Transition Metal-Catalyzed α-Position Carbon–Carbon Bond Formations of Carbonyl Derivatives
Abstract
1. Introduction
2. Aldehydes
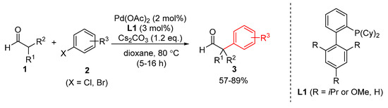
2.1. Palladium-Catalyzed α-Alkylation of Aldehydes
2.2. Other Metal-Catalyzed α-Alkylations of Aldehydes
2.3. Organocatalyst-Assisted Photoredox-Catalyzed α-Alkylation of Aldehydes
3. Ketones
3.1. Palladium-Catalyzed Asymmetric Allylic Alkylation of Ketones
3.2. Palladium-Catalyzed Allylic Alkylation of Ketones with Unactived Allyl Sources
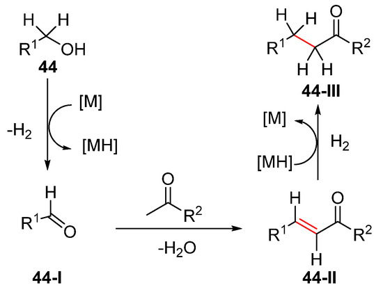
3.3. Metal-Catalyzed α-Alkylation of Ketones with Primary Alcohols
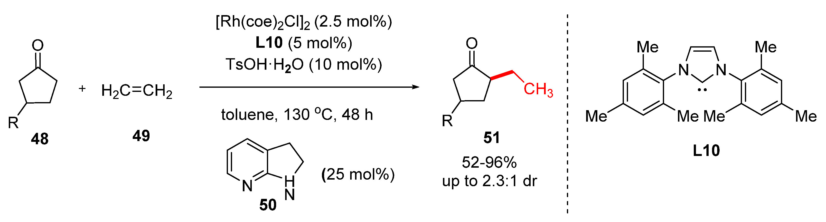
3.4. Rhodium-Catalyzed Regioselective α-Alkylation of Ketones with Olefins
3.5. Photoredox-Catalyzed α-Trifluoromethylation of Ketones
4. Imines
4.1. Chemo- and Regioselective Palladium-Catalyzed Allylic Alkylation of Imines
4.2. Stereoselective Palladium-Catalyzed Allylic Alkylation of Imines
4.3. Photoredox-Catalyzed α-Alkylation of Imines
5. Other Carbonyl Derivatives
5.1. Palladium-Catalyzed α-Alkylation of Amides
5.2. Other Metal-Catalyzed α-Alkylations of Amides and Esters
6. Conclusions and Outlooks
Author Contributions
Funding
Acknowledgments
Conflicts of Interest
References
- Cano, R.; Zakarian, A.; McGlacken, G.P. Direct Asymmetric Alkylation of Ketones: Still Unconquered. Angew. Chem. Int. Ed. 2017, 56, 9278–9290. [Google Scholar] [CrossRef] [PubMed]
- Afewerki, S.; Córdova, A. Enamine/Transition Metal Combined Catalysis: Catalytic Transformations Involving Organometallic Electrophilic Intermediates. Top. Curr. Chem. 2019, 377, 38. [Google Scholar] [CrossRef] [PubMed]
- Hethcox, J.C.; Shockley, S.E.; Stoltz, B.M. Iridium-Catalyzed Diastereo-, Enantio-, and Regioselective Allylic Alkylation with Prochiral Enolates. ACS Catal. 2016, 6, 6207–6213. [Google Scholar] [CrossRef] [PubMed]
- Tsuji, J. Transition Metal Reagents and Catalysts; Wiley: Chichester, UK, 2000; ISBN 9780471634980. [Google Scholar]
- Trost, B.M.; Lee, C. Asymmetric Carbon–Carbon Bond-Forming Reactions: Asymmetric Allylic Alkylation Reactions. In Catalytic Asymmetric Synthesis; Ojima, I., Ed.; Wiley-VCH: New York, NY, USA, 2000; Chapter 8E; ISBN 9780471298052. [Google Scholar]
- Kimura, M.; Mukai, R.; Tamaki, T.; Horino, Y.; Tamaru, Y. Pd (0)-Catalyzed Amphiphilic Allylation of Aldehydes with Vinyl Epoxide. J. Am. Chem. Soc. 2007, 129, 4122–4123. [Google Scholar] [CrossRef] [PubMed]
- Lang, S.B.; Locascio, T.M.; Tunge, J.A. Activation of Alcohols with Carbon Dioxide: Intermolecular Allylation of Weakly Acidic Pronucleophiles. Org. Lett. 2014, 16, 4308–4311. [Google Scholar] [CrossRef] [PubMed]
- Chen, L.; Luo, M.-J.; Zhu, F.; Wen, W.; Guo, Q.-X. Combining Chiral Aldehyde Catalysis and Transition-Metal Catalysis for Enantioselective α-Allylic Alkylation of Amino Acid Esters. J. Am. Chem. Soc. 2019, 141, 5159–5163. [Google Scholar] [CrossRef]
- Modern Carbonyl Chemistry; Otera, J., Ed.; Wiley-VCH: Weinheim, Germany, 2000; ISBN 9783527298716. [Google Scholar]
- Oliveira, V.D.G.; Cardoso, M.F.D.C.; Forezi, L.D.S.M. Organocatalysis: A Brief Overview on Its Evolution and Applications. Catalysts 2018, 8, 605. [Google Scholar] [CrossRef]
- Committee for Medicinal Products for Human Use (CHMP). Guidelines on the Specification Limits for Residues of Metal Catalysts or Metal Reagents; Doc. Ref. EMEA/CHMP/SWP/4446/2000; European Medicines Agency: London, UK, 2008; pp. 1–34. [Google Scholar]
- Johansson, C.C.C.; Colacot, T.J. Metal-Catalyzed α-Arylation of Carbonyl and Related Molecules: Novel Trends in C-C Bond Formation by C-H Bond Functionalization. Angew. Chem. Int. Ed. 2010, 49, 676–707. [Google Scholar] [CrossRef]
- Culkin, D.A.; Hartwig, J.F. Palladium-Catalyzed α-Arylation of Carbonyl Compounds and Nitriles. Acc. Chem. Res. 2003, 36, 234–245. [Google Scholar] [CrossRef]
- Kimura, M.; Horino, Y.; Mukai, R.; Tanaka, S.; Tamaru, Y. Strikingly Simple Direct α-Allylation of Aldehydes with Allyl Alcohols: Remarkable Advance in the Tsuji−Trost Reaction. J. Am. Chem. Soc. 2001, 123, 10401–10402. [Google Scholar] [CrossRef]
- Terao, Y.; Fukuoka, Y.; Satoh, T.; Miura, M.; Nomura, M. Palladium-catalyzed α-arylation of aldehydes with aryl bromides. Tetrahedron Lett. 2002, 43, 101–104. [Google Scholar] [CrossRef]
- Martín, R.; Buchwald, S.L. A General Method for the Direct α-Arylation of Aldehydes with Aryl Bromides and Chlorides. Angew. Chem. Int. Ed. 2007, 46, 7236–7239. [Google Scholar] [CrossRef] [PubMed]
- García-Fortanet, J.; Buchwald, S.L. Asymmetric Palladium-Catalyzed Intramolecular α-Arylation of Aldehydes. Angew. Chem. Int. Ed. 2008, 47, 8108–8111. [Google Scholar] [CrossRef] [PubMed]
- Ibrahem, I.; Córdova, A. Direct Catalytic Intermolecular α-Allylic Alkylation of Aldehydes by Combination of Transition metal and Organocatalysis. Angew. Chem. Int. Ed. 2006, 45, 1952–1956. [Google Scholar] [CrossRef] [PubMed]
- Afewerki, S.; Ibrahem, I.; Rydfjord, J.; Breistein, P.; Córdova, A. Direct Regiospecific and Highly Enantioselective Intermolecular α-Allylic Alkylation of Aldehydes by a Combination of Transition metal and Chiral Amine Catalysts. Chem. Eur. J. 2012, 18, 2972–2977. [Google Scholar] [CrossRef]
- Mukherjee, S.; List, B. Chiral Counteranions in Asymmetric Transition metal Catalysis: Highly Enantioselective Pd/Brønsted Acid-Catalyzed Direct α-Allylation of Aldehydes. J. Am. Chem. Soc. 2007, 129, 11336–11337. [Google Scholar] [CrossRef]
- Jiang, G.; List, B. Direct Asymmetric α-Allylation of Aldehydes with Simple Allylic Alcohols Enabled by the Concerted Action of Three Different Catalysts. Angew. Chem. Int. Ed. 2011, 50, 9471–9474. [Google Scholar] [CrossRef]
- Wang, P.-S.; Lin, H.-C.; Zhai, Y.-J.; Han, Z.-Y.; Gong, L.-Z. Chiral Counteranion Strategy for Asymmetric Oxidative C(sp3)-H/C(sp3)-H Coupling: Enantioselective α-Allylation of Aldehydes with Terminal Alkenes. Angew. Chem. Int. Ed. 2014, 53, 12218–12221. [Google Scholar] [CrossRef]
- Su, Y.-L.; Li, L.-L.; Zhou, X.-L.; Dai, Z.-Y.; Wang, P.-S.; Gong, L.-Z. Asymmetric α-Allylation of Aldehydes with Alkynes by Integrating Chiral Hydridopalladium and Enamine Catalysis. Org. Lett. 2018, 20, 2403–2406. [Google Scholar] [CrossRef]
- Krautwald, S.; Sarlah, D.; Schafroth, M.A.; Carreira, E.M. Enantio- and Diastereodivergent Dual Catalysis: α-Allylation of Branched Aldehydes. Science 2013, 340, 1065–1068. [Google Scholar] [CrossRef]
- Cruz, F.A.; Dong, V.M. Stereodivergent Coupling of Aldehydes and Alkynes via Synergistic Catalysis Using Rh and Jacobsen’s Amine. J. Am. Chem. Soc. 2017, 139, 1029–1032. [Google Scholar] [CrossRef] [PubMed]
- Nicewicz, D.A.; MacMillan, D.W.C. Merging Photoredox Catalysis with Organocatalysis: The Direct Asymmetric Alkylation of Aldehydes. Science 2008, 322, 77–80. [Google Scholar] [CrossRef] [PubMed]
- Welin, E.R.; Warkentin, A.A.; Conrad, J.C.; MacMillan, D.W.C. Enantioselective α-Alkylation of Aldehydes by Photoredox Organocatalysis: Rapid Access to Pharmacophore Fragments from β-Cyanoaldehydes. Angew. Chem. Int. Ed. 2015, 54, 9668–9672. [Google Scholar] [CrossRef] [PubMed]
- Nagib, D.A.; Scott, M.E.; MacMillan, D.W.C. Enantioselective α-Trifluoromethylation of Aldehydes via Photoredox Organocatalysis. J. Am. Chem. Soc. 2009, 131, 10875–10877. [Google Scholar] [CrossRef]
- Shih, H.-W.; Vander Wal, M.N.; Grange, R.L.; MacMillan, D.W.C. Enantioselective α-Benzylation of Aldehydes via Photoredox Organocatalysis. J. Am. Chem. Soc. 2010, 132, 13600–13603. [Google Scholar] [CrossRef]
- Capacci, A.G.; Malinowski, J.T.; McAlpine, N.J.; Kuhne, J.; MacMillan, D.W.C. Direct, enantioselective α-alkylation of aldehydes using simple olefins. Nat. Chem. 2017, 9, 1073–1077. [Google Scholar] [CrossRef]
- Trost, B.M.; Schroeder, G.M.; Kristensen, J. Palladium-Catalyzed Asymmetric Allylic Alkylation of α-Aryl Ketones. Angew. Chem. Int. Ed. 2002, 41, 3492–3495. [Google Scholar] [CrossRef]
- Nemoto, T.; Fukuda, T.; Matsumoto, T.; Hitomi, T.; Hamada, Y. Enantioselective Construction of All-Carbon Quaternary Stereocenters Using Palladium-Catalyzed Asymmetric Allylic Alkylation of γ-Acetoxy-α,β-unsaturated Carbonyl Compounds. Adv. Synth. Catal. 2005, 347, 1504–1506. [Google Scholar] [CrossRef]
- Zhao, X.; Liu, D.; Guo, H.; Liu, Y.; Zhang, W. C–N Bond Cleavage of Allylic Amines via Hydrogen Bond Activation with Alcohol Solvents in Pd-Catalyzed Allylic Alkylation of Carbonyl Compounds. J. Am. Chem. Soc. 2011, 133, 19354–19357. [Google Scholar] [CrossRef]
- Huo, X.; Quan, M.; Yang, G.; Zhao, X.; Liu, D.; Liu, Y.; Zhang, W. Hydrogen-Bond-Activated Palladium-Catalyzed Allylic Alkylation via Allylic Alkyl Ethers: Challenging Leaving Groups. Org. Lett. 2014, 16, 1570–1573. [Google Scholar] [CrossRef]
- Elangovan, S.; Sortais, J.-B.; Beller, M.; Darcel, C. Iron-Catalyzed α-Alkylation of Ketones with Alcohols. Angew. Chem. Int. Ed. 2015, 54, 14483–14486. [Google Scholar] [CrossRef] [PubMed]
- Peña-López, M.; Piehl, P.; Elangovan, S.; Neumann, H.; Beller, M. Manganese-Catalyzed Hydrogen-Autotransfer C−C Bond Formation: α-Alkylation of Ketones with Primary Alcohols. Angew. Chem. Int. Ed. 2016, 55, 14967–14971. [Google Scholar] [CrossRef] [PubMed]
- Zhang, G.; Wu, J.; Zeng, H.; Zhang, S.; Yin, Z.; Zheng, S. Cobalt-Catalyzed α-Alkylation of Ketones with Primary Alcohols. Org. Lett. 2017, 19, 1080–1083. [Google Scholar] [CrossRef] [PubMed]
- Bruneau-Voisine, A.; Pallova, L.; Bastin, S.; César, V.; Sortais, J.-B. Manganese catalyzed α-methylation of ketones with methanol as a C1 source. Chem. Commun. 2019, 55, 314–317. [Google Scholar] [CrossRef] [PubMed]
- Mo, F.; Dong, G. Regioselective ketone α-alkylation with simple olefins via dual activation. Science 2014, 345, 68–72. [Google Scholar] [CrossRef]
- Pham, P.V.; Nagib, D.A.; MacMillan, D.W.C. Photoredox Catalysis: A Mild, Operationally Simple Approach to the Synthesis of α-Trifluoromethyl Carbonyl Compounds. Angew. Chem. Int. Ed. 2011, 50, 6119–6122. [Google Scholar] [CrossRef]
- Chen, J.-P.; Peng, Q.; Lei, B.-L.; Hou, X.-L.; Wu, Y.-D. Chemo- and Regioselectivity-Tunable Pd-Catalyzed Allylic Alkylation of Imines. J. Am. Chem. Soc. 2011, 133, 14180–14183. [Google Scholar] [CrossRef]
- Li, J.; Jiang, S.; Procopiou, G.; Stockman, R.A.; Yang, G. Palladium-Catalyzed Diastereoselective α-Allylation of Chiral Sulfinimines. Eur. J. Org. Chem. 2016, 2016, 3500–3504. [Google Scholar] [CrossRef]
- Li, J.; Dawood, R.S.; Qin, S.; Liu, T.; Liu, S.; Stockman, R.A.; Jiang, S.; Yang, G. Palladium-catalysed α-allylation of chiral sulfinimines derived from symmetric cyclic ketones. Tetrahedron Lett. 2017, 58, 1146–1150. [Google Scholar] [CrossRef]
- Qin, S.; Liu, S.; Cao, Y.; Li, J.; Chong, C.; Liu, T.; Luo, Y.; Hu, J.; Jiang, S.; Zhou, H.; et al. α-Alkylation of Chiral Sulfinimines for Constructing Quaternary Chiral Carbons by Introducing Removable Directing Groups. Org. Lett. 2018, 20, 1350–1354. [Google Scholar] [CrossRef]
- Franchino, A.; Rinaldi, A.; Dixon, D.J. α-Alkylation of ketimines using visible light photoredox catalysis. RSC Adv. 2017, 7, 43655–43659. [Google Scholar] [CrossRef][Green Version]
- Nowicki, A.; Keldenich, J.; Agbossou-Niedercorn, F. Highly Selective Preparation of a Chiral Quaternary Allyl Aryl Piperidinedione by Palladium-Catalyzed Asymmetric Allylation Under Solid–Liquid Phase-Transfer Catalysis. Eur. J. Org. Chem. 2007, 2007, 6124–6127. [Google Scholar] [CrossRef]
- Michon, C.; Béthegnies, A.; Capet, F.; Roussel, P.; de Filippis, A.; Gomez-Pardo, D.; Cossy, J.; Agbossou-Niedercorn, F. Catalytic Asymmetric Allylic Alkylation of 3-Arylated Piperidin-2-ones. Eur. J. Org. Chem. 2013, 2013, 4979–4985. [Google Scholar] [CrossRef]
- Jette, C.I.; Geibel, I.; Bachman, S.; Hayashi, M.; Sakurai, S.; Shimizu, H.; Morgan, J.B.; Stoltz, B.M. Palladium-Catalyzed Construction of Quaternary Stereocenters by Enantioselective Arylation of γ-Lactams with Aryl Chlorides and Bromides. Angew. Chem. Int. Ed. 2019, 58, 4297–4301. [Google Scholar] [CrossRef] [PubMed]
- Chaudhari, M.B.; Bisht, G.S.; Kumari, P.; Gnanaprakasam, B. Ruthenium-catalyzed direct α-alkylation of amides using alcohols. Org. Biomol. Chem. 2016, 14, 9215–9220. [Google Scholar] [CrossRef] [PubMed]
- Iuchi, Y.; Obora, Y.; Ishii, Y. Iridium-Catalyzed α-Alkylation of Acetates with Primary Alcohols and Diols. J. Am. Chem. Soc. 2010, 132, 2536–2537. [Google Scholar] [CrossRef]
- Hayashi, M.; Bachman, S.; Hashimoto, S.; Eichman, C.C.; Stoltz, B.M. Ni-Catalyzed Enantioselective C-Acylation of α-Substituted Lactams. J. Am. Chem. Soc. 2016, 138, 8997–9000. [Google Scholar] [CrossRef]
- Deibl, N.; Kempe, R. General and Mild Cobalt-Catalyzed C-Alkylation of Unactivated Amides and Esters with Alcohols. J. Am. Chem. Soc. 2016, 138, 10786–10789. [Google Scholar] [CrossRef]
- Midya, S.P.; Rana, J.; Pitchaimani, J.; Nandakumar, A.; Madhu, V.; Balaraman, E. Ni-Catalyzed α-Alkylation of Unactivated Amides and Esters with Alcohols by Hydrogen Auto-Transfer Strategy. ChemSusChem 2018, 11, 3911–3916. [Google Scholar] [CrossRef]
- Gonnard, L.; Guerinot, A.; Cossy, J. Transition Metal-Catalyzed α-Alkylation of Amines by C(sp3)-H-Bond Activation. Tetrahedron 2019, 75, 145–163. [Google Scholar] [CrossRef]
- Brandhofer, T.; Mancheno, O.G. Site-Selective C-H Bond Activation/Functionalization of Alpha-Amino Acids and Peptide-Like Derivatives. Eur. J. Org. Chem. 2018, 2018, 6050–6067. [Google Scholar] [CrossRef]
- Merritt, E.A.; Olofsson, B. α-Functionalization of Carbonyl Compounds Using Hypervalent Iodide Reagents. Synthesis 2011, 517–538. [Google Scholar] [CrossRef]
- Ha, H.; Lee, J.; Park, M.H.; Jung, B.; Kim, M. Transient Directing Group-assisted C-H Bond Functionalization of Aliphatic Amines: Strategies for Efficiency and Site-selectivity. Bull. Korean Chem. Soc. 2020, 41, 582–587. [Google Scholar] [CrossRef]
- Gandeepan, P.; Ackermann, L. Transient Directing Groups for Transformative C–H Activation by Synergistic Metal Catalysis. Chem 2018, 4, 199–222. [Google Scholar] [CrossRef]








































| Catalytic System | Substrates | Reaction Types | References |
|---|---|---|---|
| Pd catalyst and monodentate phosphine ligand | Aldehydes | Allylation | [14] |
| Arylation | [15,16,17] | ||
| Imines | Allylation | [41,42,43] | |
| Pd catalyst and DPPF ligand | Ketones | Allylation | [33,34] |
| Pd catalyst and diphenylbisphosphine ligand | Ketones | Allylation | [31] |
| Amides | Allylation | [46,47] | |
| Pd catalyst and dialkylbisphosphine ligand | Amides | Arylation | [48] |
| Pd catalyst and pyrrolidine organocatalyst | Aldehydes | Allylation | [18,19] |
| Pd catalyst and phosphoric acid | Aldehydes | Allylation | [20,21,22,23] |
| Pd catalyst and DIAPHOX ligand | Ketones | Allylation | [32] |
| Ru catalyst and PNN ligand | Amides | Alkylation | [49] |
| Rh catalyst and BINAP ligand | Aldehyde | Allylation | [25] |
| Ir catalyst and P-olefin & amine | Aldehydes | Allylation | [24] |
| Ir catalyst and monodentate phosphine ligand | Esters | Alkylation | [50] |
| Ni catalyst and Mandyphos ligand | Amides | Acylation | [51] |
| Co catalyst and PNP ligand | Ketones | Alkylation | [37] |
| Co catalyst and PN5P ligand | Amides Esters | Alkylation | [52] |
| Mn catalyst and PNnP ligand | Ketones | Alkylation | [36,38] |
| Ni catalyst and NNN ligand | Amides Esters | Alkylation | [53] |
| Rh catalyst and NHC ligand | Ketones | Alkylation | [39] |
| Ru(bpy)3 photocatalyst | Aldehydes | Alkylation | [26,27,30] |
| Ketones | Alkylation | [40] | |
| Imines | Alkylation | [45] | |
| Ir photocatalyst | Aldehydes | Alkylation | [28,29] |
© 2020 by the authors. Licensee MDPI, Basel, Switzerland. This article is an open access article distributed under the terms and conditions of the Creative Commons Attribution (CC BY) license (http://creativecommons.org/licenses/by/4.0/).
Share and Cite
Lee, H.-E.; Kim, D.; You, A.; Park, M.H.; Kim, M.; Kim, C. Transition Metal-Catalyzed α-Position Carbon–Carbon Bond Formations of Carbonyl Derivatives. Catalysts 2020, 10, 861. https://doi.org/10.3390/catal10080861
Lee H-E, Kim D, You A, Park MH, Kim M, Kim C. Transition Metal-Catalyzed α-Position Carbon–Carbon Bond Formations of Carbonyl Derivatives. Catalysts. 2020; 10(8):861. https://doi.org/10.3390/catal10080861
Chicago/Turabian StyleLee, Ha-Eun, Dopil Kim, Ahrom You, Myung Hwan Park, Min Kim, and Cheoljae Kim. 2020. "Transition Metal-Catalyzed α-Position Carbon–Carbon Bond Formations of Carbonyl Derivatives" Catalysts 10, no. 8: 861. https://doi.org/10.3390/catal10080861
APA StyleLee, H.-E., Kim, D., You, A., Park, M. H., Kim, M., & Kim, C. (2020). Transition Metal-Catalyzed α-Position Carbon–Carbon Bond Formations of Carbonyl Derivatives. Catalysts, 10(8), 861. https://doi.org/10.3390/catal10080861

