Improving Product Yield in the Direct Carboxylation of Glycerol with CO2 through the Tailored Selection of Dehydrating Agents
Abstract
1. Introduction
2. Results and Discussion
2.1. Catalyst Characterisation
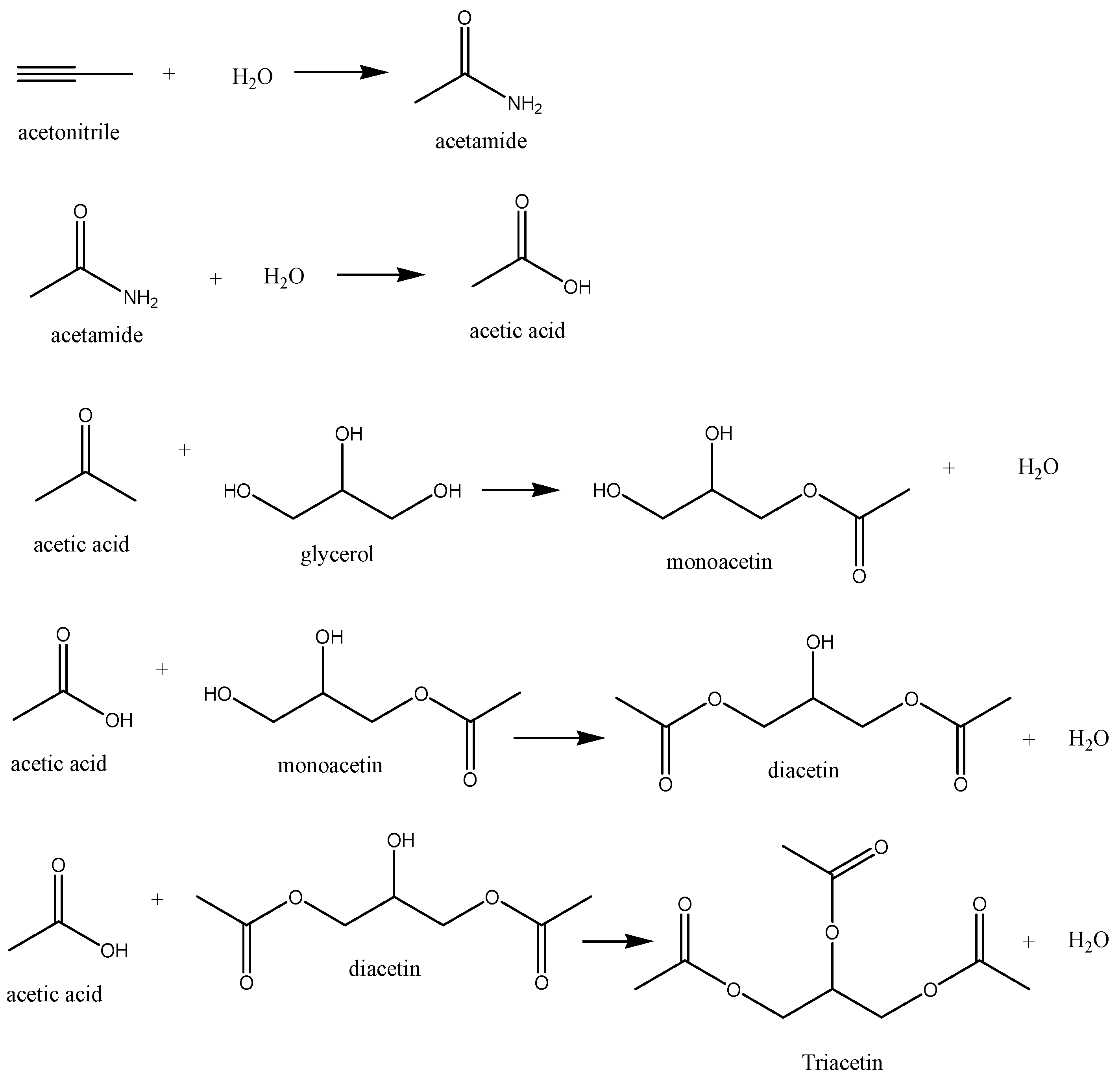
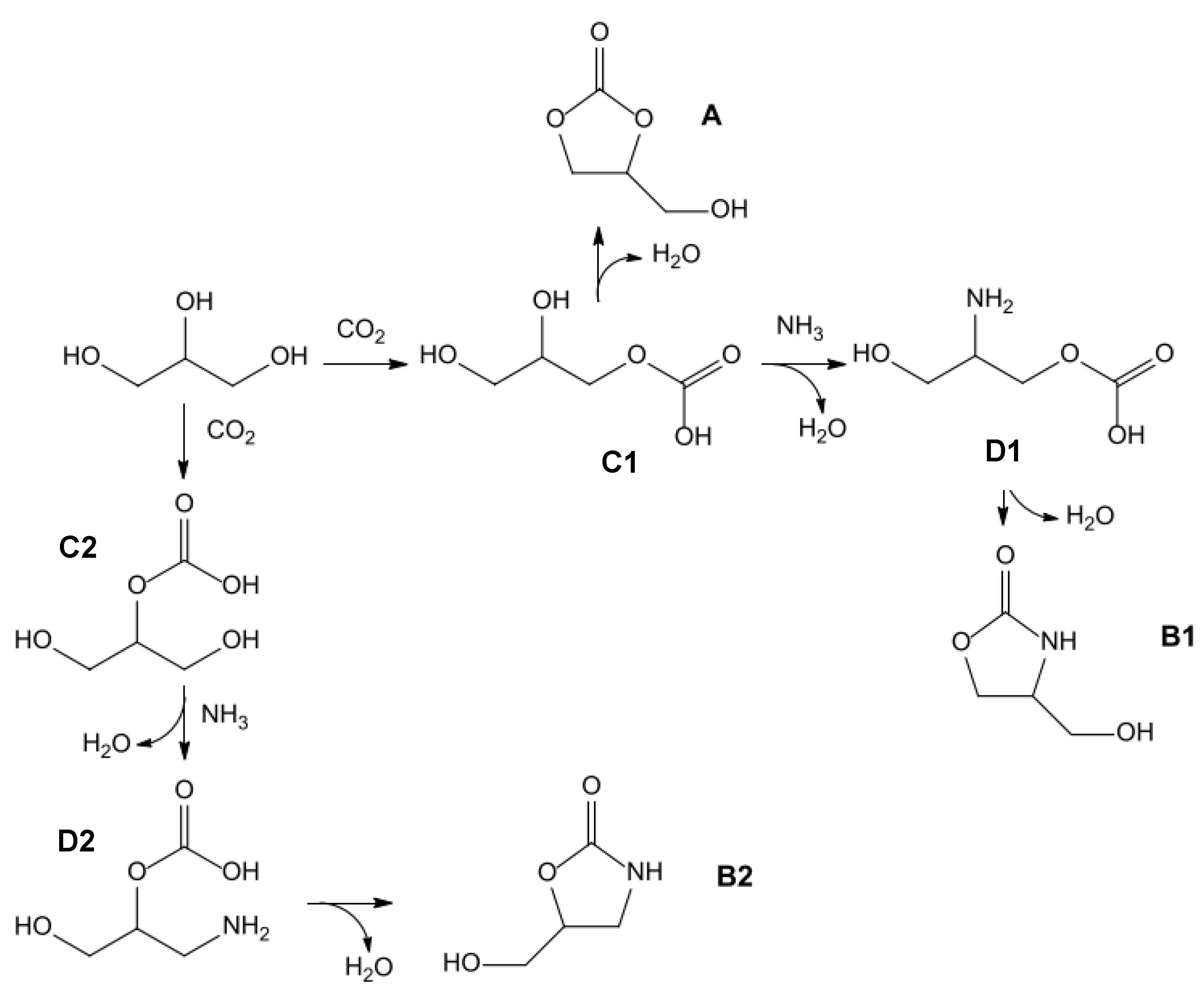
2.2. Impact of Dehydrating Agents
2.3. Impact of Catalyst Preparation Method
3. Materials and Methods
3.1. General
3.2. Catalyst Preparation
3.3. Catalyst Characterisation
3.4. Catalytic Testing
3.5. Liquid-Phase Products Analysis
4. Conclusions
Supplementary Materials
Author Contributions
Funding
Institutional Review Board Statement
Informed Consent Statement
Data Availability Statement
Acknowledgments
Conflicts of Interest
References
- Razali, N.A.; Conte, M.; McGregor, J.M. The role of impurities in the La2O3 catalysed carboxylation of crude glycerol. Catal. Lett. 2019, 149, 1403–1414. [Google Scholar] [CrossRef]
- Ciriminna, R.; Della Pina, C.; Rossi, M.; Pagliaro, M. Understanding the glycerol market. Eur. J. Lipid Sci. Technol. 2014, 116, 1432–1439. [Google Scholar] [CrossRef]
- Sonnati, M.O.; Amigoni, S.; De Givenchy, E.P.T.; Darmanin, T.; Choulet, O.; Guittard, F. Glycerol carbonate as a versatile building block for tomorrow: Synthesis, reactivity, properties and applications. Green Chem. 2013, 15, 283–306. [Google Scholar] [CrossRef]
- Konwar, L.J.; Mäki-Arvela, P.; Begum, P.; Kumar, N.; Thakur, A.J.; Mikkola, J.-P.; Deka, R.C.; Deka, D. Shape selectivity and acidity effects in glycerol acetylation with acetic anhydride: Selective synthesis of triacetin over Y-zeolite and sulfonated mesoporous carbons. J. Catal. 2015, 329, 237–247. [Google Scholar] [CrossRef]
- Sandesh, S.; Manjunathan, P.; Halgeri, A.B.; Shanbhag, G.V. Glycerol acetins: Fuel additive synthesis by acetylation and esterification of glycerol using cesium phosphotungstate catalyst. RSC Adv. 2015, 5, 104354–104362. [Google Scholar] [CrossRef]
- Kong, P.S.; Aroua, M.K.; Daud, W.M.A.W.; Lee, H.V.; Cognet, P.; Pérès, Y. Catalytic role of solid acid catalysts in glycerol acetylation for the production of bio-additives: A review. RSC Adv. 2016, 6, 68885–68905. [Google Scholar] [CrossRef]
- Shapira, J.; Mandel, A.D.; Quattrone, P.D.; Bell, N.L. Current research on regenerative systems. Life Sci. Space Res. 1969, 7, 123–129. [Google Scholar]
- Alper, E.; Orhan, O.Y. CO2 utilization: Developments in conversion processes. Petroleum 2017, 3, 109–126. [Google Scholar] [CrossRef]
- Narkhede, N.; Patel, A. Facile synthesis of glycerol carbonate via glycerolysis of urea catalysed by silicotungstates impregnated into MCM-41. RSC Adv. 2015, 5, 52801–52808. [Google Scholar] [CrossRef]
- DiBenedetto, A.; Angelini, A.; Aresta, M.; Ethiraj, J.; Fragale, C.; Nocito, F. Converting wastes into added value products: From glycerol to glycerol carbonate, glycidol and epichlorohydrin using environmentally friendly synthetic routes. Tetrahedron 2011, 67, 1308–1313. [Google Scholar] [CrossRef]
- Indran, V.P.; Zuhaimi, N.A.S.; Deraman, M.A.; Maniam, G.P.; Yusoff, M.M.; Hin, T.-Y.Y.; Rahim, M.H.A. An accelerated route of glycerol carbonate formation from glycerol using waste boiler ash as catalyst. RSC Adv. 2014, 4, 25257–25267. [Google Scholar] [CrossRef]
- Hammond, C.; Lopez-Sanchez, A.J.; Ab Rahim, M.H.; Dimitratos, N.; Jenkins, L.R.; Carley, F.A.; He, Q.; Kiely, J.C.; Knight, W.D.; Hutchings, G.J. Synthesis of glycerol carbonate from glycerol and urea with gold-based catalysts. Dalt. Trans. 2011, 40, 3927–3937. [Google Scholar] [CrossRef] [PubMed]
- Climent, M.J.; Corma, A.; De Frutos, P.; Iborra, S.; Noy, M.; Velty, A.; Concepción, P. Chemicals from biomass: Synthesis of glycerol carbonate by transesterification and carbonylation with urea with hydrotalcite catalysts. The role of acid–base pairs. J. Catal. 2010, 269, 140–149. [Google Scholar] [CrossRef]
- Algoufi, Y.; Akpan, U.; Kabir, G.; Asif, M.; Hameed, B. Upgrading of glycerol from biodiesel synthesis with dimethyl carbonate on reusable Sr–Al mixed oxide catalysts. Energy Convers. Manag. 2017, 138, 183–189. [Google Scholar] [CrossRef]
- Simanjuntak, F.S.H.; Widyaya, V.T.; Kim, C.S.; Ahn, B.S.; Mishra, V.; Lee, H. Synthesis of glycerol carbonate from glycerol and dimethyl carbonate using magnesium–lanthanum mixed oxide catalyst. Chem. Eng. Sci. 2013, 94, 265–270. [Google Scholar] [CrossRef]
- Rahim, M.H.A.; He, Q.; Lopez-Sanchez, J.A.; Hammond, C.; Dimitratos, N.; Sankar, M.; Carley, A.F.; Kiely, C.J.; Knight, D.W.; Hutchings, G.J. Gold, palladium and gold–palladium supported nanoparticles for the synthesis of glycerol carbonate from glycerol and urea. Catal. Sci. Technol. 2012, 2, 1914–1924. [Google Scholar] [CrossRef]
- Su, X.; Lin, W.; Cheng, H.; Zhang, C.; Wang, Y.; Yu, X.; Wu, Z.; Zhao, F. Metal-free catalytic conversion of CO2 and glycerol to glycerol carbonate. Green Chem. 2017, 19, 1775–1781. [Google Scholar] [CrossRef]
- Collett, C.; Mašek, O.; Razali, N.; McGregor, J.M. Influence of Biochar Composition and Source Material on Catalytic Performance: The Carboxylation of Glycerol with CO2 as a Case Study. Catalysts 2020, 10, 1067. [Google Scholar] [CrossRef]
- CO2 Now the Most Current CO2 Data on Earth. Available online: http://co2now.org/Current-CO2/CO2-Now/global-co2-board.html (accessed on 1 July 2020).
- Li, J.; Wang, T. Coupling reaction and azeotropic distillation for the synthesis of glycerol carbonate from glycerol and dimethyl carbonate. Chem. Eng. Process. Process Intensif. 2010, 49, 530–535. [Google Scholar] [CrossRef]
- Li, J.; Wang, T. Chemical equilibrium of glycerol carbonate synthesis from glycerol. J. Chem. Thermodyn. 2011, 43, 731–736. [Google Scholar] [CrossRef]
- Ozorio, L.P.; Pianzolli, R.; Machado, L.D.C.; De Miranda, J.L.; Turci, C.C.; Guerra, A.; Souza-Aguiar, E.F.; Mota, C.J.A. Metal-impregnated zeolite Y as efficient catalyst for the direct carbonation of glycerol with CO2. Appl. Catal. A Gen. 2015, 504, 187–191. [Google Scholar] [CrossRef]
- Ozorio, L.P.; Mota, C.J.A. Direct Carbonation of Glycerol with CO2 Catalyzed by Metal Oxides. ChemPhysChem 2017, 18, 3260–3265. [Google Scholar] [CrossRef] [PubMed]
- George, J.; Patel, Y.; Pillai, S.M.; Munshi, P. Methanol assisted selective formation of 1,2-glycerol carbonate from glycerol and carbon dioxide using nBu2SnO as a catalyst. J. Mol. Catal. A Chem. 2009, 304, 1–7. [Google Scholar] [CrossRef]
- Li, H.; Xin, C.; Jiao, X.; Zhao, N.; Xiao, F.; Li, L.; Wei, W.; Sun, Y. Direct carbonylation of glycerol with CO2 to glycerol carbonate over Zn/Al/La/X (X=F, Cl, Br) catalysts: The influence of the interlayer anion. J. Mol. Catal. A Chem. 2015, 402, 71–78. [Google Scholar] [CrossRef]
- Li, H.; Gao, D.; Gao, P.; Wang, F.; Zhao, N.; Xiao, F.; Wei, W.; Sun, Y. The synthesis of glycerol carbonate from glycerol and CO2 over La2O2CO3–ZnO catalysts. Catal. Sci. Technol. 2013, 3, 2801–2809. [Google Scholar] [CrossRef]
- Li, H.; Jiao, X.; Li, L.; Zhao, N.; Xiao, F.; Wei, W.; Sun, Y.; Zhang, B. Synthesis of glycerol carbonate by direct carbonylation of glycerol with CO2 over solid catalysts derived from Zn/Al/La and Zn/Al/La/M (M = Li, Mg and Zr) hydrotalcites. Catal. Sci. Technol. 2014, 5, 989–1005. [Google Scholar] [CrossRef]
- Zhang, J.; He, D. Synthesis of glycerol carbonate and monoacetin from glycerol and carbon dioxide over Cu catalysts: The role of supports. J. Chem. Technol. Biotechnol. 2014, 90, 1077–1085. [Google Scholar] [CrossRef]
- Zhang, J.; He, D. Surface properties of Cu/La2O3 and its catalytic performance in the synthesis of glycerol carbonate and monoacetin from glycerol and carbon dioxide. J. Colloid Interface Sci. 2014, 419, 31–38. [Google Scholar] [CrossRef]
- Liu, J.; Li, Y.; Zhang, J.; He, D. Glycerol carbonylation with CO2 to glycerol carbonate over CeO2 catalyst and the influence of CeO2 preparation methods and reaction parameters. Appl. Catal. A Gen. 2016, 513, 9–18. [Google Scholar] [CrossRef]
- Park, C.-Y.; Nguyen-Phu, H.; Shin, E.W. Glycerol carbonation with CO2 and La2O2 CO3/ZnO catalysts prepared by two different methods: Preferred reaction route depending on crystalline structure. Mol. Catal. 2017, 435, 99–109. [Google Scholar] [CrossRef]
- Zhou, Q.; Zhang, H.; Chang, F.; Li, H.; Pan, H.; Xue, W.; Hu, D.-Y.; Yang, S. Nano La2O3 as a heterogeneous catalyst for biodiesel synthesis by transesterificatiob of Jatropha curcas L. oil. J. Ind. Eng. Chem. 2015, 31, 385–392. [Google Scholar] [CrossRef]
- Abboudi, M.; Messali, M.; Kadiri, N.; Ben Ali, A.; Moran, E. Synthesis of CuO, La2O3, and La2CuO4 by the Thermal-Decomposition of Oxalates Precursors Using a New Method. Synth. React. Inorg. Met. Chem. 2011, 41, 683–688. [Google Scholar] [CrossRef]
- Wang, X.; Wang, M.; Song, H.; Ding, B. A simple sol–gel technique for preparing lanthanum oxide nanopowders. Mater. Lett. 2006, 60, 2261–2265. [Google Scholar] [CrossRef]
- Pons, A.; Jouin, J.; Bechade, E.; Julien, I.; Masson, O.; Geffroy, P.M.; Mayet, R.; Thomas, P.; Fukuda, K.; Kagomiya, I. Study of the formation of the apatite-type phases La9.33+x(SiO4)6O2+3x/2 synthesized from a lanthanum oxycarbonate La2O2CO3. Solid State Sci. 2014, 38, 150–155. [Google Scholar] [CrossRef]
- Valange, S.; Beauchaud, A.; Barrault, J.; Gabelica, Z.; Daturi, M.; Can, F. Lanthanum oxides for the selective synthesis of phytosterol esters: Correlation between catalytic and acid–base properties. J. Catal. 2007, 251, 113–122. [Google Scholar] [CrossRef]
- Mu, Q.; Wang, Y. Synthesis, characterization, shape-preserved transformation, and optical properties of La(OH)3, La2O2CO3, and La2O3 nanorods. J. Alloy Compd. 2011, 509, 396–401. [Google Scholar] [CrossRef]
- Gangwar, B.P.; Palakollu, V.; Singh, A.; Kanvah, S.; Sharma, S. Combustion synthesized La2O3and La(OH)3: Recyclable catalytic activity towards Knoevenagel and Hantzsch reactions. RSC Adv. 2014, 4, 55407–55416. [Google Scholar] [CrossRef]
- Da Silva, E.; Dayoub, W.; Mignani, G.; Raoul, Y.; Lemaire, M. Propylene carbonate synthesis from propylene glycol, carbon dioxide and benzonitrile by alkali carbonate catalysts. Catal. Commun. 2012, 29, 58–62. [Google Scholar] [CrossRef]
- Saiyong, P.; Liping, Z.; Renfeng, N.; Shuixin, X.; Ping, C.; Zhaoyin, H. Transesterification of Glycerol with Dimethyl Carbonate to Glycerol Carbonate over Na–based Zeolites. Chin. J. Catal. 2012, 33, 1772–1777. [Google Scholar]
- Yang, J.; Zhao, Q.; Xu, H.; Li, L.; Dong, J.; Li, J. Adsorption of CO2, CH4, and N2 on Gas Diameter Grade Ion-Exchange Small Pore Zeolites. J. Chem. Eng. Data 2012, 57, 3701–3709. [Google Scholar] [CrossRef]
- Silva, L.N.; Gonçalves, V.L.; Mota, C.J.A. Catalytic acetylation of glycerol with acetic anhydride. Catal. Commun. 2010, 11, 1036–1039. [Google Scholar] [CrossRef]
- Liao, X.; Zhu, Y.; Wang, S.-G.; Chen, H.; Li, Y. Theoretical elucidation of acetylating glycerol with acetic acid and acetic anhydride. Appl. Catal. B Environ. 2010, 94, 64–70. [Google Scholar] [CrossRef]
- Shimizu, K.-I.; Kon, K.; Onodera, W.; Yamazaki, H.; Kondo, J.N. Heterogeneous Ni Catalyst for Direct Synthesis of Primary Amines from Alcohols and Ammonia. ACS Catal. 2012, 3, 112–117. [Google Scholar] [CrossRef]







| Catalyst | a BET Surface Area (m2·g−1) | b Pore Volume (cm3·g−1) | b Average Pore Diameter (nm) | c Crystallite Size (nm) | d Total Basic Site (mmolCO2·g−1) |
|---|---|---|---|---|---|
| C-La2O3 | 13.6 | 0.1 | 3.1 | 37 | 0.8 |
| CP-La2O2CO3 | 60.7 | 0.3 | 13.8 | 31 | 1.5 |
| SG-La2O2CO3 | 194.0 | 0.2 | 2.2 | N/A | 1.6 |
| HT-La2O2CO3 | 27.9 | 0.1 | 8.8 | 27 | 1.4 |
| Dehydrating Agent | Properties | Conversion of Glycerol (%) | Products Selectivity (%) | |||
|---|---|---|---|---|---|---|
| Glycerol carbonate | Monoacetin | Diacetin | Triacetin | |||
| a Blank | − | 1 | 0 | 0 | 0 | 0 |
| Acetic anhydride | Acidic | 97 | 0 | 17 | 60 | 24 |
| Acetonitrile | Base (Monocyanated) | 48 | 4 | 12 | 3 | 0 |
| Benzonitrile | Base (Monocyanated) | 71 | 5 | 0 | 0 | 0 |
| Adiponitrile | Base (Dicyanated) | 58 | 17 | 0 | 0 | 0 |
| Catalysts | Conversion of Glycerol | Selectivity to Glycerol Carbonate |
|---|---|---|
| C-La2O3 | 58.0 | 17.2 |
| CP-La2O2CO3 | 57.1 | 18.2 |
| SG-La2O2CO3 | 45.8 | 3.2 |
| HT-La2O2CO3 | 51.2 | 10.9 |
Publisher’s Note: MDPI stays neutral with regard to jurisdictional claims in published maps and institutional affiliations. |
© 2021 by the authors. Licensee MDPI, Basel, Switzerland. This article is an open access article distributed under the terms and conditions of the Creative Commons Attribution (CC BY) license (http://creativecommons.org/licenses/by/4.0/).
Share and Cite
Razali, N.; McGregor, J. Improving Product Yield in the Direct Carboxylation of Glycerol with CO2 through the Tailored Selection of Dehydrating Agents. Catalysts 2021, 11, 138. https://doi.org/10.3390/catal11010138
Razali N, McGregor J. Improving Product Yield in the Direct Carboxylation of Glycerol with CO2 through the Tailored Selection of Dehydrating Agents. Catalysts. 2021; 11(1):138. https://doi.org/10.3390/catal11010138
Chicago/Turabian StyleRazali, Nurul, and James McGregor. 2021. "Improving Product Yield in the Direct Carboxylation of Glycerol with CO2 through the Tailored Selection of Dehydrating Agents" Catalysts 11, no. 1: 138. https://doi.org/10.3390/catal11010138
APA StyleRazali, N., & McGregor, J. (2021). Improving Product Yield in the Direct Carboxylation of Glycerol with CO2 through the Tailored Selection of Dehydrating Agents. Catalysts, 11(1), 138. https://doi.org/10.3390/catal11010138

