Abstract
The review describes articles that provide data on the synthesis and study of the properties of catalysts for the oxidation of alkanes, olefins, and alcohols. These catalysts are polynuclear complexes of iron, copper, osmium, nickel, manganese, cobalt, vanadium. Such complexes for example are: [Fe2(HPTB)(m-OH)(NO3)2](NO3)2·CH3OH·2H2O, where HPTB-¼N,N,N0,N0-tetrakis(2-benzimidazolylmethyl)-2-hydroxo-1,3-diaminopropane; complex [(PhSiO1,5)6]2[CuO]4[NaO0.5]4[dppmO2]2, where dppm-1,1-bis(diphenylphosphino)methane; (2,3-η-1,4-diphenylbut-2-en-1,4-dione)undecacarbonyl triangulotriosmium; phenylsilsesquioxane [(PhSiO1.5)10(CoO)5(NaOH)]; bi- and tri-nuclear oxidovanadium(V) complexes [{VO(OEt)(EtOH)}2(L2)] and [{VO(OMe)(H2O)}3(L3)]·2H2O (L2 = bis(2-hydroxybenzylidene)terephthalohydrazide and L3 = tris(2-hydroxybenzylidene)benzene-1,3,5-tricarbohydrazide); [Mn2L2O3][PF6]2 (L = 1,4,7-trimethyl-1,4,7-triazacyclononane). For comparison, articles are introduced describing catalysts for the oxidation of alkanes and alcohols with peroxides, which are simple metal salts or mononuclear metal complexes. In many cases, polynuclear complexes exhibit higher activity compared to mononuclear complexes and exhibit increased regioselectivity, for example, in the oxidation of linear alkanes. The review contains a description of some of the mechanisms of catalytic reactions. Additionally presented are articles comparing the rates of oxidation of solvents and substrates under oxidizing conditions for various catalyst structures, which allows researchers to conclude about the nature of the oxidizing species. This review is focused on recent works, as well as review articles and own original studies of the authors.
1. Introduction
Hydrocarbons, in particular, saturated hydrocarbons (alkanes) are the main constituents of petroleum and natural gas. These compounds are raw materials for the chemical industry in production of polymers, pharmaceuticals, fragrances, fuels, etc. One of the ways of converting hydrocarbons is catalytic oxygenation with formation of alcohols, ketones, aldehydes, carboxylic acids, and alkyl peroxides. Usually these processes are carried out under severe conditions (high temperature and pressure using heterogeneous catalysts). New catalytic systems for the oxidation of organic compounds with peroxides were described in recent decades (see reviews) [1,2,3,4,5,6,7,8,9,10,11,12,13]. Hydrogen peroxide, alkyl peroxides, peroxy acids, Oxone, as well as molecular oxygen were used in these reactions as oxidants. Derivatives of transition metals are widely employed in such reactions. These reactions are carried out under mild conditions (at low temperatures, even at room temperature; atmospheric pressure and often using environmentally friendly solvents such as water and alcohols). Polynuclear complexes are especially interesting catalysts [14,15]. Indeed, these compounds can in many cases exhibit higher catalytic activity in comparison with simple mononuclear complexes and they oxygenate long and branched alkanes with enhanced selectivity [16,17]. Most frequently such reactions proceed with the formation of radical intermediate species such as hydroxyl radicals [1,2]. A comparison of such catalytic systems for the oxidation of hydrocarbons with simple catalysts—mononuclear complexes or metal salts, is interesting, because the comparison can shed light on the features of oxidation mechanisms.
2. Oxidations Catalyzed by Soluble Polynuclear Compounds
This Chapter describes oxidation of organic compounds with peroxides catalyzed by di- and polynuclear metal complexes and (as comparison) by some mononuclear complexes of transition metals. Polynuclear complexes are of particular interest both from a practical and an academic point of view, since such compounds can have increased catalytic activity and exhibit unique selectivity in the oxidation of organic compounds, in particular, alkanes.
2.1. Oxidation Catalyzed by Iron Complexes
Iron ions have been known for a long time as initiators and catalysts for the decomposition of hydrogen peroxide [1,18]. Thus, the reaction of H2O2 with Fe+2 gives hydroxyl radicals and Fe(+3) (stoichiometric Fenton reaction). The interaction of Fe+3 with H2O2 causes formation of hydroxyl radicals and Fe+2. The resulting Fe+2 ion is further involved into a catalytic cycle of generating hydroxyl radicals with an intermediate participation of the Fenton reaction. Hydroxyl radicals attack organic compounds, for example, with the abstraction of a hydrogen atom. The abstraction of a hydrogen atom from a saturated hydrocarbon (RH) gives rise to an unstable alkyl radical(R•). The latter attaches an O2 molecule from atmosphere, ultimately forming a relatively stable alkyl hydroperoxide (ROOH) [1].
The formation of alkyl hydroperoxide in the reaction of the binuclear complex 1 [Fe2(HPTB)(μ-OH)(NO3)2](NO3)2·CH3OH·2H2O [HPTB = N,N,N′,N′-tetrakis(2-benzimidazolylmethyl)-2-hydroxo-1,3-diaminopropane] [19] containing the 1,4,7-triazacyclononane ligand turned out to be almost inactive as a catalyst in the cyclohexane oxidation with H2O2 at room temperature. However, the addition of a comparatively small amount of 2-pyrazinecarboxylic acid (PCA), to the reaction solution causes intense alkane oxidation (Figure 1) to form cyclohexyl hydroperoxide which decomposes during the reaction to produce the corresponding cyclohexanone and cyclohexanol. Total turnover number (TON) attained was 240 after 24 h. In kinetic measurements the authors determined only the concentrations of the ketone and the alcohol after the reduction with triphenylphosphine. The iron (III) complex 1 was used as catalyst.
Figure 1.
Compound 1 in the absence (curves a) and in the presence of PCA; (curves b) in MeCN at 25 °C. catalyzed the oxidation of cyclohexane by H2O2 (0.59 M) Accumulation of cyclohexanol (curves 1b) and cyclohexanone (curves 2b) (concentrations were measured after the reduction with PPh3, used method by Shul’pin, which is in comparison with the concentrations of alcohol and ketone in solution samples before and after adding PPh3) are shown. The data are adapted from [19], Copyright (2004) with permission of Wiley.
Another binuclear iron complex 2 [20] also requires the presence of 2-pyrazinecarboxylic acid (PCA) for the oxidation of alkanes. The accumulation of products during oxidation with hydrogen peroxide catalyzed by complex 2 is shown in Figure 2. As you can see, 2-pyrazinic acid has a dramatic effect on the reaction rate and product yield. As can be seen in the Figure 2, other acids are much less effective in accelerating the reaction compared to 2-pyrazinecarboxylic acid.

Figure 2.
Accumulation of sum of oxygenates (predominantly cyclohexyl hydroperoxide) in the reaction of cyclohexane with hydrogen peroxide (in acetonitrile at 25 °C catalysed by complex 2 in the absence of additives (curve 1) and in the presence of aminoacids: PCA (2), pyrazine-2,3-dicarboxylic acid (3), picolinic acid (4), and pyridine-2,6-dicarboxylic acid (5). Adapted from [20] Copyright (2002), with permission of Elsevier.
In works [21,22,23,24,25,26,27,28,29,30,31,32,33,34,35,36] other polynuclear iron complexes have been described. The oxidation of cyclohexane by H2O2 and tert-butyl hydroperoxide under catalysis by binuclear iron complexes [(SO4)(L)Fe(μ-O)Fe(L)(SO4)]·6H2O, 3, and [Cl(L)Fe(μ-O)Fe(L)Cl]Cl2·2H2O, 4; 1-(bis-pyridin-2-ylmethylamino)-3-chloropropan-2-ol (L) have been described [21]. The electrochemical analysis showed that the dinuclear species is more stable under reduction in compound 3 than in compound 4. It was found that compound 4 is more active than compound 3 in oxidation cyclohexane with hydrogen peroxide in acetonitrile at 50 degrees.
Oxidation of alkanes with m-chloroperoxybenzoic acid catalyzed by binuclear iron complexes non-heme μ-oxo-bridged diiron(III) complexes [Fe2(μ-O)(L1)2], where H2(L1) is N,N′-o-phenylenebis(salicylideneimine), [Fe2(μ-O)(L2)2]·2H2O, where H2(L2) is N,N′-o-phenylenebis(3,5-di-tert-butylsalicylideneimine), and [Fe2(μ-O)(L3)2], where H2(L3) = 1,4-bis(2-hydroxybenzyl)-1,4-diazepane, occurs with the intermediate formation of the complex [Fe2 (O) (L2) 2 (OOR)] and leads mainly to the formation of alcohols and a small amount of ketones [22].
Remarkable results were obtained in the oxidations of alkanes by hydrogen peroxide catalyzed by N-bridged diiron phthalocyanine complex ((FePc tBu4)2N [23], especially very inert methane and ethane. Reactions were performed in MeCN. Formic acid was the main product of the oxidation of methane. Kinetic analysis showed that the ratio of the rates of oxidation of acetonitrile and methane is incompatible with the concept of the participation of the hydroxyl radical in this process. Water was also investigated in this reaction as a solvent. m-nitrido complex was supported onto silica. Heterogeneous oxidations of CH4 were performed in pure H2O. In this case, the following mechanism was tentatively proposed. In the first stage, (FePBu4)2N coordinates H2O2 to form hydroperoxo complex FeIVNFeIIIOOH which is probably in equilibrium with the deprotonated form FeIVNFeIIIOO−. The heterolytic cleavage of the O–O bond in FeIVNFeIIIOOH complex and the formation of very strong oxidizing FeIVNFeV=O species was favored in the presence of acid by the protonation of peroxide oxygen.
μ-nitrido diiron phthalocyanine activates H2O2 to oxidize CH4 in water at 25–60 °C to methanol, formaldehyde and formic acid as evidenced. The similar binuclear porphyrin iron complex was also used in the oxidation of methane with m-chloroperoxybenzoic acid [24]. It is assumed that oxidation with binuclear complex proceeds with the intermediate formation N-bridged high-valent diiron–oxo species.
The diiron–oxo complex demonstrated significantly stronger oxidizing properties than similar mononuclear complex [(TMP†þ)Fe(IV)(O)]þ (TMP ¼tetramesitylporphyrin) [25].
It is not uninteresting to note that iron mononuclear complex [FeII(Me3NTB)(CH3CN)](CF3SO3)2, (Me3NTB = tris(N-methylbenzimidazol-2-ylmethyl)amine, exhibits a rather high activity in the oxidation of cyclohexane [26]. It cannot be ruled out that the mononuclear complex in solution forms polynuclear particles that are involved in the oxidation of alkane. Other compounds appearing on the oxidation of organic compounds with peroxides catalyzed by polynuclear iron derivatives have been also published in works [27,28,29,30,31,32,33,34,35,36].
In recent years, polynuclear silsesquioxane complexes of iron have been synthesized and their catalytic activity in the oxidation of alkanes and alcohols with peroxides and oxygen has been investigated [37,38,39,40]. Such complexes are usually highly active and contribute to the formation of oxidation products in high yields at low temperatures and atmospheric pressure. Examples of structures of such complexes are presented in Figure 3.
Figure 3.
All structures adapted from Ref. [40], Copyright (2016) with permissions of Wiley.
As mentioned above, mononuclear iron derivatives are often less active in alkane oxidation reactions, which proceed according to Fenton-like mechanism involving hydroxyl radicals [41,42,43,44,45,46,47,48,49,50,51,52,53,54,55,56,57,58,59].
2.2. Oxidation Catalyzed by Copper Complexes
The large number of works are devoted to catalysts containing copper. Usually these complexes contain N-ligands [60,61,62,63,64,65,66,67,68,69,70,71,72,73,74,75,76,77,78,79,80,81,82,83,84,85,86,87,88]. Formulae and structures of some of the catalysts used in the reactions are shown in Figure 4, Figure 5, Figure 6, Figure 7, Figure 8 and Figure 9.
Figure 4.
Formulae Complex 5 (left) and 6 (right), which have been used in oxidations with peroxides adapted from Ref. [64], Copyright (2011) with permission of Elsevier.
Figure 5.
Complex 7 Adapted from Ref. [67], Copyright (2018), Molecules (MDPI), Open Access.
Figure 6.
Complex 8 Adapted from Ref. [67], Copyright (2018), Molecules (MDPI).
Figure 7.
Complex tested in oxidations with peroxides adapted from Ref. [70], Copyright (2020), Int. J. Mol. Sci. (MDPI), Open Access.
Figure 8.
Complexes studied as catalysts, adapted from Ref. [72], Copyright (2020) with permission of Elsevier.
Figure 9.
Oxidation of cyclohexane with hydrogen peroxide (50% aqueous) catalyzed by compound 9 in MeCN at 50 °C (Graphs (A,B)); total volume of the reaction solution was 5 mL. Concentrations of cyclohexanone and cyclohexanol were determined before (Graph A) and after (Graphs B) reduction of the aliquots with solid PPh3. Total yield of products 27% after 2 h, TON = 250 at 50 °C and 30% after 1 h, TON = 280 at 60 °C. adapted from [72], Copyright (2020) with permission of Elsevier.
Complex 5 (Figure 4) [63] efficiently catalyzes the oxygenation of alkanes with tert-butyl hydroperoxide (TBHP) in acetonitrile solution under relatively mild conditions (temperature 50–70 °C, under normal pressure of air). Concentrations of the final products (alcohols and ketones) in the oxidation of cyclohexane gives after 8.5 h cyclohexanol and cyclohexanone in 17% yield (after addition of PPh3), and the turnover number (TON) attains 800. Complex 6 does not exhibit catalytic activity in the oxidation of alkanes with TBHP, which can be associated with its relatively rapid decomposition or transformation into a catalytically inactive species under the reaction conditions. It should be noted that the oxidation of alcohols with TBHP is effectively catalyzed by both complexes 5 and 6. In the case of the cyclohexanol oxidation the maximum values of TON and yield of cyclohexanone attained 820 and 78%, respectively. However, in oxidation of alcohol the activity of compound 6 is a bit less than activity of compound 5. Both compounds 5 and 6 catalyze the hydrocarboxylation of cycloalkanes to the corresponding cycloalkanecarboxylic acids. In all cases, catalyst 6 shows a slightly higher activity over the dicopper (II) complex 6.
Dinuclear [Cu2(1κNO2:2κN′O′2-H2L)(NO3)2(H2O)2] (7) (Figure 5) and the tetranuclear [Cu4(μ-1κNO2:2κN′O2-H2L)2(μ-NO3)2(H2O)4]·2C2H5OH (8) (Figure 6) complexes were used as catalysts for oxidation of alcohols and alkanes [66]. The catalytic activity of both 7 and 8 has been screened toward the solvent-free microwave-assisted oxidation of alcohols and the peroxidative oxidation of alkanes under mild conditions. Complex 7 (Figure 5) exhibits the highest activity for both oxidation reactions, leading selectively to a maximum product yield of 99% (for the 1-phenylethanol oxidation after 1 h without any additive) and 13% (for the cyclohexane oxidation to cyclohexyl hydroperoxide, cyclohexanol, and cyclohexanone after 3 h).
The catalytic activity of a hexanuclear Cu(II) complex [Cu3(µ2-1kNO2,2kNO2-L)(µ-Cl)2(Cl)(MeOH)(DMF)2]2) (Figure 7) for the microwave-assisted neat oxidation of alcohols was explored. This Cu (II) complex was found to exhibit high activity under milder reaction conditions of oxidation of 1-Phenylethanol by tert-butyl hydroperoxide. Yield 95% of acetophenone in the presence of catalyst was found [70].
The copper complexes shown in Figure 8 [72] were tested in catalytic oxidation. It should be noted that in the case of binuclear complex 15 (Figure 10), the initial rate of accumulation of oxidation products is higher than for complex 9 (Figure 9), however, the maximum product yield is somewhat lower than in catalysis with mononuclear complex 9. The authors proposed the following explanation for this fact. This phenomenon is probably due to a higher rate of interaction of 15 with the resulting hydroperoxide in comparison with the situation found for the complex 9 or the dimeric complex 15 effectively decomposes hydrogen peroxide via a catalase pathway that is not associated with the generation of intermediate species of an oxidizing nature, and therefore the yield of oxidizing species decreases. The lowest activity was found for compound 17 (see Figure 11), in which the copper ion is strongly screened by methyl groups in the ligand.
Figure 10.
Oxidation of cyclohexane with hydrogen peroxide (50% aqueous;) catalyzed by compound 15 in MeCN at 60 °C. Concentrations of cyclohexanone and cyclohexanol were after reduction of the aliquots with solid PPh3. Points for cyclohexanol (red) and cyclohexanone (blue) are marked by numbers 1 and 2, respectively. Total yield of products 20% after 1 h, TON = 180. Adapted from [72], Copyright (2020) with permission of Elsevier.
Figure 11.
Oxidation of cyclohexane with hydrogen peroxide (50% aqueous) catalyzed by compound 17 in MeCN at 60 °C; Concentrations of cyclohexanone and cyclohexanol were after reduction of the aliquots with solid PPh3. Points for cyclohexanol (red) and cyclohexanone (blue) are marked by numbers 1 and 2, respectively. Total yield of products 2.5% after 2 h, TON = 22. Adapted from Ref. [72], Copyright (2020) with permission of Elsevier.
As in the case of iron ions, a large number of works have been devoted to silsesquioxane complexes with copper and their use in catalytic oxidation [73,74,75,76,77,78,79,80,81,82,83,84,85,86,87,88]. A few structures of the catalysts used in the most recent years are shown in Figure 12, Figure 13, Figure 14 and Figure 15.
Figure 12.
Molecular structures of 18 and 19. Color code: Si—yellow, O—red, Cu—green, N—blue, adapted from [81] Copyright (2018) with permission from Wiley.
Figure 13.
Oxidation of cyclohexane with H2O2 (50%) catalyzed by complex 18 at 60 °C. Concentrations of cyclohexanol and cyclohexanone were measured both before (A) and after reduction (B) with PPh3 (used method of Shul’pin). Adapted from [81], Copyright (2018) with permission of Wiley.
Figure 14.
Scheme synthes Complex 20 used in oxidation alkanes with peroxides is presented on this figure, adapted from Ref. [82], Copyright (2018) with permission of Elsevier.
Figure 15.
The copper complex with germsesquioxane surroundings. Adapted from Ref. [87], Copyright (2018), Catalysts, MDPI.
First examples of heptanuclear cage silsesquioxanes, (PhSiO1.5)14(CuO)7 18 and (MeSiO1.5)14(CuO)7 19, were obtained [81]. It should be noted that in Ref. [81] (Figure 12), the complexes 18 and 19 used in the catalysis of alkane oxidation exhibited somewhat different activity. Compound 18 gave a higher yield of oxidation products. Product accumulation curves are shown in Figure 13. The maximum observed in the Figure 13B and the decrease in the alcohol yield can be explained by the over-oxidation of alcohol with the formation of unidentifiable oxidation products. It is important that the oxidation requires the presence of nitric acid. Under conditions of the experiment shown in Figure 13 the yield of oxygenates was 39%. This is a high value taking into account the pronounced inertness of alkanes. The oxidation of n-heptane allowed to measure the regioselectivity parameters for positions 1, 2, 3 and 4: C (1): C (2): C (3): C (4) = 1.0: 6.0: 6.0: 5.5. This data also indicates that the reaction proceeds with the participation of free hydroxyl radicals generated from hydrogen peroxide. However, these parameters are higher than those usually observed in oxidation with hydroxyl radicals (1: 2: 2: 2). Such an increase in regioselectivity can be explained by the fact that oxidation in the case of complex 18 occurs in the cavities formed by bulky ligands surrounding the reaction centers of the catalyst molecule.
Complex 20 [82] (see Figure 14) was found to be a good catalyst in oxidations of alcohols and alkanes with TBHP and H2O2, respectively. 1-Phenylethanol and heptanol-2 could be converted into corresponding ketones in yields up to 94% and 50%, respectively. Hydroperoxidation of alkanes by H2O2 was found when complex 20 is used as a catalyst. Cyclohexane has been converted into cyclohexyl hydroperoxide which was gradually transformed in a mixture of cyclohexanol and cyclohexanone over the course of the oxidation.
Not only silsesquioxane complexes, but germsesquioxanes, which are precatalysts in the oxidation of organic compounds, were obtained and described [86,87,88]. An example of structure of such catalysts is given in Figure 15. Germanium-based sesquioxane copper complex exhibits an extremely high nuclearity (Cu42Ge24Na4) and unusual encapsulation features. This compound is a very active catalyst in the oxidation of alkanes and alcohols [87].
A recent publication [89] described the synthesis and catalytic properties of complex 21 (see Figure 16). The kinetic study allowed authors to propose the mechanism of the oxidation reaction of alkanes and alcohols with hydrogen peroxide and tert-butyl hydroperoxide. Complex 21 exhibited high catalytic activity in the oxidation of cyclohexane and other alkanes with H2O2 in acetonitrile in the presence of nitric acid. The following selectivity parameters were obtained for the oxidation of n-heptane: C(1):C(2):C(3):C(4) = 1.0:5.6:5.6:5.0. These data as well as the character of dependence of the initial cyclohexane oxidation rate on the initial hydrocarbon concentration (approaching a plateau at [cyclohexane]0 > 0.3 M) (see Figure 17) indicate that the reaction occurs with the participation of hydroxyl radicals and alkyl hydroperoxides are formed as the main primary products. However, the regioselectivity in the oxidation of n-heptane (see above) is noticeably higher than the regioselectivity usually observed for oxidation with hydroxyl radicals (1: 2: 2: 2). The increased regioselectivity in the case of catalysis by complex 21 can be explained by the fact that steric hindrances arise in the molecule of this complex around the copper-containing reaction center. Previously, for most of the catalytic systems studied, based on the data on the selectivity of alkane oxidation, it was concluded that the oxidizing species is a hydroxyl radical. This conclusion has received kinetic confirmation see Ref. [20]. On the one hand, the calculated ratio of the constants of the rates of reactions of the interaction of an oxidizing species with acetonitrile and cyclohexane k2/k3 is much higher than for the reactions ratio characterized the reactions involving hydroxyl radicals [20,86]. The obtained value (k2/k3 = 0.033) is very different from the 0.006–0.01.

Figure 16.
Molecular structure of complex 21. (A): side view. (B): top. View. Color code: Ge: grey, O: red, Cu: green, N: blue. Adapted from [89], Copyright (2019) with permission of Elsevier.

Figure 17.
Accumulation of cyclohexanol and cyclohexanone in oxidation of cyclohexane with hydrogen peroxide catalyzed by compound 21 in MeCN at 50 °C. Dependence of the initial rate of oxygenate formation W0 on initial concentration of cyclohexane is shown in graph (A). Linearization of curve from graph (A) in coordinates W0−1—[CH3CN]/[C6H12] is presented in graph (B). Concentrations of cyclohexanone and cyclohexanol were determined after reduction of the aliquots with solid PPh3. Accumulation of cyclohexanol and cyclohexanone (under conditions given above) is shown when their concentrations were measured before (graph (C)) and after treating the reaction sample with PPh3 (graph (D)). Adapted from [89], Copyright (2019) with permission of Elsevier.
On the other hand, the low selectivity of the effect of oxidizing species (Z = HO•) is close to the selectivity found for reactions involving hydroxyl radicals, indicates that hydroxyl radicals are generated in the catalytic system studied in the work [89]. Similar results (a decrease in the relative reactivity of the oxidizing species for cyclohexane in comparison with acetonitrile) were obtained earlier [86]. Thus, based on the kinetic data and selectivity parameters in alkane oxidation, authors came to different conclusions about the nature of the oxidizing species in the 21/H2O2 catalytic system. This contradiction can be resolved if it is assumed that the concentrations of acetonitrile and cyclohexane near the reaction center (that is, at the place where the oxidizing species originated) differ from their concentrations in the volume. In this model, the results obtained indicate that the ratio of acetonitrile and cyclohexane concentrations inside the cluster of the catalytic species (near the reaction center) exceeds their ratio in volume. Such a difference may occur due to a higher concentration of acetonitrile and hydrogen peroxide inside a cavity in the catalyst cage.
As can be seen from the above, polynuclear copper complexes have great potential as catalysts in the oxidation of alkanes and alcohols. For comparison, we present several references to articles devoted to mononuclear copper complexes in oxidative catalysis [90,91,92,93,94,95,96]. These works investigated mononuclear complexes that exhibit significant activity.
2.3. Polymanganese Complexes in Oxidations with H2O2
Manganese complexes are active in the oxidation of hydrocarbons and alcohols [97,98,99,100,101,102,103,104,105,106,107,108,109,110,111,112,113,114,115,116,117,118,119,120]. Carbonyl manganese complexes with chelating or bridging mesoionic di(1,2,3-triazolylidene) ligands were synthesized and characterized of a bimetallic manganese(0) complex 23 [99]. (Figure 18). This complex exhibited high activity (yields up to 99%) and selectivity in the catalytic oxidation of secondary alcohols and benzyl alcohol with tert-butyl hydroperoxide). Comparison of the mono- and bimanganese complexes 22 and 23 showed that the binuclear complex is more active in the oxidation of spites by tert-butyl hydroperoxide. The yield of acetophenone in the reaction with complex 23 attained 99% at 40 °C after 2 h. A similar yield was obtained by carrying out the reaction without solvent.
Figure 18.
Carbonyl manganese compounds as a catalysts in oxidation with peroxides, Adapted from Ref. [99] Copyright (2019) with permission from Royal Society of Chemistry.
In 1998, the effective catalytic action of the binuclear manganese (IV) complex 24 (Figure 19) was described in the oxidation of organic compounds with hydrogen peroxide in acetonitrile at low temperatures [100,101]. This system works efficiently only in the presence of an added organic acid. This acid was acetic acid, and later it was found that oxalic acid is even more effective [112,113,114,115,116,117]. Thus, for example, the system complex 24/oxalic acid/H2O2/O2 gives products in oxidation cyclohexane with yield up to 50% (TON = 2700) [115]. Other organic acids also accelerate the oxidation reaction [102,103,104,105,106,107,108,109,110,111,112,113,114,115,116,117,118,119,120]. The work [109] on the oxidation of organic compounds in water is of particular interest. In oxidation of n-heptane TON was attained 160 at 50 °C after 3 h. That study revealed a remarkable regio-selectivity in the oxidation of higher n-alkanes.
Figure 19.
Binuclear manganese complex 24 which catalyzes a very efficient oxidation with peroxides, Adapted from [120], Copyright (2017) with permission of Elsevier.
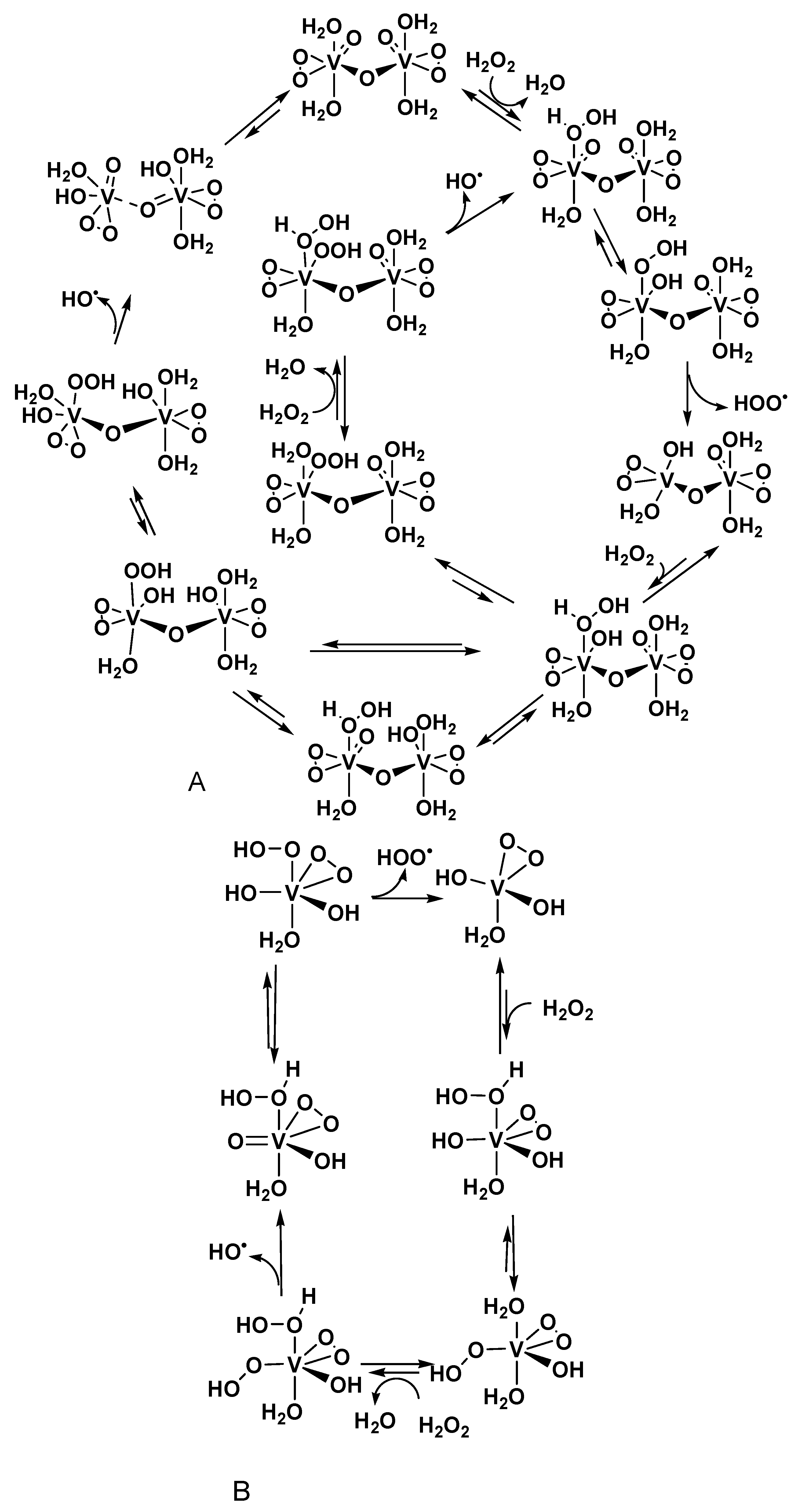
Further, this system was investigated in more detail [119,120]. The kinetic study led to the conclusion about the oxidation mechanism proposed in [120], which includes the formation of intermediate complexes. A catalytic cycle shown in Figure 20 (see below). Many catalytic reactions of alkane oxidation into alkyl hydroperoxides contain as a crucial step the abstraction of a hydrogen atom from the alkane with subsequent fast interaction of the formed alkyl radical with atmospheric dioxygen (Route 1 in Figure 20). The data obtained in the present study show that, on the one hand, the transformation of the alkane R′R″R′′′C–H into the corresponding alkyl hydroperoxide R′R″R′′′C–OOH proceeds with the formation of alkyl radical R′R″R′′′C• which rapidly reacts with atmospheric molecular oxygen. On the other hand, alkyl radicals can be generated via hydrogen abstraction from the alkane not by hydroxyl radicals but most likely by manganyl Mn=O fragments. A catalytic cycle shown in Figure 20 is in good agreement with all experimental data and allowed authors to explain all features of the reaction. In the first step of the process carboxylic acid protonates one of the oxygen bridges between two manganese (IV) centers, resulting in the formation of a vacant site at one Mn (IV). The generated complex [MnIV(µ-O)2MnIV(OH)]3+ then adds one hydrogen peroxide molecule and the formed hydroperoxo derivative [(HOO)MnIV(µ-O)2MnIV(OH)]2+ eliminates hydroperoxyl radical to afford the catalytically active Mn(III)Mn(IV) species [MnIII(µ-O) 2MnIV (OH)]2+ shown in Figure 20. The interaction with a second H2O2 molecule leads to the formation of the dihydroperoxo complex of Mn(III)Mn(IV). The protonation of the MnOOH ligand and subsequent evolution of the water molecule gives the high-valent oxomanganese species which abstracts a hydrogen atom from the alkane R′R″R′′′C–H to produce an alkyl radical. The recombination in the solvent cage of this radical and either HO– or HOO– ligand (oxygen rebound or hydroperoxyl rebound) produces either alkanol or alkyl hydroperoxide, respectively.
Figure 20.
A catalytic cycle proposed for the alkane hydroperoxidation in the presence of 18O2 (in an atmosphere 16O2 + 18O2). AH is a carboxylic acid where A is its anion. Adapted from [120], Copyright (2017) with permission of Elsevier.
R′R″R′′′C• + HO–Mn → R′R″R′′′C–OH + Mn (Route 2).
R′R″R′′′C• + HOO–Mn → R′R″R′′′C–OOH + Mn• (Route 3)
where Mn is a fragment of the binuclear intermediate species. Reactions of the manganyl fragment formation and hydrogen atom abstraction are rate-limiting stages. Thus, this mechanism is a crypto-radical one but not a radical-chain process.
2.4. Oxidation Catalyzed by Polyvanadate Ions
Vanadium ions play an important role in biological systems and are effective catalysts for the oxidation of organic compounds with peroxides (See recent papers and reviews Refs. [5,121,122,123,124,125,126,127,128,129,130,131,132,133,134,135,136,137,138,139,140,141,142,143,144,145,146,147,148,149,150,151,152,153,154,155]). Monovanadate anion forms polyvanadate ions under the action of strong proton acids. Such polyvanadates are capable of catalyzing the oxidation of organic compounds with peroxides [121,122,123,124,125,126,127,128,129,130,131,132,133,134,135,136,137,138,139,140,141,142,143,144,145,146,147,148,149,150,151,152,153,154,155,156,157]. Examples of such compounds the di- and tetra-nuclear complexes of vanadium are described in paper Ref. [156]. The catalytic properties of mono-(25), di-(26) and tetranucleovanadium (27) complexes Figure 21 have been studied [156]. Interestingly, the three complexes exhibit catalytic activity only in the presence of pyrazine-2-carboxylic acid (PCA). The vanadium complexes differ significantly in their catalytic behavior, the most efficient catalyst being complex 25. This compound catalyzes oxidation of cyclohexane with high initial rate and high TON after 24 h (TON = 1400). The binuclear complex 26 catalyzes the reaction with approximately the same activity, but the behavior of complex 27 containing strongly complexing chelating and voluminous ligands is remarkable because it gives rise to the formation of almost pure cyclohexyl hydroperoxide.
Figure 21.
Structures of vanadium complexes 25–27, Adapted from [156], Copyright (2009) with permission of Elsevier.
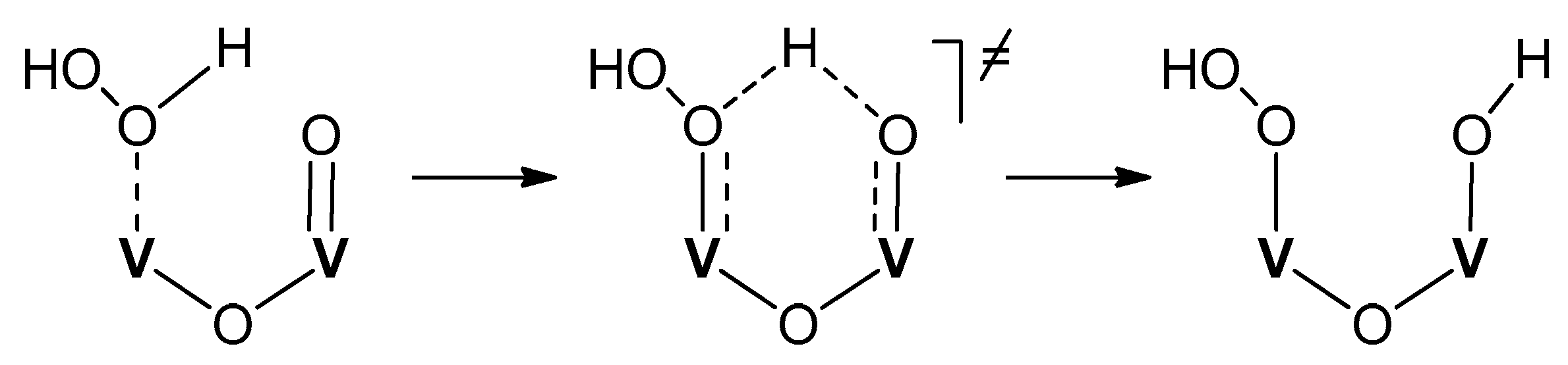
The formation of oligovanadates in the presence of protons from strong acids was described in Ref. [158]. In reactions with hydrogen peroxide catalyzed by oligovanadate, the adjacent vanadate fragment is the carrier of H+ to the vanadate ion. Similarly to how PCA works in reactions catalyzed by monovanadates, the scheme for generating catalytically active species is shown below. The possible catalytic cycles for generating radicals HOO• and HO• with the participation of model divanadate (Figure 22A) and monovanadate (Figure 22B) have been analyzed. The activity of the polyvanadate ion, in contrast to monovanadate, can be explained by the fact that, in the presence of an adjacent V=O fragment in polyvanadate, the formation of a hydroperoxyl complex form a complex with coordinated H2O2 molecule with the participation of a six-membered transition state is facilitated (Figure 23) [158].
Figure 22.
Catalytic cycles of radical generation involving divanadate (A) and monovanadate (B). Adapted from [158], Copyright (2011) with permission of American Chemical Society.
Figure 23.
Proton transfer between two vanadium-containing fragments. Adapted from Ref. [158], Copyright (2011) with permission of American Chemical Society.
The paper Ref. [159] (Figure 24) describes in detail the preparation of mono-, di-, tri-nuclear complexes of vanadium (28–30) (Figure 25). Compounds 28, 29, and 30 were tested as homogeneous catalysts for microwave oxidation of cyclohexane with hydrogen peroxide to produce cyclohexyl hydroperoxide (CyOOH), cyclohexanol, and cyclohexanone (see Figure 25). Advantages of these catalytic systems are mildness and environmental friendliness. The formation of CyOOH was shown by the Shulpin method. GC analysis of the products showed a noticeable increase in the amount of cyclohexanol (after the reduction of CyOOH by PPh3) and a decrease of cyclohexanone amount in comparison with the nonreduced sample. In the case of the catalysis by complex 30 the maximum yield of all products after the reduction of PPh3 attained 39% based on initial amount of cyclohexane. In this work, a reaction mechanism was proposed. The authors proposed the mechanism which is a bit different from those usually accepted for the oxidizing systems containing H2O2 and an metal ion. The mechanism proposed in Ref. [159] includes at the first step coordination of H2O2 to the catalyst molecule, proton transfer from ligated H2O2 to the methoxy ligand and elimination of the formed methanol molecule and coordination of the second H2O2 molecule followed by HO–OH bond cleavage to give HO•. The activation of the H2O2 towards this cleavage is associated with the redox active nature of the ligand in the catalyst molecule, which acts (instead of the metal) as the reducing agent of the H2O2 ligand. Generated hydroxyl radicals attack the substrate molecules.
Figure 24.
Vanadium Compounds tested as catalysts in oxidation with peroxides. Adapted from [159], Copyright (2019) with permission of Royal Society of Chemistry.
Figure 25.
Effect of the heating mode (MW irradiation or oil bath) on the total yield of cyclohexanol and cyclohexanone obtained by neat oxidation of cyclohexane with aq. H2O2 catalyzed by complex 30, adapted from Ref. [159], Copyright (2019) with permission of Royal Society of Chemistry.
Theoretical DFT calculations were in agreement with previous works on oxidation involving vanadium complexes (Ref. [145]), and led to the conclusion that the global radical type mechanism involves the formation of RO• radicals (or HO • if H2O2 is used as an oxidizing agent). Then this radical oxidizes the alkane, a hydrogen atom is removed from the R–H molecule to form the corresponding alkyl radical R•. The latter species react with molecular oxygen from the atmosphere, ultimately forming the alkyl hydroperoxide ROOH. The trinuclear vanadium complexes shown in Figure 26 were investigated as catalysts for the oxidation of dopamine by hydrogen peroxide [160]. Kinetic studies showed that the reaction follows a Michaelis-Menten like kinetics. The conversion of dopamine to aminochrome with different catalysts showing high activity under mild conditions with good conversions (Figure 27).
Figure 26.
Structural formulae of the VIVO-complexes prepared in this work. Adapted from Ref. [160], Copyright (2020) with permission of Royal Socaity of Chemistry.
Figure 27.
Scheme of oxidation of dopamine.
Figure 28 shows the structure of binuclear vanadium complex 31. Although the molecule of the complex-31 contains two fragments inclusive vanadium, these fragments are separated by a large bridge and are located at a long distance from each other. Therefore, it is more reasonable to attribute compound 31 to mononuclear complexes. In the work Ref. [150] was studied in details the oxidation of cyclic, linear and branched alkanes with the 31/PCA/H2O2 system in acetonitrile solution (typical temperature of 50 °C). Oxidation of cyclohexane is shown in Figure 29. The accumulation of oxygenates at different concentrations of complex 31 is shown in the presence of and in the absence of PCA.
Figure 28.
Structure of complex 31 (C30H36N4O10V2) Adapted from Ref. [150], Copyright (2013) with permission of Royal Society of Chemistry.
Figure 29.
Oxidation of cyclohexane with the H2O2/31/PCA/CH3CN–H2O (curve 1). Curve of accumulation of oxygenates (predominantly cyclohexyl hydroperoxide) in the absence of PCA (curve 2) are shown. For Graph (A): [catalyst 31]0 = 2.0 × 10–5 M; [PCA]0 = 0.005 M; [H2O2]0 = 2.2 M (50% aqueous), [H2O]total = 4.2 M; [cyclohexane]0 = 0.46 M; MeCN; 50 °C. For Graph (B): [catalyst 31]0 = 1.0 × 10–6 M (curve 3) or 5.0 × 10–7 M (curve 4); [PCA]0 = 6 × 10–4 M; [H2O2]0 = 0.4 M (50% aqueous), [cyclohexane]0 = 0.4 M; MeCN; 50 °C. Maximum initial rates W0 were determined from the slopes of tangents (two examples are depicted with straight dotted lines 1a, 2a, 3a and 4a) to the kinetic curves in the intervals where the rate attains maximum (in these cases in the beginning of the oxidation reaction). Adapted from Ref. [150] Copyright (2013) with permission of Royal Society of Chemistry.
It has been shown earlier [6,7,8,9,10,11] that a vanadium complex as catalysts and PCA as a cocatalyst is a very efficient catalytic system if H2O2 is used as an oxidant. The addition of strong acids to the monovanadate ion solution leads to an increase the catalyst activity. This phenomenon is due to the formation of polyvanadate species. (see Section 2.4). The kinetic study of alkane oxidation by the 31/PCA/H2O2 CH3CN–H2O system the dependences of the initial rate of oxygenate accumulation W0. Examples are presented by the dotted straight lines in Figure 29. The follow kinetic scheme was proposed for the oxidation reaction catalyzed by vanadium complexes:
Reactions (1) and (2) are the equilibria stages of adduct formation between compound 31 and one or two PCA molecules, respectively. A rate-limiting stage is reaction (3) in the sequence of transformations which are induced by the interaction of 31. (PCA) and H2O2. These transformations lead to the generation of species Z (in many cases Z = HO•) and regeneration of the catalyst active form. The rate WZ of the Z generation in reaction (3) is equal to
WZ = k3[31.(PCA)][H2O2]
The data on the kinetics of cyclohexane oxidation and further calculations based on confirmed the assumption about the participation of hydroxyl radicals as key species Z in the oxidation catalyzed by compound 31.
Basing on the results of all studies of vanadium complexes, both mononuclear and polynuclear, we can conclude that they all have approximately the same activity in the oxidation of organic compounds by peroxides. Of particular note is the simplest and cheapest system VO3−/PCA/H2O2. The system was discovered in 1993. This reaction takes place at low temperatures in a solution of acetonitrile [122,123,124]. Later, this system was studied in detail. As substrates were used: alkanes, olefins, arenes, and alcohols and as oxidants: hydrogen peroxide, tert-butyl hydroperoxide, and other peroxides [125,126,127,128,129,130,131,132,133,134,135,136,137,138,139,140,141,142,143,144,145,146,147,148,149].
2.5. Oxidation Catalyzed by Other Metal Complexes
Complexes of other metals have been reported as catalysts in oxidations by peroxides. Some of these catalysts are demonstrated in Figure 30, Figure 31, Figure 32 and Figure 33. Nickel complexes were used in the oxidation of alkanes most often with the use of m-chloroperoxybenzoic acid–(m-CPBA) turned out to be a good oxidant [161,162,163,164,165,166]. An example of oxidation catalyzed by the nickel complex was described in Ref. [161] Complex oxidized cyclohexane with m-CPBA at room temperature in a mixture of methylene chloride and acetonitrile. The reaction gave cyclohexanol and cyclohexanone in ratio 8:1 with total TON = 612.
Figure 30.
Molecular structure of compound 32 ((A)—side view, (B)—top view). Solvating ligands and counter ion Na+ are omitted for clarity. Adapted from Ref. [164], Copyright (2016) from Molecules MDPI (Open Access).
Figure 31.
Crystal structure of complex 33. Color code: Co, blue; Na, orange; Si, light yellow; O, red; C, grey; S, yellow; N, light blue. Adapted from Ref. [165], Copyright (2016) with permission from Royal Society of Chemistry.
Figure 32.
Structures complexes cobalt and zinc used as catalyst in oxidation with peroxides, adapted from Ref. [166], Copyright (2020) with permission from Elsevier.
Figure 33.
Osmium carbonyls derivatives which extremely efficiently catalyzed the oxidation of alkanes and alcohols with peroxides.
Another example of nickel catalyst is presented by compound 32 (Figure 30, Ref. [164]).
Complex 32 catalyzes the oxidation of cyclohexane m-CPBA to afford cyclohexanol and cyclohexanone. The ketone/alcohol ratio is not changed in the chromatograms made before and after reduction of samples with triphenylphosphine. This indicates that cyclohexyl hydroperoxide is not formed in the course of the oxidation. The yield of oxygenates was 24%. The oxidation of n-octane (0.12 M) with (0.13 M) m-CPBA in the presence of compound 32 (5 × 10−4 M) and co-catalyst HNO3 (0.05 M) at 60 °C during 3 h gave rise to the formation of a mixture of 2-, 3-, and 4-octanones (0.009, 0.009, and 0.008 M, respectively; yield 22%). The oxidation of methylcyclohexane under similar conditions gave predominantly isomeric ketones and tert-alcohol. Alkyl hydroperoxides have not been formed in this reaction.
Complexes containing cobalt and zinc MOF [166] can also exhibit catalytic activity in the oxidation of alcohols and alkanes. A pentanuclear “cylinder”-like cobalt(II) phenylsilsesquioxane [(PhSiO1.5)10(CoO)5(NaOH)] [165] (33) (see Figure 31) exhibits a high catalytic activity and stereoselectivity in the oxidation of alkanes and alcohols. Complex 33 efficiently (yield 62%) catalyzes stereoselective (trans/cis ratio = 0.04) cis-1,2-dimethylcyclohexane oxidation with meta-chloroperoxybenzoic acid (m-CPBA) and 1-phenylethanol’s oxidation (yield 99%) with TBHP.
The heterogeneous catalytic activity of compounds 34 and 35 (Figure 32), under eco-friendly conditions, was assessed in benzyl alcohol oxidation [166]. Complex 34 has good activity in the solvent-free microwave-assisted oxidation of benzyl alcohol to benzaldehyde using tert-butyl hydroperoxide (t-BuOOH, TBHP) as oxidizing agent (yields up to 89%). Although with a lower activity, MOF 35 with a redox inactive Zn(II) site, also catalyzes such alcohol oxidation (yields up 27%).
Three Os (0)—carbonyl complexes [167,168,169,170] (see Figure 33) are active in the oxidation of alkanes and alcohols by peroxides in acetonitrile. Thus, oxidation, for example, upon catalysis of alkanes by triosmium dodecacarbonyl, Os3(CO)12 with hydrogen peroxide, gave product yields above 60% and TON above 60,000 [167]. In this review, other complexes of osmium, cobalt, and nickel are not described in detail.
3. Conclusions
In many cases polynuclear complexes of transition metals exhibit higher catalytic activity in oxidations of organic compounds by peroxides in comparison with simple mononuclear derivatives. Moreover, such complexes oxidize long-chain and branched saturated hydrocarbons with non-conventional selectivity. These features can be successfully use in fine chemical technology. Examination of the oxidation reactions with peroxides shows that both mono and polynuclear complexes of transition metals are often active catalysts in these reactions. However, they all require either the presence of a redox-active ligand in the molecule or amine-containing organic compounds added to the solution, which changes the mechanism of the reaction of hydrogen peroxide with a metal (in the absence of such ligands or additives, only the reaction of hydrogen peroxide decomposition with the formation of oxygen and water takes place).
Author Contributions
G.B.S. and L.S.S. wrote the paper. All authors have read and agreed to the published version of the manuscript.
Funding
This research was funded by the Russian Foundation for Basic Research (Grant Nos. 19-03-00142), the Ministry of Education and Science of the Russian Federation (project code RFMEFI61917X0007), as well as by the Initiative Program in the frames of the State Task 0082-2014-0007, “Fundamental regularities of heterogeneous and homogeneous catalysis.” and also by the Program of Fundamental Research of the Russian Academy of Sciences for 2013–2020 on the research issue of IChP RAS No. 47.16. State registration number of Center of Information Technologies and Systems for Executive Power Authorities (CITIS): AAAA-A17-117040610283-3; A.N. Nesmeyanov Institute RAS.
Data Availability Statement
All links are given to publications that are in the open press and are easily available.
Acknowledgments
Authors thank for support RFBR according to Research Projects Grant No. 19-03-00142; the Min-istry of Education and Science of the Russian Federation (project code RFMEFI61917X0007), as well as by the Initiative Program in the frames of the State Tasks 0082-2014-0004 and 0082-2014-0007 “Fundamental regularities of heterogeneous and homogeneous catalysis”; the Program of Fundamental Research of the Russian Academy of Sciences for 2013–2020 on the re-search issue of IChP RAS No. 47.16. Access to electronic scientific resources was provided by INEOS RAS with the support of Ministry of Science and Higher Education of the Russian Federa-tion.
Conflicts of Interest
The authors declare no conflict of interest.
References
- Denisov, E.T.; Afanas’ev, I.B. Oxidation and Antioxidants in Organic Chemistry and Biology; Taylor & Francis Group: Abingdon, UK, 2005; ISBN 0-8247-5356-9. [Google Scholar]
- Shilov, A.E.; Shul’pin, G.B. Activation and Catalytic Reactions of Saturated Hydrocarbons in the Presence of Metal Complexes; Kluwer Academic Publishers: New York, NY, USA; Boston, MA, USA; Dordrecht, The Netherlands; London, UK; Moscow, Russia, 2002; p. 548. ISBN 978-0-306-46945-9. [Google Scholar]
- Ma, Z.; Mahmudov, K.T.; Aliyeva, V.A.; Gurbanov, A.V.; Pombeiro, A.J.L. TEMPO in metal complex catalysis. Coord. Chem. Rev. 2020, 423, 213482. [Google Scholar] [CrossRef]
- Beller, M.; Bolm, C. (Eds.) Transition Metals for Organic Synthesis, 2nd ed.; Wiley–VCH: Weinheim, Germany; New York, NY, USA, 2004; ISBN 3-527-30613-7. [Google Scholar]
- Shul’pin, G.B. Selectivity in C–H functionalizations. In Comprehensive Inorganic Chemistry II, 2nd ed.; Reedijk, J., Poeppelmeier, K., Casella, L., Eds.; Elsevier: Amsterdam, The Netherlands, 2013; Chapter 6.04; Volume 6, pp. 79–104. [Google Scholar] [CrossRef]
- Pombeiro, A.J.L. (Ed.) Advances in Organometallic Chemistry and Catalysis; Wiley: Hoboken, NJ, USA, 2014; Chapter 1; pp. 3–14. ISBN 978-1-118-51014-8. [Google Scholar] [CrossRef]
- Pombeiro, A.J.L.; Guedes da Silva, F.C. (Eds.) Alkane Functionalization; Wiley: Hoboken, NJ, USA, 2018; ISBN 978-1-119-37924-9. [Google Scholar]
- Bryliakov, K. (Ed.) Frontiers of Green Catalytic Selective Oxidations; Springer-Nature: Berlin/Heidelberg, Germany, 2019. [Google Scholar] [CrossRef]
- Shilov, A.E.; Shul’pin, G.B. Activation of C–H Bonds by Metal Complexes. Chem. Rev. 1997, 97, 2879–2932. [Google Scholar] [CrossRef] [PubMed]
- Shul’pin, G.B. Metal-catalysed hydrocarbon oxygenations in solutions: The dramatic role of additives: A review. J. Mol. Catal. A Chem. 2002, 189, 39–66. [Google Scholar] [CrossRef]
- Shul’pin, G.B. Metal-catalysed hydrocarbon oxidations. Comptes Rendus Chim. 2003, 6, 163–178. [Google Scholar] [CrossRef]
- Shul’pin, G.B. Hydrocarbon Oxygenations with Peroxides Catalyzed by Metal Compounds. Mini-Rev. Org. Chem. 2009, 6, 95–104. [Google Scholar] [CrossRef]
- Shul’pin, G.B. New Trends in Oxidative Functionalization of Carbon–Hydrogen Bonds: A Review. Catalysts 2016, 6, 50. [Google Scholar] [CrossRef]
- Shul’pin, G.B.; Kozlov, Y.N.; Shul’pina, L.S. Metal Complexes Containing Redox-active Ligands in Oxidation of Hydrocarbons and Alcohols: A Review. Catalysts 2019, 9, 1046. [Google Scholar] [CrossRef]
- Levitsky, M.M.; Bilyachenko, A.N.; Shul’pin, G.B. Oxidation of C-H compounds with peroxides catalyzed by polynuclear transition metal complexes in Si- or Ge-sesquioxane frameworks: A review. J. Organomet. Chem. 2017, 849–850, 201–218. [Google Scholar] [CrossRef]
- Shul’pin, G.B. Selectivity enhancement in functionalization of C–H bonds: A review. Org. Biomol. Chem. 2010, 8, 4217–4228. [Google Scholar] [CrossRef]
- Shul’pin, G.B. C–H functionalization: Thoroughly tuning ligands at a metal ion, a chemist can greatly enhance catalyst’s activity and selectivity, Perspective. Dalton Trans. 2013, 42, 12794–12818. [Google Scholar] [CrossRef]
- Kozlov, Y.N.; Nadezhdin, A.D.; Purmal, A.P. Mechanism of initiation in the Fe(3+) + H2O2 system. Kinet. Catal. 1973, 14, 141–148. [Google Scholar]
- Shul’pin, G.B.; Nizova, G.V.; Kozlov, Y.N.; Gonzalez Cuervo, L.; Süss-Fink, G. Hydrogen peroxide oxygenation of alkanes including methane and ethane catalyzed by iron complexes in acetonitrile. Adv. Synth. Catal. 2004, 346, 317–332. [Google Scholar] [CrossRef]
- Nizova, G.V.; Krebs, B.; Süss-Fink, G.; Schindler, S.; Westerheide, L.; Gonzalez Cuervo, L.; Shul’pin, G.B. Hydroperoxidation of methane and other alkanes with H2O2 catalysed by a dinuclear iron complex and an amino acid. Tetrahedron 2002, 58, 9231–9237. [Google Scholar] [CrossRef]
- Parrilha, G.L.; Ferreira, S.S.; Fernandes, C.; Silva, G.C.; Carvalho, N.M.F.; Antunes, O.A.C.; Drago, V.; Bortoluzzid, A.J.; Horn, A., Jr. Properties of (m-Oxo)di-iron Complexes and Catalytic Activity Toward Cyclohexane Oxidation. J. Braz. Chem. Soc. 2010, 21, 603–613. [Google Scholar] [CrossRef]
- Mayilmurugan, R.; Stoeckli-Evans, H.; Suresh, E.; Palaniandavar, M. Chemoselective and biomimetic hydroxylation of hydrocarbons by non-heme l-oxo-bridged diiron(III) catalysts using m-CPBA as oxidant. Dalton Trans. 2009, 5101–5114. [Google Scholar] [CrossRef]
- Sorokin, A.B.; Kudrik, E.V.; Bouchub, D. Bio-inspired oxidation of methane in water catalyzed by N-bridged diiron phthalocyanine complex. Chem. Commun. 2008, 2562–2564. [Google Scholar] [CrossRef]
- Kudrik, E.V.; Afanasiev, P.; Alvarez, L.X.; Dubourdeaux, P.; Cle’mancey, M.; Latour, J.-M.; Blondin, G.; Bouchu, D.; Albrieux, F.; Nefedov, S.E.; et al. An N-bridged high-valent diiron–oxo species on a porphyrin platform that can oxidize methane. Nat. Chem. 2012, 4, 1024–1029. [Google Scholar] [CrossRef]
- Groves, J.T.; Haushalter, R.C.; Nakamura, M.; Nemo, T.E.; Evans, B.J. High-valent iron-porphyrin complexes related to peroxidase and cytochrome P-450. J. Am. Chem. Soc. 1981, 103, 2884–2886. [Google Scholar] [CrossRef]
- Seo, M.S.; Kim, N.H.; Cho, K.-B.; So, J.E.; Park, S.K.; Clémancey, M.; Garcia-Serres, R.; Latour, J.-M.; Shaik, S.; Nam, W. A mononuclear non-heme iron(IV)-oxo complex which is more reactive than cytochrome P450 model compound I. Chem. Sci. 2011, 2, 1039–1045. [Google Scholar] [CrossRef]
- Karslyan, E.E.; Shul’pina, L.S.; Kozlov, Y.N.; Pombeiro, A.J.L.; Shul’pin, G.B. Oxygenation of saturated and aromatic hydrocarbons with H2O2 catalyzed by the carbonyl thiophenolate iron complex (OC)3Fe(PhS)2Fe(CO)3. Catal. Today 2013, 218–219, 93–98. [Google Scholar] [CrossRef]
- Rabe, V.; Frey, W.; Baro, A.; Laschat, S.; Bauer, M.; Bertagnolli, H.; Rajagopalan, S.; Asthalter, T.; Roduner, E.; Dilger, H.; et al. Syntheses, Crystal Structures, Spectroscopic Properties, and Catalytic Aerobic Oxidations of Novel Trinuclear Non-Heme Iron Complexes. Eur. J. Inorg. Chem. 2009, 4660–4674. [Google Scholar] [CrossRef]
- Romakh, V.B.; Therrien, B.; Süss-Fink, G.; Shul’pin, G.B. Synthesis, molecular structure and catalytic potential of the tetrairon complex [Fe4(N3O2-L)4(μ-O)2]4+ (L = 1-carboxymethyl-4,7-dimethyl-1,4,7-triazacyclononane). Inorg. Chem. 2007, 46, 3166–3175. [Google Scholar] [CrossRef] [PubMed]
- Jarenmark, M.; Turitsyna, E.A.; Haukka, M.; Shteinman, A.A.; Nordlander, E. A monocarboxylate-bridged diiron(III) l-oxido complex that catalyzes alkane oxidation by hydrogen peroxide. New J. Chem. 2010, 34, 2118–2121. [Google Scholar] [CrossRef]
- Nesterov, D.S.; Chygorin, E.N.; Kokozay, V.N.; Bon, V.V.; Bocča, R.; Kozlov, Y.N.; Shul’pina, L.S.; Jezierska, J.; Ozarowski, A.; Pombeiro, A.J.L.; et al. Heterometallic CoIII4FeIII2 Schiff Base Complex: Structure, Electron Paramagnetic Resonance, and Alkane Oxidation Catalytic Activity. Inorg. Chem. 2012, 51, 9110–9122. [Google Scholar] [CrossRef]
- Quesne, M.G.; Senthilnathan, D.; Singh, D.; Kumar, D.; Maldivi, P.; Sorokin, A.B.; de Visser, S.P. Origin of the enhanced reactivity of μ-nitrido-bridged diiron(IV)-oxo porphyrinoid complexes over cytochrome P450 Compound I. ACS Catal. 2016, 6, 2230–2243. [Google Scholar] [CrossRef]
- Gomez, L.; Canta, M.; Font, D.; Prat, I.; Ribas, X.; Costas, M. Regioselective Oxidation of Nonactivated Alkyl C–H Groups Using Highly Structured Non-Heme Iron Catalysts. J. Org. Chem. 2013, 78, 1421–1433. [Google Scholar] [CrossRef]
- Olivo, G.; Cussy, O.; Borrell, M.; Costas, M. Oxidation of alkane and alkene moieties with biologically inspired nonheme iron catalysts and hydrogen peroxide: From free radicals to stereoselective transformations. J. Biol. Inorg. Chem. 2017, 22, 425–452. [Google Scholar] [CrossRef]
- Karmakar, A.; Martins, L.M.; Yahorava, Y.; Guedes da Silva, F.; Pombeiro, A.J.L. Synthesis, Structures, Electrochemistry, and Catalytic Activity towards Cyclohexanol Oxidation of Mono-, Di-, and Polynuclear Iron(III) Complexes with 3-Amino-2-Pyrazinecarboxylate. Appl. Sci. 2020, 10, 2692. [Google Scholar] [CrossRef]
- Lyakin, K.P.; Talsi, E.P. Non-heme oxoiron(V) intermediates in chemo-, regio- and stereoselective oxidation of organic substrates. Coord. Chem. Rev. 2019, 384, 126–139. [Google Scholar] [CrossRef]
- Ouyang, J.; Haotian, S.; Liang, Y.; Commisso, A.; Li, D.; Xu, R.; Yu, D. Recent Progress in Metal-containing Silsesquioxanes: Preparation and Application. Curr. Org. Chem. 2017, 21, 2829–2848. [Google Scholar] [CrossRef]
- Levitsky, M.M.; Bilyachenko, A.N.; Shubina, E.S. Cagelike metallagermanates and metallagermoxanes: Synthesis, structures and functional properties. A review. Coord. Chem. Rev. 2019, 386, 209–239. [Google Scholar] [CrossRef]
- Bilyachenko, A.N.; Levitsky, M.M.; Yalymov, A.I.; Korlyukov, A.A.; Vologzhanina, A.V.; Kozlov, Y.N.; Shul’pina, L.S.; Nesterov, D.S.; Pombeiro, A.J.L.; Lamaty, F.; et al. A heterometallic (Fe6Na8) cage-like silsesquioxane: Synthesis, structure, spin glass behavior and high catalytic activity. RSC Adv. 2016, 6, 48165–48180. [Google Scholar] [CrossRef]
- Bilyachenko, A.N.; Levitsky, M.M.; Yalymov, A.I.; Korlyukov, A.A.; Khrustalev, V.N.; Vologzhanina, A.V.; Shul’pina, L.S.; Ikonnikov, N.S.; Trigub, A.E.; Dorovatovsky, P.V.; et al. Cage-like Fe,Na-Germsesquioxanes: Structure, Magnetism, and Catalytic Activity, English Version. Angew. Chem. Int. Ed. 2016, 55, 15360–15363. [Google Scholar] [CrossRef] [PubMed]
- Yalymov, A.I.; Bilyachenko, A.N.; Levitsky, M.M.; Korlyukov, A.A.; Khrustalev, V.N.; Shul’pina, L.S.; Dorovatovskii, P.V.; Es’kova, M.A.; Lamaty, F.; Bantreil, X.; et al. High Catalytic Activity of Heterometallic (Fe6Na7 and Fe6Na6) Cage Silsesquioxanes in Oxidations with Peroxides. Catalysts 2017, 7, 101. [Google Scholar] [CrossRef]
- Collins, T.J.; Ryabov, A.D. Targeting of High-Valent Iron-TAML Activators at Hydrocarbons and Beyond. Chem. Rev. 2017, 117, 9140–9162. [Google Scholar] [CrossRef]
- Fürstner, A. Iron Catalysis in Organic Synthesis: A Critical Assessment of What It Takes to Make This Base Metal a Multitasking Champion. ACS Cent. Sci. 2016, 2, 778–789. [Google Scholar] [CrossRef] [PubMed]
- Sun, X.; Li, J.; Huang, X.; Sun, C. Recent Advances in Iron-Catalyzed C-H Bond Activation Reactions. Curr. Inorg. Chem. 2012, 2. [Google Scholar] [CrossRef]
- Schreder, K.; Junge, K.; Bitterlich, B.; Beller, M. Fe-Catalyzed Oxidation Reactions of Olefins, Alkanes, and Alcohols: Involvement of Oxo- and Peroxo Complexes. In a Book Iron Catalysis; Plietker, B., Ed.; Springer: Berlin/Heidelberg, Germany, 2011; Volume 33, pp. 83–109. ISBN 978-3-642-14670-1. [Google Scholar] [CrossRef]
- Sun, C.-L.; Li, B.-J.; Shi, Z.-J. Direct C-H transformation via iron catalysis. Chem. Rev. 2011, 111, 1293–1314. [Google Scholar] [CrossRef]
- Lee1, C.; Sedlak, D.L. A novel homogeneous Fenton-like system with Fe(III)–phosphotungstate for oxidation of organic compounds at neutral pH values. J. Mol. Catal. A Chem. 2009, 311, 1–6. [Google Scholar] [CrossRef]
- Mitra, M.; Nimir, H.; Hrovat, D.A.; Shteinman, A.A.; Richmond, M.G.; Costas, M.; Nordlander, E. Catalytic C-H Oxidations by Nonheme Mononuclear Fe(II) Complexes of Two Pentadentate Ligands: Evidence for an Fe(IV) Oxo Intermediate. J. Mol. Catal. 2016, 426, 350–356. [Google Scholar] [CrossRef]
- Schreder, K.; Join, B.; Amali, A.J.; Junge, K.; Ribas, X.; Costas, M.; Beller, M. A Biomimetic Iron Catalyst for the Epoxidation of Olefins with Molecular Oxygen at Room Temperature. Angew. Chem. Int. Ed. 2011, 50, 1425–1429. [Google Scholar] [CrossRef] [PubMed]
- Retcher, B.; Costa, J.S.; Tanga, J.; Hage, R.; Gamez, P.; Reedijk, J. Unexpected high oxidation of cyclohexane by Fe salts and dihydrogen peroxide in acetonitrile. J. Mol. Catal. A Chem. 2008, 286, 1–5. [Google Scholar] [CrossRef]
- Nam, W.; Lee, Y.-M.; Fukuzumi, S. Tuning Reactivity and Mechanism in Oxidation Reactions by Mononuclear Nonheme Iron(IV)-Oxo Complexes. Acc. Chem. Res. 2014, 47, 1146–1154. [Google Scholar] [CrossRef] [PubMed]
- Bilis, G.; Louloudi, M. The Catalytic Function of Nonheme Iron (III) Complex for Hydrocarbon Oxidation. Bioinorg. Chem. Appl. 2010, 2010, 861892. [Google Scholar] [CrossRef]
- Gomez, L.; Garcia-Bosch, I.; Company, A.; Benet-Buchholz, J.; Polo, A.; Sala, X.; Ribas, X.; Costas, M. Stereospecific C–H Oxidation with H2O2 Catalyzed by a Chemically Robust Site-Isolated Iron Catalyst. Angew. Chem. Int. Ed. 2009, 48, 5720–5723. [Google Scholar] [CrossRef]
- England, J.; Gondhia, R.; Bigorra-Lopez, L.; Petersen, A.R.; White, A.J.P.; Britovsek, G.J.P. Towards robust alkane oxidation catalysts: Electronic variations in non-heme iron(II) complexes and their effect in catalytic alkane oxidation. Dalton Trans. 2009, 5319–5334. [Google Scholar] [CrossRef]
- Stanje, B.; Traar, P.; Schachner, J.; Belaj, F.; Mösch-Zanetti, N.C. Iron catalyzed oxidation of benzylic alcohols to benzoic acids. Dalt. Trans. 2018, 47, 6412–6420. [Google Scholar] [CrossRef]
- Jaafar, H.; Vileno, B.; Thibon, A.; Mandon, D. Tuning the conversion of cyclohexane into cyclohexanol/one by molecular dioxygen, protons and reducing agents at a single non-porphyrinic iron centre and chemical versatility of the tris(2-pyridylmethyl)amine TPAFeIICl2complex in mild oxidation chemistry. Dalton Trans. 2011, 40, 92–106. [Google Scholar] [CrossRef]
- Bitterlich, B.; Anilkumar, G.; Gelalcha, G.F.; Spilker, B.; Grotevendt, A.; Jackstell, R.; Kin Tse, M.; Beller, M. Development of a General and Efficient Iron-Catalyzed Epoxidation with Hydrogen Peroxide as Oxidant. Chem. Asian J. 2007, 2, 521–529. [Google Scholar] [CrossRef]
- Garcia-Bosch, I.; Codol, Z.; Prat, I.; Ribas, X.; Lloret-Fillol, J.; Costas, M. Iron-Catalyzed C–H Hydroxylation and Olefin cis-Dihydroxylation Using a Single-Electron Oxidant and Water as the Oxygen-Atom Source. Chem. Eur. J. 2012, 18. [Google Scholar] [CrossRef]
- Yang, Z.; Qian, J.; Yu, A.; Pan, B. Singlet oxygen mediated iron-based Fenton-like catalysis under nanoconfinement. Proc. Natl. Acad. Sci. USA 2019, 116, 6659–6664. [Google Scholar] [CrossRef] [PubMed]
- Lopes de Araújo, M.; Correia, G.A.; Carvalho, W.A.; Shul’pina, L.S.; Kozlov, Y.N.; Shul’pin, G.B.; Mandelli, D. The effect of additives (pyrazine, pyrazole and their derivatives) in the oxidation with FeCl3–H2O2 in aqueous solutions. Catal. Today 2020. [Google Scholar] [CrossRef]
- Kirillov, A.M.; Kirillova, M.V.; Pombeiro, A.J.L. Multicopper complexes and coordination polymers for mild oxidative functionalization of alkanes. Coord. Chem. Rev. 2012, 256, 2741–2759. [Google Scholar] [CrossRef]
- Calero, R.; Vega, A.; María García, A.; Spodine, E.; Manzur, J. Oxidation and Catalytic Properties of a Binuclear Copper(I) Complex with a Meta-Xylyl Spacer Ligand. J. Chil. Chem. Soc. 2003, 48. [Google Scholar] [CrossRef]
- Wurtele, C.; Sander, O.; Lutz, V.; Waitz, T.; Tuczek, F.; Schindler, S. Aliphatic C-H Bond Oxidation of Toluene Using Copper Peroxo ComplexeThat Are Stable at Room Temperature. J. Am. Chem. Soc. 2009, 131, 7544–7545. [Google Scholar] [CrossRef] [PubMed]
- Kirillov, A.M.; Kirillova, M.V.; Shul’pina, L.S.; Figiel, P.J.; Gruenwald, K.R.; Guedes da Silva, M.F.C.; Haukka, M.; Pombeiro, A.J.L.; Shul’pin, G.B. Mild oxidative functionalization of alkanes and alcohols catalyzed by new mono- and dicopper(II) aminopolyalcoholates. J. Mol. Catal. A Chem. 2011, 350, 26–34. [Google Scholar] [CrossRef]
- Song, X.; Yan, Y.; Wang, Y.; Hu, D.; Xiao, L.; Yu, J.; Zhang, W.; Jia, M. Hybrid compounds assembled from copper-triazole complexes and phosphomolybdic acid as advanced catalysts for the oxidation of olefins with oxygen. Dalton Trans. 2017, 47, 16655–16662. [Google Scholar] [CrossRef]
- Kirillov, A.M.; Karabach, Y.Y.; Kirillova, M.V.; Haukka, M.; Pombeiro, A.J.L. New diamondoid-like [Cu3B(l-O)6] core self-assembled from Bis-Tris biobuffer for mild hydrocarboxylation of alkanes to carboxylic acids. Dalton Trans. 2011, 40, 6378. [Google Scholar] [CrossRef]
- Sutradhar, M.; Alegria, C.B.A.E.; Guedes da Silva, M.F.C.; Liu, C.-M.; Pombeiro, A.J.L. Peroxidative Oxidation of Alkanes and Alcohols under Mild Conditions by Di- and Tetranuclear Copper (II) Complexes of Bis (2-Hydroxybenzylidene) Isophthalohydrazide. Molecules 2018, 23, 2699. [Google Scholar] [CrossRef]
- Nandi, M.; Roy, P. Peroxidative oxidation of cycloalkane by di-, tetra- and polynuclear copper (II) complexes. Indian J. Chem. 2013, 52, 1263–1268. Available online: http://hdl.handle.net/123456789/21507.
- Saha, M.; Vyas, M.K.; Martins, L.M.D.R.S.; Martins, N.M.R.; Pombeiro, A.J.L.; Mobin, S.M.; Bhattacherjee, D.; Bhabak, K.P.; Mukhopadhyay, S. Copper(II) tetrazolato complexes: Role in oxidation catalysis and protein binding. Polyhedron 2017, 132, 53–63. [Google Scholar] [CrossRef]
- Sutradhar, M.; Roy Barman, T.; Pombeiro, A.J.L.; Martins, L.M.D.R.S. Aroylhydrazone Schiff Base Derived Cu(II) and V(V) Complexes: Efficient Catalysts towards Neat Microwave-Assisted Oxidation of Alcohols. Int. J. Mol. Sci. 2020, 21, 2832. [Google Scholar] [CrossRef] [PubMed]
- Shiota, Y.; Yoshizawa, K. Comparison of the Reactivity of Bis(μ-oxo)CuIICuIII and CuIIICuIII Species to Methane. Inorg. Chem. 2009, 48. [Google Scholar] [CrossRef] [PubMed]
- Shul’pina, L.S.; Vinogradov, M.M.; Kozlov, Y.N.; Nelyubina, Y.V.; Ikonnikov, N.S.; Shul’pin, G.B. Copper complexes with 1,10-phenanthrolines as efficient catalysts for oxidation of alkanes by hydrogen peroxide. Inorg. Chem. Acta 2020, 512, 119889. [Google Scholar] [CrossRef]
- Bilyachenko, A.N.; Dronova, M.S.; Yalymov, A.I.; Korlyukov, A.A.; Shul’pina, L.S.; Arkhipov, D.E.; Shubina, E.S.; Levitsky, M.M.; Kirilin, A.D.; Shul’pin, G.B. New binuclear cage-like copper(II) silsesquioxane (“cooling tower”); its high catalytic activity in oxidation of benzene and alcohols. Eur. J. Inorg. Chem. 2013, 30, 5240–5246. [Google Scholar] [CrossRef]
- Dronova, M.S.; Bilyachenko, A.N.; Yalymov, A.I.; Kozlov, Y.N.; Shul’pina, L.S.; Korlyukov, A.A.; Arkhipov, D.E.; Levitsky, M.M.; Shubina, E.S.; Shul’pin, G.B. Solvent-controlled synthesis of tetranuclear cage-like copper(II) silsesquioxanes. Remarkable features of the cage structures and their high catalytic activity in oxidation with peroxides. Dalton Trans. 2014, 43, 872–882. [Google Scholar] [CrossRef]
- Vinogradov, M.M.; Kozlov, Y.N.; Bilyachenko, A.N.; Nesterov, D.S.; Shul’pina, L.S.; Zubavichus, Y.V.; Pombeiro, A.J.L.; Levitsky, M.M.; Yalymov, A.I.; Shul’pin, G.B. Alkane oxidation with peroxides catalyzed by cage-like copper(II) silsesquioxanes. New J. Chem. 2015, 39, 187–199. [Google Scholar] [CrossRef]
- Bilyachenko, A.N.; Dronova, M.S.; Yalymov, A.I.; Lamaty, F.; Bantreil, X.; Martinez, J.; Bizet, C.; Shul’pina, L.S.; Korlyukov, A.A.; Arkhipov, D.E.; et al. Cage-like Copper(II) Silsesquioxanes: Transmetalation Reactions, Structural, Quantum Chemical and Catalytic Studies. Chem. Eur. J. 2015, 21, 8758–8770. [Google Scholar] [CrossRef]
- Bilyachenko, A.N.; Kulakova, A.N.; Levitsky, M.M.; Petrov, A.A.; Korlyukov, A.A.; Shul’pina, L.S.; Khrustalev, V.N.; Dorovatovskii, P.V.; Vologzhanina, A.V.; Tsareva, U.S.; et al. Unusual Tri-, Hexa- and Nonanuclear Organosilicon Copper Clusters: Synthesis, Structures and Catalytic Activity in Oxidations with Peroxides. Inorg. Chem. 2017, 56, 4093–4103. [Google Scholar] [CrossRef]
- Bilyachenko, A.N.; Kulakova, A.N.; Levitsky, M.M.; Korlyukov, A.A.; Khrustalev, V.N.; Vologzhanina, A.V.; Titov, A.A.; . Dorovatovskii, P.V.; Shul’pina, L.S.; Lamaty, F.; et al. Ionic Complexes of Tetra- and Nonanuclear Cage Copper(II) Phenylsilsesquioxanes: Synthesis and High Activity in Oxidative Catalysis. ChemCatChem 2017, 9, 4437–4447. [Google Scholar] [CrossRef]
- Kulakova, A.N.; Bilyachenko, A.N.; Levitsky, M.M.; Khrustalev, V.N.; Korlyukov, A.A.; Zubavichus, Y.V.; Dorovatovskii, P.V.; Lamaty, F.; Bantreil, X.; Villemejeanne, B.; et al. Si10Cu6N4 Cage Hexacoppersilsesquioxanes Containing N-Ligands: Synthesis, Structure, and High Catalytic Activity in Peroxide Oxidations. Inorg. Chem. 2017, 56, 15026–15040. [Google Scholar] [CrossRef] [PubMed]
- Bilyachenko, A.N.; Levitsky, M.M.; Khrustalev, V.N.; Zubavichus, Y.V.; Shul’pina, L.S.; Shubina, E.S.; Shul’pin, G.B. Mild and Regioselective Hydroxylation of Methyl Group in Neocuproine: Approach to an N,O-Ligated Cu6 Cage Phenylsilsesquioxane”. Organometallics 2018, 37, 168–171. [Google Scholar] [CrossRef]
- Bilyachenko, A.N.; Levitsky, M.M.; Korlyukov, A.A.; Khrustalev, V.N.; Zubavichus, Y.V.; Shul’pina, L.S.; Shubina, E.S.; Vologzhanina, A.V.; Shul’pin, G.B. Heptanuclear Cage CuII-Silsesquioxanes: Synthesis, Structure and Catalytic Activity. Eur. J. Inorg. Chem. 2018, 22, 2505–2511. [Google Scholar] [CrossRef]
- Bilyachenko, A.N.; Kulakova, A.N.; Shul’pina, L.S.; Levitsky, M.M.; Korlyukov, A.A.; Khrustalev, V.N.; Zubavichus, Y.V.; Dorovatovskii, P.V.; Tsareva, U.S.; Shubina, E.S.; et al. Family of penta- and hexanuclear metallasilsesquioxanes: Synthesis, structure and catalytic properties in oxidations. J. Organometal. Chem. 2018, 867, 133–141. [Google Scholar] [CrossRef]
- Astakhov, G.S.; Bilyachenko, A.N.; Korlyukov, A.A.; Levitsky, M.M.; Shul’pina, L.S.; Bantreil, X.; Lamaty, F.; Vologzhanina, A.V.; Shubina, E.S.; Dorovatovskii, P.V.; et al. High cluster (Cu9) cage silsesquioxanes. Synthesis, structure and catalytic activity. Inorg. Chem. 2018, 57, 11524–11529. [Google Scholar] [CrossRef]
- Kulakova, A.N.; Bilyachenko, A.N.; Korlyukov, A.A.; Shul’pina, L.S.; Bantreil, X.; Lamaty, F.; Shubina, E.S.; Levitsky, M.M.; Ikonnikov, N.S.; Shul’pin, G.B. A new “bicycle helmet”-like copper(II),sodiumphenylsilsesquioxane. Synthesis, structure and catalytic activity. Dalton Trans. 2018, 47, 15666–15669. [Google Scholar] [CrossRef]
- Astakhov, G.S.; Bilyachenko, A.N.; Levitsky, M.M.; Shul’pina, L.S.; Korlyukov, A.A.; Zubavichus, Y.V.; Khrustalev, V.N.; Vologzhanina, A.V.; Shubina, E.S.; Dorovatovskii, P.V.; et al. Coordination Affinity of Cu(II)-Based Silsesquioxanes toward N,N-Ligands and Associated Skeletal Rearrangements: Cage and Ionic Products Exhibiting a High Catalytic Activity in Oxidation Reactions. Inorg. Chem. 2020, 59, 4536–4545. [Google Scholar] [CrossRef]
- Kulakova, A.N.; Khrustalev, V.N.; Zubavichus, Y.V.; Shul’pina, L.S.; Shubina, E.S.; Levitsky, M.M.; Ikonnikov, N.S.; Bilyachenko, A.N.; Kozlov, Y.N.; Shul’pin, G.B. Palanquin-like Cu4Na4 Silsesquioxane. Synthesis (via oxidation of 1,1-bis(diphenyphosphino)methane), structure and catalytic activity in akane or alcohol oxidation with peroxides. Catalysts 2019, 9, 154. [Google Scholar] [CrossRef]
- Kulakova, A.N.; Bilyachenko, A.N.; Khrustalev, V.N.; Zubavichus, Y.V.; Dorovatovskii, P.V.; Shul’pina, L.S.; Bantreil, X.; Lamaty, F.; Shubina, E.S.; Levitsky, M.M.; et al. Cu42Ge24Na4—A Giant Trimetallic Sesquioxane Cage: Synthesis, Structure, and Catalytic Activity. Catalysts 2018, 8, 484. [Google Scholar] [CrossRef]
- Kulakova, A.N.; Korlyukov, A.A.; Zubavichus, Y.V.; Khrustalev, V.N.; Bantreil, X.; Shul’pina, L.S.; Levitsky, M.M.; Ikonnikov, N.S.; Shubina, E.S.; Lamaty, F.; et al. Hexacoppergermsesquioxanes as complexes with N-ligands: Synthesis, structure and catalytic properties. J. Organometal. Chem. 2019, 884, 17–28. [Google Scholar] [CrossRef]
- Kulakova, A.N.; Sedykh, E.E.; Levitsky, M.M.; Dorovatovskii, P.V.; Khrustalev, V.N.; Shul’pina, L.S.; Shubina, E.S.; Kozlov, Y.N.; Ikonnikov, N.S.; Bilyachenko, A.N.; et al. The first tris-heteroleptic copper cage, ligated by germsesquioxanes, 2,2′-bipyridines and 3,5-dimethylpyrazolates. Synthesis, structure and unique catalytic activity in oxidation of alkanes and alcohols with peroxides. J. Organometal. Chem. 2019, 899, 120911. [Google Scholar] [CrossRef]
- Punniyamurthy, T.; Rout, L. Recent advances in copper-catalyzed oxidation of organic compounds. Coord. Chem. Rev. 2008, 252, 134–154. [Google Scholar] [CrossRef]
- Sabbatini, A.; Martins, L.M.D.R.S.; Mahmudov, K.T.; Kopylovich, M.N.; Drew, M.G.B.; Pettinari, C.; Pombeiro, A.J.L. Microwave-assisted and solvent-free peroxidative oxidation of 1-phenylethanol to acetophenone with a CuII-TEMPO catalytic system. Catal. Com. 2014, 48, 69–72. [Google Scholar] [CrossRef]
- Perraud, O.; Sorokin, A.B.; Dutasta, J.-P.; Martinez, A. Oxidation of cycloalkanes by H2O2 using a copper–hemicryptophane complex as a catalyst. Chem. Commun. 2013, 49, 1288–1290. [Google Scholar] [CrossRef] [PubMed]
- Ünver, H.; Kani, I. Homogeneous oxidation of alcohols in water catalyzed with Cu(II)-triphenyl acetate/bipyridyl complex. Polyhedron 2017, 134, 257–262. [Google Scholar] [CrossRef]
- Czerwińska, K.; Machura, B.; Kula, S.; Krompiec, S.; Erfurt, K.; Roma-Rodrigues, C.; Fernandes, A.R.; Shul’pina, L.S.; Ikonnikov, N.S.; Shul’pin, G.B. Copper(II) complexes of functionalized 2,2′:6′,2″-terpyridines and 2,6-di(thiazol-2-yl)pyridine: Structure, spectroscopy, cytotoxicity and catalytic activity. Dalton Trans. 2017, 46, 9591–9604. [Google Scholar] [CrossRef]
- Gurbanov, A.V.; Martins, L.M.D.R.S.; Kopylovich, M.N.; Sutradhar, M.; Zubkov, F.I.; Mahmudov, K.T.; Pombeiro, A.J.L. Mechanochemical and Conventional Synthesis of Copper(II)Coordination Polymers Bearing Arylhydrazone of Acetoacetanilide and Their Catalytic Activityin Conversion of Acetone to Acetic Acid. ChemistrySelect 2020, 5, 923–7927. [Google Scholar] [CrossRef]
- Choroba, K.; Machura, B.; Kula, S.; Raposo, L.R.; Fernandes, A.R.; Kruszynski, R.; Erfurt, K.; Shul’pina, L.S.; Kozlov, Y.N.; Shul’pin, G.B. Copper(II) complexes with 2,2′:6′,2”-terpyridine, 2,6-di(thiazol-2-yl)pyridine and 2,6-di(pyrazin-2-yl)pyridine substituted with quinolines. Synthesis, structure, antiproliferative activity, and catalytic activity in oxidation of alkanes and alcohols with peroxides. Dalton Trans. 2019, 48, 12656–12673. [Google Scholar] [CrossRef]
- Brinksma, J.; Rispens, M.T.; Hage, R.; Feringa, B.L. New manganese catalysts for alcohol oxidation. Inorg. Chim. Acta 2002, 337, 75–82. [Google Scholar] [CrossRef]
- Steen, J.D.; Stepanovic, S.; Parvizian, M.; de Boer, J.W.; Hage, R.; Chen, J.; Swart, M.; Gruden, M.; Browne, W.R. Lewis versus Bronsted Acid Activation of a Mn(IV) Catalyst for Alkene Oxidation. Inorg. Chem. 2019, 58, 14924–14930. [Google Scholar] [CrossRef]
- Pinto, M.F.; Olivares, M.; Vivancos, A.; Guisado-Barrios, G.; Albrecht, M.; Royo, B. (Di)Triazolylidene Manganese Complexes in Catalytic Oxidation of Alcohols to Ketones and Aldehydes. Catal. Sci. Technol. 2019, 9, 2421–2425. [Google Scholar] [CrossRef]
- Shul’pin, G.B.; Lindsay-Smith, J.R. Oxidations by the reagent ‘H2O2–manganese(IV) complex–carboxylic acid’. Part 1. Oxidation of saturated hydrocarbons with peroxy acids and hydrogen peroxide. Russ. Chem. Bull. 1998, 47, 2379–2386. [Google Scholar] [CrossRef]
- Lindsay Smith, J.R.; Shul’pin, G.B. Efficient stereoselective oxygenation of alkanes by peroxyacetic acid or hydrogen peroxide and acetic acid catalysed by a manganese(IV) 1,4,7-trimethyl-1,4,7-triazacyclononane complex. Tetrahedron Lett. 1998, 39, 4909–4912. [Google Scholar] [CrossRef]
- Shul’pin, G.B.; Süss-Fink, G.; Lindsay Smith, J.R. Oxidations by the system “Hydrogen Peroxide–Manganese(IV) Complex–Acetic Acid”, Part II. Hydroperoxidation and hydroxylation of alkanes in acetonitrile. Tetrahedron 1999, 55, 5345–5358. [Google Scholar] [CrossRef]
- Shul’pin, G.B.; Süss-Fink, G.; Shul’pina, L.S. Oxidations by the system “hydrogen peroxide–manganese(IV) complex–carboxylic acid”. Part 3. Oxygenation of ethane, higher alkanes, alcohols, olefins and sulfides. J. Mol. Catal. A Chem. 2001, 170, 17–34. [Google Scholar] [CrossRef]
- Mandelli, D.; Woitiski, C.B.; Schuchardt, U.; Shul’pin, G.B. Hydrogen-peroxide epoxidation of natural olefins catalyzed by a dinuclear manganese complex. Chem. Natur. Comp. 2002, 38, 243–245. [Google Scholar] [CrossRef]
- Shul’pin, G.B.; Nizova, G.V.; Kozlov, Y.N.; Pechenkina, I.G. Oxidations by the “hydrogen peroxide–manganese(IV) complex–carboxylic acid” system. Part 4. Efficient acid-base switching between catalase and oxygenase activities of a dinuclear manganese(IV) complex in the reaction with H2O2 and an alkane. New J. Chem. 2002, 26, 1238–1245. [Google Scholar] [CrossRef]
- Nizova, G.V.; Bolm, C.; Ceccarelli, S.; Pavan, C.; Shul’pin, G.B. Hydrocarbon oxidations with hydrogen peroxide catalyzed by a soluble polymer-bound manganese(IV) complex with 1,4,7-triazacyclononane. Adv. Synth. Catal. 2002, 344, 899–905. [Google Scholar] [CrossRef]
- Kozlov, Y.N.; Mandelli, D.; Woitiski, C.B.; Shul’pin, G.B. Mechanism of the oxidation of olefins and alkanes with a H2O2–dimeric Mn(IV) complex–acetic acid system. Russ. J. Phys. Chem. 2004, 78, 370–374. [Google Scholar]
- Woitiski, C.B.; Kozlov, Y.N.; Mandelli, D.; Nizova, G.V.; Schuchardt, U.; Shul’pin, G.B. Oxidations by the system “hydrogen peroxide–dinuclear manganese(IV) complex–carboxylic acid”. Part 5. Epoxidation of olefins including natural terpenes. J. Mol. Catal. A Chem. 2004, 222, 103–119. [Google Scholar] [CrossRef]
- Shul’pin, G.B.; Nizova, G.V.; Kozlov, Y.N.; Arutyunov, V.S.; dos Santos, A.C.M.; Ferreira, A.C.T.; Mandelli, D. Oxidations by the system ‘‘hydrogen peroxide–[Mn2L2O3][PF6]2 (L = 1,4,7-trimethyl-1,4,7-triazacyclononane)–oxalic acid’’. Part 6. Oxidation of methane and other alkanes and olefins in water. J. Organometal. Chem. 2005, 690, 4498–4504. [Google Scholar] [CrossRef]
- Mandelli, D.; Steffen, R.A.; Shul’pin, G.B. Carvone epoxidation by the system “Hydrogen peroxide–[Mn2L2O3][PF6]2 (L =1,4,7-trimethyl-1,4,7-triazacyclononane)–carboxylic acid”: A combinatorial approach to the process optimization” <Part 7 from the series “Oxidations by the system hydrogen peroxide–[Mn2L2O3][PF6]2 (L = 1,4,7-trimethyl-1,4,7-triazacyclononane)–carboxylic acid. React. Kinet. Catal. Lett. 2006, 88, 165–174. [Google Scholar]
- Romakh, V.B.; Therrien, B.; Karmazin-Brelot, L.; Labat, G.; Stoeckli-Evans, H.; Shul’pin, G.B.; Süss-Fink, G. Dinuclear manganese complexes containing 1,4-dimethyl-1,4,7-triazacyclononane ligands as well as carboxylato and oxo bridges. Inorg. Chim. Acta 2006, 359, 1619–1626. [Google Scholar] [CrossRef]
- Romakh, V.B.; Therrien, B.; Süss-Fink, G.; Shul’pin, G.B. Dinuclear manganese complexes containing chiral 1,4,7-triazacyclononane-derived ligands and their catalytic potential for the oxidation of olefins, alkanes, and alcohols. Inorg. Chem. 2007, 46, 1315–1331. [Google Scholar] [CrossRef] [PubMed]
- Nizova, G.V.; Shul’pin, G.B. A unique rate-accelerating effect of certain amino acids in the H2O2 oxidation of alkanes catalyzed by a dinuclear manganese complex containing 1,4,7-trimethyl-1,4,7-triazacyclononane” <Part 9 from the series “Oxidations by the system hydrogen peroxide–[Mn2L2O3][PF6]2 (L = 1,4,7-trimethyl-1,4,7-triazacyclononane)–carboxylic acid”>. Tetrahedron 2007, 63, 7997–8001. [Google Scholar] [CrossRef]
- Kozlov, Y.N.; Nizova, G.V.; Shul’pin, G.B. Alkane oxidation by the system ‘tert-butyl hydroperoxide–[Mn2L2O3][PF6]2 (L = 1,4,7-trimethyl-1,4,7-triazacyclononane)–carboxylic acid. J. Phys. Org. Chem. 2008, 21, 119–126. [Google Scholar] [CrossRef]
- Shul’pin, G.B.; Matthes, M.G.; Romakh, V.B.; Barbosa, M.I.F.; Aoyagi, J.L.T.; Mandelli, D. Oxidations by the system ‘hydrogen peroxide–[Mn2L2O3][PF6]2 (L = 1,4,7-trimethyl-1,4,7-triazacyclononane)–carboxylic acid’. Part 10: Co-catalytic effect of different carboxylic acids in the oxidation of cyclohexane, cyclohexanol, and acetone. Tetrahedron 2008, 64, 2143–2152. [Google Scholar] [CrossRef]
- Shul’pin, G.B.; Kozlov, Y.N.; Kholuiskaya, S.N.; Plieva, M.I. Oxidations by the system ‘hydrogen peroxide–[Mn2L2O3]2+ (L = 1,4,7-trimethyl-1,4,7-triazacyclononane)–oxalic acid’. Part 11. Degradation of dye Rhodamine 6G and oxygenation of cyclohexene. J. Mol. Catal. A Chem. 2009, 299, 77–87. [Google Scholar] [CrossRef]
- Shul’pin, G.B.; Kozlov, Y.N.; Shul’pina, L.S.; Strelkova, T.V.; Mandelli, D. Oxidation of Reactive Alcohols with Hydrogen Peroxide Catalyzed by Manganese Complexes” <Part 12 from the series “Oxidations by the system hydrogen peroxide–[Mn2L2O3]2+ (L = 1,4,7-trimethyl-1,4,7-triazacyclononane)–carboxylic acid”>. Catal. Lett. 2010, 138, 193–204. [Google Scholar] [CrossRef]
- Kozlov, Y.N.; Shul’pina, L.S.; Strelkova, T.V.; Shul’pin, G.B. Kinetics and Mechanism of 1-Phenylethanol Oxidation by the System Hydrogen Peroxide–Manganese(IV) Binuclear Complex–Oxalic Acid. Russ. J. Phys. Chem. A 2010, 84, 1502–1505. [Google Scholar] [CrossRef]
- Mandelli, D.; Kozlov, Y.N.; Carvalho, W.A.; Shul’pin, G.B. Oxidations by the system ‘hydrogen peroxide–[Mn2L2O3]2+ (L = 1,4,7-trimethyl-1,4,7-triazacyclononane)–carboxylic acid’. Part 13. Epoxidation of methyl oleate in acetonitrile solution. Catal. Commun. 2012, 26, 93–97. [Google Scholar] [CrossRef]
- Shul’pin, G.B.; Nesterov, D.S.; Shul’pina, L.S.; Pombeiro, A.J.L. A hydroperoxo-rebound mechanism of alkane oxidation with hydrogen peroxide catalyzed by binuclear manganese(IV) complex in the presence of an acid with involvement of atmospheric dioxygen <Part 14 from the series “Oxidations by the system hydrogen peroxide–[Mn2L2O3]2+ (L = 1,4,7-trimethyl-1,4,7-triazacyclononane)–carboxylic acid”>. Inorg. Chim. Acta 2017, 455, 666–676. [Google Scholar] [CrossRef]
- Conte, V.; Coletti, A.; Floris, B.; Licini, G.; Zonta, C. Mechanistic aspects of vanadium catalysed oxidations with peroxides. Coord. Chem. Rev. 2011, 255, 2165–2177. [Google Scholar] [CrossRef]
- Shul’pin, G.B.; Attanasio, D.; Suber, L. Efficient H2O2 oxidation of alkanes and arenes to alkyl peroxides and phenols catalyzed by the system vanadate–pyrazine-2-carboxylic acid. J. Catal. 1993, 142, 147–152. [Google Scholar] [CrossRef]
- Shul’pin, G.B.; Attanasio, D.; Suber, L. Oxidations by a H2O2–VO3––pyrazine-2-carboxylic acid reagent. 1. Oxidations of alkanes in CH3CN to produce alkyl peroxides. Russ. Chem. Bull. 1993, 42, 55–59. [Google Scholar]
- Kirillov, A.M.; Shul’pin, G.B. Pyrazinecarboxylic acid and analogs: Highly efficient co-catalysts in the metal-complex-catalyzed oxidation of organic compounds. Coord. Chem. Rev. 2013, 257, 732–754. [Google Scholar] [CrossRef]
- Shul’pin, G.B.; Druzhinina, A.N.; Nizova, G.V. Oxidation with the H2O2–VO3––pyrazine-2-carboxylic acid reagent. 2. Oxidation of alcohols and aromatic hydrocarbons. Russ. Chem. Bull. 1993, 42, 1327–1329. [Google Scholar]
- Nizova, G.V.; Shul’pin, G.B. Oxidation by a H2O2–vanadium complex–2-pyrazinecarboxylic acid reagent. 3. Evidence for hydroxyl radical formation. Russ. Chem. Bull. 1994, 43, 1146–1148. [Google Scholar] [CrossRef]
- Shul’pin, G.B.; Süss-Fink, G. Oxidations by the reagent “H2O2–vanadium complex–pyrazine-2-carboxylic acid”. Part 4. Oxidation of alkanes, benzene and alcohols by an adduct of H2O2 with urea. J. Chem. Soc. Perkin Trans. 2 1995, 7, 1459–1463. [Google Scholar] [CrossRef]
- Shul’pin, G.B.; Drago, R.S.; Gonzalez, M. Oxidations by a “H2O2-vanadium complex–pyrazine-2-carboxylic acid” reagent. 5. Oxidation of lower alkanes with the formation of carbonyl compounds. Russ. Chem. Bull. 1996, 45, 2386–2388. [Google Scholar] [CrossRef]
- Guerreiro, M.C.; Schuchardt, U.; Shul’pin, G.B. Oxidation with the “O2–VO3––pyrazine-2-carboxylic acid” reagent. Part 6. Oxidation of n-heptane and cyclohexane. Direct determination of alkyl hydroperoxides by gas-liquid chromatography. Russ. Chem. Bull. 1997, 46, 749–754. [Google Scholar] [CrossRef]
- Shul’pin, G.B.; Guerreiro, M.C.; Schuchardt, U. Oxidations by the reagent O2-H2O2-vanadium complex-pyrazine-2-carboxylic acid. Part 7. Hydroperoxidation of higher alkanes. Tetrahedron 1996, 52, 13051–13062. [Google Scholar] [CrossRef]
- Nizova, G.V.; Süss-Fink, G.; Shul’pin, G.B. Oxidations by the reagent «O2-H2O2-vanadium complex-pyrazine-2-carboxylic acid»-8. Efficient oxygenation of methane and other lower alkanes in acetonitrile. Tetrahedron 1997, 53, 3603–3614. [Google Scholar] [CrossRef]
- Schuchardt, U.; Guerreiro, M.C.; Shul’pin, G.B. Oxidation with the ‘O2–H2O2–vanadium complex–pyrazine-2-carboxylic acid’ reagent. 9. Oxidation of cyclohexene and decalin. Russ. Chem. Bull. 1998, 47, 247–252. [Google Scholar] [CrossRef]
- Süss-Fink, G.; Nizova, G.V.; Stanislas, S.; Shul’pin, G.B. Oxidations by the reagent ‘O2–H2O2–vanadate anion–pyrazine-2-carboxylic acid’. Part 10. Oxygenation of methane in acetonitrile and water. J. Mol. Catal. A Chem. 1998, 13, 163–170. [Google Scholar] [CrossRef]
- Shul’pin, G.B.; Ishii, Y.; Sakaguchi, S.; Iwahama, T. Oxidations with the “O2-H2O2-vanadiumcomplex-pyrazine-2-carboxylic acid” reagent. 11. Oxidation of styrene, phenylacetylene, and their derivatives with the formation of benzaldehyde and benzoic acid. Russ. Chem. Bull. 1999, 48, 887–890. [Google Scholar]
- Süss-Fink, G.; Stanislas, S.; Shul’pin, G.B.; Nizova, G.V.; Stoeckli-Evans, H.; Neels, A.; Bobillier, C.; Claude, S. Oxidative functionalisation of alkanes: Synthesis, molecular structure and catalytic implications of anionic vanadium(V) oxo and peroxo complexes containing bidentate N,O ligands. J. Chem. Soc. Dalton Trans. 1999, 18, 3169–3175. [Google Scholar] [CrossRef]
- Shul’pin, G.B.; Kozlov, Y.N.; Nizova, G.V.; Süss-Fink, G.; Stanislas, S.; Kitaygorodskiy, A.; Kulikova, V.S. Oxidations by the reagent “O2-H2O2-vanadium derivative–pyrazine-2-carboxylic acid” Part 12. Main features, kinetics and mechanism of alkane hydroperoxidation. J. Chem. Soc. Perkin Trans. 2 2001, 2, 1351–1371. [Google Scholar] [CrossRef]
- Kozlov, Y.N.; Nizova, G.V.; Shul’pin, G.B. The mechanism of hydrogen peroxide-induced aerobic oxidation of alkanes in catalysis by a vanadium complex and pyrazine-2-carboxylic acid. Russ. J. Phys. Chem. 2001, 75, 770–774. [Google Scholar]
- Süss-Fink, G.; Gonzalez, L.; Shul’pin, G.B. Alkane oxidation with hydrogen peroxide catalyzed homogeneously by vanadium-containing polyphosphomolybdates. Appl. Catal. A General. 2001, 217, 111–117. [Google Scholar] [CrossRef]
- Shul’pin, G.B.; Kozlov, Y.N. Kinetics and mechanism of alkane hydroperoxidation with tert-butyl hydroperoxide catalysed by a vanadate ion. Org. Biomol. Chem. 2003, 1, 2303–2306. [Google Scholar] [CrossRef] [PubMed]
- Süss-Fink, G.; Hong, Y.; Nizova, G.V.; Stanislas, S.; Shul’pin, G.B. Oxygenation of methane with atmospheric oxygen in aqueous solution promoted by H2O2 and catalyzed by a vanadate ion–pyrazine-2-carboxylic acid system. Russ. Chem. Bull. 1997, 46, 1801–1803. [Google Scholar] [CrossRef]
- Nizova, G.V.; Kozlov, Y.N.; Shul’pin, G.B. Effect of acetonitrile on the catalytic decomposition of hydrogen peroxide by vanadium ions and conjugated oxidation of alkanes. Russ. Chem. Bull. 2004, 53, 2330–2333. [Google Scholar] [CrossRef]
- Kozlov, Y.N.; Nizova, G.V.; Shul’pin, G.B. Oxidations by the reagent “O2–H2O2–vanadium derivative–pyrazine-2-carboxylic acid”. Part 14. Competitive oxidation of alkanes and acetonitrile (solvent). J. Mol. Catal. A Chem. 2005, 227, 247–253. [Google Scholar] [CrossRef]
- De la Cruz, M.H.C.; Kozlov, Y.N.; Lachter, E.R.; Shul’pin, G.B. Oxidations by the reagent “O2-H2O2-vanadium derivative-pyrazine-2-carboxylic acid. Part 13. Kinetics and mechanism of the benzene hydroxylation. New J. Chem. 2003, 27, 634–638. [Google Scholar] [CrossRef]
- Jannini, M.J.D.M.; Shul’pina, L.S.; Schuchardt, U.; Shul’pin, G.B. Oxidation of alkanes with hydrogen peroxide catalyzed by the “vanadate-ion–pyrazine-2-carboxylic acid” system in the presence of pyridine (Part 15 of the series “Oxidations by the reagent O2–H2O2–vanadium derivative–pyrazine-2-carboxylic acid”). Petrol. Chem. 2005, 45, 413–418. [Google Scholar]
- Khaliullin, R.Z.; Bell, A.T.; Head-Gordon, M. A density functional theory study of the mechanism of free radical generation in the system vanadate/PCA/H2O2. J. Phys. Chem. B 2005, 109, 17984–17992. [Google Scholar] [CrossRef]
- Kozlov, Y.N.; Romakh, V.B.; Kitaygorodskiy, A.; Buglyó, P.; Süss-Fink, G.; Shul’pin, G.B. Oxidation of 2-propanol and cyclohexane by the reagent “Hydrogen peroxide-vanadate anion-pyrazine-2-carboxylic acid”: Kinetics and mechanism. J. Phys. Chem. A 2007, 111, 7736–7752. [Google Scholar] [CrossRef]
- Romakh, V.B.; Süss-Fink, G.; Shul’pin, G.B. Vanadate ion-catalyzed oxidation of methane with hydrogen peroxide in an aqueous solution. Petrol. Chem. 2008, 48, 440–443. [Google Scholar] [CrossRef]
- Bolm, C. Vanadium-catalyzed asymmetric oxidations. Coord. Chem. Rev. 2003, 237, 245–256. [Google Scholar] [CrossRef]
- Gusevskaya, E.V.; Menini, L.; Parreira, L.A.; Mesquita, R.A.; Kozlov, Y.N.; Shul’pin, G.B. Oxidation of isoeugenol to vanillin by the “H2O2-vanadate-pyrazine-2-carboxylic acid” reagent. J. Mol. Catal. A 2012, 363–364, 140–147. [Google Scholar] [CrossRef]
- Sutradhar, M.; Shvydkiy, N.V.; Guedes da Silva, M.F.C.; Kirillova, M.V.; Kozlov, Y.N.; Pombeiro, A.J.L.; Shul’pin, G.B. New binuclear oxovanadium(V) complex as a catalyst in combination with pyrazinecarboxylic acid (PCA) for efficient alkane oxygenation by H2O2. Dalton Trans. 2013, 42, 11791–11803. [Google Scholar] [CrossRef] [PubMed]
- Licini, G.; Conte, V.; Coletti, A.; Mba, M.; Zont, C. Recent advances in vanadium catalyzed oxygen transfer reactions. Coord. Chem. Rev. 2011, 255, 2345–2357. [Google Scholar] [CrossRef]
- Sutradhar, M.; da Silva, J.A.L.; Pombeiro, A.J.L. (Eds.) Vanadium Catalysis; RSC: London, UK, 2020; Chapter 4; pp. 72–96. ISBN 978-1-83916-088-2. [Google Scholar] [CrossRef]
- Bryliakov, K.P.; Talsi, E.P.; Stas’ko, S.N.; Kholdeeva, O.A.; Popov, S.A.; Tkachev, A.V. Stereoselective oxidation of linalool with tert-butyl hydroperoxide, catalyzed by a vanadium(V) complex with a chiral terpenoid ligand. J. Mol. Catal. A Chem. 2003, 194, 79–88. [Google Scholar] [CrossRef]
- Fomenko, I.S.; Vincendeau, S.; Manoury, E.; Poli, R.; Abramov, P.A.; Nadolinny, V.A.; Sokolov, M.N.; Gushchin, A.L. An oxidovanadium(IV) complex with 4,4′-di-tert-butyl-2,2′-bipyridine ligand: Synthesis, structure and catalyzed cyclooctene epoxidation. Polyhedron 2020, 177, 114305. [Google Scholar] [CrossRef]
- Süss-Fink, G.; Gonzalez Cuervo, L.; Therrien, B.; Stoeckli-Evans, H.; Shul’pin, G.B. Mono and oligonuclear vanadium complexes as catalysts for alkane oxidation: Synthesis, molecular structure and catalytic potential. Inorg. Chim. Acta 2004, 357, 475–484. [Google Scholar] [CrossRef]
- Kirillova, M.V.; Kuznetsov, M.L.; Romakh, V.B.; Shul’pina, L.S.; Fraústo da Silva, J.J.R.; Pombeiro, A.J.L.; Shul’pin, G.B. Mechanism of oxidations with H2O2 catalyzed by vanadate anion or oxovanadium(V) triethanolaminate (vanadatrane) in combination with pyrazine-2-carboxylic acid (PCA): Kinetic and DFT studies. J. Catal. 2009, 267, 140–157. [Google Scholar] [CrossRef]
- Shul’pina, L.S.; Kirillova, M.V.; Pombeiro, A.J.L.; Shul’pin, G.B. Alkane oxidation by the H2O2–NaVO3–H2SO4 system in acetonitrile and water. Tetrahedron 2009, 65, 2424–2429. [Google Scholar] [CrossRef]
- Kirillova, M.V.; Kuznetsov, M.L.; Kozlov, Y.N.; Shul’pina, L.S.; Kitaygorodskiy, A.; Pombeiro, A.J.L.; Shul’pin, G.B. Participation of Oligovanadates in Alkane Oxidation with H2O2 Catalyzed by Vanadate Anion in Acidified Acetonitrile: Kinetic and DFT Studies. ACS Catal. 2011, 1, 1511–1520. [Google Scholar] [CrossRef]
- Sutradhar, M.; Martins, L.M.; Roy Barman, T.; Kuznetsov, M.L.; Guedes da Silva, M.F.C.; Pombeiro, A.J.L. Vanadium complexes of different nuclearities in the catalytic oxidation of cyclohexane and cyclohexanol—An experimental and theoretical investigation. New J. Chem. 2019, 43, 17557–17570. [Google Scholar] [CrossRef]
- Maurya, M.R.; Tomar, R.; Avecilla, F.; Ribeiro, N.; Carvalho, M.F.N.N.; Kuznetsov, M.L.; Correia, I.; Pessoa, J.C. Trinuclear vanadium(iv) and vanadium(v) complexes derived from 2,4,6-triacetylphloroglucinol and study of their peroxidase mimicking activity. Dalton Trans. 2020, 49, 2589–2609. [Google Scholar] [CrossRef] [PubMed]
- Nagataki, T.; Ishii, K.; Tachi, Y.; Itoh, S. Ligand effects on NiII-catalysed alkane-hydroxylation with m-CPBA. Dalton Trans. 2007, 1120–1128. [Google Scholar] [CrossRef] [PubMed]
- Itoh, S.; Bandoh, H.; Nagatomo, S.; Kitagawa, T.; Fukuzumi, S. Aliphatic hydroxylation by a bis(_-oxo)dinickel(III) complex. J. Am. Chem. Soc. 1999, 121, 8945–8946. [Google Scholar] [CrossRef]
- Kunishita, A.; Doi, Y.; Kubo, M.; Ogura, T.; Sugimoto, H.; Itoh, S. Ni(II)/H2O2 reactivity in bis[(pyridin-2-yl)methyl] amine tridentate ligand system. Aromatic hydroxylation reaction by bis(_-oxo)dinickel(III)complex. Inorg. Chem. 2009, 48, 4997–5004. [Google Scholar] [CrossRef]
- Bilyachenko, A.N.; Yalymov, A.I.; Shul’pina, L.S.; Mandelli, D.; Korlyukov, A.A.; Vologzhanina, A.V.; Es’kova, M.A.; Shubina, E.S.; Levitsky, M.M.; Shul’pin, G.B. Novel Cage-Like Hexanuclear Nickel(II) Silsesquioxane. Synthesis, Structure, and Catalytic Activity in Oxidations with Peroxides. Molecules 2016, 21, 665. [Google Scholar] [CrossRef]
- Bilyachenko, A.N.; Yalymov, A.I.; Levitsky, M.M.; Korlyukov, A.A.; Es’kova, M.A.; Long, J.; Larionova, J.; Guari, Y.; Shul’pina, L.S.; Ikonnikov, N.S.; et al. First cage-like pentanuclear Co(II)-silsesquioxane. Dalton Trans. 2016, 35, 13663–13666. [Google Scholar] [CrossRef]
- Paul, A.; Martins, L.M.D.R.S.; Karmakar, A.; Kuznetsov, M.L.; Novikov, A.S.; Guedes da Silva, M.F.C.; Pombeiro, A.J.L. Invironmentally benign benzyl alcohol oxidation and C-C coupling catalysed by amide functionalized 3D Co(II) and Zn(II) metal organic frameworks. J. Catal. 2020, 385, 324–337. [Google Scholar] [CrossRef]
- Shul’pin, G.B.; Kozlov, Y.N.; Shul’pina, L.S.; Petrovskiy, P.V. Oxidation of alkanes and alcohols with hydrogen peroxide catalyzed by complex Os3(CO)10(mu-H)2. Appl. Organometal. Chem. 2010, 24, 464–472. [Google Scholar] [CrossRef]
- Shul’pin, G.B.; Kozlov, Y.N.; Shul’pina, L.S.; Kudinov, A.R.; Mandelli, D. Extremely Efficient Alkane Oxidation by a New Catalytic Reagent H2O2/Os3(CO)12/Pyridine. Inorg. Chem. 2009, 48, 10480–10482. [Google Scholar] [CrossRef]
- Shul’pin, G.B.; Kudinov, A.R.; Shul’pina, L.S.; Petrovskaya, E.A. Oxidations catalyzed by osmium compounds. Part 1: Efficient alkane oxidation with peroxides catalyzed by an olefin carbonyl osmium(0) complex. J. Organometal. Chem. 2006, 691, 837–845. [Google Scholar] [CrossRef]
- Shul’pina, L.S.; Kudinov, A.R.; Petrovskaya, E.A.; Strelkova, T.V.; Shul’pin, G.B. Hydrogen peroxide oxidation of alkanes catalyzed by the osmium complex Os3(CO)11(eta2-PhCOCH=CHCOPh). Petrol. Chem. 2006, 46, 164–166. [Google Scholar] [CrossRef]
Publisher’s Note: MDPI stays neutral with regard to jurisdictional claims in published maps and institutional affiliations. |
© 2021 by the authors. Licensee MDPI, Basel, Switzerland. This article is an open access article distributed under the terms and conditions of the Creative Commons Attribution (CC BY) license (http://creativecommons.org/licenses/by/4.0/).



































