Review on Carbon Dioxide Utilization for Cycloaddition of Epoxides by Ionic Liquid-Modified Hybrid Catalysts: Effect of Influential Parameters and Mechanisms Insight
Abstract
1. Introduction
2. Summary
3. Results of Reaction Parameters and Influencing Factors for the Production of Cyclic Carbonates
3.1. Effect of Influence of Reaction Temperature for Cycloaddition of Epoxides with CO2
3.2. Effect of Influence of Reaction Pressure Condition for Cycloaddition of Epoxides with CO2
3.3. Effect of Influence of Solvent for Cycloaddition of Epoxides with CO2
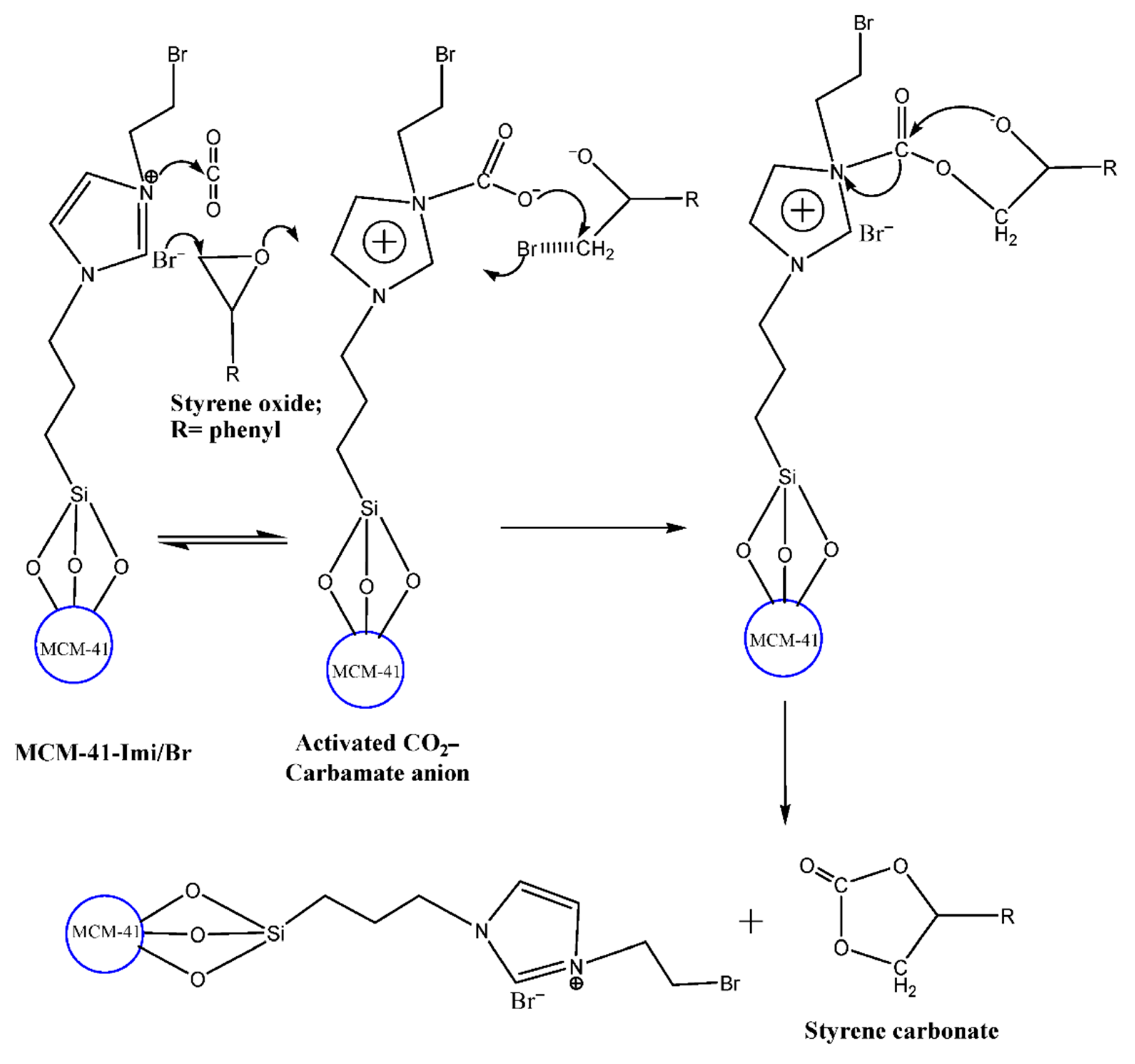
4. Discussion of the Mechanism Insight of Cycloaddition of Epoxides with CO2
4.1. Activation of CO2 for Cycloaddition of Epoxides
4.2. Ring Opening of Epoxide
5. Conclusions
Author Contributions
Funding
Acknowledgments
Conflicts of Interest
References
- Srivastava, R.; Srinivas, D.; Ratnasamy, P. CO2 activation and synthesis of cyclic carbonates and alkyl/arylcarbamates over adenine-modified Ti-SBA-15 solid catalysts. J. Catal. 2005, 233, 1–15. [Google Scholar] [CrossRef]
- Luo, Y.; Ben, H.; Wu, Z.; Nie, K.; Han, G.; Jiang, W. Impact of CO2 on pyrolysis products of bituminous coal and platanus sawdust. Polymers 2019, 11, 1370. [Google Scholar] [CrossRef] [PubMed]
- Hong, D.; Si, T.; Li, X.; Guo, X. Reactive molecular dynamic simulations of the CO2 gasification effect on the oxy-fuel combustion of Zhundong coal char. Fuel Process. Technol. 2020, 199, 106305. [Google Scholar] [CrossRef]
- Alvaro, M.; Baleizao, C.; Carbonell, E.; El Ghoul, M.; García, H.; Gigante, B. Polymer-bound aluminium salen complex as reusable catalysts for CO2 insertion into epoxides. Tetrahedron 2005, 61, 12131–12139. [Google Scholar] [CrossRef]
- McGee, M. What the World Needs to Watch. Available online: http://co2now.org/ (accessed on 20 June 2020).
- Leung, D.Y.C.; Caramanna, G.; Maroto-Valer, M.M. An overview of current status of carbon dioxide capture and storage technologies. Renew. Sustain. Energy Rev. 2014, 39, 426–443. [Google Scholar] [CrossRef]
- Takht Ravanchi, M.; Sahebdelfar, S. Carbon dioxide capture and utilization in petrochemical industry: Potentials and challenges. Appl. Petrochem. Res. 2014, 4, 63–77. [Google Scholar] [CrossRef]
- Al-Mamoori, A.; Krishnamurthy, A.; Rownaghi, A.A.; Rezaei, F. Carbon capture and utilization update. Energy Technol. 2017, 5, 834–849. [Google Scholar] [CrossRef]
- Liu, J.; Wang, A.; Jing, H. TiO2-based green heterogeneous catalysts for the cycloaddition of CO2 to epoxides. Chin. J. Catal. 2014, 35, 1669–1675. [Google Scholar] [CrossRef]
- Barbarini, A.; Maggi, R.; Mazzacani, A.; Mori, G.; Sartori, G.; Sartorio, R. Cycloaddition of CO2 to epoxides over both homogeneous and silica-supported guanidine catalysts. Tetrahedron Lett. 2003, 44, 2931–2934. [Google Scholar] [CrossRef]
- Zhou, Y.; Hu, S.; Ma, X.; Liang, S.; Jiang, T.; Han, B. Synthesis of cyclic carbonates from carbon dioxide and epoxides over betaine-based catalysts. J. Mol. Catal. A Chem. 2008, 284, 52–57. [Google Scholar] [CrossRef]
- Alvaro, M.; Baleizao, C.; Das, D.; Carbonell, E.; García, H. CO2 fixation using recoverable chromium salen catalysts: Use of ionic liquids as cosolvent or high-surface-area silicates as supports. J. Catal. 2004, 228, 254–258. [Google Scholar] [CrossRef]
- Noh, J.; Chang, J.-S.; Park, J.-N.; Lee, K.Y.; Park, S.-E. CO2 utilization for the formation of styrene from ethylbenzene over zirconia-supported iron oxide catalysts. Appl. Organomet. Chem. 2000, 14, 815–818. [Google Scholar] [CrossRef]
- Song, C. Global challenges and strategies for control, conversion and utilization of CO2 for sustainable development involving energy, catalysis, adsorption and chemical processing. Catal. Today 2006, 115, 2–32. [Google Scholar] [CrossRef]
- Hutchings, G. Catalyst Synthesis Using Supercritical Carbon Dioxide: A Green Route to High Activity Materials. Top. Catal. 2009, 52, 982–987. [Google Scholar] [CrossRef]
- Peters, M.; Köhler, B.; Kuckshinrichs, W.; Leitner, W.; Markewitz, P.; Müller, T.E. Chemical Technologies for Exploiting and Recycling Carbon Dioxide into the Value Chain. ChemSusChem 2011, 4, 1216–1240. [Google Scholar] [CrossRef]
- Koohestanian, E.; Sadeghi, J.; Mohebbi-Kalhori, D.; Shahraki, F.; Samimi, A. A novel process for CO2 capture from the flue gases to produce urea and ammonia. Energy 2018, 144, 279–285. [Google Scholar] [CrossRef]
- Huo, Z.; Hu, M.; Zeng, X.; Yun, J.; Jin, F. Catalytic reduction of carbon dioxide into methanol over copper under hydrothermal conditions. Catal. Today 2012, 194, 25–29. [Google Scholar] [CrossRef]
- Iijima, T.; Yamaguchi, T. Efficient regioselective carboxylation of phenol to salicylic acid with supercritical CO2 in the presence of aluminium bromide. J. Mol. Catal. A Chem. 2008, 295, 52–56. [Google Scholar] [CrossRef]
- Leitner, W. Carbon Dioxide as a Raw Material: The Synthesis of Formic Acid and Its Derivatives from CO2. Angew. Chem. Int. Ed. Engl. 1995, 34, 2207–2221. [Google Scholar] [CrossRef]
- Darensbourg, D.J.; Holtcamp, M.W.; Struck, G.E.; Zimmer, M.S.; Niezgoda, S.A.; Rainey, P.; Robertson, J.B.; Draper, J.D.; Reibenspies, J.H. Catalytic Activity of a Series of Zn (II) Phenoxides for the Copolymerization of Epoxides and Carbon Dioxide. J. Am. Chem. Soc. 1998, 121, 107–116. [Google Scholar] [CrossRef]
- Muthuraj, R.; Mekonnen, T. Recent progress in carbon dioxide (CO2) as feedstock for sustainable materials development: Co-polymers and polymer blends. Polymer 2018, 145, 348–373. [Google Scholar] [CrossRef]
- Ye, S.; Wang, S.; Lin, L.; Xiao, M.; Meng, Y. CO2 derived biodegradable polycarbonates: Synthesis, modification and applications. Adv. Ind. Eng. Polym. Res. 2019, 2, 143–160. [Google Scholar] [CrossRef]
- Forest, C.; Chaumont, P.; Cassagnau, P.; Swoboda, B.; Sonntag, P. Polymer nano-foams for insulating applications prepared from CO2 foaming. Prog. Polym. Sci. 2015, 41, 122–145. [Google Scholar] [CrossRef]
- Mazari, S.A.; Hossain, N.; Basirun, W.J.; Mubarak, N.M.; Abro, R.; Sabzoi, N.; Shah, A. An overview of catalytic conversion of CO2 into fuels and chemicals using metallic organic frameworks. Process. Saf. Environ. Prot. 2020. [Google Scholar] [CrossRef]
- Aresta, M.; Dibenedetto, A. Utilisation of CO2 as a chemical feedstock: Opportunities and challenges. Dalton Trans. 2007, 28, 2975–2992. [Google Scholar] [CrossRef]
- Tiwari, D.; Bhunia, H.; Bajpai, P.K. Adsorption of CO2 on KOH activated, N-enriched carbon derived from urea formaldehyde resin: Kinetics, isotherm and thermodynamic studies. Appl. Surf. Sci. 2018, 439, 760–771. [Google Scholar] [CrossRef]
- Yu, J.; Guo, M.; Muhammad, F.; Wang, A.; Zhang, F.; Li, Q.; Zhu, G. One-pot synthesis of highly ordered nitrogen-containing mesoporous carbon with resorcinol–urea–formaldehyde resin for CO2 capture. Carbon 2014, 69, 502–514. [Google Scholar] [CrossRef]
- Sajeeb, A.M.; Babu, C.S.; Arif, M.M. Evaluation of Mechanical Properties of Natural Fiber Reinforced Melamine Urea Formaldehyde (MUF) Resin Composites. Mater. Today: Proc. 2018, 5, 6764–6769. [Google Scholar] [CrossRef]
- Ma, C.-l.; Wang, Z.-r.; Hu, Z.-h.; Wang, Y.-h.; Zhao, Y.; Shi, J. Preparation of submicron monodisperse melamine resin microspheres and nitrogen-doped carbon microspheres derived from them. New Carbon Mater. 2020, 35, 269–285. [Google Scholar] [CrossRef]
- Kosugi, Y.; Imaoka, Y.; Gotoh, F.; Rahim, M.A.; Matsui, Y.; Sakanishi, K. Carboxylations of alkali metal phenoxides with carbon dioxide. Org. Biomol. Chem. 2003, 5, 817–821. [Google Scholar] [CrossRef]
- Tran, P.H.L.; Wang, T.; Yin, W.; Tran, T.T.D.; Nguyen, T.N.G.; Lee, B.-J.; Duan, W. Aspirin-loaded nanoexosomes as cancer therapeutics. Int. J. Pharm. 2019, 572, 118786. [Google Scholar] [CrossRef] [PubMed]
- Zimmermann, K.C.; Waterhouse, N.J.; Goldstein, J.C.; Schuler, M.; Green, D.R. Aspirin Induces Apoptosis through Release of Cytochrome c from Mitochondria. Neoplasia 2000, 2, 505–513. [Google Scholar] [CrossRef] [PubMed]
- Huang, Z.; Chiew, Y.C.; Lu, W.-D.; Kawi, S. Solubility of aspirin in supercritical carbon dioxide/alcohol mixtures. Fluid Phase Equilib. 2005, 237, 9–15. [Google Scholar] [CrossRef]
- The Keeling Curve. 2020. Available online: https://www.nationalgeographic.org/encyclopedia/keeling-curve/ (accessed on 20 November 2020).
- Ghosh, A.; Ramidi, P.; Pulla, S.; Sullivan, S.Z.; Collom, S.L.; Gartia, Y.; Munshi, P.; Biris, A.S.; Noll, B.C.; Berry, B.C. Cycloaddition of CO2 to Epoxides Using a Highly Active Co (III) Complex of Tetraamidomacrocyclic Ligand. Catal. Lett. 2010, 137, 1–7. [Google Scholar] [CrossRef]
- Khoshro, H.; Zare, H.R.; Namazian, M.; Jafari, A.A.; Gorji, A. Synthesis of cyclic carbonates through cycloaddition of electrocatalytic activated CO2 to epoxides under mild conditions. Electrochim. Acta 2013, 113, 263–268. [Google Scholar] [CrossRef]
- Dharman, M.M.; Choi, H.-J.; Park, S.-W.; Park, D.-W. Microwave Assisted Synthesis of Cyclic Carbonate Using Homogeneous and Heterogeneous Ionic Liquid Catalysts. Top. Catal. 2010, 53, 462–469. [Google Scholar] [CrossRef]
- Zalomaeva, O.V.; Maksimchuk, N.V.; Chibiryaev, A.M.; Kovalenko, K.A.; Fedin, V.P.; Balzhinimaev, B.S. Synthesis of cyclic carbonates from epoxides or olefins and CO2 catalyzed by metal-organic frameworks and quaternary ammonium salts. J. Energy Chem. 2013, 22, 130–135. [Google Scholar] [CrossRef]
- Jutz, F.; Grunwaldt, J.-D.; Baiker, A. Mn (III)(salen)-catalyzed synthesis of cyclic organic carbonates from propylene and styrene oxide in “supercritical” CO2. J. Mol. Catal. A Chem. 2008, 279, 94–103. [Google Scholar] [CrossRef]
- Aresta, M.; Dibenedetto, A.; Gianfrate, L.; Pastore, C. Nb (V) compounds as epoxides carboxylation catalysts: The role of the solvent. J. Mol. Catal. A Chem. 2003, 204–205, 245–252. [Google Scholar] [CrossRef]
- Sibaouih, A.; Ryan, P.; Leskela, M.; Rieger, B.; Repo, T. Facile synthesis of cyclic carbonates from CO2 and epoxides with cobalt (II)/onium salt based catalysts. Appl. Catal. A Gen. 2009, 365, 194–198. [Google Scholar] [CrossRef]
- Du, Y.; Cai, F.; Kong, D.I.; He, I.N. Organic solvent-free process for the synthesis of propylene carbonate from supercritical carbon dioxide and propylene oxide catalyzed by insoluble ion exchange resins. Green Chem. 2005, 7, 518–523. [Google Scholar] [CrossRef]
- Ulusoy, M.; Cetinkaya, E.; Cetinkaya, B. Conversion of carbon dioxide to cyclic carbonates using diimine Ru (II) complexes as catalysts. Appl. Organomet. Chem. 2009, 23, 68–74. [Google Scholar] [CrossRef]
- Kawanami, H.; Ikushima, Y. Chemical fixation of carbon dioxide to styrene carbonate under supercritical conditions with DMF in the absence of any additional catalysts. Chem. Commun. 2000. [Google Scholar] [CrossRef]
- Jiang, J.-L.; Hua, R. Efficient DMF Catalyzed Coupling of Epoxides with CO2 under Solvent Free Conditions to Afford Cyclic Carbonates. Synth. Commun. 2006, 36, 3141–3148. [Google Scholar] [CrossRef]
- Jing, H.; Nguyen, S.T. SnCl4-organic base: Highly efficient catalyst system for coupling reaction of CO2 and epoxides. J. Mol. Catal. A Chem. 2007, 261, 12–15. [Google Scholar] [CrossRef]
- Wang, Y.; Sun, J.; Xiang, D.; Wang, L.; Sun, J.; Xiao, F.-S. A Facile, Direct Synthesis of Styrene Carbonate from Styrene and CO2 Catalyzed by Au/Fe (OH)3—ZnBr2 /Bu4NBr System. Catal. Lett. 2009, 129, 437–443. [Google Scholar] [CrossRef]
- Xie, Y.; Zhang, Z.; Jiang, T.; He, J.; Han, B.; Wu, T.; Ding, K. CO2 Cycloaddition Reactions Catalyzed by an Ionic Liquid Grafted onto a Highly Cross-Linked Polymer Matrix. Angew. Chem. 2007, 119, 7393–7396. [Google Scholar] [CrossRef]
- He, L.-N.; Wang, J.-Q.; Wang, J.-L. Carbon dioxide chemistry: Examples and challenges in chemical utilization of carbon dioxide. Pure Appl. Chem. 2009, 81, 2069–2080. [Google Scholar] [CrossRef]
- Liang, S.; Liu, H.; Jiang, T.; Song, J.; Yang, G.; Han, B. Highly efficient synthesis of cyclic carbonates from CO2 and epoxides over Cellulose/KI. Chem. Commun. 2011, 47, 2131. [Google Scholar]
- Xiang, D.; Liu, X.; Sun, J.; Xiao, F.-S.; Sun, J. A novel route for synthesis of styrene carbonate using styrene and CO2 as substrates over basic resin R201 supported Au catalyst. Catal. Today 2009, 148, 383–388. [Google Scholar] [CrossRef]
- Jutz, F.; Andanson, J.-M.; Baiker, A. Ionic Liquids and Dense Carbon Dioxide: A Beneficial Biphasic System for Catalysis. Chem. Rev. 2010, 111, 322–353. [Google Scholar] [CrossRef] [PubMed]
- Yang, Z.-Z.; Zhao, Y.-N.; He, L.-N. CO2 chemistry: Task-specific ionic liquids for CO2 capture/activation and subsequent conversion. RSC Adv. 2011, 1, 545–567. [Google Scholar] [CrossRef]
- Cheng, W.; Xiao, B.; Sun, J.; Dong, K.; Zhang, P.; Zhang, S.; Ng, F.T.T. Effect of hydrogen bond of hydroxyl-functionalized ammonium ionic liquids on cycloaddition of CO2. Tetrahedron Lett. 2015, 56, 1416–1419. [Google Scholar] [CrossRef]
- Guglielmero, L.; Mezzetta, A.; Pomelli, C.S.; Chiappe, C.; Guazzelli, L. Evaluation of the effect of the dicationic ionic liquid structure on the cycloaddition of CO2 to epoxides. J. CO2 Util. 2019, 34, 437–445. [Google Scholar] [CrossRef]
- Ji, L.; Luo, Z.; Zhang, Y.; Wang, R.; Ji, Y.; Xia, F.; Gao, G. Imidazolium ionic liquids/organic bases: Efficient intermolecular synergistic catalysts for the cycloaddition of CO2 and epoxides under atmospheric pressure. Mol. Catal. 2018, 446, 124–130. [Google Scholar] [CrossRef]
- Liu, D.; Li, G.; Liu, H. Functionalized MIL-101 with imidazolium-based ionic liquids for the cycloaddition of CO2 and epoxides under mild condition. Appl. Surf. Sci. 2018, 428, 218–225. [Google Scholar] [CrossRef]
- Liu, M.; Liang, L.; Liang, T.; Lin, X.; Shi, L.; Wang, F.; Sun, J. Cycloaddition of CO2 and epoxides catalyzed by dicationic ionic liquids mediated metal halide: Influence of the dication on catalytic activity. J. Mol. Catal. A Chem. 2015, 408, 242–249. [Google Scholar] [CrossRef]
- Liu, M.; Zhao, P.; Gu, Y.; Ping, R.; Gao, J.; Liu, F. Squaramide functionalized ionic liquids with well-designed structures: Highly-active and recyclable catalyst platform for promoting cycloaddition of CO2 to epoxides. J. CO2 Util. 2020, 37, 39–44. [Google Scholar] [CrossRef]
- Mao, P.; Dai, W.; Yang, W.; Luo, S.; Zhang, Y.; Mao, J.; Luo, X.; Zou, J. Polymer nanoparticles grafted zinc-containing ionic liquids: A highly efficient and recyclable catalyst for cooperative cycloaddition of CO2 with epoxides. J. CO2 Util. 2018, 28, 96–106. [Google Scholar] [CrossRef]
- Muniandy, L.; Adam, F.; Rahman, N.R.A.; Ng, E.-P. Highly selective synthesis of cyclic carbonates via solvent free cycloaddition of CO2 and epoxides using ionic liquid grafted on rice husk derived MCM-41. Inorg. Chem. Commun. 2019, 104, 1–7. [Google Scholar] [CrossRef]
- Shang, Y.; Gong, Q.; Zheng, M.; Zhang, H.; Zhou, X. An efficient morpholinium ionic liquid based catalyst system for cycloaddition of CO2 and epoxides under mild conditions. J. Mol. Liq. 2019, 283, 235–241. [Google Scholar] [CrossRef]
- Tharun, J.; Kathalikkattil, A.C.; Roshan, R.; Kang, D.-H.; Woo, H.-C.; Park, D.-W. Microwave-assisted, rapid cycloaddition of allyl glycidyl ether and CO2 by employing pyridinium-based ionic liquid catalysts. Catal. Commun. 2014, 54, 31–34. [Google Scholar] [CrossRef]
- Wang, T.; Zheng, D.; Ma, Y.; Guo, J.; He, Z.; Ma, B.; Liu, L.; Ren, T.; Wang, L.; Zhang, J. Benzyl substituted imidazolium ionic liquids as efficient solvent-free catalysts for the cycloaddition of CO2 with epoxides: Experimental and Theoretic study. J. CO2 Util. 2017, 22, 44–52. [Google Scholar] [CrossRef]
- Wang, T.; Zhu, X.; Mao, L.; Liu, Y.; Ren, T.; Wang, L.; Zhang, J. Synergistic cooperation of bi-active hydrogen atoms in protic carboxyl imidazolium ionic liquids to push cycloaddition of CO2 under benign conditions. J. Mol. Liq. 2019, 296, 111936. [Google Scholar] [CrossRef]
- Wu, X.; Wang, M.; Xie, Y.; Chen, C.; Li, K.; Yuan, M.; Zhao, X.; Hou, Z. Carboxymethyl cellulose supported ionic liquid as a heterogeneous catalyst for the cycloaddition of CO2 to cyclic carbonate. Appl. Catal. A Gen. 2016, 519, 146–154. [Google Scholar] [CrossRef]
- Yang, C.; Liu, M.; Zhang, J.; Wang, X.; Jiang, Y.; Sun, J. Facile synthesis of DBU-based ionic liquids cooperated with ZnI2 as catalysts for efficient cycloaddition of CO2 to epoxides under mild and solvent-free conditions. Mol. Catal. 2018, 450, 39–45. [Google Scholar] [CrossRef]
- Zhang, Y.; Tan, Z.; Liu, B.; Mao, D.; Xiong, C. Coconut shell activated carbon tethered ionic liquids for continuous cycloaddition of CO2 to epichlorohydrin in packed bed reactor. Catal. Commun. 2015, 68, 73–76. [Google Scholar] [CrossRef]
- Zheng, D.; Wang, L.; Jiang, J.; Liu, F.; Zhang, J. Effect of cluster of protic pyrazolium ionic liquids or epoxides on the cycloaddition of CO2. J. Mol. Liq. 2019, 295, 111652. [Google Scholar] [CrossRef]
- Zhu, J.; Wang, S.; Gu, Y.; Xue, B.; Li, Y. A new and efficient method of graphene oxide immobilized with ionic liquids: Promoted catalytic activity for CO2 cycloaddition. Mater. Chem. Phys. 2018, 208, 68–76. [Google Scholar] [CrossRef]
- Bhanage, B.M.; Fujita, S.-i.; Ikushima, Y.; Arai, M. Synthesis of dimethyl carbonate and glycols from carbon dioxide, epoxides, and methanol using heterogeneous basic metal oxide catalysts with high activity and selectivity. Appl. Catal. A Gen. 2001, 219, 259–266. [Google Scholar] [CrossRef]
- Yano, T.; Matsui, H.; Koike, T.; Ishiguro, H.; Fujihara, H.; Yoshihara, M.; Maeshima, T. Magnesium oxide-catalysed reaction of carbon dioxide with an epoxide with retention of stereochemistry. Chem. Commun. 1997, 1129–1130. [Google Scholar] [CrossRef]
- Yamaguchi, K.; Ebitani, K.; Yoshida, T.; Yoshida, H.; Kaneda, K. Mg-Al Mixed Oxides as Highly Active Acid−Base Catalysts for Cycloaddition of Carbon Dioxide to Epoxides. J. Am. Chem. Soc. 1999, 121, 4526–4527. [Google Scholar] [CrossRef]
- Srivastava, R.; Srinivas, D.; Ratnasamy, P. Sites for CO2 activation over amine-functionalized mesoporous Ti(Al)-SBA-15 catalysts. Microporous Mesoporous Mater. 2006, 90, 314–326. [Google Scholar] [CrossRef]
- Lu, X.-B.; Wang, H.; He, R. Aluminum phthalocyanine complex covalently bonded to MCM-41 silica as heterogeneous catalyst for the synthesis of cyclic carbonates. J. Mol. Catal. A Chem. 2002, 186, 33–42. [Google Scholar] [CrossRef]
- Srivastava, R.; Srinivas, D.; Ratnasamy, P. Syntheses of polycarbonate and polyurethane precursors utilizing CO2 over highly effcient, solid as-synthesized MCM-41 catalyst. Tetrahedron Lett. 2006, 47, 4213–4217. [Google Scholar] [CrossRef]
- Qiao, K.; Ono, F.; Bao, Q.; Tomida, D.; Yokoyama, C. Efficient synthesis of styrene carbonate from CO2 and styrene oxide using zinc catalysts immobilized on soluble imidazolium–styrene copolymers. J. Mol. Catal. A Chem. 2009, 303, 30–34. [Google Scholar] [CrossRef]
- Jing, H.; Tao, C.; Lili, J.; Mei, W.; Wenyuan, Q. Ruthenium Salen/phenyltrimethylammonium tribromide catalyzed coupling reaction of carbon dioxide and epoxides. Catal. Commun. 2007, 8, 1630–1634. [Google Scholar] [CrossRef]
- Dai, W.-L.; Chen, L.; Yin, S.-F.; Luo, S.-L.; Au, C.-T. 3-(2-Hydroxyl-Ethyl)-1-Propylimidazolium Bromide Immobilized on SBA-15 as Efficient Catalyst for the Synthesis of Cyclic Carbonates via the Coupling of Carbon Dioxide with Epoxides. Catal. Lett. 2010, 135, 295–304. [Google Scholar] [CrossRef]
- Jagtap, S.; Bhanushali, M.; Panda, A.; Bhanage, B. Synthesis of cyclic carbonates from carbon dioxide and epoxides using alkali metal halide supported liquid phase catalyst. Catal. Lett. 2006, 112, 51–55. [Google Scholar] [CrossRef]
- Paddock, R.L.; Hiyama, Y.; McKay, J.M.; Nguyen, S.T. Co (III) porphyrin/DMAP: An efficient catalyst system for the synthesis of cyclic carbonates from CO2 and epoxides. Tetrahedron Lett. 2004, 45, 2023–2026. [Google Scholar] [CrossRef]
- Bai, D.; Wang, Q.; Song, Y.; Li, B.; Jing, H. Synthesis of cyclic carbonate from epoxide and CO2 catalyzed by magnetic nanoparticle-supported porphyrin. Catal. Commun. 2011, 12, 684–688. [Google Scholar] [CrossRef]
- Bai, D.; Wang, X.; Song, Y.; Li, B.; Zhang, L.; Yan, P.; Jing, H. Bifunctional Metalloporphyrins-Catalyzed Coupling Reaction of Epoxides and CO2 to Cyclic Carbonates. Chin. J. Catal. 2010, 31, 176–180. [Google Scholar]
- Jin, L.; Jing, H.; Chang, T.; Bu, X.; Wang, L.; Liu, Z. Metal porphyrin/phenyltrimethylammonium tribromide: High efficient catalysts for coupling reaction of CO2 and epoxides. J. Mol. Catal. A Chem. 2007, 261, 262–266. [Google Scholar] [CrossRef]
- Srivastava, R.; Srinivas, D.; Ratnasamy, P. Zeolite-based organic–inorganic hybrid catalysts for phosgene-free and solvent-free synthesis of cyclic carbonates and carbamates at mild conditions utilizing CO2. Appl. Catal. A Gen. 289 2005, 289, 128–134. [Google Scholar] [CrossRef]
- Jing-Xian, C.; Bi, J.; Wei-Li, D.; Sen-Lin, D.; Liu-Ren, C.; Zong-Jie, C.; Sheng-Lian, L.; Xu-Biao, L.; Xin-Man, T.; Chak-Tong, A. Catalytic fixation of CO2 to cyclic carbonates over biopolymer chitosan-grafted quarternary phosphonium ionic liquid as a recylable catalyst. Appl. Catal. A Gen. 2014, 484, 26–32. [Google Scholar] [CrossRef]
- Wei-Li, D.; Bi, J.; Sheng-Lian, L.; Xu-Biao, L.; Xin-Man, T.; Chak-Tong, A. Functionalized phosphonium-based ionic liquids as efficient catalysts for the synthesis of cyclic carbonate from expoxides and carbon dioxide. Appl. Catal. A Gen. 2014, 470, 183–188. [Google Scholar] [CrossRef]
- Yang, Z.; Sun, J.; Liu, X.; Su, Q.; Liu, Y.; Li, Q.; Zhang, S. Nano-sized polydopamine-based biomimetic catalyst for the efficient synthesis of cyclic carbonates. Tetrahedron Lett. 2014, 55, 3239–3243. [Google Scholar] [CrossRef]
- Wei-Li, D.; Bi, J.; Sheng-Lian, L.; Xu-Biao, L.; Xin-Man, T.; Chak-Tong, A. Polymer grafted with asymmetrical dication ionic liquid as efficient and reusable catalysts for the synthesis of cyclic carbonates from CO2 and expoxides. Catal. Today 2014, 233, 92–99. [Google Scholar] [CrossRef]
- Cheng, W.; Chen, X.; Sun, J.; Wang, J.; Zhang, S. SBA-15 supported triazolium-based ionic liquids as highly efficient and recyclable catalysts for fixation of CO2 with epoxides. Catal. Today 2013, 200, 117–124. [Google Scholar] [CrossRef]
- Sankar, M.; Ajithkumar, T.G.; Sankar, G.; Manikandan, P. Supported imidazole as heterogeneous catalyst for the synthesis of cyclic carbonates from epoxides and CO2. Catal. Commun. 2015, 59, 201–205. [Google Scholar] [CrossRef]
- Xie, Y.; Yang, R.-X.; Huang, N.-Y.; Luo, H.-J.; Deng, W.-Q. Efficient fixation of CO2 at mild conditions by a Cr-conjugated microporous polymer. J. Energy Chem. 2014, 23, 22–28. [Google Scholar] [CrossRef]
- Song, B.; Guo, L.; Zhang, R.; Zhao, X.; Gan, H.; Chen, C.; Chen, J.; Zhu, W.; Hou, Z. The polymeric quaternary ammonium salt supported on silica gel as catalyst for the efficient synthesis of cyclic carbonate. J. CO2 Util. 2014, 6, 62–68. [Google Scholar] [CrossRef]
- Motokura, K.; Itagaki, S.; Iwasawa, Y.; Miyaji, A.; Baba, T. Zinc-Accelerated Cycloaddition of Carbon Dioxide to Styrene Oxide Catalyzed by Pyrrolidinopyridinium Iodides. Top. Catal. 2014, 57, 953–959. [Google Scholar] [CrossRef]
- Baj, S.; Krawczyk, T.; Jasiak, K.; Siewniak, A.; Pawlyta, M. Catalytic coupling of epoxides and CO2 to cyclic carbonates by carbon nanotube-supported quaternary ammonium salts. Appl. Catal. A Gen. 2014, 488, 96–102. [Google Scholar] [CrossRef]
- Dai, W.-L.; Jin, B.; Luo, S.-L.; Yin, S.-F.; Luo, X.-B.; Au, C.-T. Cross-linked polymer grafted with functionalized ionic liquid as reusable and efficient catalyst for the cycloaddition of carbon dioxide to epoxides. J. CO2 Util. 2013, 3–4, 7–13. [Google Scholar] [CrossRef]
- Lee, S.-D.; Kim, B.-M.; Kim, D.-W.; Kim, M.-I.; Roshan, K.R.; Kim, M.-K.; Won, Y.-S.; Park, D.-W. Synthesis of cyclic carbonate from carbon dioxide and epoxides with polystyrene-supported quaternized ammonium salt catalysts. Appl. Catal. A Gen. 2014, 486, 69–76. [Google Scholar] [CrossRef]
- Siewniak, A.; Jasiak, K.; Baj, S. An efficient method for the synthesis of cyclic carbonates from CO2 and epoxides using an effective two-component catalyst system: Polymer-supported quaternary onium salts and aqueous solutions of metal salts. Appl. Catal. A Gen. 2014, 482, 266–274. [Google Scholar] [CrossRef]
- Zhong, S.; Liang, L.; Liu, B.; Sun, J. ZnBr2/DMF as simple and highly active Lewis acid–base catalysts for the cycloaddition of CO2 to propylene oxide. J. CO2 Util. 2014, 6, 75–79. [Google Scholar] [CrossRef]
- Bu, Z.; Qin, G.; Cao, S. A ruthenium complex exhibiting high catalytic efficiency for the formation of propylene carbonate from carbon dioxide. J. Mol. Catal. A Chem. 2007, 277, 35–39. [Google Scholar] [CrossRef]
- Ramalingam, R.J.; Appaturi, J.N.; Pulingam, T.; Ibrahim, S.N.; Al-Lohedan, H.A. Synthesis, characterization and catalytic activity of ionic liquid mimic halides modified MCM-41 for solvent free synthesis of phenyl glycidyl carbonate. Mater. Chem. Phys. 2019, 233, 79–88. [Google Scholar] [CrossRef]







| Catalytic Materials a | Reaction Conditions | Reaction Results | References | |||||
|---|---|---|---|---|---|---|---|---|
| Solvent or Co-Catalyst | PCO2 (bar) | Temp. (°C) | Time (h) | Yield (%) | Selectivity (%) | Conversion (%) | ||
| Guanidine-MCM-41 | CH3CN | 50 | 140 | 70 | 90 | 92 | - | [11] |
| Al-SBA-15-pr-Ade | - | 6.9 | 120 | 4 | 88.9 | 94.6 | 94 | [58] |
| Cr-salen-SiO2 | CH2Cl2 | 100 | 80 | 6 | 74 | 100 | - | [13] |
| Mn-salen-SiO2 | - | 35 b | 140 | 3 | 95 | - | - | [42] |
| ClAlPc-MCM-41 | n-Bu4NBr | 40 | 110 | 2 | 384 c | - | - | [59] |
| Al-salen-PEA | n-Methyl imidazole | 100 | 80 | 15 | 78 | 87.6 | 89 | [4] |
| Betaine-based salt d | - | 80 | 140 | 8 | 96 | - | - | [12] |
| MCM-41 e | CH3CN | 6.9 | 120 | 8 | - | 98.2 | 88.4 | [60] |
| - | 6.9 | 120 | 8 | - | 95.2 | 93.7 | [60] | |
| Zn/Ps-IL(Br) | - | 30 | 120 | 8 | 97.5 | - | - | [91] |
| SalenRu(II)(PPh3)2/PTAT f | Ethanol | 8.3 | 70 | 2 | 92 | - | - | [92] |
| CoCl2/onium salt | CH2Cl2 | 15 | 120 | 1 | 1238 c | - | - | [44] |
| Ti-SBA-15-pr-Ade | CH3CN | 6.9 | 120 | 8 | - | 87 | 79.8 | [1] |
| - | 6.9 | 120 | 8 | - | 94.6 | 94 | [1] | |
| Diimine Ru(II) complex | - | 16 | 100 | 2 | 73.1 | - | - | [46] |
| Ionic liquid-polymer | - | 60 | 110 | 7 | 79.1 | - | - | [50] |
| Cellulose/KI | - | 20 | 110 | 9 | 98 | - | - | [53] |
| HEPIMBr | - | 20 | 120 | 2 | 99.6 | - | 99.8 | [14] |
| Ionic liquid tetrabutylammonium chloride | - | 9.7 | 100 g | 0.5 | 97.9 | - | - | [40] |
| Au/Fe(OH)3-ZnBr2/Bu4NBr | - | 40 | 80 | 10 | 53 | - | - | [50] |
| Co(III) complex | DMAP | 20 | 120 | 3 | 85.8 | - | - | [38] |
| SLPC | Toluene | 45 | 150 | 6 | 84.8 | - | - | [81] |
| Co(III) Porphyrin/DMAP | CH2Cl2 | 20.7 | 120 | 4 | 97 | - | - | [82] |
| MNP-Co-Porphyrin | CH2Cl2 | 10 | 25 | 36 | 48.7 | - | - | [83] |
| M(TTMAPP)I4(X) M = Co; X = OAc | - | 6.7 | 80 | 36 | 62.5 | - | - | [84] |
| Bis-(phenoxyiminato) cobalt(III)/Lewis base | CH2Cl2 | 10 | 145 | 1 | 600/640 c | - | - | [44] |
| Metal porphyrin/phenyltrimethyl-ammonium tribromide | - | 6.9 | 20 | 10 | 20 | - | - | [85] |
| SnCl4-organic base | - | 3.5 | 75 | 1.5 | 96 | - | - | [49] |
| P-DVB-HEImBr | Zn I2 | 20 | 140 | 5 | 98.9 | 96 | 23 | [68] |
| SBA-15-IL1Br | 20 | 110 | 3 | 80 | 99 | 80.8 | [91] | |
| Silica-immobilized | 6 | 130 | 10 | 76.6 | 97 | 79 | [92] | |
| PDDA-Br | 25 | 100 | 12 | 92.9 | - | - | [93] | |
| KI/PDA | OH | 20 | 120 | 5 | 34.7 | 99 | 35 | [94] |
| (P-Im-C4H8Ph3P)Br2 | 25 | 130 | 4 | 99.3 | 99.8 | 99.5 | [95] | |
| PPN(I) | 1 | 100 | 7 | 89 | 97.8 | 95 | [95] | |
| PS-hexyl-MeI | 12 | 120 | 12 | 96.7 | 100 | 98.9 | [98] | |
| PS-TBMAC | 9 | 110 | 2 | 71 | - | - | [99] | |
Publisher’s Note: MDPI stays neutral with regard to jurisdictional claims in published maps and institutional affiliations. |
© 2020 by the authors. Licensee MDPI, Basel, Switzerland. This article is an open access article distributed under the terms and conditions of the Creative Commons Attribution (CC BY) license (http://creativecommons.org/licenses/by/4.0/).
Share and Cite
Appaturi, J.N.; Ramalingam, R.J.; Gnanamani, M.K.; Periyasami, G.; Arunachalam, P.; Adnan, R.; Adam, F.; Wasmiah, M.D.; Al-Lohedan, H.A. Review on Carbon Dioxide Utilization for Cycloaddition of Epoxides by Ionic Liquid-Modified Hybrid Catalysts: Effect of Influential Parameters and Mechanisms Insight. Catalysts 2021, 11, 4. https://doi.org/10.3390/catal11010004
Appaturi JN, Ramalingam RJ, Gnanamani MK, Periyasami G, Arunachalam P, Adnan R, Adam F, Wasmiah MD, Al-Lohedan HA. Review on Carbon Dioxide Utilization for Cycloaddition of Epoxides by Ionic Liquid-Modified Hybrid Catalysts: Effect of Influential Parameters and Mechanisms Insight. Catalysts. 2021; 11(1):4. https://doi.org/10.3390/catal11010004
Chicago/Turabian StyleAppaturi, Jimmy Nelson, Rajabathar. Jothi Ramalingam, Muthu Kumaran Gnanamani, Govindasami Periyasami, Prabhakarn Arunachalam, Rohana Adnan, Farook Adam, Mohammed D. Wasmiah, and Hamad A. Al-Lohedan. 2021. "Review on Carbon Dioxide Utilization for Cycloaddition of Epoxides by Ionic Liquid-Modified Hybrid Catalysts: Effect of Influential Parameters and Mechanisms Insight" Catalysts 11, no. 1: 4. https://doi.org/10.3390/catal11010004
APA StyleAppaturi, J. N., Ramalingam, R. J., Gnanamani, M. K., Periyasami, G., Arunachalam, P., Adnan, R., Adam, F., Wasmiah, M. D., & Al-Lohedan, H. A. (2021). Review on Carbon Dioxide Utilization for Cycloaddition of Epoxides by Ionic Liquid-Modified Hybrid Catalysts: Effect of Influential Parameters and Mechanisms Insight. Catalysts, 11(1), 4. https://doi.org/10.3390/catal11010004

