W-Doped ZnO Photocatalyst for the Degradation of Glyphosate in Aqueous Solution
Abstract
1. Introduction
2. Results and Discussion
2.1. Catalyst Characterization
2.1.1. Raman Analysis
2.1.2. BET Surface Area
2.1.3. UV–Vis Diffuse Reflectance Spectra (UV–Vis DRS)
2.1.4. XRD Analysis
2.1.5. SEM Analysis
2.2. Photocatalytic Activity Results
2.2.1. Influence of W Amount
2.2.2. Influence of Different Light Sources
2.2.3. Influence of Catalyst Dosage
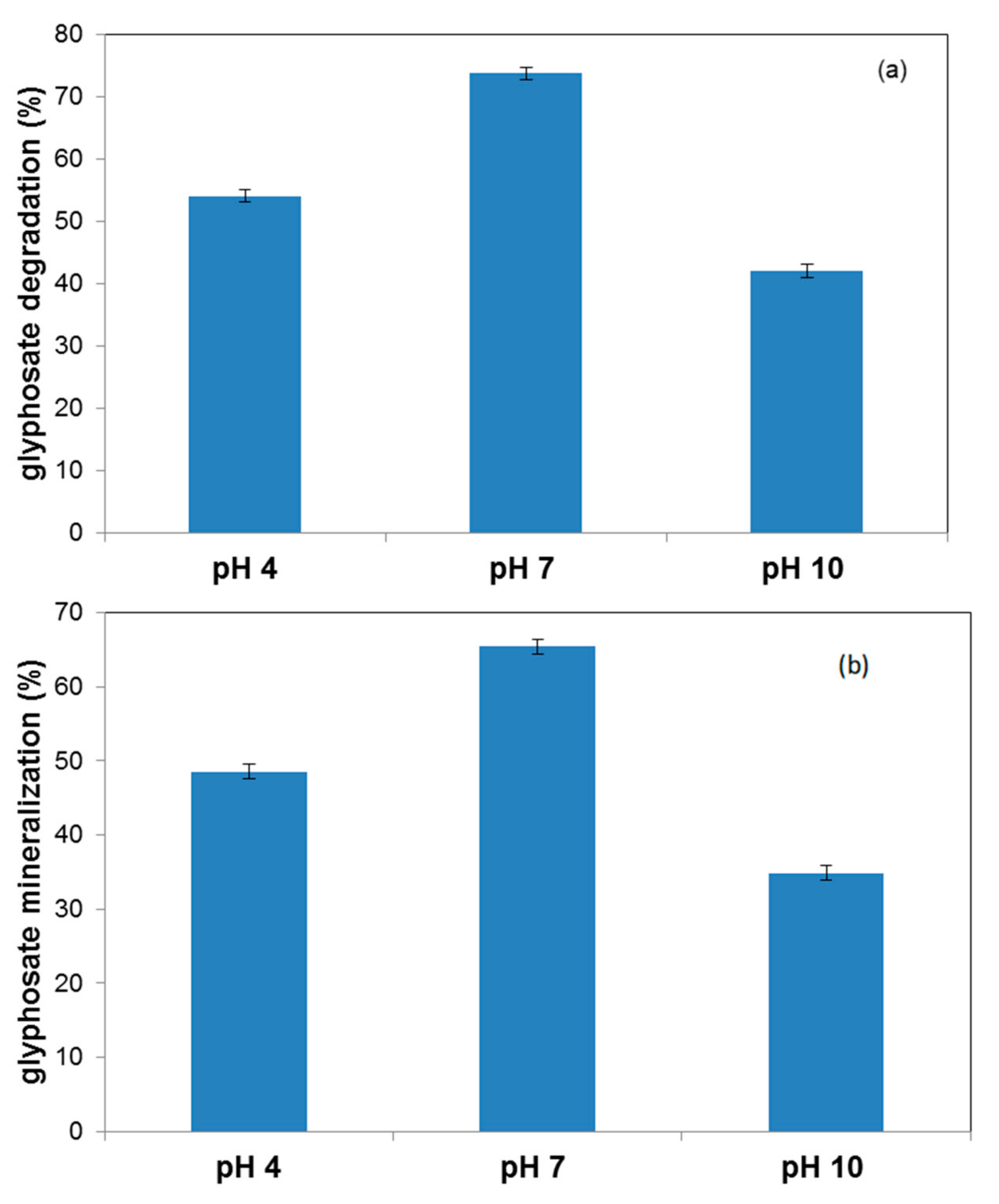
2.2.4. Influence of pH
- -
- acidic/photochemical corrosion of the catalyst;
- -
- alkaline dissolution (Equation (2)) and/or surface passivation with Zn(OH)2 (Equation (2)) [63]. Furthermore, Equation (2) can interfere with the formation of hydroxyl radicals by decreasing the availability of holes for water or surface OH− oxidation.
2.2.5. Influence of Scavengers
3. Material and Methods
3.1. Materials
3.2. Photocatalysts Preparation
3.2.1. Undoped ZnO
3.2.2. W-doped ZnO
- n W is the number of moles of W used in the synthesis calculated as:
- n H26N6O40W12 × 12;
- n Zn is the number of moles of Zn(CH3COO)2·2H2O used during the preparation;
3.3. Photocatalysts Characterization
3.4. Photocatalytic Experiments
3.5. Analytical Method for Glyphosate Quantification
4. Conclusions
Supplementary Materials
Author Contributions
Funding
Institutional Review Board Statement
Informed Consent Statement
Data Availability Statement
Conflicts of Interest
References
- Sivagami, K.; Krishna, R.R.; Swaminathan, T. Photo catalytic degradation of pesticides in immobilized bead photo reactor under solar irradiation. Sol. Energy 2014, 103, 488–493. [Google Scholar] [CrossRef]
- Costa, R.O.; Barcellos, P.S.; Canela, M.C.C. Removal of pesticide residues after conventional drinking water treatment: By-products and acetylcholinesterase inhibition. Eclét. Quím. J. 2018, 48, 65–73. [Google Scholar] [CrossRef]
- Vagı, M.; Petsas, A. Advanced oxidation processes for the removal of pesticides from wastewater: Recent review and trends. In Proceedings of the 15th International Conference on Environmental Science and Technology, CEST2017, Rhodes, Greece, 31 August–2 September 2017. [Google Scholar]
- Zobiole, L.H.S.; Kremer, R.; Oliveira, R.; Constantin, J. Glyphosate affects micro-organisms in rhizospheres of glyphosate-resistant soybeans. J. Appl. Microbiol. 2010, 110, 118–127. [Google Scholar] [CrossRef] [PubMed]
- Sandrini, J.Z.; Rola, R.C.; Lopes, F.M.; Buffon, H.F.; Freitas, M.M.; Martins, C.d.M.G.; Da Rosa, C.E. Effects of glyphosate on cho-linesterase activity of the mussel Perna perna and the fish Danio rerio and Jenynsia multidentata: In vitro studies. Aquat. Toxicol. 2013, 130, 171–173. [Google Scholar] [CrossRef] [PubMed]
- Chen, S.; Liu, Y. Study on the photocatalytic degradation of glyphosate by TiO2 photocatalyst. Chemosphere 2007, 67, 1010–1017. [Google Scholar] [CrossRef]
- Marin, P.; Bergamasco, R.; Módenes, A.N.; Paraiso, P.R.; Hamoudi, S. Synthesis and characterization of graphene oxide func-tionalized with MnFe2O4 and supported on activated carbon for glyphosate adsorption in fixed bed column. Process Saf. Environ. Prot. 2019, 123, 59–71. [Google Scholar] [CrossRef]
- Tran, N.; Drogui, P.; Doan, T.L.; Le, T.S.; Nguyen, H.C. Electrochemical degradation and mineralization of glyphosate herbicide. Environ. Technol. 2017, 38, 2939–2948. [Google Scholar] [CrossRef]
- Villamar-Ayala, C.A.; Carrera-Cevallos, J.V.; Vasquez-Medrano, R.; Espinoza-Montero, P.J. Fate, eco-toxicological character-istics, and treatment processes applied to water polluted with glyphosate: A critical review. Crit. Rev. Environ. Sci. Technol. 2019, 49, 1476–1514. [Google Scholar] [CrossRef]
- Iervolino, G.; Vaiano, V.; Sannino, D.; Rizzo, L.; Sarno, G.; Ciambelli, P.; Isupova, L. Influence of operating conditions in the photo-Fenton removal of tartrazine on structured catalysts. Chem. Eng. Trans. 2015, 43, 979–984. [Google Scholar]
- Iervolino, G.; Zammit, I.; Vaiano, V.; Rizzo, L. Limitations and Prospects for Wastewater Treatment by UV and Visi-ble-Light-Active Heterogeneous Photocatalysis: A Critical Review. Top. Curr. Chem. 2020, 378, 7. [Google Scholar] [CrossRef] [PubMed]
- Malakootian, M.; Shahesmaeili, A.; Faraji, M.; Amiri, H.; Martínez, S.S. Advanced oxidation processes for the removal of organophosphorus pesticides in aqueous matrices: A systematic review and meta-analysis. Process Saf. Environ. Prot. 2020, 134, 292–307. [Google Scholar] [CrossRef]
- Zuorro, A.; Lavecchia, R.; Monaco, M.M.; Iervolino, G.; Vaiano, V. Photocatalytic Degradation of Azo Dye Reactive Violet 5 on Fe-Doped Titania Catalysts under Visible Light Irradiation. Catalysts 2019, 9, 645. [Google Scholar] [CrossRef]
- Feng, C.; Deng, Y.; Tang, L.; Zeng, G.; Wang, J.; Yu, J.; Liu, Y.; Peng, B.; Feng, H.; Wang, J. Core-shell Ag2CrO4/N-GQDs@g-C3N4 composites with anti-photocorrosion performance for enhanced full-spectrum-light photocatalytic activities. Appl. Catal. B Environ. 2018, 239, 525–536. [Google Scholar] [CrossRef]
- Feng, C.; Tang, L.; Deng, Y.; Wang, J.; Liu, Y.; Ouyang, X.; Chen, Z.; Yang, H.; Yu, J.; Wang, J. Maintaining stable LSPR performance of W18O49 by protecting its oxygen vacancy: A novel strategy for achieving durable sunlight driven photocatalysis. Appl. Catal. B Environ. 2020, 276, 119167. [Google Scholar] [CrossRef]
- Feng, C.; Tang, L.; Deng, Y.; Wang, J.; Tang, W.; Liu, Y.; Chen, Z.; Yu, J.; Wang, J.; Liang, Q. Synthesis of branched WO3@W18O49 homojunction with enhanced interfacial charge separation and full-spectrum photocatalytic performance. Chem. Eng. J. 2020, 389, 124474. [Google Scholar] [CrossRef]
- Tang, L.; Feng, C.; Deng, Y.; Zeng, G.; Wang, J.; Liu, Y.; Feng, H.; Wang, J. Enhanced photocatalytic activity of ternary Ag/g-C3N4/NaTaO3 photocatalysts under wide spectrum light radiation: The high potential band protection mechanism. Appl. Catal. B Environ. 2018, 230, 102–114. [Google Scholar] [CrossRef]
- Chen, J.Q.; Hu, Z.J.; Wang, N.X. Photocatalytic mineralization of glyphosate in a small-scale plug flow simulation reactor by UV/TiO2. J. Environ. Sci. Health Part B 2012, 47, 579–588. [Google Scholar] [CrossRef]
- Chen, Y.; Wu, F.; Lin, Y.; Deng, N.; Bazhin, N.; Glebov, E. Photodegradation of glyphosate in the ferrioxalate system. J. Hazard. Mater. 2007, 148, 360–365. [Google Scholar] [CrossRef]
- Echavia, G.R.M.; Matzusawa, F.; Negishi, N. Photocatalytic degradation of organophosphate and phosphonoglycine pesticides using TiO2 immobilized on silica gel. Chemosphere 2009, 76, 595–600. [Google Scholar] [CrossRef] [PubMed]
- Hosseini, N.; Toosi, M.R. Combined adsorption process and photocatalytic degradation of some commercial herbicides over N-doped TiO2 particles supported on recyclable magnetic hexagonal mesoporous silica. Sep. Sci. Technol. 2018, 54, 1697–1709. [Google Scholar] [CrossRef]
- Muneer, M.; Boxall, C. Photocatalyzed Degradation of a Pesticide Derivative Glyphosate in Aqueous Suspensions of Titanium Dioxide. Int. J. Photoenergy 2008, 2008, 1–7. [Google Scholar] [CrossRef]
- Umar, K.; Aris, A.; Ahmad, H.; Parveen, T.; Jaafar, J.; Majid, Z.A.; Reddy, A.V.B.; Talib, J. Synthesis of visible light active doped TiO2 for the degradation of organic pollutants—Methylene blue and glyphosate. J. Anal. Sci. Technol. 2016, 7, 725. [Google Scholar] [CrossRef]
- Xue, W.; Zhang, G.; Xu, X.; Yang, X.; Liu, C.; Xu, Y. Preparation of titania nanotubes doped with cerium and their photocatalytic activity for glyphosate. Chem. Eng. J. 2011, 167, 397–402. [Google Scholar] [CrossRef]
- Yang, Y.; Deng, Q.; Zhang, Y. Comparative study of low-index {1 0 1}-TiO2,{0 0 1}-TiO2,{1 0 0}-TiO2 and high-index {2 0 1}-TiO2 on glyphosate adsorption and photo-degradation. Chem. Eng. J. 2019, 360, 1247–1254. [Google Scholar] [CrossRef]
- Iervolino, G.; Vaiano, V.; Rizzo, L.; Sarno, G.; Farina, A.; Sannino, D. Removal of arsenic from drinking water by photo-catalytic oxidation on MoOx/TiO2 and adsorption on γ-Al2O3. J. Chem. Technol. Biotechnol. 2014, 91, 88–95. [Google Scholar] [CrossRef]
- Khassin, A.A.; Yurieva, T.M.; Kaichev, V.V.; Bukhtiyarov, V.I.; Budneva, A.A.; Paukshtis, E.A.; Parmon, V.N. Metal–support interactions in cobalt-aluminum co-precipitated catalysts: XPS and CO adsorption studies. J. Mol. Catal. A Chem. 2001, 175, 189–204. [Google Scholar] [CrossRef]
- Lee, J.C.; Park, S.; Park, H.-J.; Lee, J.-H.; Kim, H.-S.; Chung, Y.-J. Photocatalytic degradation of TOC from aqueous phenol solution using solution combusted ZnO nanopowders. J. Electroceramics 2009, 22, 110–113. [Google Scholar] [CrossRef]
- Muruganandham, M.; Wu, J.J. Synthesis, characterization and catalytic activity of easily recyclable zinc oxide nanobundles. Appl. Catal. B Environ. 2008, 80, 32–41. [Google Scholar] [CrossRef]
- Zammit, I.; Vaiano, V.; Iervolino, G.; Rizzo, L. Inactivation of an urban wastewater indigenous: Escherichia coli strain by cerium doped zinc oxide photocatalysis. RSC Adv. 2018, 8, 26124–26132. [Google Scholar] [CrossRef]
- Vitiello, G.; Iervolino, G.; Imparato, C.; Rea, I.; Borbone, F.; De Stefano, L.; Aronne, A.; Vaiano, V. F-doped ZnO nano- and meso-crystals with enhanced photocatalytic activity in diclofenac degradation. Sci. Total Environ. 2021, 762, 143066. [Google Scholar] [CrossRef]
- Vaiano, V.; Iervolino, G. Facile method to immobilize ZnO particles on glass spheres for the photocatalytic treatment of tannery wastewater. J. Colloid Interface Sci. 2018, 518, 192–199. [Google Scholar] [CrossRef]
- Vaiano, V.; Iervolino, G.; Rizzo, L. Cu-doped ZnO as efficient photocatalyst for the oxidation of arsenite to arsenate under visible light. Appl. Catal. B Environ. 2018, 238, 471–479. [Google Scholar] [CrossRef]
- Vaiano, V.; Chianese, L.; Rizzo, L.; Iervolino, G. Visible light driven oxidation of arsenite to arsenate in aqueous solution using Cu-doped ZnO supported on polystyrene pellets. Catal. Today 2021, 361, 69–76. [Google Scholar] [CrossRef]
- Bora, L.V.; Mewada, R.K. Visible/solar light active photocatalysts for organic effluent treatment: Fundamentals, mechanisms and parametric review. Renew. Sustain. Energy Rev. 2017, 76, 1393–1421. [Google Scholar] [CrossRef]
- Sun, J.-H.; Dong, S.-Y.; Feng, J.-L.; Yin, X.-J.; Zhao, X.-C. Enhanced sunlight photocatalytic performance of Sn-doped ZnO for Methylene Blue degradation. J. Mol. Catal. A Chem. 2011, 335, 145–150. [Google Scholar] [CrossRef]
- Pelaez, M.; Nolan, N.T.; Pillai, S.C.; Seery, M.K.; Falaras, P.; Kontos, A.G.; Dunlop, P.S.; Hamilton, J.W.; Byrne, J.; O’Shea, K.; et al. A review on the visible light active titanium dioxide photocatalysts for environmental applications. Appl. Catal. B Environ. 2012, 125, 331–349. [Google Scholar] [CrossRef]
- Cao, L.; Ma, D.; Zhou, Z.; Xu, C.; Cao, C.; Zhao, P.; Huang, Q. Efficient photocatalytic degradation of herbicide glyphosate in water by magnetically separable and recyclable BiOBr/Fe3O4 nanocomposites under visible light irradiation. Chem. Eng. J. 2019, 368, 212–222. [Google Scholar] [CrossRef]
- Bechambi, O.; Sayadi, S.; Najjar, W. Photocatalytic degradation of bisphenol A in the presence of C-doped ZnO: Effect of op-erational parameters and photodegradation mechanism. J. Ind. Eng. Chem. 2015, 32, 201–210. [Google Scholar] [CrossRef]
- Hanh, N.T.; Tri, N.L.M.; Van Thuan, D.; Tung, M.H.T.; Pham, T.-D.; Minh, T.D.; Trang, H.T.; Binh, M.T.; Nguyen, M.V. Mono-crotophos pesticide effectively removed by novel visible light driven Cu doped ZnO photocatalyst. J. Photochem. Photobiol. A Chem. 2019, 382, 111923. [Google Scholar] [CrossRef]
- Zong, Y.; Li, Z.; Wang, X.; Ma, J.; Men, Y. Synthesis and high photocatalytic activity of Eu-doped ZnO nanoparticles. Ceram. Int. 2014, 40, 10375–10382. [Google Scholar] [CrossRef]
- Chen, D.; Gao, L.; Yasumori, A.; Kuroda, K.; Sugahara, Y. Size-and Shape-Controlled Conversion of Tungstate-Based Inorganic–Organic Hybrid Belts to WO3 Nanoplates with High Specific Surface Areas. Small 2008, 4, 1813–1822. [Google Scholar] [CrossRef] [PubMed]
- Chen, D.; Ye, J. Hierarchical WO3 Hollow Shells: Dendrite, Sphere, Dumbbell, and Their Photocatalytic Properties. Adv. Funct. Mater. 2008, 18, 1922–1928. [Google Scholar] [CrossRef]
- Wang, W.; Tadé, M.O.; Shao, Z. Research progress of perovskite materials in photocatalysis- and photovoltaics-related energy conversion and environmental treatment. Chem. Soc. Rev. 2015, 44, 5371–5408. [Google Scholar] [CrossRef] [PubMed]
- Chang, X.; Sun, S.; Xu, X.; Li, Z. Synthesis of transition metal-doped tungsten oxide nanostructures and their optical properties. Mater. Lett. 2011, 65, 1710–1712. [Google Scholar] [CrossRef]
- Li, D.; Haneda, H.; Ohashi, N.; Hishita, S.; Yoshikawa, Y. Synthesis of nanosized nitrogen-containing MOx–ZnO (M= W, V, Fe) composite powders by spray pyrolysis and their visible-light-driven photocatalysis in gas-phase acetaldehyde decomposition. Catal. Today 2004, 93, 895–901. [Google Scholar] [CrossRef]
- Moafi, H.F.; Zanjanchi, M.A.; Fallah, S.A. Tungsten-doped ZnO nanocomposite: Synthesis, characterization, and highly active photocatalyst toward dye photodegradation. Mater. Chem. Phys. 2013, 139, 856–864. [Google Scholar] [CrossRef]
- Subash, B.; Krishnakumar, B.; Swaminathan, M.; Shanthi, M. Enhanced photocatalytic performance of WO3 loaded Ag–ZnO for Acid Black 1 degradation by UV–A light. J. Mol. Catal. A Chem. 2013, 366, 54–63. [Google Scholar] [CrossRef]
- Shuo-wei, Z. Study on the Photocatalytic Degradation of Failure Glyphosate Pesticide by ZnO Nanoparticle. J. Agro-Environ. Sci. 2012, 1. [Google Scholar]
- Faisal, M.; Ismail, A.A.; Ibrahim, A.A.; Bouzid, H.; Al-Sayari, S.A. Highly efficient photocatalyst based on Ce doped ZnO na-norods: Controllable synthesis and enhanced photocatalytic activity. Chem. Eng. J. 2013, 229, 225–233. [Google Scholar] [CrossRef]
- Reddy, A.J.; Kokila, M.; Nagabhushana, H.; Rao, J.; Shivakumara, C.; Nagabhushana, B.; Chakradhar, R. Combustion synthesis, characterization and Raman studies of ZnO nanopowders. Spectrochim. Acta Part A Mol. Biomol. Spectrosc. 2011, 81, 53–58. [Google Scholar] [CrossRef] [PubMed]
- Farid, S.; Mukherjee, S.; Sarkar, K.; Stroscio, M.A.; Dutta, M. Indium Dopant Concentration Effects on Zinc Oxide Nanowires. J. Phys. Chem. A 2019, 123, 8690–8695. [Google Scholar] [CrossRef]
- Horzum, S.; Iyikanat, F.; Senger, R.T.; Çelebi, C.; Sbeta, M.; Yildiz, A.; Serin, T. Monitoring the characteristic properties of Ga-doped ZnO by Raman spectroscopy and atomic scale calculations. J. Mol. Struct. 2019, 1180, 505–511. [Google Scholar] [CrossRef]
- Awan, S.U.; Hasanain, S.K.; Awan, M.S.; Shah, S.A. Raman scattering and interstitial Li defects induced polarization in co-doped multiferroic Zn0.96-yCo0.04LiyO (0.00 ≤ y ≤ 0.10) nanoparticles. RSC Adv. 2015, 5, 39828–39839. [Google Scholar] [CrossRef]
- Pal, U.; Kim, C.W.; Jadhav, N.A.; Kang, Y.S. Ultrasound-Assisted Synthesis of Mesoporous ZnO Nanostructures of Different Porosities. J. Phys. Chem. C 2009, 113, 14676–14680. [Google Scholar] [CrossRef]
- Ba-Abbad, M.M.; Kadhum, A.A.H.; Mohamad, A.B.; Takriff, M.S.; Sopian, K. Visible light photocatalytic activity of Fe3+-doped ZnO nanoparticle prepared via sol–gel technique. Chemosphere 2013, 91, 1604–1611. [Google Scholar] [CrossRef] [PubMed]
- Zhang, L.; Yang, Y.; Fan, R.; Yu, J.; Li, L. Improving the efficiency of ZnO-based dye-sensitized solar cells by Pr and N co-doping. J. Mater. Chem. A 2003, 1, 12066–12073. [Google Scholar] [CrossRef]
- Ngom, B.; Mpahane, T.; Manyala, N.; Nemraoui, O.; Buttner, U.; Kana, J.; Fasasi, A.; Maaza, M.; Beye, A. Structural and optical properties of nano-structured tungsten-doped ZnO thin films grown by pulsed laser deposition. Appl. Surf. Sci. 2009, 255, 4153–4158. [Google Scholar] [CrossRef]
- Assalin, M.R.; De Moraes, S.G.; Queiroz, S.C.N.; Ferracini, V.L.; Duran, N. Studies on degradation of glyphosate by several oxidative chemical processes: Ozonation, photolysis and heterogeneous photocatalysis. J. Environ. Sci. Heal. Part B 2009, 45, 89–94. [Google Scholar] [CrossRef]
- Xu, X.; Ji, F.; Fan, Z.; He, L. Degradation of glyphosate in soil photocatalyzed by Fe3O4/SiO2/TiO2 under solar light. Int. J. Environ. Res. Public Health 2011, 8, 1258–1270. [Google Scholar] [CrossRef] [PubMed]
- Anandan, S.; Vinu, A.; Lovely, K.S.; Gokulakrishnan, N.; Srinivasu, P.; Mori, T.; Murugesan, V.; Sivamurugan, V.; Ariga, K. Pho-tocatalytic activity of La-doped ZnO for the degradation of monocrotophos in aqueous suspension. J. Mol. Catal. A Chem. 2007, 266, 149–157. [Google Scholar] [CrossRef]
- Daskalaki, V.M.; Kondarides, D.I. Efficient production of hydrogen by photo-induced reforming of glycerol at ambient con-ditions. Catal. Today 2009, 144, 75–80. [Google Scholar] [CrossRef]
- Daneshvar, N.; Salari, D.; Khataee, A. Photocatalytic degradation of azo dye acid red 14 in water on ZnO as an alternative catalyst to TiO2. J. Photochem. Photobiol. A Chem. 2004, 162, 317–322. [Google Scholar] [CrossRef]
- Comparelli, R.; Fanizza, E.; Curri, M.; Cozzoli, P.; Mascolo, G.; Agostiano, A. UV-induced photocatalytic degradation of azo dyes by organic-capped ZnO nanocrystals immobilized onto substrates. Appl. Catal. B Environ. 2005, 60, 1–11. [Google Scholar] [CrossRef]
- Iervolino, G.; Vaiano, V.; Sannino, D.; Rizzo, L.; Palma, V. Enhanced photocatalytic hydrogen production from glucose aqueous matrices on Ru-doped LaFeO3. Appl. Catal. B Environ. 2017, 207, 182–194. [Google Scholar] [CrossRef]
- Bhaskara, B.L.; Nagaraja, P. Direct sensitive spectrophotometric determination of glyphosate by using ninhydrin as a chro-mogenic reagent in formulations and environmental water samples. Helv. Chim. Acta 2006, 89, 2686–2693. [Google Scholar] [CrossRef]











| Photocatalyst | W Nominal Amount (mol%) | W Measured Amount (XRF) (mol%) | SSA 1 (m2/g) | Band Gap Energy (eV) | Crystallinity Size 2 (nm) |
|---|---|---|---|---|---|
| ZnO | 0 | 0 | 6 | 3.23 | 39.82 |
| 50 W-ZnO | 0.7 | 0.65 | 12 | 3.22 | - |
| 75 W-ZnO | 1.1 | 1.15 | 13 | 3.22 | - |
| 100 W-ZnO | 1.5 | 1.6 | 13 | 3.21 | 38.02 |
| 200 W-ZnO | 2.9 | 2.85 | 17 | 3.19 | - |
Publisher’s Note: MDPI stays neutral with regard to jurisdictional claims in published maps and institutional affiliations. |
© 2021 by the authors. Licensee MDPI, Basel, Switzerland. This article is an open access article distributed under the terms and conditions of the Creative Commons Attribution (CC BY) license (http://creativecommons.org/licenses/by/4.0/).
Share and Cite
Russo, M.; Iervolino, G.; Vaiano, V. W-Doped ZnO Photocatalyst for the Degradation of Glyphosate in Aqueous Solution. Catalysts 2021, 11, 234. https://doi.org/10.3390/catal11020234
Russo M, Iervolino G, Vaiano V. W-Doped ZnO Photocatalyst for the Degradation of Glyphosate in Aqueous Solution. Catalysts. 2021; 11(2):234. https://doi.org/10.3390/catal11020234
Chicago/Turabian StyleRusso, Mariaconcetta, Giuseppina Iervolino, and Vincenzo Vaiano. 2021. "W-Doped ZnO Photocatalyst for the Degradation of Glyphosate in Aqueous Solution" Catalysts 11, no. 2: 234. https://doi.org/10.3390/catal11020234
APA StyleRusso, M., Iervolino, G., & Vaiano, V. (2021). W-Doped ZnO Photocatalyst for the Degradation of Glyphosate in Aqueous Solution. Catalysts, 11(2), 234. https://doi.org/10.3390/catal11020234

