Next Article in Journal
Strategy for Modifying Layered Perovskites toward Efficient Solar Light-Driven Photocatalysts for Removal of Chlorinated Pollutants
Next Article in Special Issue
Ru-Catalyzed Repetitive Batch Borylative Coupling of Olefins in Ionic Liquids or Ionic Liquids/scCO2 Systems
Previous Article in Journal
Recent Advances in Homogeneous Catalysis via Metal–Ligand Cooperation Involving Aromatization and Dearomatization
Previous Article in Special Issue
Highly Efficient and Reusable Alkyne Hydrosilylation Catalysts Based on Rhodium Complexes Ligated by Imidazolium-Substituted Phosphine
 
 
Font Type:
Arial Georgia Verdana
Font Size:
Aa Aa Aa
Line Spacing:
Column Width:
Background:
Article

Preparation of 5-HMF in a DES/Ethyl N-Butyrate Two-Phase System

1
College of Marine Science and Biological Engineering, Qingdao University of Science & Technology, Qingdao 266042, China
2
Guangxi Key Laboratory of Polysaccharide Materials and Modification, School of Chemistry and Chemical Engineering, Guangxi University for Nationalities, Nanning 530008, China
3
Key Laboratory of Biomass Chemical Engineering of Ministry of Education, Zhejiang University, Hangzhou 310027, China
*
Author to whom correspondence should be addressed.
Catalysts 2020, 10(6), 636; https://doi.org/10.3390/catal10060636
Submission received: 21 May 2020 / Revised: 2 June 2020 / Accepted: 4 June 2020 / Published: 7 June 2020
(This article belongs to the Special Issue Ionic Liquids in Catalysis)

Abstract

In this paper, a two-phase system, formed by oxalic acid/choline chloride-based deep eutectic solvent (DES) and chosen extractants, was used as a dissolution–reaction–separation system, and metal chloride was used as a catalyst to study the degradation of cellulose to produce 5-hydroxymethylfurfural (5-HMF) and glucose. The effects of the amount of organic solvent and the reaction temperature on product yield, the repeated recycling of DES, the comparison between a two-phase system and a homogeneous system, and the mechanism of cellulose degradation to 5-HMF were investigated. The results show that ethyl n-butyrate has the best extraction effect on 5-HMF. Compared with the homogeneous system, the yield of 5-HMF and glucose in the two-phase system is significantly improved. At a temperature of 140 °C and a reaction time of 120 min, the yields of glucose and 5-HMF reached the maximum, which were 23.5% and 29.8%, respectively. After DES was reused three times, the yields of glucose and 5-HMF decreased greatly, indicating that the recycling rate of DES was low.

1. Introduction

5-HMF is a very important new type of platform compound [1]. It not only contains a variety of functional groups, but also has good reactivity. Therefore, it is widely used in the manufacture of polymer materials [2], fine chemicals [3], biofuel processing [4,5,6], and other fields. Chemical products synthesized using 5-HMF as a raw material, such as 2,5-furandicarboxylic acid [7], 2,5-dimethylfuran, etc., have very high application value in the pharmaceutical, optoelectronic materials, and biofuel industries.
At present, obtaining 5-HMF through the direct degradation of biomass resources has become one of the research hotspots for the high value utilization of biomass. Cellulose is an abundant and renewable biomass resource in nature. It is a chain-like polymer compound linked by D-glucosyl groups with β-1,4 glycoside bonds. There have been many reports that 5-HMF is prepared from cellulose through certain transformation pathways [8,9]. First, cellulose is hydrolyzed to glucose under an acidic catalyst and glucose is converted into fructose through isomerization. Finally, fructose is formed into a specific intermediate under the catalyst. The intermediate produces 5-HMF by removing three molecules of water.
As a green dissolving solvent, ionic liquids are all organic salts composed of ions. Most of them are liquids at room temperature. They have good solubility for cellulose and other polymers [10]. Therefore, in the process of the catalytic degradation of cellulose to 5-HMF, ionic liquids are widely used [11]. The ionic liquid has some advantages, in that it has a good effect in dissolving cellulose and a high yield in the preparation of 5-HMF, but the ionic liquid has some disadvantages, in that its preparation is relatively complicated, its reuse problem remains to be solved, and its price is high, so there are few examples of industrialized production at present. As a result, researchers have replaced some or all of the ionic liquids with low-cost solvents. Mixed solvents are solvents which retain the dissolving properties of ionic liquids and reduce costs after replacing some or all of the ionic liquids in the mixed system [12]. The result is that, although the reaction cost is reduced, the yield of 5-HMF is correspondingly reduced, and 5-HMF is difficult to extract and efficiently separate, which reduces the yield.
Abbott [13] found that choline chloride and urea can form a transparent solution by stirring at room temperature, and then named this solvent deep eutectic solvent (DES). It is a eutectic mixture composed of a hydrogen bond acceptor and a hydrogen bond donor in the form of hydrogen bonding, and its melting point is lower than that of any single component. This solvent has many similarities with ionic liquids in melting point, viscosity, and many other physical and chemical-related properties, so it is also called an ionic liquid. Compared with ionic liquids, DES has a low price, simple preparation, 100% atomic utilization rate, biodegradability, safety and non-toxicity, and truly realizes the advantages of green chemistry.
Studies at home and abroad show that DES can be used as a solvent for carbohydrate degradation. In 2014, Xing et al. [14] reported that, since DES was able to dissolve cellulose, preliminary studies have begun in the study of the degradation of cellulose-based macromolecular compounds into 5-HMF. Liu et al. [15] studied the dissolution of cellulose by DES synthesized from several different solid organic matters and opened up new ideas for the preparation of 5-HMF from biomass resources. Liu et al. [16] used FeCl3/AlCl3 as catalyst to dissolve cellulose in a low crystalline region to obtain a 5-HMF yield of 49% in a H2O-ChCl/MIBK two-phase system, and to dissolve cellulose in a high crystalline region to obtain a 5-HMF yield of 27%. However, there are many limitations to obtaining 5-HMF by simply degrading cellulose through a single-phase reaction system. The products after the reaction are difficult to separate, so recovery is difficult and the yield is likely to decrease. Therefore, selecting a suitable extractant to constitute a two-phase or multi-phase system can effectively improve the yield of 5-HMF.
Therefore, the cellulose dissolution, catalytic conversion process, and separation mechanism in a new type of green and environmentally friendly solvent (deep eutectic solvent) system are studied in this paper. Although its current research is less, it provides new approaches for the development of new catalytic separation systems. Therefore, deep eutectic solvents may become a new type of high-efficiency catalytic system instead of ionic liquid transition metals. It is necessary to carry out in-depth research in terms of its structural design, reaction mechanism, and reaction method, and to fundamentally understand the deeply eutectic solvent-catalyzed reaction mechanism and the process and mechanism to improve reaction yield.

2. Results and Discussion

2.1. Selection of Extractant

At room temperature, a small amount of 5-HMF was added to an equal amount of DES, and then a sufficient amount of tetrahydrofuran (THF), ethyl butyrate, methyl isobutyl ketone (MIBK), ethyl acetate, and toluene were added, shocked it until fully dissolved, then left to stand and the clock was started. At the same time, the color of the reaction solution was observed. The stratification status was noted and timing was stopped. The extraction ability of 5-HMF was investigated by observing the stratification. The results are shown in Table 1 below.
It can be seen from Table 1 that there is no residual DES after the evaporation of the five extractants selected in this experiment. The remaining volume of ethyl acetate and tetrahydrofuran is relatively small, because the boiling points of ethyl acetate and tetrahydrofuran are relatively low, and parts of them were evaporated at high temperature. The volume of the other four extractants is almost equal to the original volume.
It can be seen from Table 1 that the five extraction agents selected in this experiment all have a certain extraction effect on 5-HMF. However, when tetrahydrofuran was used as an extractant, the stratification was not obvious. The extraction rate was low, while the extraction effect was not ideal after standing for 30 min. Although methyl isobutyl ketone has better effect, its upper layer color is brown, which is different from the light yellow 5-HMF, indicating that the upper layer liquid contains other dark-colored impurities. The extraction rates of ethyl acetate, ethyl butyrate, and toluene are relatively high and nearly the same rate. Comparing these three extractants, although toluene has the highest extraction rate and it is flammable and easily forms explosive mixtures with air at high temperatures. Toluene is low toxicity, but inhaling toluene can cause obvious eye and upper respiratory tract irritation symptoms, which is harmful to humans. In addition, the boiling point of ethyl acetate (about 77 °C) is far lower than the temperature in this experiment, which makes it is easy to volatilize and it cannot form a binary liquid phase system. Ethyl butyrate has a boiling point of about 120 °C and is harmless to the environment. It is an environmentally friendly solvent. Moreover, the extraction rate of 5-HMF by ethyl n-butyrate as an extractant is not significantly different from that with 5-HMF by ethyl acetate as an extractant.
In summary, ethyl n-butyrate, with the higher boiling point, has a good extraction effect and is not harmful to the human body or the environment. It is an environmentally friendly solvent and meets the requirements of this experiment. Therefore, ethyl n-butyrate is selected as the extractant in this experiment.

2.2. Effect of the Amount of Organic Solvent on Product Yield

The addition of an organic solvent has an important effect on the product. The organic solvent not only has an extraction effect on 5-HMF, but also can reduce the viscosity of the reaction system and has a swelling effect on cellulose. It is important to discuss the amount of organic solvent added to the experiment.
One gram of cellulose was added to 25 g DES solvent, then the catalyst SnCl4 was added and at 140 °C, ethyl n-butyrate and DES were successively added to produce mass ratios of 0.5, 1, 1.5, 2, 2.5, 3, and 3.5. During the reaction process, the product was taken out every half an hour to measure its yield. The experimental results are shown in Figure 1.
It can be concluded from Figure 1 that the amount of ethyl butyrate added has almost no effect on the yield of glucose, because the extraction agent is added to extract 5-HMF, which has little relation with glucose. The yield of 5-HMF increased with the dosage ratio of ethyl butyrate to DES. When the dosage ratio of ethyl butyrate to DES was 0.5, the yield of 5-HMF was 15.44% and that of glucose was 22.6%. The yield of 5-HMF continued to increase until the dosage ratio of ethyl butyrate to DES was 2.5. The yield of 5-HMF was 23.5% and that of glucose was 20.89%. On this basis, the dosage ratio was increased again, and the yield of the two is basically unchanged. When the addition of ethyl butyrate is too small, the amount of 5-HMF is large, the extractant reaches saturation, and 5-HMF is not completely extracted. As the reaction proceeds, 5-HMF further generates other substances, resulting in a reduced yield. When the dosage is increased to 2.5:1, the yield of 5-HMF reaches the maximum. On the one hand, while the amount of organic solvent is increased and the viscosity of the system is reduced, the cellulose is moistened and expanded [8], and the intermolecular and intramolecular hydrogen bonds are easy to break, which is conducive to the reaction. On the other hand, almost all the generated 5-HMF was extracted into the organic phase, indicating that ethyl n-butyrate played an extraction role in the reaction and promoted the reaction in a positive direction. The ratio of 5-HMF yield has little effect on the continuous increase of the dosage. Therefore, the ratio of ethyl butyrate to DES was 2.5.
In summary, the ratio of ethyl butyrate to DES was 2.5. Under this condition, the yield of glucose was 22.6% and the yield of 5-HMF was 23.5%.

2.3. Effect of Reaction Temperature on Product Yield

Fifty grams of ethyl n-butyrate was added in 25 g DES solvent and 1 g cellulose was added. Then the catalyst SnCl4 was added. With the system setting off a chemical reaction under three different temperatures (120 °C, 130 °C, and 140 °C), the sample was taken out every half an hour and the yield was measured. The results are shown in Figure 2.
It can be seen from Figure 2 that the yields of glucose and 5-HMF increase with time at 120 °C, but the yields of glucose and 5-HMF are not too high due to the low temperature. The yields of glucose and 5-HMF are only 2.7% and 4.6% at 30 min. Additionally, they are also only 10.7% and 8.9% at 150 min, not reaching the highest values at this time.
It can be seen from Figure 2 that the yields of glucose and 5-HMF also increase with time before 120 min at 130 °C, but their growth rate is faster. Therefore, the high temperature can accelerate the reaction within limits. The glucose yield reaches a maximum (29.8%) at 120 min, rises gradually with temperature before 120 min, then decreases. However, the 5-HMF yield rises between 30 to 150 min. Compared with 120 °C, the yields of glucose and 5-HMF greatly increase, but the yield of 5-HMF still does not reach the maximum shown in Figure 2 because the temperature at which DES completely catalyzes cellulose degradation cannot be reached.
As can be seen from Figure 2, when the temperature is 140 °C, the yields of glucose and 5-HMF are increased significantly, but the time taken to reach the maximum is different. Compared to 120 °C and 130 °C, glucose reaches its highest yield earlier. The highest yield is 31.5% at 90 min, then glucose quickly converts to 5-HMF. The highest yield of 5-HMF is 23.6% at 140 °C, then the value begins to go down after 120 min. When the reaction temperature is 140 °C, the organic solvent carrying 5-HMF begins to evaporate, so some products are not returned to the reactor. It results in a small loss of the product. In this experiment, it is further found that ethyl n-butyrate at 150 °C can be completely evaporated in less than 10 min, and cannot perform the extraction function.
In conclusion, the optimal reaction time and temperature to prepare glucose and 5-HMF in the two-phase system (DES-ethyl n-butyrate) are 2 h and 140 °C, respectively. The yield of glucose is 29.8% and that of 5-HMF is 23.5%.

2.4. Deep Eutectic Solvents Recovery

The reaction solution was extracted by an extractant and the subnatant was removed. Then the subnatant was filtered with distilled water to get the filtrate. The filtrate was evaporated in a rotary evaporator to get the recovery solution, which was dried at 70 °C for 24 h in a vacuum oven. After that, the sample, which was prepared by the smear method for infrared analysis, was obtained.
The first recycled solution dissolved cellulose as a reaction solution, and SnCl4 was selected as the catalyst at a dosage of 1.42 wt%, then the reaction was carried out for 2 h at 140 °C.
The second recycled solution dissolved cellulose as a reaction solution, and SnCl4 was selected as the catalyst at a dosage of 1.42 wt%, then the reaction was carried out for 2 h at 140 °C.
Figure 3 is an infrared spectrum of DES which contrasts the first recycled cellulose and multiply recycled cellulose. The association of hydroxyl groups to form hydrogen bonds at 3400–3200 cm−1, which is the O–H vibration absorption speak of DES’s characteristic peak. We can conclude that the O–H vibration absorption, which was recycled many times, moved from 3400 cm−1 to 3390 cm−1. The infrared absorption peak of the C–N stretching vibration of choline chloride weakened. That is because Cl− is very electronegative and it can induce a reaction. There is a reaction between N- and cellulose and the reaction destroyed the hydrogen bonds of the cellulose. This reaction weakened the peak. The C=O vibration absorption peak of oxalic acid moved to 1744.9 cm−1, the peak band became narrower and weaker, and its content reduced. There is almost nothing changed about the construction, but the moisture content increased after being recycled many times. Because DES can absorbed water easily, the moisture content increases after being recycled many times, which easily reduces the yield of the product. Therefore, it is not suitable for recycling many times.
Here is the test result:
Cellulose was dissolved by the once recycled solution as a reaction solvent, SnCl4 was selected as the catalyst at a dosage of 1.42 wt%, then the reaction was carried out for 2 h at 140 °C. After the reaction, ethyl n-butyrate was separated in the reaction and the content of 5-HMF in the glucose and ethyl n-butyrate was measured after adding a certain amount of ethyl n-butyrate to extract the reaction solution several times.
Cellulose was dissolved by the second recycled solution as a reaction solvent, SnCl4 was selected as the catalyst at a dosage of 1.42 wt%, then the reaction was carried out for 3 h at 140 °C. After the reaction, ethyl n-butyrate was separated in the reaction and the content of 5-HMF in the glucose and ethyl n-butyrate was measured after adding a certain amount of ethyl n-butyrate to extract the reaction solution several times.
Cellulose was dissolved by the third recycled solution as a reaction solvent, SnCl4 was selected as the catalyst at a dosage of 1.42 wt%, then the reaction was carried out for 5 h at 140 °C. After the reaction, ethyl n-butyrate was separated in the reaction and the content of 5-HMF in the glucose and ethyl n-butyrate was measured after adding a certain amount of ethyl n-butyrate to extract the reaction solution several times.
From Figure 4 we can conclude that, even though the reaction time is prolonged, the yield of glucose and ethyl butyrate both reduce with the increasing duration of recycling. After being recycled three times, the yield of 5-HMF declined to 5.4% from 10.79% and the yield of glucose declined to 15.2% from 22.8%. On the one hand, the recovery rate of DES reduced and the cellulose that was dissolved also declined with the increasing duration of the extractions. One the other hand, the amount of humin and the viscosity of the reaction system were increased, and the yield of the reaction product declined with the increase in the by-product.
In conclusion, DES can be recycled and reused, but the yield of 5-HMF is only 5.4%, and the yield of glucose is 15.2% after being recycled three times.

2.5. Comparisons between Two-Phase and Homogeneous Systems

Compared with the homogeneous system composed of a reaction system only using DES without an extraction agent, the results are shown in Table 2.
As can be seen from Table 2:
(1) Optimum reaction temperature
Compared with the homogeneous system, in the two-phase system, the reaction temperature that is required for the target product to achieve the maximum yield is lower. In the homogeneous system, the reaction temperature needs to rise to 160 °C to reach the maximum value for 5-HMF. In the two-phase system, the maximum value can be reached at 140 °C.
(2) Optimum reaction time
The reaction time for achieving the maximum volume of 5-HMF in the two-phase system is longer than that in the homogeneous system. Due to the addition of a large number of organic solvents, and considering that the organic solvents will evaporate to carry part of 5-HMF after reaching the boiling point, which affects the experimental results, the temperature is decreased, and if we reduce the temperature, cellulose dissolution is slow and the product yield is delayed.
(3) DES repeatable number
In the two-phase system, DES can be reused three times, while the homogeneous system cannot be reused. The reason for this is that if the temperature is too high and the homogeneous system’s viscosity is too high, the reaction solution sticks to the wall, the by-product increases, and the recovery rate of DES is very low. In the two-phase system, due to the addition of a large number of organic solvents, DES is diluted and DES can be successfully recovered after the completion of the reaction, and there is no sticky wall phenomenon.
(4) Optimal yield of product
Compared with the homogeneous system, the yield of glucose in the two-phase system was not significantly different from that of the homogeneous system, while the yield of 5-HMF increased by 18.8%. Glucose is just an intermediate product which exists in the DES system. However, 5-HMF was not extracted in time due to the high temperature and the long time in the homogeneous system, resulting in a too low yield of 5-HMF. In the two-phase system, due to the addition of an extraction agent, 5-HMF was extracted in time with the progress of the reaction, so the yieldincreased.
It can be seen from Table 3 that the reaction temperature of the homogeneous system is high and the yield of 5-HMF is low. This is because the viscosity of the reaction system is relatively large, which is not conducive to the contact between the reaction solvent and cellulose, resulting in less cellulose glycosidic bond and hydrogen bond breakage, and less yield of 5-HMF generated. In this case, only by increasing the temperature to break the glycosidic bonds and hydrogen bonds of cellulose, the side reaction increases while 5-HMF is produced. 5-HMF is further hydrolyzed into other rot substances, increasing the viscosity of the reaction system, resulting in a decrease in product yield. In the two-phase system, because of the addition of the organic solvent, on the one hand, the organic solvent itself can swell the cellulose and increase the dissolution rate of cellulose. With the addition of the organic solvent, the viscosity of the reaction system decreases and the molecular motion is intense. It is conducive to the destruction of cellulose glycosidic bonds and hydrogen bonds by the solvent, so excessive temperature is not required to dissolve the cellulose. The lower the temperature, the lower the yield of by-products, and increase the yield of 5-HMF. On the other hand, the organic solvent has a certain extraction effect on 5-HMF. During the reaction, 5-HMF can be extracted by the organic solvent in time, reducing the further hydrolysis of 5-HMF to other substances and increasing the yield of 5-HMF.
In summary, the two-phase system is more suitable for the preparation of glucose and 5-HMF by cellulose degradation than the homogeneous system. Compared with other studies, the advantage of this experiment is that the choline chloride/oxalic acid solvent used is inexpensive and non-polluting. The organic solvent ethyl n-butyrate used is an environmentally friendly solvent. 5-HMF can also be removed from the reaction as it is extracted from it, which provides a new idea for the future large-scale direct preparation of platform compounds from renewable resources, such as cellulose.

2.6. Mechanism of the Catalytic Degradation of Cellulose in DES to 5-HMF

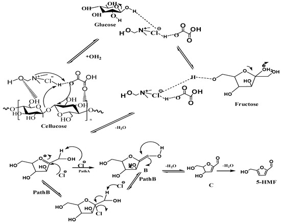
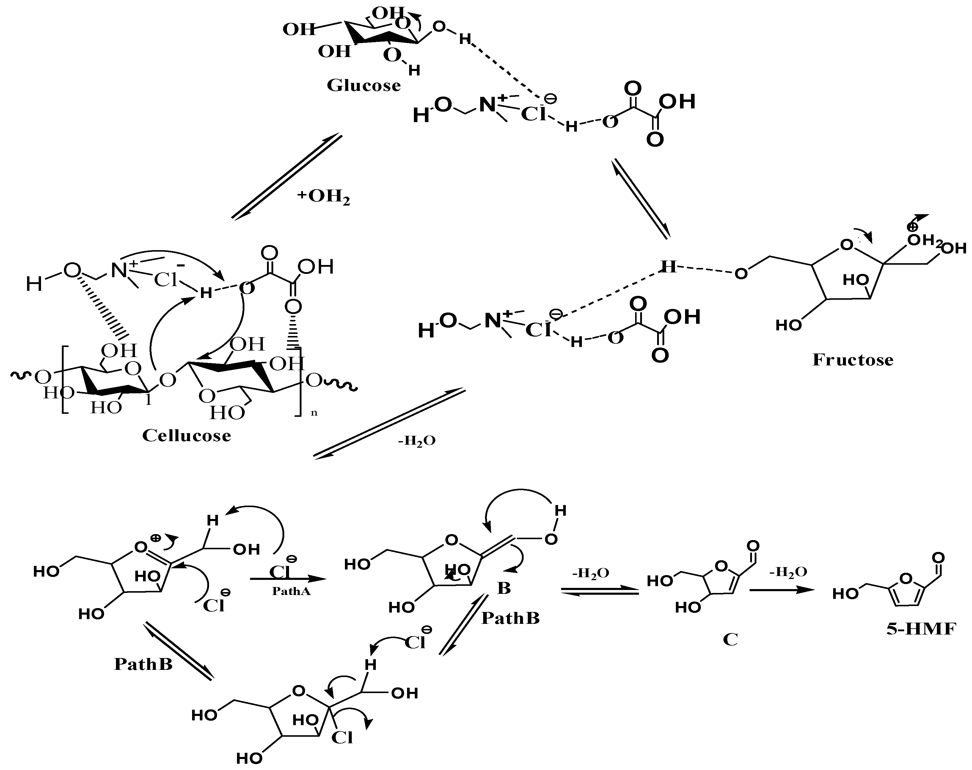
Cellulose is a kind of chain polymer with stable physical properties which is dehydrated with glucose and connected by β-1,4 glycoside bonds. SnCl4 was used as the catalyst and choline chloride/oxalic acid was used as the solvent to catalyze the degradation of cellulose to produce 5-HMF, the mechanism for which is shown in Figure 5.
For the dissolution of cellulose by choline chloride/oxalic acid, firstly, the O atoms of choline chloride/oxalic acid, oxalic acid, and cellulose −OH can form new hydrogen bond between the original cellulose hydrogen bonds, and secondly, the N atoms of choline chloride haves a high electropositive activity, which reduces the strength of the hydrogen and oxygen bonds on the carboxyl group and increases the acidity of the system and breaks the glycoside bonds [17].
For the process of glucose isomerization into fructose, firstly, the O atoms on the glycoside bond attack the hydrogen in the oxalate carboxyl group to form the hydroxyl group, thus breaking the glycoside bond. Under the action of the metal chloride SnCl4, the Cl atoms in SnCl4 can interact with the H atoms in the glucose hydroxyl group, and then transfer H atoms. Then the Sn atoms in SnCl4 can interact with the O atoms in the glucose to promote the formation of enol-type intermediates and the isomerization into fructose [18]. Secondly, the chloride ion attacks the oxygen atom of the glucose hydroxyl bond and captures the hydrogen atom on the hydroxyl group, thus causing the oxygen of the hydroxyl group to show an electronegative property, and the C1 position forms the aldehyde group. Then the oxygen on C5 attacks C2, causing the hydroxyl group on C2 to fall off and form a five-membered ring. Later, due to the oxidizability of the carbonyl group, it combines with the hydrogen in oxalic acid to form an enol intermediate, resulting in the five-membered ring of fructose. Fructose takes off three molecules of water to get 5-HMF.

3. Materials and Methods

3.1. Materials

Ethyl acetate was purchased from Henan Lianchuang Chemical Co., Ltd (Jiyuan, China). Ethyl butyrate, choline chloride, and HPLC grade 5-Hydroxymethylfurfural (5-HMF) were purchased from Shandong West Asia Chemical Industry Co., Ltd (Linyi, China), Oxalic acid was purchased from Tianjin Damao chemical reagent factory (Tianjin, China). Medicinal grade microcrystalline cellulose (MCC) was obtained from Chengdu Cologne Chemical Reagent Factory (Chengdu, China). Tin (IV) chloride (SnCl4) was obtained from Tianjin Beichen Fangzheng Reagent Factory (Tianjin, China). Tetrahydrofuran (THF) was obtained from Suzhou Yake Chemical Reagent Co., Ltd (Suzhou, China). Methyl isobutyl ketone (MIBK) was purchased from Shanghai Runjie Chemical Reagent Co., Ltd (Shanghai, China). and methylbenzene from Sinopharm Chemical Reagent Co., Ltd (Huaian, China). All chemical reagents were used with no further purification.

3.2. Methods

The studied reagents were dried for 48 h at 50 °C in a vacuum drying oven to remove moisture, then they were added into a four-necked flask with a hydrogen bond donor and hydrogen bond acceptor in a fixed mole ratio. The mixture was heated in a thermostatic oil bath and protected by nitrogen to fully mix it to a transparent liquid. The synthesized DES was dried in a vacuum drying oven for 48 h at 70 °C.
Five milliliters of DES reagent and 5 mL extracting solvent (recorded as V1) were successively added into a separatory funnel. Then the top stopper was plugged and the separatory funnel was gently shaken up and down to make full contact between the two phases. The product was kept still for thirty minutes and the delamination of the solvent in the test tube was observed. After separation, the two-phase solvent was separated and the volume of the separated organic phase was measured (recorded as V2). The two recorded volumes were compared to determine the mutual solubility of organic solvents and DES.
Five milliliters of DES reagent and 5 mL extracting solvent (recorded as V1) were successively added into a separatory funnel. Then the top stopper was plugged and the separatory funnel was gently shaken up and down to make full contact between the two phases. The product was kept still while timing was started and the delamination phenomenon and the color of the upper liquid was observed. The concentration of the reaction solution before and after extraction was measured with a UV spectrophotometer (JY10001 German Bruker, Karlsruhe, German) at 284 nm to calculate the extraction rate. The extraction rate is the percentage content of the original concentration of 5-HMF minus the concentration of 5-HMF in the sample, which is then compared with the original concentration of 5-HMF.
A syringe was used to draw a certain amount of solution from the upper layer every half an hour. The reaction was stopped and a small amount of solution was drawn from the lower layer. The upper solution was diluted with ethyl n-butyrate and the supernatant was analyzed using an ultraviolet spectrophotometer at 284 nm to measure the concentration of 5-HMF. The lower solution was diluted with deionized water to a constant volume and a small amount of the solution and was placed under an ultraviolet spectrophotometer at 540 nm to measure the glucose concentration. The lower layer of the solution was centrifuged, and the lower layer of the solution was analyzed using an ultraviolet spectrophotometer to calculate the corresponding yield.

3.3. Calculation of Product Yield

The prepared DES made by the processes above was weighed into a four-necked flask and it was then filled with N2 and dissolved at 100 °C and adjusted to the temperature required for the reaction. Then the specified mass of microcrystalline cellulose was added, the catalyst was added after stirring well, and finally the specified volume of ethyl n-butyrate was added into a four-necked flask.
Some of the upper layer solution was sucked up every half an hour. Then the reaction was stopped and a small volume of the lower layer solution was sucked up. The supernatant was analyzed using a UV spectrophotometer after diluting the upper layer solution and to a constant volume with ethyl n-butyrate. The lower layer solution was diluted to a constant volume with deionized water, then the solvent of the constant volume was sucked up and placed in a UV spectrophotometer to measure the glucose concentration. Finally, the lower layer solution was centrifuged and was analyzed using a UV spectrophotometer to calculate the corresponding yield.
The formula of glucose yield was calculated as shown in the following equation:
Y G = C G × V m × 100 %
where CG is the concentration (mg/mL) of glucose, V is the volume (mL) of the reaction solution after a constant volume, and m is the original dosage (mg) of cellulose.
The formula of 5-HMF yield was calculated as shown in the following equation:
Y 5 - HMF = C 5 - HMF × 180 V 126 m × 100 %
where the C5-HMF above is the mass concentration (mg/mL) of 5-HMF, which is measured using Wang’s method [19].
After the reaction was over, the reaction solution was evaporated on a rotary evaporator, and the organic solution was recovered to obtain DES for reuse.

4. Conclusions

Glucose and 5-HMF were prepared by using microcrystalline cellulose as a raw material and metal chloride stannous tetrachloride as a catalyst. Ethyl n-butyrate was selected as the extraction agent. When the temperature was 140 °C and the reaction time was 120 min, the yield of the product reached the maximum value. At that time, the yield of glucose was 23.5% and the yield of 5-HMF was 29.8%. The recovery rate of DES was studied, and the two-phase system was more suitable for the preparation of glucose and 5-HMF by cellulose degradation than the homogeneous system.

Author Contributions

J.L. (Jinyan Lang): write manuscripts and modify manuscripts, data collection, analysis and interpretation; J.L. (Junliang Lu): data analysis and interpretation; P.L.: literature search; N.W.: making charts; H.Y.: research design, data collection; H.Z.: the concept of the article content to be proposed, the manuscript to be revised. All authors have read and agreed to the published version of the manuscript.

Funding

This work was supported by the Shandong Provincial Natural Science Foundation of China (Grant No. ZR2017MC032), the Open Fund of Guangxi Key Laboratory of Polysaccharide Materials and Modification (Grant No. GXPSMM18YB-03), the Shandong Provincial Key Research and Development Program (SPKR&DP) (Grant No. 2019GGX102029) and the Foundation of Key Laboratory of Biomass Chemical Engineering of the Ministry of Education, Zhejiang University (Grant No. 2018BCE005).

Conflicts of Interest

The authors declare no conflict of interest.

References

  1. Roman-Leshkov, Y.; Barrett, C.J.; Liu, Z.Y.; DumeSic, J.A. Production of dimetbylfuran for biomass-derived cabobydrates. Nature 2007, 447, 982–985. [Google Scholar] [CrossRef] [PubMed]
  2. Yang, L. Conversion of Carbohydrates into 5-Hydroxymethylfurfural Catalyzed by Solid Acid in Deep Eutectic Solvents. Master’s Thesis, Zhejiang University of Technology, Hangzhou, China, 2016. [Google Scholar]
  3. Zhao, B.Y. Study on the Preparation, Properties of Deep Eutectic Solvents and Its Application to the Extraction of Rutin. Master’s Thesis, South China University of Technology, Guangzhou, China, 2016. [Google Scholar]
  4. Feng, R.; Zhao, D.; Guo, Y. Revisiting characteristics of ionic liquids: A review for further application development. J. Environ. Prot. 2010, 1, 95–104. [Google Scholar] [CrossRef]
  5. Avelino, C.; Sara, I.; Alexandra, V. Chemieal routes for the transformation of biomass into chemieals. Cheminform 2007, 38, 2411–2502. [Google Scholar]
  6. Zhou, L.L.; He, Y.M.; Ma, Z.W.; Liang, R.; Wu, T.; Wu, Y. One-step degradation of cellulose to 5-hydroxymethylfurfural in ionic liquid under mild conditions. Carbohydr. Polym. 2015, 117, 694–700. [Google Scholar] [CrossRef] [PubMed]
  7. Wang, H.; Zhu, C.; Li, D.; Liu, Q.; Tan, J.; Wang, C.; Cai, C.; Ma, L. Recent advances in catalytic conversion of biomass to 5-hydroxymethylfurfural and 2, 5-dimethylfuran. Renew. Sustain. Energy Rev. 2019, 103, 227–247. [Google Scholar] [CrossRef]
  8. Zhang, H.; Li, S.; Song, X.; Li, P.; Li, J. Preparation of 5-HMF by the catalytic degradation of cellulose in an ionic liquid/organic biphasic system. BioResources 2016, 11, 5190–5203. [Google Scholar] [CrossRef][Green Version]
  9. Zhang, H.; Li, S.; Xu, L.; Sun, J.; Li, J. Kinetic Study of the Decomposition of Cellulose to 5-Hydroxymethylfurfural in Ionic Liquid. BioResources 2016, 11, 4268–4280. [Google Scholar] [CrossRef]
  10. Wu, Q.; Zhang, H.Q.; Wang, X.Z. Relationship between the structure of ionic liquids and their physical properties. J. Hebei Natl. Teach. Coll. 2015, 35, 65–69. [Google Scholar]
  11. Yang, Y.P.; Sheng, M.G.; Shang, S.B.; Song, Z.Q. Research progress of cellulose catalytic conversion for preparation of 5-HMF in different solvents. Biomass Chem. Eng. 2016, 50, 47–52. [Google Scholar]
  12. Hu, L.; Wu, Z.; Lin, L.; Zhou, S.; Liu, S. Recent advances in catalytic transformation of biomass-derived 5-Hydroxymethylfurfural into the innovative fuels and chemicals. Renew. Sustain. Energy Rev. 2017, 74, 230–257. [Google Scholar] [CrossRef]
  13. Abbott, A.P.; Capper, G.; Davies, D.L.; Rasheed, R.K.; Tambyrajah, V. Novel solvent properties of choline chloride/urea mixtures. Chem. Commun. 2003, 1, 70–71. [Google Scholar] [CrossRef] [PubMed]
  14. Xing, Y.J.; Liu, Y.T.; Zhang, J.B.; Zhang, H.H. Method for Pyrolyzing Cellulose Raw Material by Eutectic Solvent. Patent CN104178527A, 9 July 2014. [Google Scholar]
  15. Liu, H.R.; Zhou, E.P.; Zhang, X.H.; Zhang, X.C. Study of deep eutectic solvents prepared from solid organic compounds and their application on dissolution for cellulose. Mater. Guide 2013, 27, 95–98. [Google Scholar]
  16. Liu, F.; Audemar, M.; Vigier, K.; Cartigny, D.; Clacens, J.-M.; Gomes, M.F.C.; Pádua, A.A.H.; Campo, F.D.; Jérôme, F. Selectivity enhancement in the aqueous acid-catalyzed conversion of glucose to 5-hydroxymethylfurfural induced by choline chloride. Green Chem. 2013, 15, 3205–3213. [Google Scholar] [CrossRef]
  17. Zhang, H.; Lang, J.Y.; Lan, P.; Yang, H.; Lu, J.; Lu, Z. Study on the dissolution mechanism of cellulose by ChCl-based deep eutectic solvents. Materials 2020, 13, 278. [Google Scholar] [CrossRef] [PubMed]
  18. Zuo, M.; Le, K.; Li, Z.; Jiang, Y.; Zeng, X.; Tang, X.; Sun, Y.; Lin, L. Green process for production of 5-hydroxymethylfurfural from carbohydrates with high purity in deep eutectic solvents. Ind. Crop. Prod. 2017, 99, 1–6. [Google Scholar] [CrossRef]
  19. Wang, Z. Preparation of Furfural Platform Compounds from Biomass Resources in Deep Eutectic Solvents. Master’s Thesis, Qingdao University of Science and Technology, Qingdao, China, 2019. [Google Scholar]
Figure 1. Effect of the ratio of ethyl butyrate and DES on products yields.
Figure 1. Effect of the ratio of ethyl butyrate and DES on products yields.
Catalysts 10 00636 g001
Figure 2. Effect of reaction time and temperature on (a) 5-HMF yield and (b) glucose yield.
Figure 2. Effect of reaction time and temperature on (a) 5-HMF yield and (b) glucose yield.
Catalysts 10 00636 g002
Figure 3. IR spectrum of multiply recycled DES.
Figure 3. IR spectrum of multiply recycled DES.
Catalysts 10 00636 g003
Figure 4. Recycling durations of DES.
Figure 4. Recycling durations of DES.
Catalysts 10 00636 g004
Figure 5. Mechanism of the conversion of cellulose to 5-HMF in a DES system.
Figure 5. Mechanism of the conversion of cellulose to 5-HMF in a DES system.
Catalysts 10 00636 g005
Table 1. The solubility of DES and organic solvents.
Table 1. The solubility of DES and organic solvents.
Organic SolventsV1/mLV2/mLDESTime of StratificationUpper ColorPrimary Extraction Rate/%
THF54.86-30 min
The stratification was not obvious
Dark brown58.7
Ethyl butyrate54.96-6 min
Distinct stratification
Light yellow82.1
MIBK54.94-10 min
Distinct stratification
Brown81.5
AcOEt54.82-3 min
Distinct stratification
Light yellow83
Toluene54.90-5 min
Distinct stratification
Light yellow84.4
(Note: V1: Initial volume of organic phase; V2: Volume of organic phase after extraction; -: indicates that there is no DES residue in the organic phase after the rotary evaporation).
Table 2. Comparisons between one-phase and biphase systems.
Table 2. Comparisons between one-phase and biphase systems.
Homogeneous SystemTwo-Phase System
Optimum reaction temperature/°C160140
Optimum reaction time/min90120
DES repeatable numberReuse zero timesReuse three times
Optimal yield of product/%Glucose: 22%; 5-HMF: 11%Glucose: 29.8%; 5-HMF: 23.5%
Table 3. The conversion of cellulose to 5-HMF in different systems.
Table 3. The conversion of cellulose to 5-HMF in different systems.
NumberSolventCatalystTemperature/°CTimeConversion Rate/%Yield/%
1MIBK/waterTiO22702 min-35
2waterH2CO325030 min-16.2
3[BMIM]ClCrCl31601 h9531
4[BMIM]Cl/TolueneCrCl31303 h5755
5ChCl/oxalic acidSnCl416090 min6011
6ChCl/oxalic acid-ethyl n-butyrateSnCl41402 h-23.5 (This study)

Share and Cite

MDPI and ACS Style

Lang, J.; Lu, J.; Lan, P.; Wang, N.; Yang, H.; Zhang, H. Preparation of 5-HMF in a DES/Ethyl N-Butyrate Two-Phase System. Catalysts 2020, 10, 636. https://doi.org/10.3390/catal10060636

AMA Style

Lang J, Lu J, Lan P, Wang N, Yang H, Zhang H. Preparation of 5-HMF in a DES/Ethyl N-Butyrate Two-Phase System. Catalysts. 2020; 10(6):636. https://doi.org/10.3390/catal10060636

Chicago/Turabian Style

Lang, Jinyan, Junliang Lu, Ping Lan, Na Wang, Hongyan Yang, and Heng Zhang. 2020. "Preparation of 5-HMF in a DES/Ethyl N-Butyrate Two-Phase System" Catalysts 10, no. 6: 636. https://doi.org/10.3390/catal10060636

APA Style

Lang, J., Lu, J., Lan, P., Wang, N., Yang, H., & Zhang, H. (2020). Preparation of 5-HMF in a DES/Ethyl N-Butyrate Two-Phase System. Catalysts, 10(6), 636. https://doi.org/10.3390/catal10060636

Note that from the first issue of 2016, this journal uses article numbers instead of page numbers. See further details here.

Article Metrics

Back to TopTop