Autothermal Reforming of Acetic Acid to Hydrogen and Syngas on Ni and Rh Catalysts
Abstract
:1. Introduction
2. Results and Discussion
2.1. Equilibrium Modelling of ATR of HAc
2.2. Experiments with Ni- and Rh-Based Packed Bed Catalysts
2.2.1. HAc Conversion on Ni and Rh Packed Bed Catalysts
2.2.2. Product Distribution and H2 Yield, and Whether to Pre-Reduce or Not a Ni or Rh Catalyst for ATR of HAc
2.2.3. Oxidation Test (POX)
2.2.4. Feed Molar Steam to Carbon Ratio (S/C)
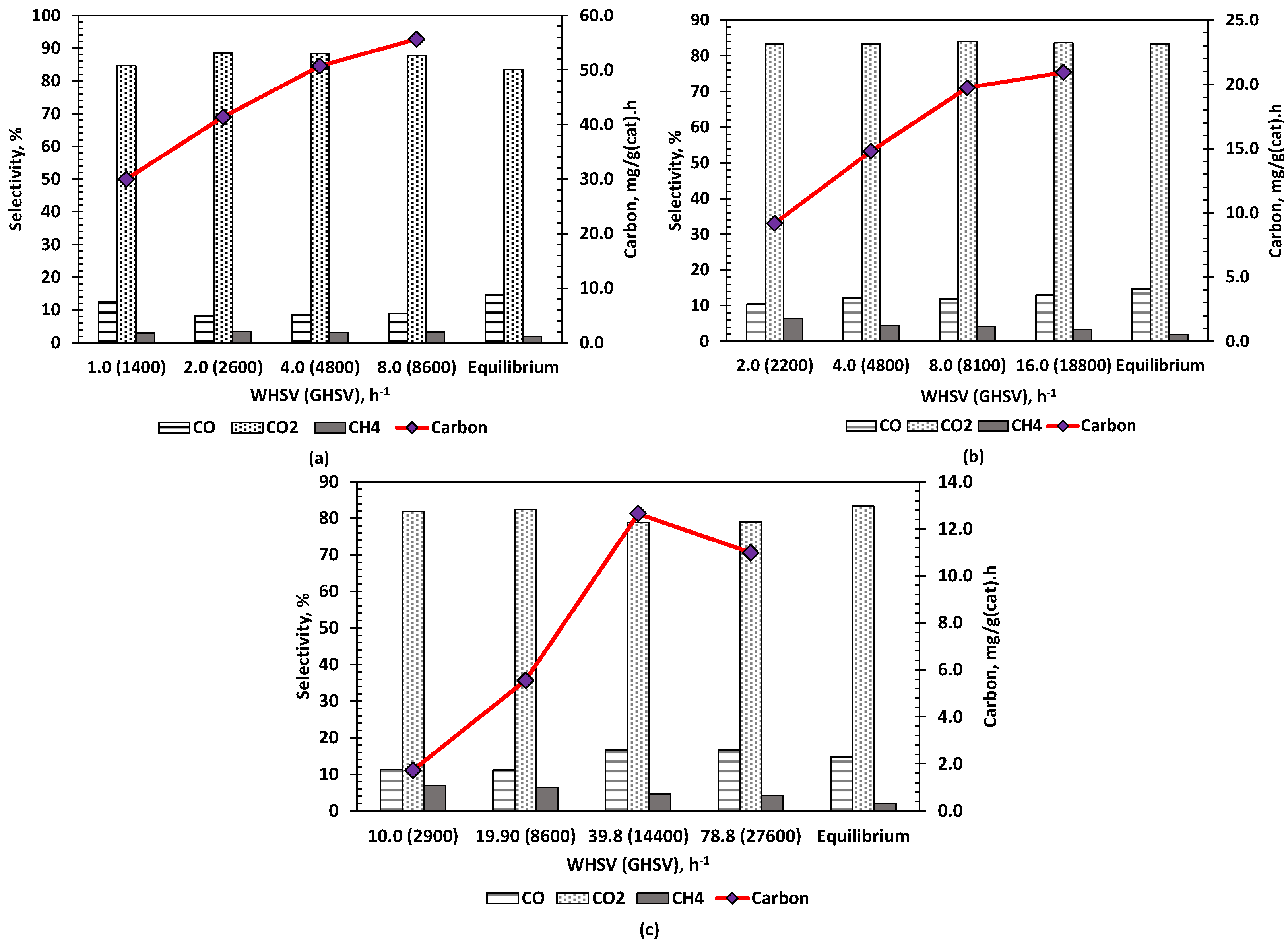
2.2.5. Space Velocity Effect on Carbon Products
2.3. Experiments with Rh-Based Monoliths
2.3.1. HAc Conversion on Rh Monoliths
2.3.2. Product Distribution and H2 Yield
2.3.3. Effect of the Feed Steam to Carbon Ratio
2.3.4. Effect of the Space Velocity
3. Experimental
3.1. Catalyst
3.2. Catalyst Characterisation
3.3. Reactor Setup
3.4. Gas Analysis
3.5. Experimental Procedure
3.5.1. Ni- and Rh-Based Catalysts Packed Bed Experiments
3.5.2. Rh-Based Honeycomb Monoliths Experiments
4. Conclusions
Supplementary Materials
Author Contributions
Funding
Institutional Review Board Statement
Informed Consent Statement
Data Availability Statement
Acknowledgments
Conflicts of Interest
References
- Kang, I.; Bae, J. Autothermal reforming study of diesel for fuel cell application. J. Power Sources 2006, 159, 1283–1290. [Google Scholar] [CrossRef]
- Czernik, S.; French, R. Distributed production of hydrogen by auto-thermal reforming of fast pyrolysis bio-oil. Int. J. Hydrogen Energy 2014, 39, 744–750. [Google Scholar] [CrossRef]
- Bridgwater, A.V.; Meier, D.; Radlein, D. An overview of fast pyrolysis of biomass. Org. Geochem. 1999, 30, 1479–1493. [Google Scholar] [CrossRef]
- Xiu, S.; Shahbazi, A. Bio-oil production and upgrading research: A review. Renew. Sustain. Energy Rev. 2012, 16, 4406–4414. [Google Scholar] [CrossRef]
- Hu, X.; Gholizadeh, M. Biomass pyrolysis: A review of the process development and challenges from initial researches up to the commercialisation stage. J. Energy Chem. 2019, 39, 109–143. [Google Scholar] [CrossRef] [Green Version]
- Pimenidou, P.; Dupont, V. Characterisation of palm empty fruit bunch (PEFB) and pinewood bio-oils and kinetics of their thermal degradation. Bioresour. Technol. 2012, 109, 198–205. [Google Scholar] [CrossRef] [Green Version]
- Zin, R.M.; Lea-Langton, A.; Dupont, V.; Twigg, M.V. High hydrogen yield and purity from palm empty fruit bunch and pine pyrolysis oils. Int. J. Hydrogen Energy 2012, 37, 10627–10638. [Google Scholar] [CrossRef] [Green Version]
- Basagiannis, A.C.; Verykios, X.E. Reforming reactions of acetic acid on nickel catalysts over a wide temperature range. Appl. Catal. A Gen. 2006, 308, 182–193. [Google Scholar] [CrossRef]
- Trane, R.; Dahl, S.; Skjøth-Rasmussen, M.S.; Jensen, A.D. Catalytic steam reforming of bio-oil. Int. J. Hydrogen Energy 2012, 37, 6447–6472. [Google Scholar] [CrossRef]
- Wang, Q.; Xie, W.; Jia, X.Y.; Chen, B.Q.; An, S.; Xie, X.Y.; Huang, L.H. Ca-Al layered double hydroxides-derived Ni-based catalysts for hydrogen production via auto-thermal reforming of acetic acid. Int. J. Hydrogen Energy 2019, 44, 20007–20016. [Google Scholar] [CrossRef]
- Wang, Q.; Zhou, Q.; An, S.; Yang, H.; Huang, L.H. Effect of Fe on CoxAl3FeyOm +/-delta Catalysts for Hydrogen Production by Auto-thermal Reforming of Acetic Acid. J. Inorg. Mater. 2019, 34, 811–816. [Google Scholar] [CrossRef] [Green Version]
- Hu, X.M.; Chen, H.; Jia, X.Y.; Wang, Q.; Huang, L.H. Y-Mn-O Supported Ni-Based Catalyst for Hydrogen Production via Auto-thermal Reforming of Acetic Acid. Chin. J. Inorg. Chem. 2021, 37, 555–560. [Google Scholar]
- Hu, X.M.; Yang, J.L.; Sun, W.J.; Wang, N.; An, S.; Wang, Q.; Zhang, Y.; Xie, X.Y.; Huang, L.H. Y-Zr-O solid solution supported Ni-based catalysts for hydrogen production via auto-thermal reforming of acetic acid. Appl. Catal. B-Environ. 2020, 278, 119264. [Google Scholar] [CrossRef]
- Song, Y.X.; Chen, B.Q.; Hu, X.M.; Wang, Q.; Xie, X.Y.; Dai, H.; Huang, L.H. Highly Efficient Al-Doped Ni-Mn-O Catalysts for Auto-Thermal Reforming of Acetic Acid: Role of MnAl2O4 for Stability of Ni Species. Energy Fuels 2020, 34, 14647–14655. [Google Scholar] [CrossRef]
- An, S.; Zhang, Y.; Hu, X.M.; Xie, X.Y.; Wang, Q.; Chen, H.; Huang, L.H. Durable Mn(II)Cr(III)O-x composites-supported Ni-based catalysts with wide dynamic range for hydrogen production via auto-thermal reforming of acetic acid. Fuel 2020, 278, 118227. [Google Scholar] [CrossRef]
- Li, H.G.; Jia, X.Y.; Wang, N.; Chen, B.Q.; Xie, X.Y.; Wang, Q.; Huang, L.H. Auto-thermal reforming of acetic acid over hydrotalcites-derived co-based catalyst: A stable and anti-coking Co/Sr-Alx-O catalyst. Appl. Catal. B-Environ. 2020, 267, 118370. [Google Scholar] [CrossRef]
- Zhou, Q.; Zhong, X.Y.; Xie, X.Y.; Jia, X.Y.; Chen, B.Q.; Wang, N.; Huang, L.H. Auto-thermal reforming of acetic acid for hydrogen production by ordered mesoporous Ni-xSm-Al-O catalysts: Effect of samarium promotion. Renew. Energy 2020, 145, 2316–2326. [Google Scholar] [CrossRef]
- Banza Lubaba Nkulu, C.; Casas, L.; Haufroid, V.; de Putter, T.; Saenen, N.D.; Kayembe-Kitenge, T.; Obadia, P.M.; Mukoma, D.K.W.; Ilunga, J.-M.L.; Nawrot, T.S.; et al. Sustainability of artisanal mining of cobalt in DR Congo. Nat. Sustain. 2018, 1, 495–504. [Google Scholar] [CrossRef] [PubMed]
- Shedd, K.B. Cobalt, U.S. Geological Survey Minerals Yearbook—2016; U.S. Geological Survey, Department of the Interior: Reston, VA, USA, 2016. [Google Scholar]
- Tkaczyk, A.H.; Bartl, A.; Amato, A.; Lapkovskis, V.; Petranikova, M. Sustainability evaluation of essential critical raw materials: Cobalt, niobium, tungsten and rare earth elements. J. Phys. D Appl. Phys. 2018, 51, 203001. [Google Scholar] [CrossRef] [Green Version]
- European Comission. Communication from the Commission to the European Parliament, the Council, the European Economic and Social Committee and the Committee of the regions on the 2017 List of Critical Raw Matrials for the EU; COM(2017) 490 final 2017; European Comission: Brussel, Belgium, 2017. [Google Scholar]
- Zeng, X.; Li, J. On the sustainability of cobalt utilization in China. Resour. Conserv. Recycl. 2015, 104, 12–18. [Google Scholar] [CrossRef]
- Miceli, M.; Frontera, P.; Macario, A.; Malara, A. Recovery/Reuse of Heterogeneous Supported Spent Catalysts. Catalysts 2021, 11, 591. [Google Scholar] [CrossRef]
- Saguru, C.; Ndlovu, S.; Moropeng, D. A review of recent studies into hydrometallurgical methods for recovering PGMs from used catalytic converters. Hydrometallurgy 2018, 182, 44–56. [Google Scholar] [CrossRef]
- Jia, L.-P.; Huang, J.-J.; Ma, Z.-L.; Liu, X.-H.; Chen, X.-Y.; Li, J.-T.; He, L.-H.; Zhao, Z.-W. Research and development trends of hydrometallurgy: An overview based on Hydrometallurgy literature from 1975 to 2019. Trans. Nonferrous Met. Soc. China 2020, 30, 3147–3160. [Google Scholar] [CrossRef]
- Viera, M.; Pogliani, C.; Donati, E. Recovery Of Zinc, Nickel, Cobalt And Other Metals By Bioleaching. In Microbial Processing of Metal Sulfides; Donati, E., Sand, W., Eds.; Springer: Dordrecht, The Netherlands, 2007. [Google Scholar]
- Sverdrup, H.U.; Olafsdottir, A.H. Assessing the Long-Term Global Sustainability of the Production and Supply for Stainless Steel. BioPhys. Econ. Resour. Qual. 2019, 4, 1–29. [Google Scholar] [CrossRef] [Green Version]
- Cheng, F.; Dupont, V. Nickel catalyst auto-reduction during steam reforming of bio-oil model compound acetic acid. Int. J. Hydrogen Energy 2013, 38, 15160–15172. [Google Scholar] [CrossRef]
- Cheng, F.; Dupont, V. Steam Reforming of Bio-Compounds with Auto-Reduced Nickel Catalyst. Catalysts 2017, 7, 114. [Google Scholar] [CrossRef]
- Cheng, F.; Dupont, V.; Twigg, M.V. Direct reduction of nickel catalyst with model bio-compounds. Appl. Catal. B Environ. 2017, 200, 121–132. [Google Scholar] [CrossRef] [Green Version]
- Omoniyi, O.A.; Dupont, V. Chemical looping steam reforming of acetic acid in a packed bed reactor. Appl. Catal. B Environ. 2018, 226, 258–268. [Google Scholar] [CrossRef]
- Omoniyi, O.A.; Dupont, V. Optimised cycling stability of sorption enhanced chemical looping steam reforming of acetic acid in a packed bed reactor. Appl. Catal. B Environ. 2019, 242, 397–409. [Google Scholar] [CrossRef]
- Zhao, Z.; Qiu, Z.; Yang, J.; Ma, B.; Li, Z.; Lu, S.; Xu, Y.; Cao, L.; Zhang, W. Recovery of Rare Earth Element Cerium from Spent Automotive Exhaust Catalysts Using a Novel Method. Waste Biomass Valorization 2019, 11, 4967–4976. [Google Scholar] [CrossRef]
- Prasetyo, E.; Anderson, C. Platinum Group Elements Recovery from Used Catalytic Converters by Acidic Fusion and Leaching. Metals 2020, 10, 485. [Google Scholar] [CrossRef] [Green Version]
- Cybulski, A.; Moulijn, J.A. Structured Catalysts and Reactors, 2nd ed.; Chemical Industries; CRC press, Taylor & Francis Group: Boca Raton, FL, USA, 2006. [Google Scholar]
- Rennard, D.C.; Kruger, J.S.; Schmidt, L.D. Autothermal catalytic partial oxidation of glycerol to syngas and to non-equilibrium products. ChemSusChem 2009, 2, 89–98. [Google Scholar] [CrossRef]
- Biegger, P.; Kirchbacher, F.; Medved, A.; Miltner, M.; Lehner, M.; Harasek, M. Development of Honeycomb Methanation Catalyst and Its Application in Power to Gas Systems. Energies 2018, 11, 1679. [Google Scholar] [CrossRef] [Green Version]
- Doherty, W.; Reynolds, A.; Kennedy, D. Aspen Plus Simulation of Biomass Gasification in a Steam Blown Dual Fluidised Bed. In Materials and Processes for Energy: Communicating Current Research and Technological Developments; Mendez-Vilas, A., Ed.; Formatex Research Centre: Montreal, Canada, 2013; ISBN 978-84-939843-7-3. [Google Scholar]
- Halvorsen, B.M.; Adhikari, U.; Eikeland, M.S. Gasification of Biomass for Production of Syngas for Biofuel. In Proceedings of the 56th Conference on Simulation and Modelling, Linköping, Sweden, 7–9 October 2015. [Google Scholar]
- Vagia, E.; Lemonidou, A. Thermodynamic analysis of hydrogen production via autothermal steam reforming of selected components of aqueous bio-oil fraction. Int. J. Hydrogen Energy 2008, 33, 2489–2500. [Google Scholar] [CrossRef]
- Specchia, S.; Vella, L.D.; de Rogatis, L.; Montini, T.; Specchia, V.; Fornasiero, P. Rh-based catalysts for syngas production via SCT-CPO reactors. Catal. Today 2010, 155, 101–107. [Google Scholar] [CrossRef]
- Bengaard, H.S.; Nørskov, J.K.; Sehested, J.; Clausen, B.S.; Nielsen, L.P.; Molenbroek, A.M.; Rostrup-Nielsen, J.R. Steam Reforming and Graphite Formation on Ni Catalysts. J. Catal. 2002, 209, 365–384. [Google Scholar] [CrossRef]
- Rostrup-Nielsen, J.R. Activity of Nickel Catalysts for Steam Reforming of Hydrocarbons. J. Catal. 1973, 31, 173–199. [Google Scholar] [CrossRef]
- Vis, J.C.; Buk, H.F.J.V.; Huizinga, T.; van Grondelle, J.; Prins, R. Reduction and oxidation of Rh/Al2O3 and Rh/TiO2 catalysts as studied by temperature-programmed reduction and oxidation. J. Mol. Catal. 1984, 25, 367–378. [Google Scholar] [CrossRef] [Green Version]
- Oh, S.; Carpenter, J.E. The oxidation state and catalytic activity of supported rhodium. J. Catal. 1983, 80, 472–478. [Google Scholar] [CrossRef]
- Zheng, Q.; Farrauto, R.; Deeba, M.; Valsamakis, I. Part I: A Comparative Thermal Aging Study on the Regenerability of Rh/Al2O3 and Rh/CexOy-ZrO2 as Model Catalysts for Automotive Three Way Catalysts. Catalysts 2015, 5, 1770–1796. [Google Scholar] [CrossRef]
- Gustafson, J.; Balmes, O.; Zhang, C.; Shipilin, M.; Schaefer, A.; Hagman, B.; Merte, L.R.; Martin, N.M.; Carlsson, P.-A.; Jankowski, M.; et al. The Role of Oxides in Catalytic CO Oxidation over Rhodium and Palladium. ACS Catal. 2018, 8, 4438–4445. [Google Scholar] [CrossRef]
- Rood, S.; Eslava, S.; Manigrasso, A.; Bannister, C. Recent advances in gasoline three-way catalyst formulation: A review. Proc. Inst. Mech. Eng. Part D J. Automob. Eng. 2019, 234, 936–949. [Google Scholar] [CrossRef]
- Medrano, J.; Oliva, M.; Ruiz, J.; Garcia, L.; Arauzo, J. Catalytic steam reforming of acetic acid in a fluidized bed reactor with oxygen addition. Int. J. Hydrogen Energy 2008, 33, 4387–4396. [Google Scholar] [CrossRef]
- Cabello, A.; Gayán, P.; García-Labiano, F.; de Diego, L.F.; Abad, A.; Izquierdo, M.T.; Adánez, J. Relevance of the catalytic activity on the performance of a NiO/CaAl2O4 oxygen carrier in a CLC process. Appl. Catal. B Environ. 2014, 147, 980–987. [Google Scholar] [CrossRef]
- Lu, Y.; Xue, J.Z.; Yu, C.C.; Liu, Y.; Shen, S.K. Mechanistic investigations on the partial oxidation of methane to synthesis gas over a nickel-on-alumina catalyst. Appl. Catal. Gen. 1998, 174, 121–128. [Google Scholar] [CrossRef]
- Gutierrez, A.; Karinen, R.; Airaksinen, S.; Kaila, R.; Krause, A.O.I. Autothermal reforming of ethanol on noble metal catalysts. Int. J. Hydrogen Energy 2011, 36, 8967–8977. [Google Scholar] [CrossRef]
- Liguras, D.K.; Goundani, K.; Verykios, X.E. Production of hydrogen for fuel cells by catalytic partial oxidation of ethanol over structured Ni catalysts. J. Power Sources 2004, 130, 30–37. [Google Scholar] [CrossRef]
- Marquevich, M.; Czernik, S.; Chornet, E.; Montane, D. Hydrogen from biomass: Steam reforming of model compounds of fast-pyrolysis oil. Energy Fuels 1999, 13, 1160–1166. [Google Scholar] [CrossRef]
- Kaila, R.K.; Gutiérrez, A.; Slioor, R.; Kemell, M.; Leskelä, M.; Krause, A.O.I. Zirconia-supported bimetallic RhPt catalysts: Characterization and testing in autothermal reforming of simulated gasoline. Appl. Catal. B Environ. 2008, 84, 223–232. [Google Scholar] [CrossRef]
- Cavallaro, S. Ethanol Steam Reforming on Rh/Al2O3Catalysts. Energy Fuels 2000, 14, 1195–1199. [Google Scholar] [CrossRef]
- Aupretre, F.; Descorme, C.; Duprez, D. Hydrogen production for fuel cells from the catalytic ethanol steam reforming. Top. Catal. 2004, 30–31, 487–491. [Google Scholar] [CrossRef]
- Hohn, K.L.; Schmidt, L.D. Partial oxidation of methane to syngas at high space velocities over Rh-coated spheres. Appl. Catal. Gen. 2001, 211, 53–68. [Google Scholar] [CrossRef]
- Tande, L.N.; Resendiz-Mora, E.; Dupont, V. Bioh2, Heat and Power from Palm Empty Fruit Bunch via Pyrolysis-Autothermal Reforming: Plant Simulation, Experiments, and CO2 Mitigation. Energies 2021, 14, 4767. [Google Scholar] [CrossRef]











| Component | Flow, mol/s | Flow, mL/h (NTP) |
|---|---|---|
| Acetic acid, liq. | 4.85 × 10−6 | 1.000 |
| Water (S/C = 2), liq. | 1.941 × 10−5 | 1.261 |
| O2 needed for COX *, STP | 9.71 × 10−6 | 840 |
| Air needed for COX *, STP | 4.62 × 10−5 | 3999.0 |
| Catalyst | BET (m2/g) | BJH Surface Area (m2/g) | Pore Size (nm) | Pore Volume (cm3/g) |
|---|---|---|---|---|
| Ni-Al (fresh) | 4.251 | 4.485 | 1.372 | 0.012 |
| Ni-Al (reduced) | 3.756 | 4.125 | 1.255 | 0.011 |
| Ni-CaAl (fresh) | 24.239 | 19.39 | 0.738 | 0.052 |
| Ni-CaAl (reduced) | 31.652 | 32.145 | 1.215 | 0.061 |
| Rh-Al (fresh) | 228.8 | 245.4 | 6.001 | 0.4386 |
| Rh-Al (reduced) | 229.3 | 244.4 | 6.056 | 0.7930 |
| γ-Al2O3 | 303.9 | 322.6 | 6.175 | 1.051 |
| Catalyst | Conv, % HAc | Product Distribution, mol% | CD, mg/(g(cat).h) ATR | |||||
|---|---|---|---|---|---|---|---|---|
| H2 | CO | CH4 | CO2 | H2/CO | POX | |||
| Ni-Al | 83.6 | 36.1 | 14.4 | 6.6 | 43.0 | 2.5 | 50.1 | 25.7 |
| Ni-CaAl | 91.1 | 34.7 | 16.7 | 8.5 | 40.0 | 2.1 | 34.9 | 13.9 |
| Rh-Al | 88.5 | 32.0 | 15.9 | 8.8 | 43.3 | 2.0 | 28.3 | 5.5 |
| Equilibrium | 86.3 | 38.0 | 18.5 | 4.2 | 39.3 | 2.1 | 0.0 | 0.0 |
| ATR Condition | Water, mL/h | Air, mL/min | S/C | λ | Temperature, °C |
|---|---|---|---|---|---|
| 1 | 1.257 | 42.3 | 1 | 0.341 | 613 |
| 2 | 2.514 | 43.3 | 2 | 0.353 | 570 |
| 3 | 3.771 | 46.4 | 3 | 0.375 | 546 |
| Conversion % | Selectivity % | Syngas mol/s H2 + CO + CH4 | H2 Yield wt.% | Products Ratio | ||||||
|---|---|---|---|---|---|---|---|---|---|---|
| HAc | H2O | H2 | CO | CO2 | CH4 | H2/CO | CO2/CO | |||
| Equil | 100.0 | 5.4 | 98.2 | 14.6 | 83.4 | 2.0 | 2.40 × 10−5 | 7.2 | 7.3 | 5.7 |
| R-M | 92.6 | −0.4 | 98.8 | 16.3 | 82.5 | 1.2 | 2.13 × 10−5 | 6.2 | 6.1 | 5.1 |
| RC-M | 93.7 | 0.5 | 97.5 | 14.2 | 83.4 | 2.4 | 2.12 × 10−5 | 6.3 | 6.7 | 5.9 |
| Rh/Al | 100.0 | 3.4 | 95.2 | 16.7 | 78.8 | 4.5 | 2.14 × 10−5 | 6.5 | 5.3 | 4.7 |
| Ni/Al | 90.5 | 2.2 | 96.3 | 9.1 | 87.2 | 3.7 | 2.01 × 10−5 | 6.0 | 10.7 | 9.6 |
| Ni/CaAl | 94.0 | 2.0 | 95.9 | 11.9 | 84.0 | 4.2 | 2.16 × 10−5 | 6.6 | 8.1 | 7.1 |
Publisher’s Note: MDPI stays neutral with regard to jurisdictional claims in published maps and institutional affiliations. |
© 2021 by the authors. Licensee MDPI, Basel, Switzerland. This article is an open access article distributed under the terms and conditions of the Creative Commons Attribution (CC BY) license (https://creativecommons.org/licenses/by/4.0/).
Share and Cite
Tande, L.N.; Resendiz-Mora, E.; Dupont, V.; Twigg, M.V. Autothermal Reforming of Acetic Acid to Hydrogen and Syngas on Ni and Rh Catalysts. Catalysts 2021, 11, 1504. https://doi.org/10.3390/catal11121504
Tande LN, Resendiz-Mora E, Dupont V, Twigg MV. Autothermal Reforming of Acetic Acid to Hydrogen and Syngas on Ni and Rh Catalysts. Catalysts. 2021; 11(12):1504. https://doi.org/10.3390/catal11121504
Chicago/Turabian StyleTande, Lifita N., Erik Resendiz-Mora, Valerie Dupont, and Martyn V. Twigg. 2021. "Autothermal Reforming of Acetic Acid to Hydrogen and Syngas on Ni and Rh Catalysts" Catalysts 11, no. 12: 1504. https://doi.org/10.3390/catal11121504
APA StyleTande, L. N., Resendiz-Mora, E., Dupont, V., & Twigg, M. V. (2021). Autothermal Reforming of Acetic Acid to Hydrogen and Syngas on Ni and Rh Catalysts. Catalysts, 11(12), 1504. https://doi.org/10.3390/catal11121504

