition of organic solvents to the reaction media can negatively affect enzyme activity and/or stability [17,35]. The influence of adding an organic solvent, to overcome effect of the low S solubility on the enzyme activity, was evaluated by testing: two water-miscible organic solvents, DMSO and methanol; and three water-immiscible organic solvents, namely n-hexadecane, n-dodecane, and 1-dodecanol. The enzyme was previously found to retain activity in the presence of up to 50% DMSO and methanol [10], and it has been demonstrated that solvents such as DMSO can change the selectivity of ω-TAs [42]. The immiscible solvents tested have been found to be efficient in biphasic biocatalytic systems [24,43].
Using 5% (v/v) of the organic solvents, the highest TR8 activity was observed using DMSO (6.7 nmol min−1 mg−1; Figure 2a), followed by methanol (4.0 nmol min−1 mg−1). DMSO is a dipolar aprotic solvent, which contains a strong polar sulfoxide group and two hydrophobic methyl moieties, widely used in industry because of its low toxicity. Methanol is a hydrogen-bond-donating co-solvent, whereas DMSO is a hydrogen-bond-accepting co-solvent. These solvent characteristics can affect enzyme activity and/or stability. The enzyme activity was considerably lower (<0.62 nmol min−1 mg−1; Figure 2a) in the presence of the three immiscible solvents than in the presence of the water-miscible organic solvents. This behavior may have resulted from mass-transfer limitations in the two-phase systems that reduced the substrate concentration in the water phase, or from molecular and/or phase toxicity caused by the organic solvent towards the enzyme. The immiscible organic solvents tested are more biocompatible (log P > 4) than those miscible, and their solubility in water is very low (<0.04 wt.%) [44]; therefore, mass transfer should have been responsible for limiting the bioconversion. In fact, when the amount of n-hexadecane in the system was increased from 5 to 20% (v/v), TR8 activity increased three-fold (Figure 2b).
Figure 2.
Effect of organic solvents on TR8 transaminase activity: (a) activity in the presence of miscible and immiscible solvents; (b) activity in the presence of 5 to 30% (v/v) n-hexadecane; and (c) change in enzyme activity at different DMSO concentrations relative to 5% (v/v) DMSO.
DMSO was selected as the optimal co-solvent based on the TR8 activity in the presence of the tested co-solvents, and the effect of the DMSO concentration on TR8 performance was evaluated. The enzyme activity increased by 31% at DMSO concentrations up to 25–30% (v/v) when compared to experiments with only 5% (v/v) DMSO (Figure 2c). The enzyme activity decreased at 40% DMSO but was still 7% higher than that at 5% (v/v), and was similar to that at 15–20% DMSO. The TR8 activity decreased by 49% in the presence of 50% (v/v) DMSO. Similar stability patterns have been observed using other ω-TAs during the production of chiral amines [45,46]. A concentration of 25% (v/v) DMSO was thus selected for subsequent experiments for bioprocess development.
The only product of the transamination of S with IPA by TR8 was identified as (S)-1-(4-trifluoromethylphenyl)ethylamine by gas chromatography–mass spectrometry (GC-MS), chiral gas chromatography, and polarimetry analyses, of both the amine and its silylated derivative.
2.2. Two-Phase System
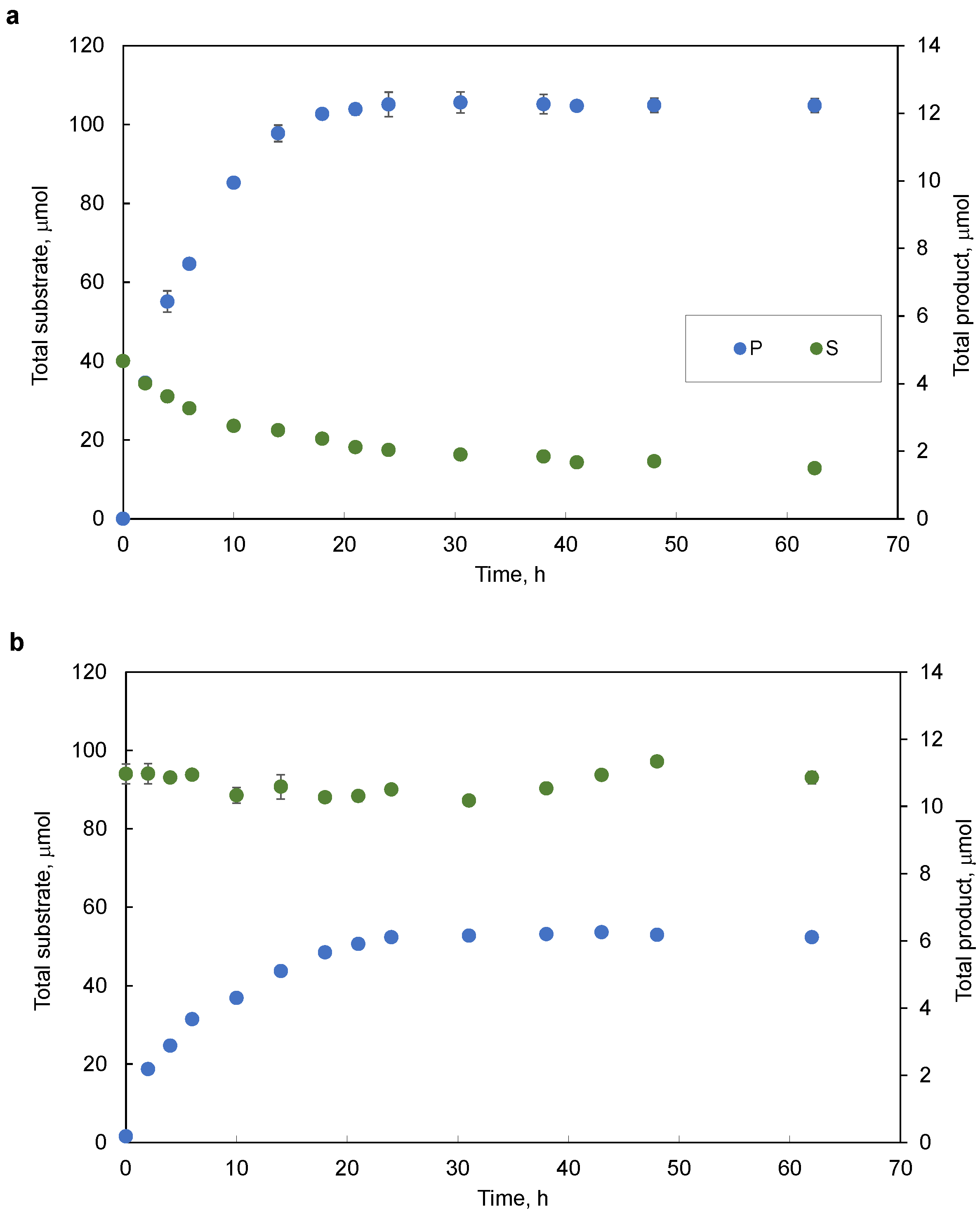
Follow-up experiments on the bioconversion were conducted using the optimal enzyme and substrate (S and IPA) and solvent (DMSO) concentrations for a reaction time of 62.5 h, where both the substrate consumption and P production were monitored by GC-MS (Figure 3a). As expected, the S concentration decreased by conversion to the chiral amine P. At 24 h of reaction, 12.26 µmol of P were produced in the single aqueous system. The quantity of P produced remained nearly constant between 18 h and 62.5 h. These results suggest that the reaction reached the equilibrium at approximately 18 h. The most plausible explanations are: (i) that the product P and/or acetone inhibited the enzyme activity; or (ii) they reached a concentration that affected the thermodynamic equilibrium of the reaction. When P was added at the start of the bioconversion to assess its inhibitory effect on TR8, it was found that P decreased the specific activity of the enzyme by 12% at a concentration of 5 mM, and 42% when the initial concentration was 20 mM (Figure S3).
Figure 3.
Quantities of 4′-(trifluoromethyl)acetophenone (S) consumed and of 4-trifluoromethylphenyl) ethylamine (product; P) produced during the bioconversion catalyzed by TR8 in one-phase (a), and two-phase (b) systems.
An ISPR strategy was thus tested to prevent possible enzyme inhibition, and to favor the thermodynamic equilibrium of the reaction towards product formation. ISPR strategies have been used to remove the product(s) in ω-TAs processes, resulting in fewer toxic effects to the enzyme, in a shift in the reaction equilibrium towards the desired product, and consequently, in increased productivity of the biocatalytic process [47]. The organic solvent used for ISPR could also be used as a reservoir for the amine acceptor, which typically presents low solubility in the aqueous phases. The use of ISPR for chemical reactions is well established [48], which facilitates industrial implementation.
In the present study, the following ISPR strategy was tested: n-hexadecane was used in a two-phase system to remove P from the aqueous phase, thereby preventing enzyme inhibition and shifting the reaction towards the product. n-Hexadecane was chosen for two reasons. Firstly, n-hexadecane can serve as an amine acceptor reservoir, enabling significantly higher S concentrations to be used in the system and ensuring a continuous supply of S to the aqueous phase for bioconversion. Secondly, the organic solvent screening indicated that the highest retention of enzyme activity was obtained using n-hexadecane, among the immiscible solvents tested (Figure 2a).
During the first test of the two-phase system, no DMSO was added to the aqueous phase because the S supply in the organic phase was considered to be sufficient. Although 6.11 µmol of P were detected in the system at 24 h of reaction, P production nearly stopped thereafter (Figure 3b). In the biphasic system, the reaction reached equilibrium 6 h later, but the quantity of P was approximately half of that produced in the single aqueous system (Figure 3a,b).
The results presented in Figure 3 showed that S was available in the biphasic system after 24 h; therefore, it was necessary to investigate why the bioconversion terminated. Two main factors were considered: (i) the low water solubility of S resulted in a low mass transfer of S from the organic phase to the enzyme present in the cell extracts in the aqueous phase; and (ii) there was an insufficient supply of PLP during the reaction.
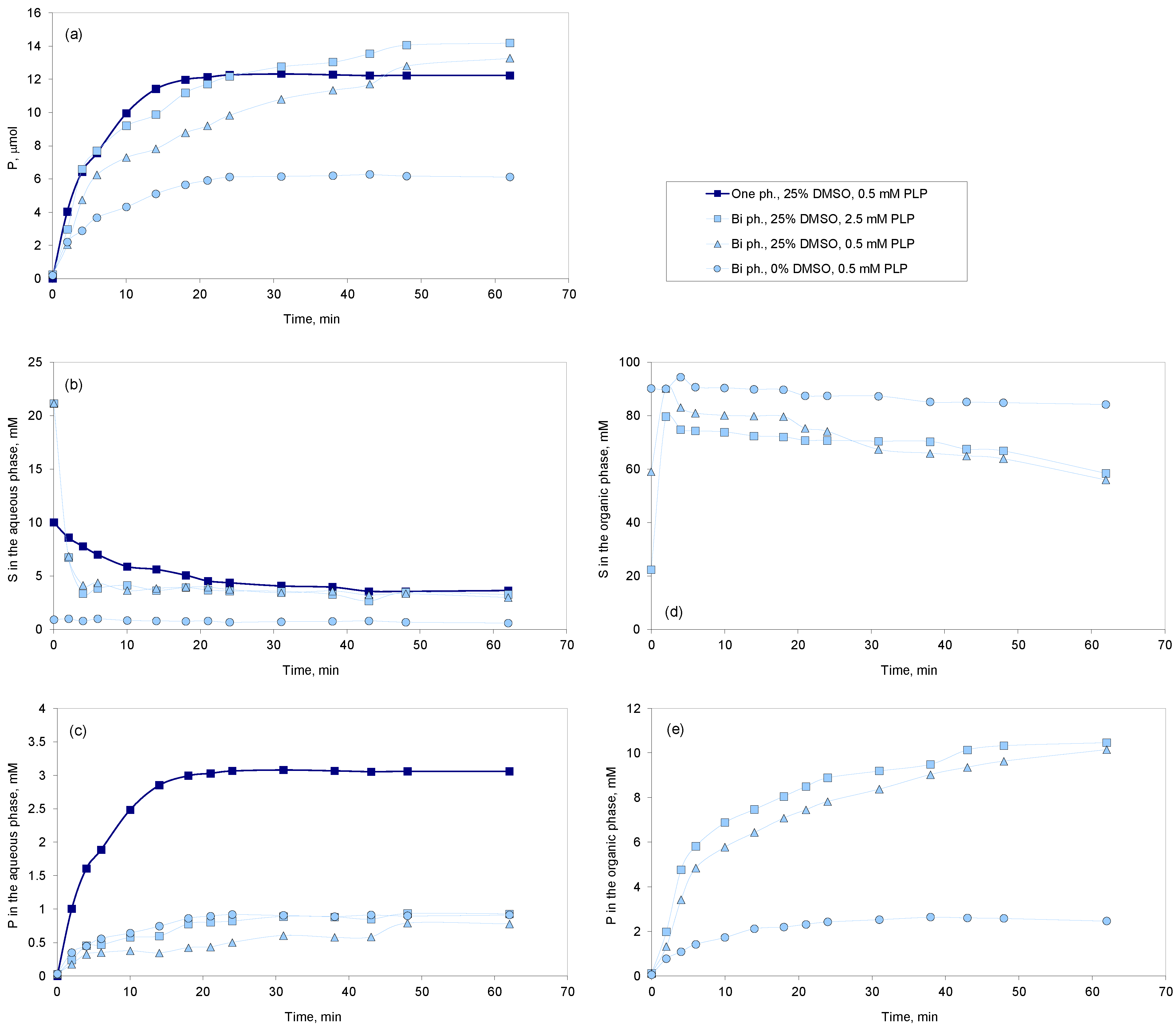
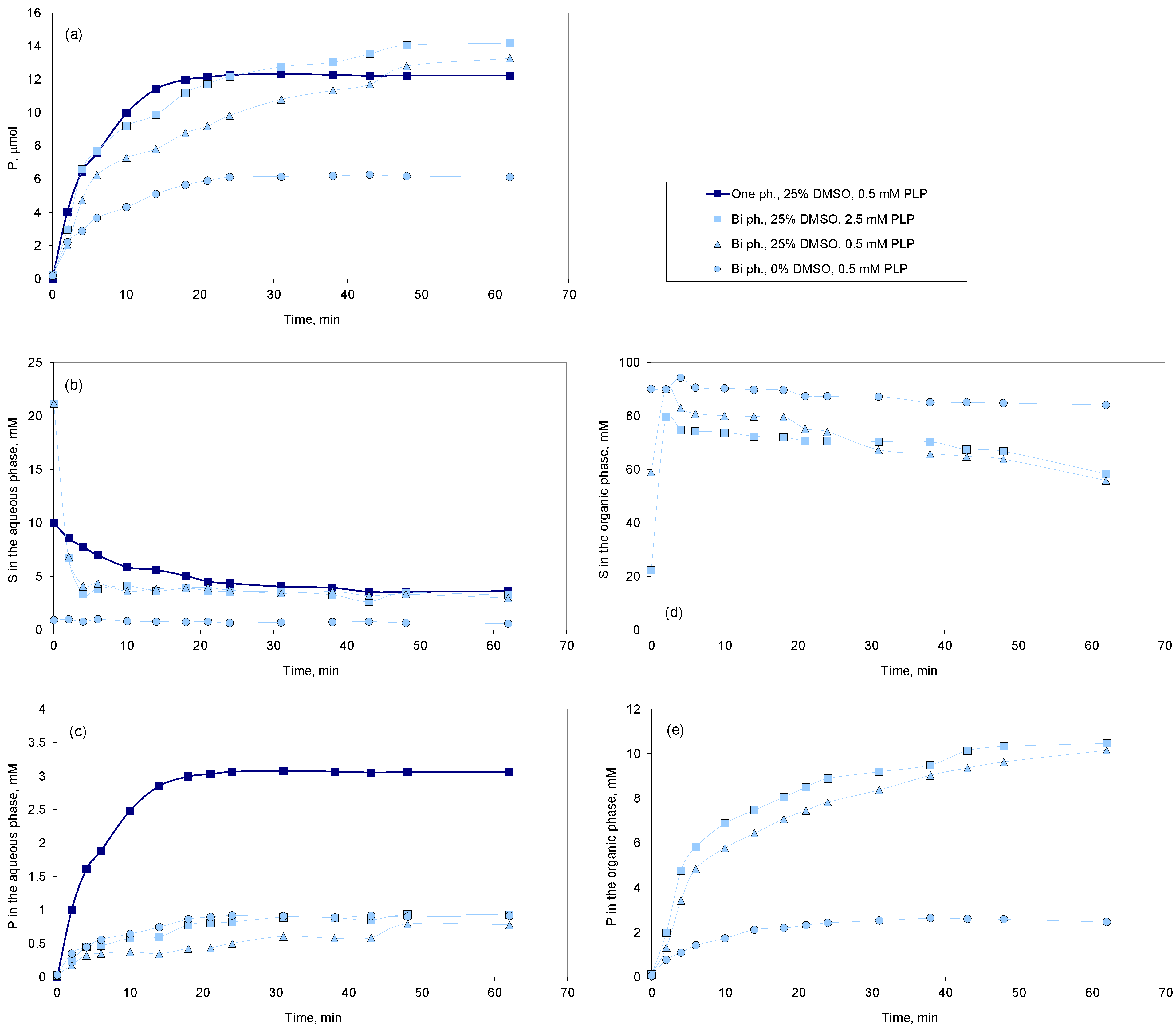
To determine whether the system was mass-transfer-limited, DMSO was added as a co-solvent to the aqueous phase of the biphasic system. The addition of DMSO caused both the enzyme activity and of the total P concentration to increase (Figure 4). At 24 h, there were 9.83 µmol of P in the system with DMSO compared to 6.11 µmol of P in the system without DMSO (Figure 4a). More importantly, the bioconversion continued after 24 h, and a maximum product concentration of 13.27 µmol was reached at 62 h. These results evidence the efficacy of the ISPR approach using n-hexadecane as the organic phase to remove the product from the aqueous phase. Figure 4c shows a constant P concentration in the aqueous phase after the first hours of the reaction, indicating preferential partitioning of P towards the organic phase. The observed 1 mM of P in the aqueous phase (Figure 4c) is below the inhibition concentration of P to TR8 (Figure S3), clearly showing that the ISPR system minimizes the inhibition of enzyme activity and helps maintain the reaction equilibrium towards product formation.
Figure 4.
Effect of DMSO and PLP on the conversion of 4′-(trifluoromethyl)acetophenone (S) into 4-trifluoromethylphenyl)ethylamine (P) in single aqueous (one ph.) and organic:aqueous phase (bi ph.) systems: (a) total quantity of P produced; S and P concentrations in the aqueous phase (b and c, respectively) and in the organic phase (d and e, respectively) of the biphasic system.
To assess whether the system was limited by PLP, the bioconversion rates under increasing PLP concentrations were determined. The effect of light exposure was also studied, because PLP is known to be light-sensitive, and light may have affected PLP degradation during the reaction in the glass bioreactors. In the aqueous system, the assays showed that the P concentration augmented as the PLP concentration was increased from 0.5 mM to 2.5 mM (Figure S4). Increasing the PLP concentration to 5 mM did not increase the P concentration further (data not shown). Under light exposure, higher P concentrations were observed: at 2.5 mM PLP, the concentration of P was 13.9% higher in light compared to dark conditions (Figure S4). Additionally, using 2.5 mM PLP under light exposure caused a 2.4-fold increase in the P concentration over that obtained using 0.5 mM PLP, whereas a corresponding 1.3-fold increase was observed in dark conditions. Previous studies have shown that PLP and light affect TA activity during storage, and that both TA performance and stability are related to the affinity of TA to PLP [36,40,41].
In the two-phase system, increasing PLP concentration from 0.5 mM to 2.5 mM resulted in a 1.3-fold increase in the initial reaction rate during the first 6 h (Figure 4a). However, using 2.5 mM PLP produced only 6.9% more P at 62 h than using 0.5 mM PLP in the presence of 25% DMSO (Figure 4a). These results indicate that PLP had a relatively low influence on the performance of TR8, under the conditions tested. Similar results have been reported by Bornër et al., where the PLP supply contributed to TA stability but not to enhanced productivity [41].
For the two-phase systems, adding DMSO and increasing the PLP concentration resulted in a 2.3-fold increase in P production over that obtained in the system with 0.5 mM PLP and without DMSO, at 62 h of reaction (Figure 4a). Optimizing the conditions resulted in 15.9% more P being produced in the bi-phasic system than in the one-phase system. At 24 h of reaction, similar product concentrations (approximately 12 µmol) were obtained for the one- and two-phase systems. However, optimizing the quantities of DMSO and PLP in the two-phase system prevented the reaction from terminating after 24 h, which occurred in the case of the one-phase system. The concentration of P in the organic phase of the biphasic system steadily increased up to the end of the experiment (Figure 4e).
The addition of DMSO to the organic:aqueous system improved the mass transfer of S from the organic phase to the aqueous phase containing the enzyme: on average, the addition of 25% DMSO resulted in a 4.9-fold increase in the S concentration over that obtained in the absence of DMSO (Figure 4b). The implementation of the ISPR approach, with n-hexadecane as the organic phase, also facilitated a decrease in the P concentration in the aqueous phase: on average, the P concentration was approximately 25% of that in the single aqueous phase (Figure 4c). The lower concentration of P in the aqueous phase, resulting from P extraction to the organic phase, diminished inhibition of the enzyme activity and enabled the reaction to proceed for at least 62 h (Figure 4e).
3. Materials and Methods
3.1. Biocatalyst Preparation
The vector pBXNH3 and the host Escherichia coli MC1061 was the source of the His6-tag TR8 (GenBank acc. nr. MF158207.1), a class III ω-TA isolated from the metagenomic DNA of microbial communities inhabiting the chronically polluted seashore area of Milazzo harbor in Sicily. For enzyme production, a single colony of E. coli, previously grown at 37 °C on solid Luria Bertani (LB) agar medium supplemented with 100 µg mL−1 ampicillin (Amp), was picked and used to inoculate 50 mL of LB–Amp medium in a 0.25 L flask, followed by cultivation at 37 °C and 200 rpm overnight. Afterwards, 50 mL of this culture was used to inoculate 1 L of LB–Amp medium in a 2.5 L flask, which was then incubated at 37 °C to an OD 600 nm of approximately 0.7 (ranging from 0.55 to 0.75). Protein expression was induced by adding L-arabinose to a final concentration of approximately 0.1%, followed by incubation for 16 h at 16 °C. The cells were harvested by centrifugation at 5000× g for 15 min to yield a pellet of 2–3 g (wet weight). The wet cell pellet was frozen at −86 °C overnight, thawed, and re-suspended in 15 mL of 50 mM sodium phosphate, pH 8.0, and after a second centrifugation step, the cells expressing TR8 were freeze-dried and used directly for activity tests.
3.2. Enzyme Activity Experiments for Optimization of Transaminase Bioconversion
Bioconversion reactions were performed in closed glass vials (10 mL from Verex and caps from Phenomenex) with 1 mL of working volume. The reaction mixture contained 100 mM Tris-HCl buffer at pH 7.5, 0.5 mM PLP, 100 mM IPA (from TCI chemicals) as the amine donor, 10 mM of the amine acceptor 4’-(trifluoromethyl)acetophenone (from Sigma-Aldrich, St. Louis, MO, USA) and 5% (v/v) DMSO. Reactions were kept at 30 °C with 600 rpm of magnetic agitation (using 12 × 3 mm2 magnets from Kartell, Noviglio, Italy). Lyophilized cell extract of ω-TA was rehydrated and incubated for 20 min in 100 mM Tris-HCL buffer pH 7.5 containing 0.5 mM of PLP at 30 °C, and added to the reaction mixture to a final concentration of 1 gL−1 (except for the enzyme concentration assay where concentrations between 0.1 and 5 g L−1 were tested). The bioconversion started with the addition of the amine acceptor to the vial. Samples of 150 µL were collected during the first 40 min of the reaction. Immediately after sampling, each sample was added to a microtube with 15 µL of NaOH 1 M to stop the bioconversion. Next, 150 µL of ethyl acetate was added to the previous microtube and vigorous agitation was maintained for 5 min. The organic solvent phase was dried with MgSO4 and analyzed by GC-MS. One unit (U) of enzyme activity was defined as the amount of lyophilized cell extract expressing TR8 required to transform 1 μmol of substrate per min, under the assay conditions.
3.2.1. Determination of the Effect of Substrate Concentration
Different concentrations of the amine donor IPA were added (10, 25, 50, 75, 100, 125 and 150 mM) with the amine acceptor S fixed to 10 mM. For the determination of the optimal concentration of the amine acceptor, the amine donor concentration was fixed at 75 mM and the amine acceptor concentration was changed: 1, 5, 10, 25, 50, 100, 200, and 300 mM were tested.
3.2.2. Organic Solvent Screening and Optimization
The organic solvents, DMSO, methanol, 1-dodecanol, n-dodecane and n-hexadecane were added as co-solvents (5%, v/v) to the reaction mixture, which totaled 1 mL. The bioconversion was carried out with 75 mM of the amine donor, 10 mM of the amine acceptor and 0.5 mM PLP in 100 mM Tris-HCl buffer at pH 7.5. The effect of DMSO on enzyme activity was determined in the presence of 5, 10, 15, 20, 25, 30, 40, and 50% (v/v). The effect of the presence of an apolar organic solvent on TR8 activity was assessed in a biphasic system containing 4 mL of the aqueous phase with 25% (v/v) DMSO, and 5, 10, 15, 20 and 30% (v/v) of n-hexadecane containing 100 mM of S.
3.3. Bioconversion Assays in Single- and Two-Phase Systems
Bioconversion reactions were performed in closed 8 mL glass vials (6 cm × 1.5 cm) with magnetic agitation. Reactions were kept at 30 °C and magnetically stirred at 400 rpm (using 12 × 3 mm2 magnets from Kertell). The 4 mL reaction mixture contained 75 mM of IPA as the amine donor, 100 mM Tris-HCl buffer at pH 7.5, and 2.5 mM of PLP. For the one-phase system, 10 mM of S was added as an amine acceptor, and 25% (v/v) of DMSO as a co-solvent.
To assess the inhibition effect of the amine, 5, 10, 15 and 20 mM of P were added at the start of the bioconversion system containing 4 mL of the above-mentioned reaction mixture.
For the two-phase system, 100 mM of S was added as an amine acceptor, and 1 mL of n-hexadecane was added as the organic phase to the 4 mL of aqueous phase. The lyophilized cell extract containing the ω-TA was rehydrated and incubated for 20 min in 100 mM Tris-HCL buffer pH 7.5 containing 2.5 mM of PLP at 30 °C. The hydrated biocatalyst was added to the reaction mixture to a final concentration of 1 g L−1 to start the reaction. In both single- and two-phase systems, 160 µL samples from the aqueous phase were collected in a microtube containing 320 µL of ethyl acetate and vigorously mixed for 5 min. Relatively to the two-phase system, 40 µL samples of the n-hexadecane phase were collected, diluted with 40 µL ethyl acetate, and vigorously mixed for 5 min. The organic solvent phase was dried with MgSO4 and analyzed by GC-MS.
3.4. Analytical Methods
The amine product and the unreacted amine acceptor concentrations from the transamination reactions were determined by GC-MS after extraction with ethyl acetate. The equipment used was an Agilent 7820A GC equipped with a 7693A autoinjector, and an Agilent 5977E quadrupole MS detector (all from Agilent Technologies, Santa Clara, CA, USA). The capillary column was an Agilent J&W Ultra-2, which worked at a constant flow of 1 mL min−1. The GC injector was set at 200 °C, the MS source at 230 °C, the MS quad at 150 °C, and the MSD transfer line at 280 °C. The separation of substrates and products was achieved by setting the oven at an initial temperature of 40 °C and increasing the temperature to 270 °C by 30 °C/min. Peak identification was carried out by the comparison of MS data with those of injected standards using the software Qualitative Analysis, whilst peak quantification was performed using Quantitative Analysis, both part of the MassHunter Workstation from Agilent. Calibration curves were generated using standards acquired to Sigma-Aldrich.
To assess the number and conformation of the product(s), the amine(s) was silylated using N-tert-butyldimethylsilyl-N-methyltrifluoroacetamide at 80 °C, as suggested [49,50]. The silylated product(s) was analyzed by GC-MS under the conditions stated above. Both the amine(s) and silylated derivative(s) were also analyzed by chiral-GC on a GC-2010 Plus GC (Shimadzu, Kyoto, Japan), equipped with a 25 m CP-Chirasil-Dex CB capillary column (inner diameter of 0.25 mm and a film thickness of 0.25 m from Agilent, USA). The injection temperature was 250 °C, whilst the oven temperature was set at 120 °C for 10 min and increased until 170 °C at a rate of 10 °C/min where, it was kept for 1 min. The detector was maintained at 200 °C. A polarimeter with a 10 mL column (from Optical Activity LTD, Huntingdon, UK) was used for enantiomer determination by the optical rotation of light.
4. Conclusions
Chiral amine production has been increasingly studied. These substances are unequivocally important active pharmaceutical ingredients. The search for greener processes, with high yields and efficient enantioselectivity, requires the development of novel biocatalysts and improved bioprocesses. The unexplored ocean may contain novel interesting enzymes with various activities, such as the TR8 reported in this study, which can be used to produce bulky chiral amines. We demonstrated the use of a cell extract containing ω-TA for the bioconversion of a bulky ketone with a trifluoro group into the (S)-enantiomer of a trifluoroamine. This one-step conversion proceeds under mild conditions and could provide an alternative to the metal catalyst route.
A one-phase aqueous system reached equilibrium after 18 h of reaction, possibly due to inhibition of the enzyme activity and/or to a shift in the thermodynamic equilibrium of the reaction. The implementation of an ISPR strategy for an organic:aqueous system decreased the product concentration in the aqueous phase by extraction to the organic phase, which also acted as a substrate reservoir. However, the substrate supply to the enzyme was reduced, making the addition of DMSO essential for increasing mass transfer of the substrate S to the enzyme in the aqueous phase. Under the optimal operational conditions for the two-phase system, the enzyme remained active for at least 62 h of operation, and more product was obtained than for the one-phase system. These results show that the enzyme may be able to be used for longer operating periods, while increasing amine production. The insights gained from process development may be valuable for future process applications of TA reactions.
Supplementary Materials
The following are available online at https://www.mdpi.com/2073-4344/11/3/307/s1, Figure S1: Effect of the initial quantity of cell extract containing TR8 on enzyme activity; Figure S2: Amount of P produced by TR8 after 1, 3 and 19 h of bioconversion at 30 and 60 °C; Figure S3: Effect of the initial concentration of P on TR8 activity; Figure S4: Effect of PLP concentration on the attained concentration of P under light and dark conditions.
Author Contributions
M.F. contributed to the production of the ω-TA. C.J.C.R. conducted the lab experiments. C.C.C.R.d.C. and C.J.C.R. designed the experiments, analyzed the data, and wrote the draft manuscript. All authors revised and improved the final text. All authors have read and agreed to the published version of the manuscript.
Funding
This research was funded by the European Union’s Horizon 2020 Research and Innovation Programme, grant agreement no. 634486 (Project INMARE), and by Fundação para a Ciência e a Tecnologia, Portugal, through program “FCT Investigator 2013” (IF/01203/2013/CP1163/CT0002) awarded to C.C.C.R.d.C., and FCT PhD fellowship (PD/BD/135140/2017) awarded to C.J.C.R. This work was also funded by grants PCIN-2017-078 (within the Marine Biotechnology ERA-NET) and BIO2017-85522-R from the Ministerio de Economía, Industria y Competitividad, Ministerio de Ciencia, Innovación y Universidades (MCIU), Agencia Estatal de Investigación (AEI), Fondo Europeo de Desarrollo Regional (FEDER) and European Union (EU).
Acknowledgments
The authors would also like to thank Rainhard Koch for helping to select the substrate and bioconversion to be tested, and Fernanda Carvalho for her help with polarimetry assays. The authors would like to acknowledge David Almendral and Cristina Coscolín for the preparation of cells expressing TR8.
Conflicts of Interest
The authors declare no conflict of interest.
References
- Sheldon, R.A.; Woodley, J.M. Role of Biocatalysis in Sustainable Chemistry. Chem. Rev. 2018, 118, 801–838. [Google Scholar] [CrossRef] [PubMed]
- Jarvis, E.A.A. Green chemistry in United States science policy. Green Chem. Lett. Rev. 2019, 12, 161–167. [Google Scholar] [CrossRef]
- Woodley, J.M. New frontiers in biocatalysis for sustainable synthesis. Curr. Opin. Green Sustain. Chem. 2020, 21, 22–26. [Google Scholar] [CrossRef]
- de Carvalho, C.C.C.R.; da Fonseca, M.M.R. 2.40-Biotransformations. In Comprehensive Biotechnology, 3rd ed.; Moo-Young, M., Ed.; Oxford: Pergamon, Turkey, 2017; pp. 574–585. [Google Scholar]
- de Carvalho, C.C.C.R. Whole cell biocatalysts: Essential workers from Nature to the industry. Microb. Biotechnol. 2017, 10, 250–263. [Google Scholar] [CrossRef]
- Choi, J.-M.; Han, S.-S.; Kim, H.-S. Industrial applications of enzyme biocatalysis: Current status and future aspects. Biotechnol. Adv. 2015, 33, 1443–1454. [Google Scholar] [CrossRef]
- Abdelraheem, E.M.M.; Busch, H.; Hanefeld, U.; Tonin, F. Biocatalysis explained: From pharmaceutical to bulk chemical production. React. Chem. Eng. 2019, 4, 1878–1894. [Google Scholar] [CrossRef]
- Chapman, J.; Ismail, A.E.; Dinu, C.Z. Industrial Applications of Enzymes: Recent Advances, Techniques, and Outlooks. Catalysts 2018, 8, 238. [Google Scholar] [CrossRef]
- Rodrigues, C.J.C.; Pereira, R.F.S.; Fernandes, P.; Cabral, J.M.S.; de Carvalho, C.C.C.R. Cultivation-based strategies to find efficient marine biocatalysts. Biotechnol. J. 2017, 12, 1700036. [Google Scholar] [CrossRef] [PubMed]
- Coscolín, C.; Katzke, N.; García-Moyano, A.; Navarro-Fernández, J.; Almendral, D.; Martínez-Martínez, M.; Bollinger, A.; Bargiela, R.; Gertler, C.; Chernikova, T.N.; et al. Bioprospecting Reveals Class III ω-Transaminases Converting Bulky Ketones and Environmentally Relevant Polyamines. Appl. Environ. Microbiol. 2019, 85, e02404–e02418. [Google Scholar] [CrossRef] [PubMed]
- Ferrer, M.; Méndez-García, C.; Bargiela, R.; Chow, J.; Alonso, S.; García-Moyano, A.; Bjerga, G.E.K.; Steen, I.H.; Schwabe, T.; Blom, C.; et al. Decoding the ocean’s microbiological secrets for marine enzyme biodiscovery. FEMS Microbiol. Lett. 2018, 366. [Google Scholar] [CrossRef]
- Bruno, S.; Coppola, D.; di Prisco, G.; Giordano, D.; Verde, C. Enzymes from Marine Polar Regions and Their Biotechnological Applications. Mar. Drugs 2019, 17, 36. [Google Scholar] [CrossRef] [PubMed]
- Kelly, S.A.; Pohle, S.; Wharry, S.; Mix, S.; Allen, C.C.R.; Moody, T.S.; Gilmore, B.F. Application of ω-Transaminases in the Pharmaceutical Industry. Chem. Rev. 2018, 118, 349–367. [Google Scholar] [CrossRef]
- Devine, P.N.; Howard, R.M.; Kumar, R.; Thompson, M.P.; Truppo, M.D.; Turner, N.J. Extending the application of biocatalysis to meet the challenges of drug development. Nat. Rev. Chem. 2018, 2, 409–421. [Google Scholar] [CrossRef]
- Ferrandi, E.E.; Monti, D. Amine transaminases in chiral amines synthesis: Recent advances and challenges. World J. Microbiol. Biotechnol. 2017, 34, 13. [Google Scholar] [CrossRef]
- Tang, X.-L.; Zhang, N.-N.; Ye, G.-Y.; Zheng, Y.-G. Efficient biosynthesis of (R)-3-amino-1-butanol by a novel (R)-selective transaminase from Actinobacteria sp. J. Biotechnol. 2019, 295, 49–54. [Google Scholar] [CrossRef]
- Trowbridge, A.; Walton, S.M.; Gaunt, M.J. New Strategies for the Transition-Metal Catalyzed Synthesis of Aliphatic Amines. Chem. Rev. 2020, 120, 2613–2692. [Google Scholar] [CrossRef]
- Ghislieri, D.; Turner, N.J. Biocatalytic Approaches to the Synthesis of Enantiomerically Pure Chiral Amines. Top. Catal. 2014, 57, 284–300. [Google Scholar] [CrossRef]
- Höhne, M.; Bornscheuer, U.T. Biocatalytic Routes to Optically Active Amines. ChemCatChem 2009, 1, 42–51. [Google Scholar] [CrossRef]
- Mathew, S.; Yun, H. ω-Transaminases for the Production of Optically Pure Amines and Unnatural Amino Acids. ACS Catal. 2012, 2, 993–1001. [Google Scholar] [CrossRef]
- Tufvesson, P.; Lima-Ramos, J.; Jensen, J.S.; Al-Haque, N.; Neto, W.; Woodley, J.M. Process considerations for the asymmetric synthesis of chiral amines using transaminases. Biotechnol. Bioeng. 2011, 108, 1479–1493. [Google Scholar] [CrossRef] [PubMed]
- Kelefiotis-Stratidakis, P.; Tyrikos-Ergas, T.; Pavlidis, I.V. The challenge of using isopropylamine as an amine donor in transaminase catalysed reactions. Org. Biomol. Chem. 2019, 17, 1634–1642. [Google Scholar] [CrossRef] [PubMed]
- Lye, G.J.; Woodley, J.M. Application of in situ product-removal techniques to biocatalytic processes. Trends Biotechnol. 1999, 17, 395–402. [Google Scholar] [CrossRef]
- de Carvalho, C.C.R.; van Keulen, F.; Manuela, M.; da Fonseca, R. Production and Recovery of Limonene-1,2-Diol and Simultaneous Resolution of a Diastereomeric Mixture of Limonene-1,2-Epoxide with whole Cells of Rhodococcus erythropolis DCL14. Biocatal. Biotransform. 2000, 18, 223–235. [Google Scholar] [CrossRef]
- Rehn, G.; Adlercreutz, P.; Grey, C. Supported liquid membrane as a novel tool for driving the equilibrium of ω-transaminase catalyzed asymmetric synthesis. J. Biotechnol. 2014, 179, 50–55. [Google Scholar] [CrossRef]
- Jeschke, P. The unique role of halogen substituents in the design of modern agrochemicals. Pest Manag. Sci. 2010, 66, 10–27. [Google Scholar] [CrossRef] [PubMed]
- Zhou, Y.; Wang, J.; Gu, Z.; Wang, S.; Zhu, W.; Aceña, J.L.; Soloshonok, V.A.; Izawa, K.; Liu, H. Next Generation of Fluorine-Containing Pharmaceuticals, Compounds Currently in Phase II–III Clinical Trials of Major Pharmaceutical Companies: New Structural Trends and Therapeutic Areas. Chem. Rev. 2016, 116, 422–518. [Google Scholar] [CrossRef]
- Wang, J.; Sanchez-Rosello, M.; Acena, J.L.; del Pozo, C.; Sorochinsky, A.E.; Fustero, S.; Soloshonok, V.A.; Liu, H. Fluorine in pharmaceutical industry: Fluorine-containing drugs introduced to the market in the last decade (2001–2011). Chem. Rev. 2014, 114, 2432–2506. [Google Scholar] [CrossRef]
- Yang, X.; Wu, T.; Phipps, R.J.; Toste, F.D. Advances in Catalytic Enantioselective Fluorination, Mono-, Di-, and Trifluoromethylation, and Trifluoromethylthiolation Reactions. Chem. Rev. 2015, 115, 826–870. [Google Scholar] [CrossRef]
- Hunter, L. The C–F bond as a conformational tool in organic and biological chemistry. Beilstein J. Org. Chem. 2010, 6, 38. [Google Scholar] [CrossRef]
- Savile, C.K.; Janey, J.M.; Mundorff, E.C.; Moore, J.C.; Tam, S.; Jarvis, W.R.; Colbeck, J.C.; Krebber, A.; Fleitz, F.J.; Brands, J.; et al. Biocatalytic asymmetric synthesis of chiral amines from ketones applied to sitagliptin manufacture. Science 2010, 329, 305–309. [Google Scholar] [CrossRef] [PubMed]
- Desai, A.A. Sitagliptin Manufacture: A Compelling Tale of Green Chemistry, Process Intensification, and Industrial Asymmetric Catalysis. Angew. Chem. Int. Ed. 2011, 50, 1974–1976. [Google Scholar] [CrossRef] [PubMed]
- Frodsham, L.; Golden, M.; Hard, S.; Kenworthy, M.N.; Klauber, D.J.; Leslie, K.; Macleod, C.; Meadows, R.E.; Mulholland, K.R.; Reilly, J.; et al. Use of ω-Transaminase Enzyme Chemistry in the Synthesis of a JAK2 Kinase Inhibitor. Org. Process Res. Dev. 2013, 17, 1123–1130. [Google Scholar] [CrossRef]
- Meadows, R.E.; Mulholland, K.R.; Schürmann, M.; Golden, M.; Kierkels, H.; Meulenbroeks, E.; Mink, D.; May, O.; Squire, C.; Straatman, H.; et al. Efficient Synthesis of (S)-1-(5-Fluoropyrimidin-2-yl)ethylamine Using an ω-Transaminase Biocatalyst in a Two-Phase System. Org. Process Res. Dev. 2013, 17, 1117–1122. [Google Scholar] [CrossRef]
- Han, X.; Zhang, J.; Zhang, Y.; Liu, J.; Fang, W.; Fang, Z.; Xiao, Y. Amphritea opalescens sp. nov., isolated from sediment adjacent to Fildes Peninsula, Antarctica. Int. J. Syst. Evol. Microbiol. 2019, 69, 1585–1590. [Google Scholar] [CrossRef]
- Jang, H.; Yang, S.-H.; Seo, H.-S.; Lee, J.-H.; Kim, S.-J.; Kwon, K.K. Amphritea spongicola sp. nov., isolated from a marine sponge, and emended description of the genus Amphritea. Int. J. Syst. Evol. Microbiol. 2015, 65, 1866–1870. [Google Scholar] [CrossRef]
- Kim, Y.-O.; Park, S.; Kim, D.N.; Nam, B.-H.; Won, S.-M.; An, D.H.; Yoon, J.-H. Amphritea ceti sp. nov., isolated from faeces of Beluga whale (Delphinapterus leucas). Int. J. Syst. Evol. Microbiol. 2014, 64, 4068–4072. [Google Scholar] [CrossRef] [PubMed]
- Rios-Solis, L.; Bayir, N.; Halim, M.; Du, C.; Ward, J.M.; Baganz, F.; Lye, G.J. Non-linear kinetic modelling of reversible bioconversions: Application to the transaminase catalyzed synthesis of chiral amino-alcohols. Biochem. Eng. J. 2013, 73, 38–48. [Google Scholar] [CrossRef]
- Chen, B.H.; Hibbert, E.G.; Dalby, P.A.; Woodley, J.M. A new approach to bioconversion reaction kinetic parameter identification. AICHE J. 2008, 54, 2155–2163. [Google Scholar] [CrossRef]
- Chen, S.; Campillo-Brocal, J.C.; Berglund, P.; Humble, M.S. Characterization of the stability of Vibrio fluvialis JS17 amine transaminase. J. Biotechnol. 2018, 282, 10–17. [Google Scholar] [CrossRef] [PubMed]
- Börner, T.; Rämisch, S.; Reddem, E.R.; Bartsch, S.; Vogel, A.; Thunnissen, A.-M.W.H.; Adlercreutz, P.; Grey, C. Explaining Operational Instability of Amine Transaminases: Substrate-Induced Inactivation Mechanism and Influence of Quaternary Structure on Enzyme–Cofactor Intermediate Stability. ACS Catal. 2017, 7, 1259–1269. [Google Scholar] [CrossRef]
- Skalden, L.; Peters, C.; Dickerhoff, J.; Nobili, A.; Joosten, H.-J.; Weisz, K.; Höhne, M.; Bornscheuer, U.T. Two Subtle Amino Acid Changes in a Transaminase Substantially Enhance or Invert Enantiopreference in Cascade Syntheses. ChemBioChem 2015, 16, 1041–1045. [Google Scholar] [CrossRef] [PubMed]
- de Carvalho, C.C.C.R.; da Fonseca, M.M.R. Maintenance of cell viability in the biotransformation of (−)-carveol with whole cells of Rhodococcus erythropolis. J. Mol. Catal. B Enzym. 2002, 19, 389–398. [Google Scholar] [CrossRef]
- Laane, C.; Boeren, S.; Vos, K.; Veeger, C. Rules for optimization of biocatalysis in organic solvents. Biotechnol. Bioeng. 1987, 30, 81–87. [Google Scholar] [CrossRef]
- Feng, Y.; Luo, Z.; Sun, G.; Chen, M.; Lai, J.; Lin, W.; Goldmann, S.; Zhang, L.; Wang, Z. Development of an Efficient and Scalable Biocatalytic Route to (3R)-3-Aminoazepane: A Pharmaceutically Important Intermediate. Org. Process Res. Dev. 2017, 21, 648–654. [Google Scholar] [CrossRef]
- Land, H.; Ruggieri, F.; Szekrenyi, A.; Fessner, W.-D.; Berglund, P. Engineering the Active Site of an (S)-Selective Amine Transaminase for Acceptance of Doubly Bulky Primary Amines. Adv. Synth. Catal. 2020, 362, 812–821. [Google Scholar] [CrossRef]
- Heintz, S.; Börner, T.; Ringborg, R.H.; Rehn, G.; Grey, C.; Nordblad, M.; Krühne, U.; Gernaey, K.V.; Adlercreutz, P.; Woodley, J.M. Development of in situ product removal strategies in biocatalysis applying scaled-down unit operations. Biotechnol. Bioeng. 2017, 114, 600–609. [Google Scholar] [CrossRef] [PubMed]
- Fellechner, O.; Blatkiewicz, M.; Smirnova, I. Reactive Separations for In Situ Product Removal of Enzymatic Reactions: A Review. Chem. Ing. Tech. 2019, 91, 1522–1543. [Google Scholar] [CrossRef]
- Moldoveanu, S.; David, V. Derivatization Methods in GC and GC/MS. In Gas Chromatography—Derivatization, Sample Preparation, Application; Kusch, P., Ed.; IntechOpen: London, UK, 2018. [Google Scholar] [CrossRef]
- Orata, F. Derivatization reactions and reagents for gas chromatography analysis. In Advanced Gas Chromatography—Progress in Agricultural, Biomedical and Industrial Applications; Mohd, M.A., Ed.; IntechOpen: London, UK, 2012. [Google Scholar] [CrossRef]
Publisher’s Note: MDPI stays neutral with regard to jurisdictional claims in published maps and institutional affiliations. |
© 2021 by the authors. Licensee MDPI, Basel, Switzerland. This article is an open access article distributed under the terms and conditions of the Creative Commons Attribution (CC BY) license (http://creativecommons.org/licenses/by/4.0/).




