Abstract
Recently, an increasing number of metal complex catalysts have been developed to achieve the activation or transformation of substrates based on cooperation between the metal atom and its ligands. In such “cooperative catalysis,” the ligand not only is bound to the metal, where it exerts steric and electronic effects, but also functionally varies its structure during the elementary processes of the catalytic reaction. In this review article, we focus on metal–ligand cooperation involving aromatization and dearomatization of the ligand, thus introducing the newest developments and examples of homogeneous catalytic reactions.
1. Introduction
Current strategies in synthetic organic chemistry strongly require that chemical transformations be realized with inexpensive, easily available, and safe starting materials. As a result, the formation of unnecessary byproducts is suppressed, harmful waste is reduced, and useful target compounds are produced in high yields with excellent selectivity. The most important point for addressing these requirements is the effective utilization of appropriately designed catalysts for each type of chemical transformation. Metal complex catalysts based on metal–ligand combinations have shown spectacular progress in recent years, realizing the catalytic transformations of various substrates which would otherwise be recognized as difficult to achieve using traditional methods, and thus contributing to the advancement of synthetic organic chemistry [1,2].
In the past, the ligands in a metal complex catalyst were mainly expected to exhibit (1) steric effects that influenced the spatial environment around the metal and (2) electronic effects that affected the electronic character of the metal center. With these conventional catalysts, the structure of the ligand usually remained unchanged during the elementary processes of the catalytic reaction.
However, an increasing number of metal complex catalysts have been recently developed to achieve the activation or transformation of substrates based on cooperation between the metal atom and ligands [3,4]. In such cases, in addition to the conventional effects (steric and electronic), the ligand is not only bound to the metal but functions by varying its structure during the elementary processes of the catalytic reaction. Namely, the catalytic conversion is achieved by cooperation between the metal and the structurally changeable ligand.
Several examples of cooperation between a metal and its ligands are known. Representative complexes are illustrated in Figure 1. The first is the synergistic effect in the metal owing to the interconversion between the amine and amide forms of the ligand structure. Well-recognized, pioneering research in this area was conducted by Noyori et al. [5,6]. More recently, many examples of interesting catalytic reactions based on the cooperation of the metals with MACHO ligands [HN(CH2CH2PPh2)] have been described. There are reviews covering this subject [7,8].
Figure 1.
Representative examples of transition metal complexes with metal–ligand cooperative functions, which are not covered in this review.
Another example of a complex catalyst that shows metal–ligand cooperation is based on the interconversion between a hydroxycyclopentadienyl and cyclopentadienone-type ligand. A ruthenium complex reported by Shvo et al. was the first of its kind in this field [9,10,11,12]. This complex catalyst has been applied to various types of reactions, including the Oppenauer-type oxidation, transfer hydrogenation reduction, and dehydrogenation. Excellent reviews have also been published in this area [13,14].
Finally, there are examples of metal–ligand synergy in the elementary steps of a catalytic reaction in which the ligand loses aromaticity and then regains it (dearomatization and aromatization). In this review article, we focus on metal–ligand cooperation involving aromatization and dearomatization, thus introducing the newest developments and examples of homogeneous catalytic reactions.
2. Pincer-Type Ligand Enabling Proton Uptake and Release on Side Arm
A wide variety of tridentate pincer-type ligands have been investigated in the area of coordination chemistry [15,16,17,18]. A rigid pincer scaffold enables enough stability, which is desirable for catalytic applications in organic synthesis; hence, numerous pincer complexes for homogeneous catalysis have been explored [19,20,21,22]. N-Heterocycles such as pyridine and triazine can be incorporated as the center of the pincer scaffold (Scheme 1), and side arms with coordinating atoms (L) and methylene or amine (NH) linkers (E) are typically tethered to the central N-heterocycle at the 2- and 6-positions. Complexes with such ligands can undergo deprotonation on the side arm at E resulting in dearomatization of the pyridine moiety. This reaction is reversible; hence, protonation on the side arm can occur to restore aromaticity. This reactivity can be applied to the metal–ligand cooperative H–R bond activation of small molecules such as H–H, H–OR, H–NR2, etc. [23,24,25,26,27,28,29]. For example, a dearomatized pincer complex can heterolytically activate H2 to generate a metal–hydride intermediate with a proton on the side arm, which can be utilized as the active species for hydride transfer to various unsaturated compounds, leading to efficient catalytic hydrogenation reactions. Reverse dehydrogenation, to achieve oxidation by H2 release, is also possible. Transfer hydrogenation in which H2 is not involved as a starting material or final product can also be accomplished by pincer catalysts. The deprotonated side arm of the pincer complex is also nucleophilic; this characteristic has been recently explored in catalytic transformations of nitriles.
Scheme 1.
Reversible deprotonation/protonation at the side arm (E) of the pincer complex and the metal–ligand cooperative activation of H–R.
In this section, recent studies (post-2010) on metal–pincer complex-catalyzed transformations such as hydrogenation, dehydrogenation, transfer hydrogenation, nitrile functionalization, and other reactions involving metal–ligand cooperation are featured.
2.1. Hydrogenation Reactions
The hydrogenation of carbonyl compounds is one of the most fundamental transformations in organic synthesis [30,31,32]. The reactivity of lutidine-based pincer complexes toward H2 activation has been well documented by the Milstein group [33,34]. Deprotonation at the pincer side arm forms a dearomatized metal-amide species, which heterolytically cleaves the H–H bond to afford a hydride complex while restoring the aromaticity of the ligand scaffold by protonation at the side arm. The resultant hydride complexes possess enough reactivity for the hydrogenation of unsaturated compounds. The catalytic hydrogenation of various types of carbonyl derivatives, including ketones, aldehydes, esters, amides, and CO2 has been recently investigated, employing Ir [35], Ru [36,37,38], Fe [39,40,41], and Mn [42,43] as the reactive centers.
2.1.1. Hydrogenations of Ketone and Aldehydes
Catalytic hydrogenations of simple carbonyl compounds, such as ketones and aldehydes, leading to the corresponding alcohols and mediated by complexes of precious metals (including Ru, Rh, and Ir [30,31]), have been extensively studied. The combination of pyridine-centered pincer ligands with these precious metals has been found effective for achieving high catalytic performance [44,45]. Recently, metal–ligand cooperation in a pyridine-centered pincer complex allowed the use of non-precious metal centers such as Fe and Mn in the catalytic hydrogenation reactions, which is a significant advance over precious metals from the perspectives of natural abundance and cost.
In 2011, Milstein et al. reported the Fe-PNP pincer complex catalyzed hydrogenation of ketones under mild reaction conditions [46]. Acetophenone underwent hydrogenation to 1-phenylethanol in the presence of catalytic amounts of Fe complex 1 and KOt-Bu under 4.1 atm H2 in ethanol solvent at ambient temperature (Scheme 2). At 40 °C, the reaction reached completion in a shorter time, achieving a turnover frequency (TOF) of 430 h−1. Shortly thereafter, the same group reported the same hydrogenation reaction under base-free conditions by employing borohydride-ligated catalyst precursor 2 at 40 °C [47]. Acetophenone derivatives and benzophenone were successfully hydrogenated to the corresponding alcohols in this catalytic system. Cyclohexanone, as an aliphatic example, also underwent hydrogenation to cyclohexanol in good yield. The diketone benzil was similarly converted to the mono-hydrogenated product in the presence of catalyst 1.
Scheme 2.
Fe-pincer complex-catalyzed hydrogenation of ketones.
Mechanistically, as supported by density functional theory (DFT) calculations, the key intermediate is proposed as dearomatized monohydride complex 3, which undergoes hydrogen atom transfer to afford aromatized Fe(0) intermediate 4 (Scheme 3). Then, a molecule of ethanol solvent coordinates to the Fe center to give 5 followed by concomitant hydrogen transfer to acetophenone from the PNP-side arm and ligated ethanol, giving 1-phenylethanol- and ethoxide-ligated dearomatized intermediate 6. After liberation of product 1-phenylethanol, hydrogenolysis of ethoxide complex 7 proceeds to restore solvent ethanol and parent monohydride complex 3. More recently, the same group reported an Fe-PNN pincer complex for catalytic ketone hydrogenation, although the catalytic activity was not so high [48].
Scheme 3.
Reaction mechanism for Fe-pincer complex catalyzed hydrogenation of acetophenone.
Later, Milstein’s group improved the reaction conditions to achieve high catalytic activity toward aldehyde hydrogenation [49]. For the hydrogenation of benzaldehyde, the addition of triethylamine and KOt-Bu was essential to achieve a high yield of benzyl alcohol (Scheme 4). Borohydride complex 2 could also catalyze the hydrogenation under KOt-Bu-free conditions, although the yield was significantly decreased. Under the optimized conditions (30 bar H2, 40 °C) using catalyst 1, the complete conversion of benzaldehyde was achieved with a turnover number (TON) of 4000. Both aromatic and secondary or tertiary aliphatic aldehydes were tolerated in this hydrogenation reaction to afford the corresponding alcohols. In the case of primary alkyl aldehydes, reaction in the presence of borohydride complex 2 under KOt-Bu-free conditions was suitable for achieving a high yield of alcohol; these conditions avoided undesired base-catalyzed aldol condensation side reactions.
Scheme 4.
Fe-pincer complex 1- or 2-catalyzed hydrogenation of aldehydes.
Analogously, the Mn-PNP complex also exhibited catalytic activity in the hydrogenation of ketones. Sortais et al. reported the Mn-catalyzed hydrogenation of ketones (Scheme 5) [50], wherein both aromatic and aliphatic ketones were reduced in the presence of Mn catalyst 8 and KOt-Bu in toluene at 130 °C under 50 bar H2 to the corresponding alcohols in good yields. Interestingly, this complex showed catalytic activity toward the reverse dehydrogenation of 1-phenylethanol to afford acetophenone and H2.
Scheme 5.
Mn-pincer complex 8-catalyzed hydrogenation of ketones and reverse dehydrogenation.
2.1.2. Ester Hydrogenation
The hydrogenation of esters provides an environmentally benign reductive transformation compared to conventional methods utilizing stoichiometric metal hydrides such as LiAlH4. Ru complexes have been investigated as promising catalysts for the hydrogenation of non-activated esters [51,52,53]. Metal–ligand cooperation enabled by pyridine-centered pincer ligands has been demonstrated as an excellent strategy for the hydrogenation of not only simple carbonyl compounds but also esters. Since the pioneering work on the Ru-PNP pincer complex-catalyzed hydrogenation of esters was reported by Milstein et al. [54], various pincer-type complexes have been developed for this catalytic transformation.
Milstein et al. reported Ru-PNN–H type pincer complexes 9 and 10 as catalysts for the hydrogenation of esters at ambient temperature (Scheme 6) [55]. These complexes potentially have dual modes of metal–ligand cooperation, including amine/amide and aromatization/dearomatization interconversions. In the reaction, 9 undergoes double deprotonation—at the NH group and methylene moiety between the pyridyl and amino group—by the stoichiometric reaction with KH (2.5 equiv) to afford 11. Various aliphatic and aromatic esters were successfully converted to the corresponding alcohols in high yields under 5 bar H2 at room temperature (rt) in THF solvent in the presence of catalyst 9 or 10 (0.5 mol%) and KOt-Bu (5.0 mol% for catalyst 9, 1.1 mol% for catalyst 10). Other types of Ru-pincer complexes 12–19 exhibiting catalytic activity in the hydrogenation of esters leading to alcohols have also been reported (Figure 2) [56,57,58,59,60,61].
Scheme 6.
Ru-pincer complex 9- or 10-catalyzed hydrogenations of esters to alcohols.
Figure 2.
Ru-pincer complexes for the catalytic hydrogenation of esters.
The side arm in the pincer skeleton can be altered to a NH moiety, which can also show metal–ligand cooperative activity in the catalytic hydrogenation of esters [62]. Huang et al. reported the Ru-PNN pincer complex 20-catalyzed hydrogenation of esters leading to alcohols (Scheme 7). The reactions proceeded in toluene at 120 °C under 400 psi H2 in the presence of 20 (1.0 mol%) and KOt-Bu (8.0 mol%) to give the corresponding mixtures of alcohols in high yields. DFT studies suggested that a proton transfer shuttle plays a key role in both the cleavage of the H–H bond across the Ru center and nitrogen atom in the ligand side arm and the addition of the proton and hydride to the ester C=O bond.
Scheme 7.
Ru-pincer complex 20-catalyzed hydrogenation of esters.
The catalytic activity of an Fe-pincer complex was also demonstrated by Milstein’s group, who achieved hydrogenation of trifluoroacetic esters under mild reaction conditions [63]. 2,2,2,-Trifluoroethyl trifluoroacetate was quantitatively converted to 2,2,2-trifluoroethanol by hydrogenolysis under 10 bar H2 at 40 °C in the presence of catalyst 21 and KOt-Bu in 1,4-dioxane (Scheme 8). n-Butyl trifluoroacetate also underwent hydrogenation to afford a mixture of trifluoroethanol and n-butyl alcohol, although the reaction efficiency was significantly decreased. For esters other than 2,2,2-trifluoroethyl trifluoroacetate, NaOMe was a more suitable base for accelerating the hydrogenation reaction. The reactivity of other trifluoroacetate esters toward hydrogenation catalyzed by Fe catalyst 21 was investigated under increased H2 pressure (25 bar), resulting in good-to-high yields of trifluoroethanol.
Scheme 8.
Fe-pincer complex 21-catalyzed hydrogenation of trifluoroacetate esters.
2.1.3. Amide Hydrogenation
The hydrogenation of amides under mild reaction conditions is typically more difficult than that of esters due to their less polarized and less reactive C=O bonds. Two types of reaction modes are possible (Scheme 9): C–O bond cleavage by hydrogenolysis or C–N bond cleavage. The former reaction proceeds via an initial H–H addition to the C=O bond, giving a hemiaminal intermediate which undergoes dehydration with the liberation of imine, followed by a second H–H addition to the imine giving the secondary amine product. The second C–N bond cleavage mode produces amine and alcohol products. Compared to the former reaction mode [64,65,66,67], the latter has been rarely reported until recently, probably because of the inherent instability of the free hemiaminal intermediate which undergoes spontaneous dehydrative decomposition [68,69,70,71,72,73,74,75,76,77].
Scheme 9.
Reaction modes in the hydrogenation of amides leading to C–O or C–N bond cleavage products.
Milstein et al. first reported the Ru-PNN pincer complex-catalyzed hydrogenations of amides affording amine and alcohol products under mild conditions [78]. In the presence of Ru-bipyridine-based PNN pincer complex 15 (1 mol%), the hydrogenation of amides in THF solvent at 110 °C under 10 atm H2 successfully proceeded to give amines and alcohols in good-to-high yields (Scheme 10). It was proposed that the reaction would proceeds via H2 addition to complex 15, giving dihydride intermediate 22, which undergoes coordination of the substrate amide to the Ru center with concomitant dissociation of one pyridyl moiety (Scheme 11). Hydride transfer to the coordinated amide in 23 generates hemiaminoxy intermediate 24, which undergoes elimination of the amine accompanied by the formation of aldehyde-coordinated intermediate 25, promoted by simultaneous proton transfer from the side arm of the pincer ligand onto the liberated nitrogen atom. Aldehyde-coordinated intermediate 25 reacts with H2, giving dihydride intermediate 26; then, hydride transfer to the ligated aldehyde occurs to give alkoxide intermediate 27. Liberation of the alcohol product regenerates the catalytically active species 15. Similar Ru-PNN pincer complexes based on 2,2′-bipyridylmethane or 2,2′-oxobipyridine were reported by the same group; these also exhibited catalytic activity toward the hydrogenation of amides leading to amines and alcohols [79]. It is noteworthy that, recently, the reversible interconversion between amides (or the related imides) and amines with alcohols through hydrogenation/dehydrogenation catalyzed by Ru-PNN pincer complexes has been applied in a hydrogen storage system based on organic hydrides [80,81,82].
Scheme 10.
Ru-pincer complex 15-catalyzed hydrogenation of amides to alcohols and amines.
Scheme 11.
Proposed mechanism for Ru-pincer complex 15-catalyzed hydrogenation of amides to alcohols and amines.
In subsequent work, Milstein et al. reported a similar hydrogenation of amides leading to amines and alcohols catalyzed by Fe-PNP pincer complex 28 [83]. Although N-phenylbenzamide and N-phenylacetamide were not suitable substrates for C–N bond cleavage by hydrogenation, 2,2,2-trifluoro-N-phenylacetamide as an activated amide was successfully converted to aniline and 2,2,2-trifluoroethanol in the presence of 28 and potassium hexamethyldisilazide (KHMDS) under 60 bar H2 in dioxane at 140 °C (Scheme 12). The reaction mechanism is likely similar to that for the Fe-catalyzed hydrogenation of trifluoroacetate esters reported by the same group [63].
Scheme 12.
Fe-pincer complex-catalyzed hydrogenation of trifluoroacetamides to alcohols and amines.
Regarding the C–O bond cleavage hydrogenolysis of amides, reports of non-precious metal catalysis are still rare. Recently, the combination of a Mn-PNP pincer complex catalyst and B(C6F5)3 as a Lewis acidic additive was found to be effective for the deoxygenative hydrogenation of amides [84]. N-Phenylbenzamide successfully underwent hydrogenation to afford the amine in m-xylene at 150 °C under 50 bar H2 in the presence of Mn catalyst 29 (5 mol%), KOt-Bu (6 mol%), and B(C6F5)3 (1.5 equiv) (Scheme 13). In the absence of B(C6F5)3, no conversion was observed. The use of less Lewis-acidic BPh3 instead of B(C6F5)3 decreased the yield of amine, which means the addition of an appropriate Lewis acid is essential for high reaction efficiency. The proposed role of the Lewis acid is to activate the benzamide, enabling the facile addition of hydride to the Lewis acid–amide complex. The Lewis acid might also accelerate the hydrogenation step of the intermediate imine that leads to the amine product.
Scheme 13.
Mn-pincer complex-catalyzed hydrogenative deoxygenation of amides to amines.
2.1.4. Carbonate, Carbamate, Urea, and Formate Hydrogenation
Organic carbonates and carbamates are much more challenging classes of substrates toward hydrogenation compared to other carbonyl derivatives. Dimethyl carbonate and methyl carbamates can be readily synthesized from CO2 or CO and methanol and/or amines [85,86,87,88,89,90]; hence, their hydrogenation could offer indirect alternative routes for the reduction of CO2 or CO to methanol [91]. This renders such hydrogenation processes as highly attractive, not only from the viewpoint of synthetic chemistry but also from the concept of carbon-neutral energy carriers employing methanol/CO2 interconversions [92]. The difficulty in the hydrogenation of organic carbonates and carbamates derives from their low electrophilicities, which lead to low reactivities toward the metal hydride species in the catalytic cycle. This challenge can be overcome by using strongly electron-donating ligands in the catalyst, which would reinforce the nucleophilicity of the intermediate metal hydride toward the less reactive carbonyl carbon.
In 2011, Milstein et al. first reported the Ru-PNN pincer complex-catalyzed hydrogenation of organic carbonates and carbamates, leading to alcohol and amine products [93]. Dimethyl carbonate was quantitatively converted to 3 equiv methanol under 40–60 atm H2 at 145 °C in 1,4-dioxane solvent in the presence of Ru catalyst 14, reaching a TON of 2500 (Scheme 14). Under 50 atm H2 at 110 °C in THF solvent, catalyst 15 exhibited higher catalytic activity, with a TON of 4400. The hydrogenation reaction could be performed in solvent-free conditions under 10 atm H2 at 100 °C. Catalyst 15 also promoted the hydrogenation of methyl carbamates, affording the corresponding amines and methanol in high yield. Benzyl carbamates also underwent hydrogenation, giving benzyl alcohol, methanol, and the amines. Catalyst 15 also reduced methyl formate, generating methanol with a TON as high as 4700. The use of Ru-pincer complex 15 for the hydrogenation of methyl formate in the cascade catalysis of CO2 hydrogenation to methanol was also reported [94]. More recently, the hydrogenation of cyclic carbonates and carbamates was described using Ru-PNN or Ru-CNC pincer complex catalysts [95,96].
Scheme 14.
Ru-pincer complex-catalyzed hydrogenation of carbonates, carbamates, and formates leading to methanol.
Complex 15 was proven to be an effective catalyst in the hydrogenation of ureas, which are electronically much less reactive substrates toward nucleophilic reagents [97]. Both aliphatic and aromatic amine-derived ureas were subjected to the catalytic hydrogenation reaction conditions under 13.6 atm H2 at 110 °C in THF solvent, leading to the formation of methanol and the corresponding amines in good-to-high yields (Scheme 15). More recently, the reversible hydrogenation/dehydrogenation of ethylene urea/ethylenediamine and methanol was achieved in the presence of Ru-PNN pincer complex catalyst 9 [98]. This system is a promising candidate for reversible hydrogen storage based on organic hydrides.
Scheme 15.
Ru-pincer complex-catalyzed hydrogenation of ureas leading to methanol and amines.
2.1.5. CO2 Hydrogenation
Attention to the utilization of CO2 as a C1 source in synthetic chemistry has been growing in response to the progression of environmental problems such as global warming and fossil fuel depletion. The hydrogenation of CO2 to formic acid or its salts is a fundamental and important transformation because of their high synthetic utility and industrial demand. Hence, much effort has been devoted to the development of catalytic hydrogenation systems for CO2 based on heterogeneous and homogenous transition metal catalysts [99,100,101]. Since Nozaki et al. demonstrated the quite high catalytic performance of an Ir-PNP pincer complex in the hydrogenation of CO2, leading to the formate salt [102], several studies on the transformation employing pincer complex catalysts with the aromatization/dearomatization-based metal–ligand cooperation strategy have been reported.
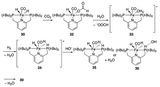
Milstein et al. reported the Fe-PNP pincer–dihydride complex-catalyzed hydrogenation of CO2 to produce a formate salt under basic conditions [103]. The strongly σ-donating CO and hydride ligands in complex 30 facilitate insertion of the Fe–H bond into CO2 (Scheme 16), while the t-butyl groups on the phosphorus atoms help stabilize the active dihydride species. The hydrogenation of CO2 was performed in H2O/THF (10:1) solvent in the presence of Fe catalyst 30 (0.1 mol%) and NaOH (2 M) under an atmosphere of H2:CO2 (2:1, 10 bar) at 80 °C, affording sodium formate with a TON of 788 after 5 h. The hydrogenation of sodium bicarbonate was also investigated under similar conditions, reaching a TON of up to 320. According to the proposed mechanism (Scheme 17), dihydride complex 30 reacts with CO2 to produce formate complex 32, followed by ligand exchange between formate and water to give cationic aquo intermediate 33. Ligand exchange between H2 and water generates dihydrogen-coordinated intermediate 34, which reacts with the hydroxide base to regenerate dihydride complex 30 via either deprotonation at the pincer side arm followed by consequent metal–ligand cooperative H–H bond cleavage in 35, or direct deprotonation of the ligated dihydrogen in 36. Milstein et al. later reported analogous Fe complex 31 with a pyrazine-centered PNP pincer ligand, which also exhibited catalytic activity toward the hydrogenation of CO2 with a TON of up to 388 (Scheme 16) [104]. The pyrazine moiety of the pincer ligand might coordinate via nitrogen at the 4-position to another Fe center, giving a polymeric or macrocyclic structure that may be involved during the catalytic cycle. Pidko et al. reported the hydrogenation of CO2 to formate catalyzed by Ru-PNP or Ru-CNC pincer complexes, in which a metal–ligand noncooperative mechanism was proposed to be dominant [105,106].
Scheme 16.
Fe-pincer complex 30- or 31-catalyzed hydrogenation of CO2 or NaHCO3 to sodium formate.
Scheme 17.
Plausible mechanism for Fe-pincer complex-catalyzed hydrogenation of CO2 to formate.
Kirchner and Gonsalvi et al. reported a Mn-PNP pincer complex for the catalytic hydrogenation of CO2 to formate [107]. Biscarbonyl monohydride complex 37 reacted immediately with 1 atm CO2 at 25 °C to form formate complex 38 (Scheme 18). Under 70 bar H2 in the presence of DBU (1,8-diazabicyclo [5.4.0]undec-7-ene) in THF at 25 °C, formate complex 38 was converted to the parent monohydride complex 37. The catalytic hydrogenation of CO2 was performed under 80 bar H2:CO2 (1:1) at 100 °C in THF/H2O (10:1) in the presence of 37, DBU, and LiOTf, reaching a TON of 31,600. Both a metal–ligand cooperative mechanism for the cleavage of the H–H bond and a noncooperative mechanism have been proposed. Other Mn complex-catalyzed hydrogenations of CO2 to formate were reported by Milstein et al. for Mn-PNN pincer complexes 39 and 40 (Scheme 19) [108]. Complex 40 should allow aromatization/dearomatization-based metal–ligand cooperation for the activation of H2, although its catalytic performance toward the hydrogenation of CO2 was significantly lower (6% yield) than that of complex 39 with the side-arm amido moiety (23% yield), which exhibits amine/amide interconversion-based metal–ligand cooperation.
Scheme 18.
Reactivity of Mn-hydride complex with CO2 and catalytic hydrogenation of CO2.
Scheme 19.
Comparison of catalytic activities of Mn complexes 39 and 40 in CO2 hydrogenation.
2.1.6. Other Hydrogenation Reactions
Other types of hydrogenative transformations catalyzed by pincer complexes with aromatization/dearomatization-based metal–ligand cooperation have been reported by Milstein’s group. The hydrogenation of nitriles was successfully catalyzed by Ru-PNP pincer complex 41 to afford primary amines (Scheme 20) [109]. Both aromatic and aliphatic nitriles were hydrogenated under 5–10 bar H2 in benzene solvent at 110 °C in the presence of 0.3–0.8 mol% Ru catalyst 41. Concerted proton and hydride transfers to the nitrile from the dihydride complex are proposed to generate an imine-coordinated intermediate accompanied by the dearomatization of the pyridine moiety in the pincer ligand. The second hydrogenation of the imine leading to a primary amine would also proceed via concerted proton and hydride transfers.
Scheme 20.
Ru-pincer complex 41-catalyzed hydrogenation of nitriles.
The hydrogenation of imines to amines catalyzed by a Ru-CNC pincer complex was reported by Suárez et al. [110]. N-Aryl or N-benzyl imines derived from benzaldehyde or acetophenone derivatives were successfully hydrogenated to the corresponding amines in the presence of Ru catalyst 42 (0.1 mol%) and KOt-Bu (1 mol%) in 2-methyl-THF solvent under 5 atm H2 at 70 °C (Scheme 21). Deprotonation of Ru complex 42 at the methylene side arm was confirmed in the stoichiometric reaction of 42 with KOt-Bu in THF-d8, implying potential metal–ligand cooperative reactivity in the catalytic hydrogenation reaction.
Scheme 21.
Ru complex 42-catalyzed hydrogenation of imines.
The hydrogenation of N2O (nitrous oxide) to N2 and water catalyzed by Ru-PNP pincer complex 43 was reported by Milstein et al. [111]. In the presence of 0.23 mol% 43, N2O was converted to N2 in 83% yield in THF solvent at 65 °C, achieving a TON of 360 after 48 h (Scheme 22). The reaction might proceed via the heterolytic cleavage of H2 by metal–ligand cooperation of the dearomatized complex, followed by oxidation by N2O to afford a hydroxide intermediate with the release of N2. The elimination of water regenerates the dearomatized complex or the dihydride complex by reaction with H2. The oxidation of hydrosilanes with N2O was also catalyzed by the same catalyst 43 giving silanol and disiloxane products.
Scheme 22.
Ru-pincer complex 43-catalyzed hydrogenation of nitrous oxide.
2.2. Dehydrogenation
Acceptorless dehydrogenation with the liberation of molecular H2 is an environmentally benign oxidative transformation because of its high atom efficiency emits no waste other than H2, and it avoids the use of stoichiometric amounts of toxic or harmful oxidants [112,113]. Moreover, the co-produced H2 can be utilized as a clean energy carrier which generates only harmless water in addition to thermal energy via combustion or electricity from a fuel cell. Hence, the dehydrogenative process in synthetic chemistry should be considered as a very promising, environmentally compatible transformation [114,115,116]. Due to their thermodynamic properties, the dehydrogenation of alkanes to alkenes generally requires high temperature and has been relatively unexplored [117]. By comparison, the dehydrogenation of alcohols is much easier, especially from the standpoint of reaction enthalpy; hence, this type of oxidation reaction with the release of H2 has attracted significant attention in synthetic chemistry since the pioneering studies reported in the 1970s and 1980s [118,119,120]. In the mid-2000s, an efficient catalytic system for the acceptorless dehydrogenation of alcohols leading to the corresponding carbonyl compounds under mild reaction conditions based on the metal–ligand cooperative strategy emerged [121,122]. Pincer complex-based catalysts are one of the most intensively investigated groups of catalysts. In this section, recent developments (post-2010) in dehydrogenative transformations catalyzed by pincer complexes with metal–ligand cooperative functions are briefly featured.
2.2.1. Ester Formation
Compared to conventional esterification via the dehydrative condensation of an alcohol with a carboxylic acid, in which the ratio between product and starting materials is controlled by an equilibrium derived from the natural reversibility of the reaction, the dehydrogenative coupling of alcohols leading to esters does not suffer an equilibrium problem because the spontaneous release of the co-produced H2 gas from the reaction system drives ester formation to completion. This significant advantage renders dehydrogenative ester formation from alcohols as an attractive transformation. Milstein et al. demonstrated the capability of Ru-PNP pincer complex 14 to catalyze this transformation with high ester selectivity in 2005 [123]. After this report, several pincer complexes and related tetradentate complexes have been developed for catalytic application in dehydrogenative ester formation (Figure 3) [55,56,124,125,126,127,128].
Figure 3.
Ru-pincer complexes for catalytic dehydrogenative coupling of alcohols to esters.
Milstein et al. compared the catalytic activities of a series of Ru-PNP and Ru-PNN pincer complexes in the dehydrogenative coupling of alcohols and dehydrogenative lactonization of diols, proving the higher catalytic activity of PNN pincer complex 12 over that of PNP pincer complex 13 [56]. Ru-PNN pincer complex 10, bearing an NH moiety and metal–ligand cooperative functionality via interconversion of the amine/amide forms, in addition to aromatization/dearomatization-based cooperative activity, exhibited efficient catalytic activity in the dehydrogenative alcohol coupling under mild reaction conditions, affording esters in refluxing Et2O (bp 35 °C) [55]. Huang et al. achieved the quantitative dehydrogenative coupling of ethanol leading to ethyl acetate; catalyzed by Ru-PNN pincer complex 44, the process employed a Pd-Ag membrane reactor to liberate the in situ generated H2 and perform the reaction at a temperature as high as 160 °C [125]. Ru-PNN pincer complex 45, with an iminophosphorane moiety, also catalyzed the dehydrogenative coupling of alcohols to esters, although the performance was not particularly high [126]. Tetradentate Ru-PNP complex 46 was also reported to exhibit catalytic activity in the alcohol-to-ester dehydrogenative coupling, operating through aromatization/dearomatization-based metal–ligand cooperation [127]. Robertson et al. employed Ru catalyst 14 in dehydrogenative polyester formation from a diol under vacuum conditions [128].
The above-mentioned ester formation reactions were oriented toward homocoupling reactions. From the standpoint of organic synthesis, the cross-coupling of different alcohols would be a much more versatile method to access various kinds of esters. Milstein et al. reported the cross-esterification reaction of primary alcohols with secondary alcohols, catalyzed by bipyridine-based Ru-PNN pincer complex 15 (Scheme 23) [129]. Various primary alcohols with different chain lengths (C4 to C6), 2-methoxyethanol, and benzyl alcohol were applicable in the coupling reaction with both cyclic and acyclic secondary alcohols. The key to the success of this cross-coupling reaction is likely the difference in dehydrogenation rates between primary and secondary alcohols. The dehydrogenation of primary alcohols proceeds faster than that of secondary alcohols to give the aldehyde intermediates, leading to selective hemiacetal formation with the secondary alcohols, which undergo a second dehydrogenation to furnish the product esters (Scheme 24).
Scheme 23.
Dehydrogenative cross-coupling of primary alcohols with secondary alcohols catalyzed by Ru-pincer complex 15.
Scheme 24.
Reaction pathway for dehydrogenative cross-coupling of primary alcohols with secondary alcohol.
Milstein et al. also reported dehydrogenative ester formation from secondary alcohols, using symmetrical esters as acylating agents in the presence of Ru-hydride PNN pincer complex catalyst 14 (Scheme 25) [130]. The reaction is proposed to proceed first via the insertion of Ru-H 14 into the symmetrical ester, followed by coordination of the secondary alcohol to the Ru center of 47 with concomitant deprotonation by the dearomatized pincer skeleton, giving alkoxide-ligated intermediate 48. Subsequent intramolecular nucleophilic substitution proceeds to accomplish alkoxide exchange. Deprotonation on the pincer side arm in 49 by the liberated alkoxide forms 50, which undergoes β-H elimination to afford the product ester and regenerated Ru complex 14, together with the release of the primary alcohol which undergoes a dehydrogenative homocoupling reaction to give the parent symmetrical ester. The difference in the rates of dehydrogenation of the primary and secondary alcohols is also a key feature in this reaction, similar to the aforementioned cross-coupling reaction. Reactions with asymmetrical esters such as ethyl butyrate and methyl hexanoate were also capable of producing butyrate and hexanoate esters.
Scheme 25.
Ru-pincer complex 14-catalyzed dehydrogenative ester formation from secondary alcohols using symmetrical esters as acylating reagents.
2.2.2. Amide Formation
By employing amines along with alcohols in the dehydrogenative coupling reaction, the efficient synthesis of amides can be achieved in the presence of an appropriate catalyst under modified reaction conditions, with the release of H2. The high catalytic performance of Ru-pincer complex 14 in the dehydrogenative amide synthesis from alcohols and amines was first discovered by Milstein’s group in 2007 [131]. As in the ester formation reaction, the aldehyde formed via the dehydrogenation of a primary alcohol undergoes condensation with the amine to give a hemiaminal intermediate, from which a second dehydrogenation proceeds to present the amide product.
Later, as an application of the dehydrogenative amide formation reaction, the use of β-amino alcohols in the transformation was reported by Milstein et al. [132]. In refluxing toluene with Ru-PNN pincer catalyst 14, chiral amino alcohols underwent dehydrogenative condensation reactions with benzylamine to afford amide products without loss of enantiomeric purity (Scheme 26). Reaction of an amino alcohol as the sole substrate in 1,4-dioxane at 135 °C (oil bath temperature) proceeded to give polypeptide or dimerized cyclic dipeptide products. In the case of sterically unhindered 2-amino-1-propanol, the polypeptide was obtained, whereas β-amino alcohols with bulkier substituents at the 2-position were converted to cyclized dimeric dipeptides.
Scheme 26.
Ru-pincer complex 14-catalyzed dehydrogenative condensation of β-amino alcohols.
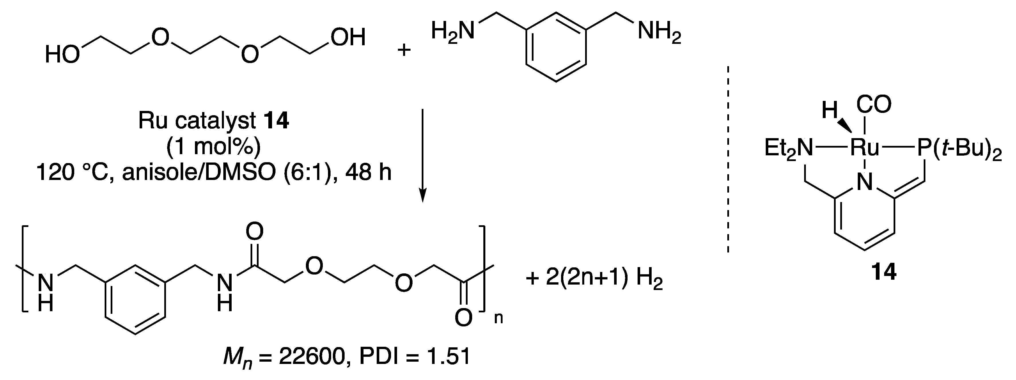
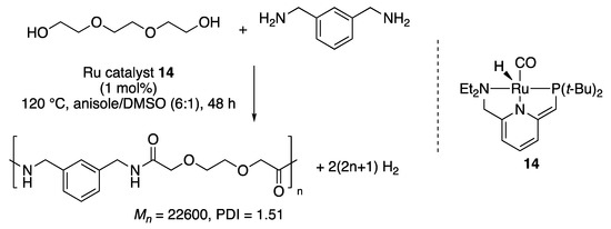
The dehydrogenative synthesis of polyamides from diols and diamines was reported by Guan et al. [133]. Ru-PNN pincer complex 14 catalyzed the polyamidation reaction with the liberation of H2 (Scheme 27). In anisole/DMSO (6:1) solvent at 120 °C, a polyamide with an Mn (number-averaged molecular weight) of 22,600 and PDI (polydispersity index) of 1.51 was achieved in the reaction of triglyme with m-xylylenediamine, according to Guan’s work. Milstein et al. also reported a similar polyamidation reaction utilizing 1,4-dioxane solvent under reflux conditions (135 °C oil bath temperature) [134].
Scheme 27.
Ru-pincer complex 14-catalyzed dehydrogenative polyamidation of a diol and diamine.
Dehydrogenative amide formation from esters and amines in the presence of Ru-PNN pincer complex catalyst 14 was reported by Milstein et al. (Scheme 28) [135]. Symmetrical esters were used as the acylating reagents for two equivalents of the amine to give two equivalents of the amide products. The dehydrogenative reactions of symmetrical aliphatic esters having various chain lengths (ethyl acetate to hexyl hexanoate) with cyclic or primary amines were smoothly catalyzed by Ru complex 14. The proposed mechanism is similar to that for the esterification reaction. A PNN pincer ligand with a hemilabile amino moiety is crucial for efficient catalytic reaction.
Scheme 28.
Ru-pincer complex 14-catalyzed dehydrogenative amide formation from amines and esters.
2.2.3. Imine Formation
Unsaturated nitrogen compounds other than amides can also be accessed through the dehydrogenative coupling reaction of alcohols with amines. The first step in amide formation is the dehydrogenation of the alcohol leading to an aldehyde intermediate, followed by hemiaminal formation with the amine; a selective subsequent dehydration from the hemiaminal provides an efficient route to imines. The tuning of the pincer ligand together with the reaction conditions enables selective dehydrogenative imine formation.
Milstein et al. reported sterically hindered rigid Ru-PNP pincer complex 41 as a suitable catalyst for dehydrogenative imine formation from alcohols and amines (Scheme 29) [136]. Benzylic alcohols were applicable for the dehydrogenative coupling with both benzylic and aliphatic amines in refluxing toluene, leading to imines in high yields. The reaction of aliphatic alcohols with primary alkyl amines also proceeded to afford the imines as major products accompanied by amide (<20%) and ester (<7%) byproducts, whereas the reaction with secondary alkyl amines exclusively gave the corresponding imine products in high yields. The Ru-PNP pincer complex may facilitate dissociation of the coordinated aldehyde generated after dehydrogenation of the alcohol, which would lead to the spontaneous dehydrative condensation of the free aldehyde and amine, giving the imine product. Other complexes exhibiting catalytic activity in the dehydrogenative coupling of amines with alcohols leading to imines are shown in Figure 4. Milstein et al. developed similar imine formation routes from alcohols and amines, employing an analogous catalyst, Mn-PNP complex 51 [137]. Kirchner et al. reported the Mn-PNP pincer complex 52-catalyzed dehydrogenative coupling of alcohols and amines leading to imine products [138]. Finally, Ozawa et al. reported that Ir-PNP pincer complex 53 bearing a phosphaalkene moiety in the ligand scaffold also exhibited catalytic activity in this transformation [139].
Scheme 29.
Ru-pincer complex-catalyzed dehydrogenative formation of imines from alcohols and amines.
Figure 4.
Mn- and Ir-pincer complexes that exhibit catalytic activity in dehydrogenative imine formation from alcohols and amines.
Dehydrogenative imine formation starting from two primary amine molecules can be achieved, via dehydrogenation of a primary amine leading to an NH imine, followed by ammonia-releasing condensation with a second amine molecule. Huang et al. reported Ru-PNP pincer complex 54-catalyzed dehydrogenative imine formation from two amines (Scheme 30) [124]. Homocoupling reactions of benzylic amines were performed in toluene solvent at 115 °C or under neat conditions at 160 °C in the presence of catalyst 54 to give the corresponding imines in good-to-high yields. Reaction in aniline solvent with an increased amount of catalyst afforded the cross-coupled imine products in high yields.
Scheme 30.
Ru-pincer complex 54-catalyzed dehydrogenative formation of imines from amines.
The use of hydrazines instead of amines in the imine-forming dehydrogenation reactions can potentially afford azine products. Milstein et al. reported dehydrogenative azine formation from two alcohols and hydrazine catalyzed by Ru-PNP pincer complex 55 (Scheme 31) [140]. The reaction of an alcohol with hydrazine hydrate under refluxing toluene conditions in the presence of a catalytic amount of Ru complex 55 and KOt-Bu resulted in a 94% conversion of the alcohol giving a mixture of 32% azine, 34% aldehyde, and 25% ester. The addition of molecular sieves (3 Å) dramatically improved the reaction selectivity toward azine, reaching nearly quantitative formation. Hydrazine is proposed to form a strong interaction with the molecular sieves and simultaneously coordinate to the Ru center, which was confirmed by X-ray crystallographic analysis of the crystal obtained from the treatment of molecular sieves in a benzene solution of complex 55 with hydrazine hydrate. This reaction was applicable to benzylic alcohols with electron-donating substituents as well as 1-hexanol, efficiently giving the corresponding azines. Benzylic alcohols with electron-withdrawing groups afforded significantly diminished conversions and yields.
Scheme 31.
Ru-pincer complex 55-catalyzed dehydrogenative formation of azines from alcohols and hydrazine.
More recently, Milstein et al. reported the dehydrogenative synthesis of N-alkylhydrazones from two molecules of an alcohol and hydrazine in the presence of a bipyridine-based Mn-PNN pincer complex catalyst 56 (Scheme 32) [141]. The coupling reaction of benzyl alcohol with hydrazine in THF was catalyzed by 56 (3 mol%) with KOt-Bu (5 mol%) at 110 °C in a closed vessel, to afford the corresponding N-alkylhydrazone in 92% yield. Both electron-rich and electron-poor benzylic alcohols and aliphatic primary alcohols were suitable for the N-alkylhydrazone-forming reaction. The reaction likely consists of two catalytic cycles. One is the acceptorless dehydrogenation of the alcohols leading to aldehydes with the release of H2. The other is a “borrowing hydrogen” (vide infra) process that converts an alcohol to an aldehyde, followed by dehydrative condensation with hydrazine to give the hydrazone, which undergoes hydrogenation leading to the N-alkylhydrazine. The obtained final product is generated via the dehydrative condensation of the aldehyde with the N-alkylhydrazine.
Scheme 32.
Mn-pincer complex 56-catalyzed dehydrogenative formation of N-alkylhydrazones from alcohols and hydrazine.
2.2.4. N-Heterocycle Formation
The dehydrogenative coupling of alcohols and amines leading to nitrogen-containing unsaturated compounds having C=N double bonds with the liberation of water can be applied to the synthesis of N-heterocyclic compounds, which are important structural motifs abundant in many versatile compounds used in medicinal, agrochemical, and functional materials [142]. Hence, the catalytic dehydrogenative synthetic access to these compounds from readily available alcohols and amines has recently attracted a great deal of attention.
Milstein et al. reported the dehydrogenative dimerization of 2-substituted β-amino alcohols leading to 2,5-disubstituted pyrazines [132]. In the presence of sterically bulky Ru-PNP pincer complex catalyst 41 in refluxing toluene solvent at 165 °C (oil bath temperature), β-amino alcohols were converted to their respective pyrazines, although the yields were moderate (Scheme 33). The reaction was postulated to proceed via dehydrogenation of an alcohol moiety followed by dehydrative condensation with the amine moiety of a second β-amino alcohol molecule. A consecutive double dehydrogenation/dehydration process affords a cyclic diimine, which undergoes further dehydrogenation to furnish the aromatized pyrazine product. The bulky PNP complex might facilitate dissociation of the aldehyde intermediate from the Ru center after the first dehydrogenation step, allowing dehydrative condensation with an amine to afford the imine intermediate without the formation of an amide product.
Scheme 33.
Ru-pincer complex 41-catalyzed dehydrogenative formation of pyrazine from β-amino alcohols.
For the synthesis of other dinitrogen-containing N-heterocycles, 1,2-diamines are valuable starting materials in combination with alcohols or diols. Kempe et al. reported the Ir-catalyzed dehydrogenative synthesis of benzimidazoles and quinoxalines from 1,2-benzenediamine and alcohols or 1,2-diols [143]. In the presence of Ir-PNP pincer complex catalyst 57 at 110 °C in THF solvent, benzenediamine underwent dehydrogenative and dehydrative condensation with benzylic or aliphatic alcohols to afford benzimidazole under basic (KOt-Bu) conditions (Scheme 34). Both NH and N-substituted benzimidazoles were obtained by this catalytic dehydrogenative reaction. The reaction of benzenediamine with 1,2-diols afforded quinoxaline products under similar reaction conditions at 90 °C. Kempe et al. also reported the dehydrogenative synthesis of pyrimidines via a consecutive four-component coupling reaction of amidines with secondary alcohols and two equivalents of primary alcohols catalyzed by Mn-PNP pincer complex 58 [144]. Although a detailed exploration of the mechanism was not undertaken, a triple dehydrogenation process is likely involved during the condensation and cyclization steps.
Scheme 34.
Ir- and Mn-pincer complex-catalyzed dehydrogenative formation of N-heterocycles.
The application of the dehydrogenative catalytic system for the synthesis of pyrroles from alcohols and amines has been intensively studied, probably because the dehydrogenative conditions to form carbonyl intermediates have good affinity with those of the traditional Paal–Knorr pyrrole synthesis, in which 1,4-diones undergo dehydrative condensation with amines [145]. Recent developments on dehydrogenative pyrrole formation catalyzed by pincer metal complexes with aromatization/dearomatization-based metal–ligand cooperative activity are summarized in Scheme 35. Kempe et al. reported the Ir-catalyzed dehydrogenative condensation of β-amino alcohols with various alcohols leading to pyrrole products [146]. In the presence of a stoichiometric amount of KOt-Bu, Ir-PNP pincer catalyst 59 promoted the dehydrative condensation of secondary alcohols with β-amino alcohols, leading to 2,5-disubstituted or 2,3,5-trisubstituted pyrroles. Dipyrroles could also be synthesized from 2,5-hexanediol via successive condensations with different β-amino alcohols. Milstein et al. also reported a similar dehydrogenative condensation reaction catalyzed by Ru-PNN pincer complex 60 in the presence of a half-molar amount of KOt-Bu relative to the β-amino alcohol and secondary alcohol [147]. Later, Kempe et al. developed the same pyrrole formation reaction catalyzed by Mn-PNP pincer catalyst 58 [148]. Dehydrogenative pyrrole synthesis from other starting materials such as 1,4-diols and amines was also performed in the presence of Co-PNN pincer catalyst 61 [149]. A three component coupling reaction leading to pyrroles from ketones, amines, and 1,2-diols with the liberation of H2 was achieved under Mn-PNP pincer complex 62 catalysis, enabling facile access to multi-substituted pyrroles [150]. DFT calculations suggested that the reaction would proceed via the condensation of 1,2-dione, generated by the dehydrogenation of the diol, with the imine formed from dehydrative condensation of the amine with the ketone.
Scheme 35.
Pincer complex-catalyzed dehydrogenative formation of pyrroles.
2.2.5. C–C Bond Formation Involving Alcohol Dehydrogenation
The dehydrogenation of alcohols affords the corresponding carbonyl compounds, one of the most fundamental and important classes of electrophiles in organic synthesis for the construction of carbon–carbon bonds, via well-known processes such as aldol condensation, Claisen condensation, and many other reactions [151]. Thus, alcohols can be considered as the equivalent of an electrophile for carbon–carbon bond-forming reactions in the context of dehydrogenative catalysis. This type of transformation, which does not involve the liberation of H2, has been well-studied as the “borrowing hydrogen methodology”, in which the initially extracted dihydrogen from the alcohol substrate is re-introduced to the final product after the bond-forming transformation of the intermediate carbonyl compound (Scheme 36) [152,153,154,155]. Instead of the re-introduction of H2, its liberation leads to a novel dehydrogenative transformation. Recently, such dehydrogenative transformations utilizing alcohols as nucleophiles in carbon–carbon bond-forming reactions have been accomplished by using pincer complex catalysts with metal–ligand cooperative activity.
Scheme 36.
Representative examples of “borrowing hydrogen” methodology.
Kempe et al. reported the Mn-PNP pincer complex-catalyzed dehydrogenative alkylation of alkyl-substituted N-heteroarenes employing primary alcohols as the alkylating reagents [156]. The reaction of 2-methylquinoline with both benzylic and aliphatic alcohols in the presence of Mn complex 63 and KOH in t-amyl alcohol/toluene solvent at 135 °C proceeded to give 2-alkenylquinolines with the release of H2 and water (Scheme 37). The reaction was also applicable to other methyl-substituted N-heterocycles such as 2-methylisoquinoline, 2-methylbenzoxazole, 4-methylpyridine, 3-methylpyridazine, and 2-methylpyrazine. 2-Ethylpyrazine and 4-benzylpyridine were converted to the corresponding alkenyl products in moderate yields. The reaction likely proceeds via an initial dehydrogenation of the alcohol to an aldehyde catalyzed by the Mn complex with the liberation of H2 through metal–ligand cooperation, followed by nucleophilic attack by the enamine-form of the N-heterocycle to the aldehyde and subsequent dehydration to give the alkenylated product.
Scheme 37.
Mn-pincer complex 63-catalyzed alkenylations of N-heteroarenes involving dehydrogenation of alcohols.
Gunanathan et al. reported the dehydrogenative coupling reactions of ketones with alcohols leading to α,β-unsaturated ketones in the presence of Mn-PNP pincer complex catalyst 63 [157]. The α-alkenylated product was obtained from the reaction of a ketone with a primary alcohol in the presence of catalytic amounts of 63 and Cs2CO3 (Scheme 38). Tetralone-based substrates were mainly investigated to explore the reaction scope with various benzylic and aliphatic alcohols, affording the corresponding alkenyl ketones in good-to-high yields. A seven-membered cyclic ketone and phenyl ethyl ketone were also applicable as starting materials. Regarding the reaction mechanism, the Mn catalyst effects dehydrogenation of the alcohol to an aldehyde, which undergoes the aldol condensation with the ketone to afford the alkenyl ketone product.
Scheme 38.
Mn-pincer complex-catalyzed alkenylation of ketones involving dehydrogenation of alcohols.
Gunanathan et al. also reported the Mn-catalyzed dehydrogenative β-alkylation of secondary alcohols with primary alcohols giving ketone products [158]. 1-Arylethanol, 1-indanol, and 1,2,3,4-tetrahydronaphthalen-1-ol were alkylated with various benzylic and aliphatic primary alcohols under catalytic dehydrogenative coupling conditions in the presence of Mn-PNP pincer complex 58 and Cs2CO3 in t-amyl alcohol at 135 °C (Scheme 39). The reaction is thought to proceed via the dehydrogenation of both the secondary and primary alcohols followed by base-catalyzed aldol condensation leading to the α,β-unsaturated ketone, which undergoes hydrogenation to afford the alkylated ketone product; hence, 1 equiv H2 is released through this coupling reaction.
Scheme 39.
Mn-pincer complex-catalyzed dehydrogenative coupling of secondary alcohols with primary alcohols.
2.2.6. Other Dehydrogenative Transformations
As described in the preceding sections, the oxidation of alcohols to ketones or aldehydes is the most fundamental reaction among the dehydrogenative transformations catalyzed by metal pincer complexes with metal–ligand cooperative activity. Performing this reaction with primary alcohols in the presence of water enables further dehydrogenation, leading to carboxylic acid derivatives via the dehydrogenation of hemiacetal intermediates. Milstein et al. developed the dehydrogenation of primary alcohols in water under basic conditions catalyzed by Ru-PNN pincer complex 60, achieving the preparation of carboxylate salts (Scheme 40) [159]. Both aliphatic and benzylic alcohols were successfully transformed into the corresponding carboxylate salts in refluxing water with 1.1 equiv NaOH. The carboxylic acids were obtained after acid treatment of the reaction mixtures. This reaction could be applied to the dehydrogenation of aqueous methanol with 2 equiv NaOH, affording 3 equiv H2 relative to methanol by using the same catalyst 60 [160]. The development of such a dehydrogenation system based on methanol has recently attracted much attention from the viewpoint of hydrogen storage, due to its high gravimetric hydrogen capacity and ease of handling.
Scheme 40.
Ru-pincer complex 60-catalyzed dehydrogenative oxidation of primary alcohols and methanol to carboxylate or carbonate products in water with the evolution of H2 gas.
In an application directed toward hydrogen storage, the dehydrogenative coupling of methanol with ethylenediamine leading to ethylene urea was achieved in the presence of Ru-PNN pincer complex catalyst 9 [98]. Milstein et al. also investigated the catalytic activity of metal pincer complexes other than Ru, including Re, for the development of CO2-involved hydrogenation/dehydrogenation reactions [161]. In another dehydrogenation reaction oriented to hydrogen storage, the use of a Ru-PNN pincer catalyst for ammonia borane dehydrogenation was recently reported [162].
A novel type of dehydrogenative coupling reaction of formamides with amines or alcohols was recently described by Milstein et al., in which formamides acted as isocyanate surrogates [163]. The reaction of formamides with primary amines proceeded at 100 °C to give urea products in the presence of Ru catalyst 41 (Scheme 41). Secondary amines were also applicable, affording the corresponding ureas after elevating the reaction temperature to 135 °C. The reaction with primary and secondary alcohols gave the corresponding carbamates at 125 or 145 °C, respectively. The coupling reaction of formamides with amino alcohols enabled access to five- or six-membered heterocyclic compounds such as hydantoin and dihydrouracil derivatives. Regarding the reaction mechanism, after activation by Ru-PNP pincer complex 41, the formamide is dehydrogenatively converted to an isocyanate, which reacts with nucleophiles to afford urea, carbamate, and heterocyclic products. During the catalytic cycle, the in situ-generated isocyanate is proposed to remain coordinated with the Ru center and undergoes metal–ligand cooperative nucleophilic coupling with the amine or alcohol.
Scheme 41.
Ru-pincer complex 41-catalyzed dehydrogenative coupling of formamides with amines and alcohols.
2.3. Transfer Hydrogenation and Borrowing Hydrogen Reactions
2.3.1. Transfer Hydrogenation of Ketones
The transfer hydrogenation reaction between alcohols and carbonyl compounds is a well-documented process catalyzed by various transition metal complexes [31,164,165,166,167]. Since the seminal works on metal–ligand cooperative catalysis, pioneered by Shvo [9,10,11,12,168] and later by Noyori [6,7,169], this type of transformation has been intensively investigated. Several recent examples of transfer hydrogenation catalysis and related transformations involving the “borrowing hydrogen” concept utilizing pincer complexes with aromatization/dearomatization-based metal–ligand cooperation will be featured in this section.
Huang et al. reported the synthesis of Ru-PNP or Ru-PNN pincer Ru complexes 44 and 54 for application in the transfer hydrogenation of ketones [170,171]. Aliphatic or aromatic ketones were reduced to the corresponding alcohols in i-PrOH solvent as the hydrogen source at 40 °C (for the 44-catalyzed reaction) or 82 °C (for the 54-catalyzed reaction) (Scheme 42). The reaction likely proceeds in two stages: the initial dehydrogenation of i-PrOH to acetone leading to the formation of a Ru-dihydride intermediate, followed by hydrogen transfer to the substrate ketone to afford the product alcohol. The ligand backbone is interconverted between the dearomatized and aromatized forms during the catalytic cycle.
Scheme 42.
Ru-pincer complex-catalyzed transfer hydrogenation of ketones to alcohols.
2.3.2. N-Alkylation of Amines by the Borrowing Hydrogen Mechanism
The N-alkylation of amines with alcohols as the alkylating reagents with the liberation of water is a typical and well-known transformation involving the concept of “borrowing hydrogen” methodology [152,153,172,173,174]. In this reaction, alcohols are dehydrogenatively converted to carbonyl compounds, that undergo dehydrative condensation with amines to give imine intermediates. The in situ-formed imines are finally hydrogenated to amines to complete the alkylation reaction. Recently, several reports on this type of transformation utilizing metal pincer complex catalysts have been published.
Ozawa et al. reported that Ir complexes bearing a PNP pincer phosphaalkene ligand exhibited catalytic ability in the alkylation of amines with alcohols as alkylating reagents [139]. The reactions of alkyl or aryl amines with primary alcohols in the presence of Ir catalyst 64 proceeded to give alkylated secondary amines as the major products, together with imines as minor products (Scheme 43). The reactions of benzylamine with secondary alcohols led to low conversions of the primary amine affording only imine (alcohol = 1-phenylethanol) or a mixture of amine and imine (alcohol = cyclohexanol).
Scheme 43.
Ir-pincer complex 64-catalyzed N-alkylation of amines with alcohols.
Kirchner et al. reported the Fe-PNP pincer complex 65-catalyzed alkylation of primary amines with primary alcohols to give secondary amines (Scheme 44) [138]. Both aniline derivatives and aliphatic amines underwent alkylation with benzylic or aliphatic alcohols in toluene at 140 °C in the presence of 65 and 3 Å molecular sieves. As another example, the dehydrogenative coupling of alcohols with hydrazines to afford N-alkylated hydrazones, reported by Milstein et al., also involved the “borrowing hydrogen” mechanism (vide supra) [141].
Scheme 44.
Fe-pincer complex-catalyzed N-alkylation utilizing alcohols as alkylating reagents.
2.3.3. C–C Bond-forming Alkylation by the Borrowing Hydrogen Mechanism
Alkylation at the α-position of carbonyl compounds with alcohols as the alkylating reagents is also representative of the “borrowing hydrogen” reaction (Scheme 36) [152,153,154,155]. The aldehyde or ketone formed in situ from an alcohol undergoes the aldol condensation with the other carbonyl substrate to give an α,β-unsaturated carbonyl product, which is converted to the saturated carbonyl product. Huang et al. reported the Ir-PNP pincer complex 66-catalyzed alkylation of acetamides employing primary alcohols as the alkylating reagents (Scheme 45) [175]. The reaction was performed in toluene at 120 °C in the presence of 66 under basic conditions (KOt-Bu, 2 equiv). Both secondary and tertiary acetamide derivatives were applicable in the alkylation reaction, with benzylic or aliphatic primary alcohols as the alkylating reagents. Gunanathan et al. reported Mn-PNP pincer complex 58-catalyzed α-alkylations of acetophenone derivatives with various primary alcohols [158]. The reactions were carried out with catalytic amounts of Mn complex 58 and Cs2CO3 in t-amyl alcohol solvent at 140 °C.
Scheme 45.
Pincer complex-catalyzed α-alkylations of carbonyl compounds using alcohols as alkylating reagents.
2.4. Nitrile Activation on the Ligand Skeleton
During metal–ligand cooperative catalysis by the metal pincer complexes, the deprotonated ligand side arm can function as a nucleophile that can receive protons during hydrogenative or dehydrogenative transformations, as described in the former sections. The nucleophilic side arm in the dearomatized form of the pincer complex is also able to react with an electrophile other than proton, while the metal center can act as a Lewis acidic site to activate the electrophilic reagent. This type of metal–ligand cooperative activation of substrate molecules allows novel types of catalytic transformations beyond hydrogenation/dehydrogenation. Such activation modes for CO2 or aldehydes have been reported for several metal-PNP pincer complexes, although catalytic applications were not achieved [161,176,177,178]. Since nitriles have an electrophilic character at their carbon atoms together with Lewis basic nitrogen atoms, which can coordinate to transition metal centers, their specific activation via metal–ligand cooperative interactions might be possible by forming six-membered metallacyclic structures with the pincer complex.
2.4.1. Michael Additions of Aliphatic Nitriles
Milstein et al. reported the activation of nitriles with Re-PNP pincer complex 67 and a catalytic application for the Michael addition of benzyl nitriles to α,β-unsaturated esters and ketones [179]. The reaction of dearomatized complex 67 with benzonitrile or pivalonitrile gave the nitrile adducts as ketimido-metallacycle species (Scheme 46). On the other hand, the reaction of 67 with benzyl nitrile derivatives afforded enamido-metallacycle complexes, which are likely tautomers of the ketimido complexes. The enamido-Re complexes displayed nucleophilic reactivity toward α,β-unsaturated carbonyl compounds, affording the Michael adducts. This transformation could be performed in a catalytic manner, leading to Michael adducts of benzyl nitrile derivatives with α,β-unsaturated esters and ketones at 25–80 °C in good-to-high yields (Scheme 47). Later, the same group reported a similar Michael addition reaction catalyzed by Mn-PNP pincer complex 51 [180]. In the Mn-catalyzed system, the scope of the nitriles was expanded to both benzyl and aliphatic types, whereas the scope of the Michael acceptors remained limited to α,β-unsaturated esters and ketones. Similar reaction mechanisms were proposed for the Mn- and Re-catalyzed processes.
Scheme 46.
Reactions of dearomatized Re-PNP pincer complex 67 with nitriles.
Scheme 47.
Re- or Mn-PNP pincer complex-catalyzed Michael additions of nitriles to α,β-unsaturated esters and ketones.
2.4.2. Michael Addition to α,β-Unsaturated Nitriles
α,β-Unsaturated nitriles are well-known as Michael acceptors for carbon nucleophiles, although their reactions with heteroatom nucleophiles have been less explored, probably due to low nucleophilicity, especially for alcohols [181,182]. However, the activation of α,β-unsaturated nitriles by dearomatized metal pincer complexes through metal–ligand cooperation might help accelerate these transformations. The group of de Vries and Otten reported the catalytic oxa-Michael addition of alcohols to unsaturated nitriles mediated by Ru-PNN pincer complex 14 (Scheme 48) [183]. The reaction of α,β-unsaturated nitriles with primary and secondary alcohols was smoothly catalyzed by 14 at rt in THF. β,γ-Unsaturated nitriles afforded the same β-alkoxylated adducts, probably via the catalytic isomerization of the alkenyl moiety from the β,γ-position to the α,β-position followed by oxa-Michael addition. Thiol addition also proceeded quantitatively, whereas the reaction with amines required higher temperature and resulted in modest yields. According to the proposed reaction mechanism, the addition of alcohol to activated ketimido complex 68 might proceed via a six-membered transition state with concerted proton transfer from oxygen to nitrogen, leading to alcohol adduct complex 69. Isomerization of 69 to 70, followed by dissociation of the nitrile, completes the catalytic cycle. This reaction was applied to the synthesis of γ-amino alcohols via the oxa-Michael addition of benzyl alcohol to α,β-unsaturated nitriles followed by consecutive hydrogenative cleavage of the benzyl ether and hydrogenation of the cyano group [184].
Scheme 48.
Ru-PNN pincer complex 14-catalyzed Michael addition of heteroatom nucleophiles to α,β-unsaturated nitriles.
Recently, Milstein et al. developed Mn-PNN pincer complex 40-catalyzed oxa- and aza-Michael addition reactions to unsaturated nitriles (Scheme 49) [185]. The reactions of α,β-unsaturated nitriles with alcohols and amines (>5 equiv) were performed at rt under neat conditions. In sharp contrast to the Ru-catalyzed reactions, aza-Michael addition was favored over oxa-Michael addition. In this catalytic system, the higher nucleophilicity of the amine versus the alcohol may influence the reaction selectivity.
Scheme 49.
Mn-PNN pincer complex-catalyzed Michael additions of alcohols and amines to α,β-unsaturated nitriles.
2.4.3. Nitrile Hydration
The catalytic addition of water to an activated nitrile leads to its hydration affording an amide. In the case of nitrile hydration, over-hydrolysis leading to the carboxylic acid is often a competing reaction. Hence, the development of selective hydration catalysts for nitrile-to-amide conversions under mild conditions is of great interest. Otten et al. reported the Ru-PNN pincer complex 41-catalyzed hydration of nitriles to amides under mild conditions (Scheme 50) [186]. Various aromatic and aliphatic nitriles were quantitatively converted to the corresponding amides in t-BuOH solvent with 5 equiv water in the presence of 41 at rt. The reaction was suggested to proceed via metal–ligand cooperative activation of the nitrile to form a ketimido complex intermediate, which undergoes nucleophilic attack by water through a six-membered transition state involving two molecules of water for proton shuttling. Then, the amide product is liberated, restoring catalytically active dearomatized complex 41.
Scheme 50.
Ru-PNN pincer complex-catalyzed selective hydration of nitriles to amides.
2.5. Miscellaneous
The metal–ligand cooperative activation of other compounds in the catalytic transformations has also been reported.
Milstein et al. reported the activation of the B–H bond and B–B bonds of HBpin (pinacolatoborane) and B2pin2 (bispinacolatodiboron) [187]. The incorporation of a boryl group on the side arm of the pincer ligand in the dearomatized complexes 14 or 41 was observed by the stoichiometric reaction of 14 or 41 with HBpin. To explore possible catalytic applications, the reaction of benzene or toluene with B2pin2 in the presence of Ru complex 14 (1 mol%) was examined, resulting in the formation of borylated benzene or toluene in modest yield (Scheme 51).
Scheme 51.
Ru-PNN pincer complex-14 catalyzed C–H borylation of benzene or toluene.
Interestingly, the reactivity of Pd-PNF pincer complex 71 in the catalytic Sonogashira coupling reaction was reported by Vigalok et al. (Scheme 52) [188]. This complex catalyzed the Sonogashira reaction of aryl bromides or aryl iodides with phenylacetylene or (triisopropylsilyl)acetylene in the presence of NaOt-Bu in benzene solvent, but without the addition of a Cu salt typically required under the standard reaction conditions. According to the proposed mechanism, complex 71 undergoes deprotonation on the side arm of the pincer ligand by NaOt-Bu to afford dearomatized complex 72, from which direct carbon–carbon bond formation with the terminal alkyne occurs to give the coupling product concomitant with protonation of the ligand side arm to restore aromaticity, giving Pd(0) intermediate 73. Then, the catalytic cycle is finished by oxidative addition of the aryl halide with 73 to regenerate aryl Pd species 71.
Scheme 52.
Pd-PNF pincer complex-catalyzed Sonogashira coupling reaction.
3. Hydroxypyridine-Based Ligands
2-Hydroxypyridine is readily interconverted to 2-pyridone along with proton-transferring aromatization/dearomatization (Scheme 53) [189,190]. Transition-metal complexes of 2-hydroxypyridine also possess this character, which allows metal–ligand cooperative proton transfer to a substrate coordinated to the metal center. The reverse reaction of the metal pyridonate complex with a reactant is also possible, to promote metal–ligand cooperative bond cleavage. For example, Ir-pyridonate complexes can cleave the H–H bond in H2 to generate metal-hydride species having a proton on the oxygen atom of the ligand as a form of hydroxypyridine [191]. The activated H2 in the form of a proton and a hydride can be transferred to various unsaturated organic compounds in a concerted manner or by stepwise proton/hydride addition, resulting in a catalytic hydrogenation reaction. The reverse dehydrogenation can also be achieved with the assistance of the metal–ligand cooperative effect. It is noteworthy that this structural motif of metal-hydroxypyridine and related complexes is found in the active sites of enzymes, such as hydrogenases [192,193,194].
Scheme 53.
Hydroxypyridine-based metal–ligand cooperation.
In this section, recent applications (post-2010) of transition metal complexes bearing hydroxypyridine-based ligands in catalytic transformations including hydrogenation, dehydrogenation, and hydrogen-transfer reactions will be featured.
3.1. Hydrogenation
3.1.1. Ketone and Ester Hydrogenation
The catalytic activity of Cp*Ir bipyridonate complex 74 (Cp* = 1,2,3,4,5-pentamethylcyclopentadienyl) in the hydrogenation of ketones was demonstrated by our group in 2012 [195]. The hydrogenation of acetone proceeded in the presence of 74 under mild reaction conditions, affording isopropyl alcohol in nearly quantitative yield at 40 °C under 1 atm H2 (Scheme 54). The Ir complex could also promote the reverse dehydrogenation reaction, giving acetone from isopropyl alcohol under reflux conditions. The dehydrogenation/hydrogenation process could be repeated over eight cycles without loss of catalytic activity.
Scheme 54.
Ir-bipyridonate complex 74-catalyzed hydrogenation of acetone.
Recently, we reported the catalytic hydrogenation of a lactone to a diol, also mediated by Ir catalyst 74 [196]. γ-Butyrolactone was successfully converted to 1,4-butanediol in the presence of Ir catalyst 74 and additional free 6,6′-dihydroxy-2,2′-bipyridine ligand under 8 atm H2 in solvent-free conditions at 130 °C (Scheme 55). The reaction efficiency was improved by adding triethylamine affording the diol in 99% yield. The reverse dehydrogenation of the 1,4-diol to γ-butyrolactone was also quantitatively promoted in the presence of the same Ir catalyst. Consecutive hydrogenation/dehydrogenation was achieved with this catalytic system, which may enable future application for γ-butyrolactone-based reversible hydrogen storage.
Scheme 55.
Ir-bipyridonate complex 74-catalyzed hydrogenation of γ-butyrolactone and consecutive hydrogenation/dehydrogenation processes.
3.1.2. CO2 Hydrogenation
Highly active metal complex catalysts bearing hydroxypyridine or related ligands for the hydrogenation of CO2 to formate salts have been developed. Hull et al. reported 4,4′,6,6′-tetrahydroxy-2,2′-bipyrimidine-based Ir-dimer complex 75 for the catalytic hydrogenation of CO2 to formate under aqueous conditions [197]. A 1:1 mixture of H2:CO2 (4 MPa) was converted to the formate salt in 2 M KHCO3 aqueous solution at 50 °C in the presence of Ir catalyst 75, achieving a TON of 153,000 (Table 1, entries 1 and 2). This catalyst could also promote the reverse dehydrogenation of formic acid to CO2; hence, the storage of H2 by the interconversion between H2+CO2/formic acid was possible. The same group also reported the hydrogenation of CO2 in the presence of related Ir complexes 76 and 77, bearing dihydroxybipyridine or dihydroxybipyrimidine ligands, respectively, achieving a TON as high as 38,400 (Table 1, entries 3–5) [198]. More recently, 6-(2′-imidazolinyl)-2,4-dihydroxypyridine-ligated Ir complex 78 for the catalytic hydrogenation/dehydrogenation of CO2/formic acid under ambient conditions was also reported [199].
Table 1.
Hydrogenation of CO2 to formate salt under aqueous conditions catalyzed by Ir complexes 75–78 bearing hydroxypyridine- or hydroxypyrimidine-based ligands.
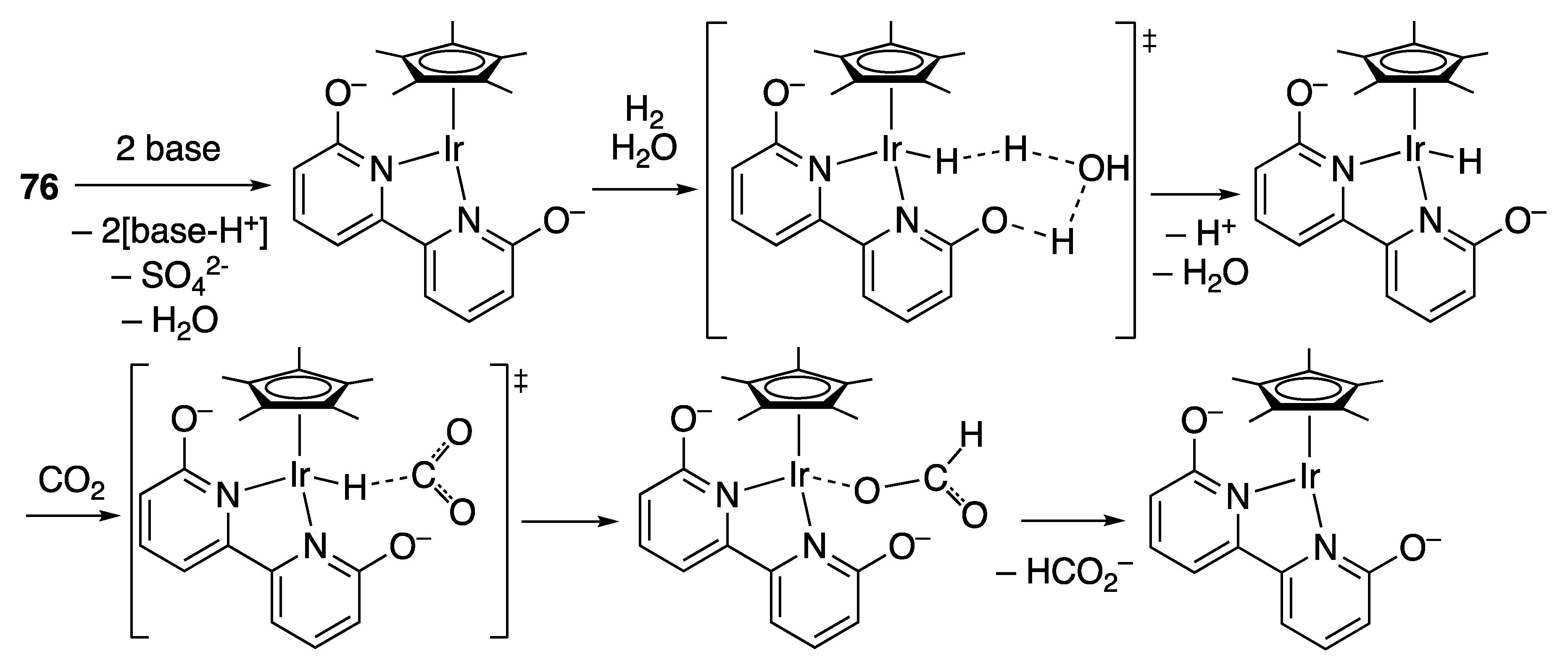
Positional effects of the hydroxyl groups of the bipyridine ligand on the catalytic hydrogenation of CO2 were investigated by Himeda et al. [200,201]. Among a series of Ir complexes 76 and 79–81 bearing dihydroxy-2,2′-bipyridine ligands with the hydroxyl groups at the 6,6′-, 5,5′-, 4,4′-, and 3,3′-positions, respectively, 6,6′-dihydroxy-2,2′-bipyridine-Ir complex 76 exhibited the highest catalytic activity in the hydrogenation of CO2, which implies that metal–ligand cooperation is important for high catalytic activity (Scheme 56). They also performed DFT calculations for the CO2 hydrogenation mechanism, demonstrating a significant decrease of activation energy in H2 activation leading to the Ir-hydride intermediate in the 76-catalyzed reaction. In this step, the participation of a water molecule as a proton shuttle was proposed to lower the activation energy (Scheme 57). Then, the attack of hydride on CO2 occurs to give formate and regenerate the active Ir species.
Scheme 56.
Comparison of catalytic activities of a series of Ir-dihydroxybipyridine complexes in the hydrogenation of CO2 to the formate salt.
Scheme 57.
Plausible mechanism for the hydrogenation of CO2 to formate catalyzed by 76.
Metal catalysts other than Ir that bear hydroxypyridine-derived ligands for CO2 hydrogenation are shown in Figure 5. The catalytic activity of Ru-6,6′-dihydroxy-2,2′-bipyridine complex 82 in CO2 hydrogenation was examined by Grotjahn, Webster, and Papish’s group, achieving a TON of 2270 [202]. A Ru-P,N-chelate complex 83 bearing hydroxypyridine moieties, synthesized by Achard et al., demonstrated catalytic activity in CO2 hydrogenation under base-free conditions, leading to formic acid with a TON as high as 370 [203].
Figure 5.
Ru and Mn complexes bearing hydroxypyridine-based ligands for the catalytic hydrogenation of CO2.
For the base-metal catalyst having a hydroxypyridine ligand, Dubey et al. reported the Mn-catalyzed hydrogenation of CO2 to formate with good catalytic performance [204]. The reaction of a 1:1 mixture of CO2:H2 (6 MPa) in acetonitrile solvent in the presence of DBU as base at 65 °C was catalyzed by Mn-6,6′-dihydroxy-2,2′-bipyridine complex 84, affording the formate salt in 98% yield with a TON of 6250. Analogous Mn complexes with 4,4′-dihydroxy-2,2-bipyridine or 6,6′-dimethoxy-2,2′-bipyridine ligands exhibited quite low catalytic activity, which implies that metal–ligand cooperation is essential for good catalytic performance in this hydrogenation reaction.
3.1.3. N-Heterocycle Hydrogenation
The hydrogenation of aromatic N-heterocyclic compounds is a synthetically important transformation which facilitates access to various nitrogen-containing cyclic compounds including alkaloids, pharmaceuticals, and agrochemicals, which exhibit significant biological activities [142]. Furthermore, this transformation has recently garnered significant attention from the standpoint of hydrogen storage based on organic hydrides [205,206]. Metal–ligand cooperative catalysis can provide an efficient reaction pathway with a lower activation energy for this type of reaction. In 2009, we demonstrated the good catalytic performance of a Cp*-Ir pyridonate complex in the hydrogenation of quinoline derivatives leading to 1,2,3,4-tetrahydroquinolines [207]. Subsequent to that report, we developed a bipyridonate-based Ir complex-catalyzed hydrogenation/dehydrogenation system for N-heterocyclic compounds.
In 2014, we reported the perhydrogenation of 2,6-dimethyl-1,5-naphthyridine, as a potential organic hydrogen carrier, catalyzed by Ir-bipyridonate complex 74 or Ir-1,10-phenanthroline-2,9-dionate complex 85 [208]. Complex 74 promoted the perhydrogenation of 2,6-dimethyl-1,5-naphthyridine under 70 atm H2 in p-xylene at 130 °C to afford 2,6-dimethyldecahydro-1,5-naphthyridine as a diastereomixture in 85% total yield (Scheme 58). The slight decomposition of complex 74 under the hydrogenation conditions might have inhibited the quantitative perhydrogenation of 2,6-dimethyl-1,5-naphthyridine. Modification of the ligand scaffold from bipyridine to phenanthroline, a more rigid structure effective for the formation of a more stable complex, resulted in an improvement in catalytic performance. Ir complex 85 allowed full conversion of 2,6-dimethyl-1,5-naphthyridine to 2,6-dimethyldecahydro-1,5-naphthyridine under the same catalytic hydrogenation conditions. Complex 85 also catalyzed the perdehydrogenation of 2,6-dimethyldecahydro-1,5-naphthyridine to 2,6-dimethyl-1,5-naphthyridine (see also Section 3.2.3). A successive hydrogenation/dehydrogenation sequence was also successfully achieved, leading to the possible future application of this naphthyridine-based reversible hydrogen storage process.
Scheme 58.
Ir-bipyridonate or phenanthroline-dionate complex for the catalytic hydrogenation and dehydrogenation of 2,6-dimethyl-1,5-naphthyridine.
More recently, we reported the interconversion of 2,5-dimethylpyrazine/2,5-dimethylpiperazine via a hydrogenation/dehydrogenation process catalyzed by Ir-bipyridonate complex 74 [209]. 2,5-Dimethylpyrazine underwent hydrogenation quantitatively under 15 atm H2 in p-xylene/H2O solvent at 110 °C in the presence of 74 and additional free bipyridine ligand, leading to 2,5-dimethylpiperazine (Scheme 59). The reverse dehydrogenation of 2,5-dimethylpiperazine was catalyzed by the same catalyst under refluxing conditions, achieving quantitative conversion to 2,5-dimethylpyrazine. Repetitive hydrogenation/dehydrogenation cycles could be performed over five iterations without loss of catalytic activity. The reversible hydrogenation/dehydrogenation cycle was also possible under solvent-free conditions, although the hydrogenation yield was slightly decreased.
Scheme 59.
Ir-bipyridonate-catalyzed hydrogenation of 2,5-dimethylpyrazine and dehydrogenation of 2,5-dimethylpiperazine.
The hydrogenation of quinoxalines to 1,2,3,4-tetrahydroquinoxalines catalyzed by Ir complexes 84 and 85 bearing uracil-based ligands was recently reported by Choudhury et al. (Scheme 60) [210]. Catalyst 86 or 87 promoted the hydrogenation of quinoxalines in trifluoroethanol/H2O solvent at 50 °C under H2 balloon conditions to afford tetrahydroquinoxalines in high yields. Interestingly, the catalytic activity was diminished by the addition of base (K2CO3); however, the consequent addition of acid (HCl) led to the restoration of catalytic activity. Hence, the catalytic activity was switchable by the addition of base or acid. Deprotonation at the hydroxyl group might cause deactivation of the catalyst.
Scheme 60.
Ir complexes with uracil-based ligands for catalytic hydrogenation of quinoxalines.
3.2. Dehydrogenation
3.2.1. Alcohol Dehydrogenative Oxidation
After the first report on the catalytic acceptorless dehydrogenative oxidation of alcohols promoted by an Ir-hydroxypyridine complex in 2007 [122], much effort has been devoted to the development of highly active catalysts bearing hydroxypyridine-based ligands for the alcohol dehydrogenation reaction. The incorporation of the hydroxypyridine moiety into various bidentate or tridentate ligand scaffolds has been intensively investigated and resulted in better catalytic performance and reaction selectivity.
Ketone and Aldehyde Formation
Our group developed an improved Ir catalyst for the dehydrogenation of alcohols to carbonyl compounds by employing a hydroxypyridine-based bidentate ligand which forms a stable chelate complex [195,211,212,213,214,215,216]. Use of the symmetrical 6,6′-dihydroxy-2,2′-bipyridine ligand greatly enhanced catalytic activity and synthetic utility, allowing the reaction in aqueous conditions and the reuse of the catalyst with simple operation [213]. Dicationic Ir complex 88 was sufficiently soluble in water to afford good catalytic activity in the dehydrogenation of benzyl alcohol to benzaldehyde at reflux with the evolution of H2 (Table 2, entries 1 and 2). Cationic Ir complexes 89 and 90 bearing 2,2′-bipyridine or 4,4′-dihydroxy-2,2′-bipyridine ligands exhibited inferior catalytic performance in this dehydrogenation reaction, indicating the importance of the hydroxyl groups at the 6,6′-positions for smooth catalysis (Table 2, entries 3 and 4). Benzylic alcohols with both electron-donating and electron-withdrawing substituents were successfully converted to the corresponding benzaldehydes in high yields (Scheme 61). This reaction system was also applied to the dehydrogenation of secondary alcohols with aromatic and alkyl substituents in refluxing water to afford the corresponding ketone products, although in the case of aliphatic alcohols, t-butyl alcohol was required as a co-solvent. It is noteworthy that water-soluble Ir catalyst 88 was readily separated from the products, the water-insoluble carbonyl compounds, by extracting the crude mixture with hexane. Catalyst 88 was retained in the aqueous phase and could be reused for alcohol dehydrogenation by simply adding the alcohol starting material into the solution followed by heating of the reaction mixture at reflux. Ten reuse cycles could be performed without significant loss of catalytic activity. The successive dehydrogenation of three different secondary and primary alcohols was also possible by reusing water-soluble Ir catalyst 88 in the aqueous phase.
Table 2.
Dehydrogenative oxidation of benzyl alcohol to benzaldehyde in water catalyzed by Ir complexes.
Scheme 61.
Ir complex 88-catalyzed dehydrogenative oxidation of alcohols to carbonyl compounds under aqueous conditions.
More recently, we developed dicationic Cp*Ir complex 91 bearing a linked N-heterocyclic carbene (NHC)–2-hydroxypyridine ligand, which exhibited higher catalytic ability for the catalytic dehydrogenative oxidation of secondary alcohols to ketones in aqueous media [215]. The comparison of catalytic activities in the dehydrogenation of 1-phenylethanol at a short reaction time (1 h) revealed the obvious superiority of NHC-containing complex 91 against dihydroxypyridine complex 88, which afforded acetophenone in 46% and 15% yields, respectively (Scheme 62). Ir complex 91 promoted the dehydrogenation of various secondary alcohols, including 1-arylethanols with both electron-donating and electron-withdrawing substituents, cyclic aliphatic alcohols, and acyclic aliphatic alcohols. The reuse of catalyst 91 over three cycles while maintaining high catalytic activity was also demonstrated.
Scheme 62.
Ir complex 91-catalyzed dehydrogenative oxidation of secondary alcohols to ketones under aqueous conditions.
We also disclosed the high catalytic performance of neutral Cp*Ir bipyridonate complex 74 in the dehydrogenative oxidation of alcohols under milder conditions [195]. Complex 74 promoted the dehydrogenation of 1-phenylethanol to acetophenone, even in refluxing pentane (bp 36 °C), reaching TONs up to 9500 after 48 h (Scheme 63). In refluxing p-xylene (bp 138 °C), the dehydrogenation proceeded efficiently in the presence of a quite low loading of the catalyst (0.0002 mol%) to afford the ketone product in 55% yield with a TON of 275,000 after 48 h. The dehydrogenative oxidation of primary alcohols catalyzed by Ir complex 74 could be carried out under modified reaction conditions. In refluxing t-BuOH (bp 82 °C), the dehydrogenation of benzyl alcohol was catalyzed by 74 (1.5 mol%) to afford benzaldehyde in 92% yield. With a lower catalyst loading (0.01 mol%), a TON of 3100 was achieved after 48 h. The reaction in refluxing toluene (bp 110 °C) with decreased catalyst loading (0.002 mol%) led to a TON of 47,500 giving benzaldehyde in 95% yield. As described in Section 3.1.1., Ir complex 74 also catalyzed the dehydrogenative oxidation of isopropyl alcohol (bp 82 °C) to acetone in solvent-free refluxing conditions. The mechanism of the dehydrogenative oxidation was theoretically investigated (Scheme 64) [217]. The dehydrogenation of benzyl alcohol proceeds in a concerted manner from coordinatively unsaturated Ir complex 92, leading to Ir-hydride intermediate 93. Alcohol-mediated proton-shuttling occurs to give dihydrogen complex 94. Finally, the liberation of H2 regenerates catalytically active Ir complex 92.
Scheme 63.
Ir complex 74 as a highly active catalyst in the dehydrogenative oxidation of alcohols to carbonyl compounds.
Scheme 64.
Plausible mechanism for the dehydrogenative oxidation of alcohols to carbonyl compounds.
Carboxylic Acid Formation
A few catalytic systems for the dehydrogenative oxidation of primary alcohols to carboxylic acid employing Ir or Ru complexes bearing hydroxypyridine-based ligands have been reported.
Our group reported the dehydrogenation of benzylic alcohols to benzoic acid under aqueous conditions in the presence of dicationic Cp*Ir complex 91 bearing a linked NHC–2-hydroxypyridine chelate ligand [215]. The dehydrogenative oxidation reaction of benzyl alcohol in refluxing water was smoothly catalyzed by complex 91 to afford benzoic acid in 80% yield (Scheme 65). This result is in stark contrast to the catalytic dehydrogenation of primary alcohols in the presence of Ir catalyst 88, in which aldehydes were obtained exclusively. It is worth noting that this dehydrogenative oxidation of benzyl alcohol directly afforded benzoic acid, rather than the benzoate salts that are usually obtained as the main products in other catalytic dehydrogenative oxidation reactions. In the case of other reported dehydrogenation reactions, the use of a stoichiometric amount of base is essential to complete the sequential double dehydrogenation of primary alcohols leading to the carboxylic acid, which results in the inevitable formation of the carboxylate salt; hence an acidic work up is required to isolate the carboxylic acid. In contrast, our catalytic system works well under base-free conditions, which allows direct formation of the carboxylic acid.
Scheme 65.
Ir-catalyzed dehydrogenative oxidations of aromatic primary alcohols leading to carboxylic acids.
We also reported the dehydrogenative oxidation of primary alcohols to carboxylic acids in the presence of a Cp*Ir catalyst bearing a functionalized bipyridonate ligand [218]. In addition to benzylic alcohols, aliphatic alcohols could be efficiently converted to the corresponding carboxylate salts in the presence of Ir catalyst 95 with a stoichiometric amount of NaOH under aqueous conditions (Scheme 66). Carboxylic acids were obtained after acidic work up. This catalytic system could also be applied to the dehydrogenative oxidation of aqueous ethanol to acetic acid, which is industrially one of the most fundamental and important carboxylic acids, produced and consumed on a very large scale. The present industrial production of acetic acid employs mainly the Monsanto or Cativa processes, utilizing methanol and carbon monoxide as starting materials, which are mostly derived from fossil fuels. Our catalytic ethanol dehydrogenation reaction provides a novel synthetic route to acetic acid from ethanol, which can be obtained from renewable plant resources. In the ethanol dehydrogenation reaction, the incorporation of dimethylamino groups in the bipyridonate ligand was crucial for achieving excellent catalytic activity. The reaction yields were greatly decreased when unsubstituted bipyridonate complex 74 or trifluoromethyl-substituted bipyridonate complex 96 was used as the catalyst.
Scheme 66.
Ir-catalyzed dehydrogenative oxidation of primary alcohols to carboxylic acids and synthesis of acetic acid from ethanol.
Among other metal complexes bearing ligands based on hydroxypyridine or related structural motifs, Szymczak et al. reported Ru-pincer complexes for the catalytic dehydrogenative oxidation of primary alcohols to carboxylic acids [219]. A 6,6″-di(mesitylamino)terpyridine ligand was newly designed and applied to the Ru complex 97-catalyzed dehydrogenation of primary alcohols in toluene solvent with KOH (3 equiv) at 120 °C (Scheme 67). After acidic work up, carboxylic acids were obtained in high yields for benzoic acid derivatives and in good yield for an aliphatic carboxylic acid. A comparison of the catalytic activities of terpyridine-based Ru complexes with NHMes (97), OH (98), or H (99) moieties at their 6,6″-positions demonstrated the superior catalytic activity of the NHMes and OH containing ligands and indicates a metal–ligand cooperative effect on catalytic performance. NHMes-substituted complex 97 also exhibited better reusability than the others for three cycles of catalytic dehydrogenative oxidation of primary alcohols.
Scheme 67.
Ru-catalyzed dehydrogenative oxidation of primary alcohols to carboxylic acids.
CO2 Formation from Aqueous Methanol
The dehydrogenation of simple primary alcohols under aqueous conditions evolves two molecules of H2 together with the carboxylic acid. In the case of methanol with water, up to three molecules of H2 can be generated concomitant with CO2 formation. Hence, aqueous methanol can be considered as a promising organic hydrogen carrier and has attracted much attention from the viewpoint of hydrogen storage [92,100].
We developed the dehydrogenation reaction of aqueous methanol to H2 and CO2 catalyzed by anionic Cp*Ir pyridonate complex 100 [220]. Complex 100 well promoted the dehydrogenation of methanol/water (20/80 mmol/mmol) mixtures under mildly basic conditions at reflux, producing an 84% yield of H2 (Scheme 68). The continuous addition of a mixed solution of methanol/water (1:1) containing NaOH via syringe pump during dehydrogenative catalysis led to the long-term evolution of H2, producing 4950 mL H2 (64% yield) with a TON of 10,510 after 150 h.
Scheme 68.
Ir-catalyzed dehydrogenation of methanol/water solution for efficient H2 generation.
Ester Formation
The catalytic activity of Ru-PNN pincer complex 101 containing a hydroxypyridyl moiety in the dehydrogenative coupling of benzyl alcohol was examined by Vlugt et al. [221]. Although 90% conversion to benzyl benzoate was achieved with 101 (1 mol%) and KOt-Bu (1 mol%) in toluene at 117 °C, the O-methylated analogue Ru complex 102 showed only 52% conversion (Scheme 69). Therefore, metal–ligand cooperative activity by the hydroxypyridine moiety was implied by these results.
Scheme 69.
Dehydrogenative coupling of benzyl alcohol to benzyl benzoate catalyzed by 96 and 97.
Achard et al. reported fac-tridentate NPN-Ru complex 103 having two hydroxypyridyl moieties for catalytic application to the dehydrogenative homocoupling of primary alcohols leading to esters [203]. The reaction of benzyl alcohol in the presence of 103 (1 mol%) and NaOH (10 mol%) in toluene at 150 °C afforded benzyl benzoate quantitatively (Scheme 70). Other benzylic alcohols were also successfully converted to the corresponding esters in high yields, and aliphatic alcohols were similarly tolerated giving aliphatic esters in high yields. 3-Methylpentane-1,5-diol underwent dehydrogenative lactonization in quantitative yield under the same catalytic conditions.
Scheme 70.
Dehydrogenative coupling of primary alcohols to esters or intramolecular dehydrogenative cyclization of a 1,5-diol to a lactone catalyzed by Ru complex 103.
We reported the dehydrogenative lactonization of diols under aqueous conditions catalyzed by cationic Cp*Ir dihydroxybipyridine complex 88 [222]. The reaction of 1,2-benzenedimethanol in refluxing water was smoothly catalyzed by Ir catalyst 88 (1.0 mol%), leading to the quantitative formation of phthalide with the evolution of H2 gas (Scheme 71). The lactonization reaction was applicable to several 1,2-benzenedimethanol derivatives with various substituents. 4-Substituted 1,2-benzenedimethanol was converted to a mixture of the corresponding 5- and 6-substituted phthalides with low selectivity. 3-Substituted 1,2-benzenedimethanol underwent lactonization with better selectivity, giving the 4-substituted phthalide as the major product. Other arylene-linked diols were successfully converted to the corresponding lactones. Aliphatic diols were also applicable in this lactonization reaction. Reuse of the catalyst was examined for the reaction of a biphenyl-based diol, achieving five cycles of reuse without loss of the high catalytic activity. The reaction likely proceeds via an initial dehydrogenation of one alcohol moiety, giving a hydroxyaldehyde, which undergoes spontaneous cyclization to the lactol, followed by a second dehydrogenation that affords the lactone product. More recently, we reported the Ir complex 74-catalyzed dehydrogenation of 1,4-butanediol to γ-butyrolactone (see Section 3.1.1) [196].
Scheme 71.
Dehydrogenative lactonization of diols catalyzed by Ir complex 88.
N-Heterocycle Formation
The dehydrogenative formation of N-heterocycles from alcohols and amines catalyzed by metal complexes having hydroxypyridine-based ligands has been reported by several groups. The synthesis of quinolines from 2-hydroxymethyl aniline derivatives and ketones was achieved with Ir and Mn catalysts. Although the detailed mechanism for this reaction remains unclear, the dehydrogenative oxidation of 2-hydroxymethyl aniline is probably involved as a key step. Li et al. reported a Cp*Ir-dihydroxybipyridine complex 88-catalyzed reaction in the presence of a stoichiometric amount of KOH (1 equiv) in water solvent at 100 °C (Scheme 72) [223]. 2-Hydroxypyridyl and naphthyridyl-chelated-Mn complex 104 prepared by Chen et al., also exhibited catalytic activity for this quinoline synthesis in toluene solvent with KOt-Bu (1 equiv) [224].
Scheme 72.
Catalytic dehydrogenative condensation of 2-hydroxymethyl aniline with ketones leading to quinolines.
Kundu et al. employed Ir catalyst 105 bearing a benzimidazole-hydroxypyridine-linked chelate ligand for the synthesis of quinolines from 2-hydroxymethyl aniline derivatives and secondary alcohols (Scheme 73) [225]. The reaction was performed with KOH (1.5 equiv) in water solvent at 120 °C. 2-Hydroxymethylnitrobenzene derivatives were also converted to the same quinoline product by using 3 equiv of secondary alcohol in this Ir-catalyzed reaction. The reaction using the nitrobenzene might proceed via a hydrogen transfer process from the alcohol to the nitro functionality.
Scheme 73.
Ir-catalyzed dehydrogenative condensation of 2-hydroxymethyl anilines with secondary alcohols or transfer hydrogenative condensation of 2-hydroxynitrobenzenes with secondary alcohols.
The dehydrogenative synthesis of dinitrogen-containing heterocycles employing hydroxypyridine-based ligand complexes was also reported. Quinazolinones were synthesized via the dehydrogenative coupling of o-aminobenzamides with methanol in the presence of Cp*Ir bipyridonate complex catalyst 74 (Scheme 74) [226]. In methanol solvent with Cs2CO3 (0.3 equiv), Ir catalyst 74 promoted the conversion of o-aminobenzamide to the quinazolinone at 150 °C. The yield was increased to 88% by performing the reaction under microwave irradiation, reaching 130 °C. The reaction is thought to proceed via the dehydrogenation of methanol to formaldehyde, which undergoes condensation with the o-aminobenzamide followed by further dehydrogenation leading to the quinazolinone.
Scheme 74.
Synthesis of quinazolines from o-aminobenzamide and methanol via an Ir-catalyzed dehydrogenative condensation reaction.
Kundu et al. reported the dehydrogenative synthesis of quinoxalines, benzimidazoles, and quinazolines under aqueous conditions from 1,2-benzenediamine or 2-aminobenzyl amine with 1,2-diols or monoalcohols (Scheme 75) [227]. The reaction of 1,2-benzenediamine with propane-1,2-diol in refluxing water with KOH (1.5 equiv) was catalyzed by imidazolinyl-hydroxypyridine-ligated monocationic Cp*Ir complex 106 to afford 2-methylquinoxaline. The reaction of 1,2-benzenediamine with benzyl alcohol catalyzed by dicationic Cp*Ir complex 107 afforded benzimidazole under neutral conditions in refluxing water. Using the catalytic conditions with dicationic Ir complex 107, the condensation of 2-aminobenzyl amine with benzyl alcohol successfully proceeded to give the quinazoline in high yield.
Scheme 75.
Synthesis of various dinitrogen-containing heterocycles via Ir-catalyzed dehydrogenative condensation of diamines and alcohols.
Kundu et al. also reported a dehydrogenative three-component coupling reaction leading to pyrimidines catalyzed by Ru complex 108 bearing a benzimidazolyl-2-hydroxypyridine chelate ligand [228]. Amidines, primary alcohols, and secondary alcohols were used as starting materials, which underwent condensation to the pyrimidine product in the presence of Ru catalyst 108 and KOt-Bu (1 equiv) in dioxane solvent at 120 °C (Scheme 76). The reaction may proceed via the Ru-catalyzed dehydrogenation of the primary and secondary alcohols, leading to aldehydes and ketones, which undergo the aldol condensation to give the α,β-unsaturated ketones. Dehydrative condensation of the α,β-unsaturated ketones with the amidines generates dihydropyrimidines, which undergo Ru-catalyzed dehydrogenation to give the final pyrimidine products.
Scheme 76.
Ru complex 108-catalyzed three-component coupling of amidines, primary alcohols, and secondary alcohols leading to pyrimidines.
3.2.2. Formic Acid Dehydrogenation
Directed toward the development of formic acid-based hydrogen storage systems, hydroxypyridine-based metal catalysts that promote both formic acid dehydrogenation and CO2 hydrogenation have been studied. We briefly summarize the hydrogenation of CO2 to formic acid in Section 3.1.2.
Selected examples of hydroxypyridine-based Ir complex catalysts applicable in the dehydrogenation of formic acid are summarized in Table 3. A highly active catalyst for formic acid dehydrogenation was reported by Himeda et al. [197]. Catalyst 75, effective for the hydrogenation of CO2, exhibited high catalytic performance in the dehydrogenation of formic acid in 1 M formic acid/sodium formate (1:1, pH 3.5) at 80 °C, reaching a TON of 308,000 after 12 h (Table 3, entry 1). Later, Himeda et al. reported Ir complex 109, which exhibited higher catalytic activity in formic acid dehydrogenation with a TON of 400,000 in highly concentrated formic acid (8 M) at 100 °C (Table 3, entry 2) [229]. With longer reaction times in 6 M formic acid, Ir catalyst 109 achieved TONs as high as 2,050,000 in the dehydrogenation of formic acid at 60 °C (Table 3, entry 3). From the mechanistic study, the rate-determining step of formic acid dehydrogenation was proposed to switch according to the pH of the reaction system. In the pH region over 2.8, the rate-determining step is likely the protonation of an Ir-hydride intermediate to release H2. This step can be accelerated by metal–ligand cooperative interaction. In contrast, in the pH region from 1.7–2.8, the rate-determining step is thought to be a formal β-hydride elimination from an Ir-formate intermediate, leading to an Ir-hydride with the liberation of CO2. This process does not seem to be involved metal–ligand cooperation. In fact, Ir complexes 76 and 80 exhibited similar catalytic activities in the dehydrogenation of formic acid in 1.0 M (pH 1.8) conditions at 60 °C (Table 3, entries 4 and 5) [201]. Two Ir complexes 110 and 111, also showed similar catalytic performance in the dehydrogenation of 1.02 M formic acid at 60 °C [202]. In the case of the dehydrogenation of formic acid, the ligand design for an effective catalyst is not necessarily limited to 2-hydroxypyridine-based structures according to the reaction conditions and plausible mechanism.
Table 3.
Selected Ir catalysts bearing hydroxypyridine-based ligands for the dehydrogenation of formic acid.
3.2.3. N-Heterocycle Dehydrogenation
As mentioned in Section 3.1.3., the dehydrogenation of N-heterocycles coupled with the reverse hydrogenation process has recently attracted much attention for application in reversible hydrogen storage. For example, we found high catalytic activity of Ir-bipyridonate complex 74 (1.0 mol%) in the dehydrogenation of 2-methyl-1,2,3,4-tetrahydroquinoline [208], which proceeded in refluxing p-xylene resulting in quantitative conversion to 2-methylquinoline (Scheme 77). Perdehydrogenation of 2,6-dimethyldecahydro-1,5-naphthyridine was also accomplished by catalyst 74 (5.0 mol%), leading to nearly quantitative formation of 2,6-dimethyl-1,5-naphthyridine. We also found that a 1,10-phenanthroline-2,9-dione ligand enhanced the stability of the Ir complex during catalysis, and its Ir complex 85 also catalyzed perdehydrogenation in excellent yield. Combined with the high catalytic performance of 85 in the reverse perhydrogenation reaction, successive hydrogenation and dehydrogenation processes were possible (see Section 3.1.3, Scheme 57).
Scheme 77.
Catalytic dehydrogenation of 2-methyl-1,2,3,4-tetrahydroquinoline and 2,6-dimethyldecahydro-1,5-naphthyridine by Ir complexes 74 and 85.
Ir-bipyridonate complex 74 also exhibited high catalytic performance in the dehydrogenation of 2,5-dimethylpiperazine to 2,5-dimethylpyrazine (Scheme 78) [209]. The dehydrogenation reaction of 2,5-dimethylpiperazine in refluxing p-xylene was catalyzed by 74 (2.0 mol%), leading to 100% formation of 2,5-dimethylpyrazine. Under solvent-free conditions, the reaction could be performed with a reduced catalyst loading, while maintaining enough reaction efficiency. This reaction was applied to a repetitive dehydrogenation/hydrogenation sequence directed toward reversible hydrogen storage (see Section 3.1.2).
Scheme 78.
Catalytic dehydrogenation of 2,5-dimethylpiperazine by Ir complex 74.
Considering the high catalytic ability of these Ir complexes in both the dehydrogenation/hydrogenation reactions of N-heterocyclic compounds, future advances in the development of N-heterocycle-based hydrogen storage media should be expected.
3.3. Transfer Hydrogenation and Borrowing Hydrogen Reactions
3.3.1. Transfer Hydrogenation of Ketones and Aldehydes
Various hydroxypyridine-based multidentate ligands have been developed for application to the transfer hydrogenation of carbonyl compounds such as ketones and aldehydes. The structures of these catalysts for transfer hydrogenation are summarized in Figure 6.
Figure 6.
Reported catalysts bearing hydroxypyridine-based ligands for the transfer hydrogenation of carbonyl compounds.
Ru-p-cymene complex 112 with a 6,6′-dihydroxy-2,2′-bipyridine ligand was reported by Papish et al. [230]. Complex 112 catalyzed the transfer hydrogenation of acetophenone in methanol/water (10/90) solution in the presence of NaO2CH leading to a 95% conversion at 85–90 °C after 18 h. Several tridentate 2-hydroxypyridine moiety-containing ligands have been developed by different groups for application to Ru-catalyzed transfer hydrogenation. Szymczak et al. reported the transfer hydrogenation of ketones catalyzed by cationic Ru complex 113 bearing a 6,6′-dihydroxyterpyridine ligand [231]. The reaction was performed in i-PrOH solvent at 80 °C in the presence of 113 (0.5 mol%) and KOt-Bu (10 mol%) for 12–24 h. Acetophenone derivatives, di-primary-alkyl ketones were successfully converted to the corresponding alcohols. Alkenyl moieties remained intact during the reaction. A similar Ru complex 114 having a tridentate 2-hydroxypyridyl moiety-containing ligand was reported by Chen et al.; this complex exhibited higher catalytic ability, completing transfer hydrogenation in a shorter time (8–150 min) with a TOF as high as 1190 h−1 under similar reaction conditions [232]. Yang and Chen also reported CO-ligated Ru complexes 115 and 116, which exhibited better chemoselectivity in the transfer hydrogenation of alkene-tethered ketones leading to exclusive carbonyl reduction while preserving the alkene moiety [233]. Chen et al. also prepared pyrazolyl moiety-containing analogue Ru complex 117 for the transfer hydrogenation of ketones [234]. A 2-(2-pyridyl-2-ol)-1,10-phenanthroline-ligated Ru complex 118 developed by Kundu et al. also exhibited higher catalytic performance in the transfer hydrogenation of acetophenone in i-PrOH, achieving a TOF of 2400 h−1 [235]. Complex 118 also promoted the transfer hydrogenation of nitriles in i-PrOH, leading to imine products.
Li et al. reported the transfer hydrogenation of aldehydes and ketones catalyzed by Cp*Ir bipyridonate complex 74 [236]. This reaction could be performed in i-PrOH solvent under neutral conditions at 82 °C. Both aromatic and aliphatic aldehydes or ketones were applicable to the transfer hydrogenation reaction. We also reported the transfer hydrogenation of ketones and aldehydes catalyzed by Cp*-Ir bipyridonate complex 74, employing glucose as a hydrogen donor in water or dimethylacetamide solvent [237]. Recently, Li et al. reported the transfer hydrogenation of ketones and imines in methanol solvent, mediated by anionic Cp*Ir bipyridonate complex catalyst 100 [238]. The use of novel hydrogen donors other than the conventional i-PrOH will be further explored in future studies of transfer hydrogenation catalysis.
The use of base-metal complexes with hydroxypyridine-based ligands in transfer hydrogenation catalysis was recently reported by Chen et al. [224]. 2-Hydroxypyridyl and naphthyridyl-chelated Mn complex 104 was prepared for the catalytic transfer hydrogenation of ketones and aldehydes in i-PrOH.
3.3.2. Transfer Dehydrogenation of Alcohols
The transfer dehydrogenation of alcohols as the reverse reaction of the transfer hydrogenation of aldehydes or ketones, known as the Oppenauer-type oxidation, is of course possible through the use of hydroxypyridine-based metal catalysts. Typically, a large excess of the hydrogen acceptor is required for completion of this reaction when a ketone such as acetone is used, because the reaction essentially affords an equilibrium mixture. In this context, we found that a stoichiometric amount of isopropenyl acetate worked well as a hydrogen acceptor [239]. Hydrogen transfer oxidation of aliphatic primary alcohols proceeded to afford aldehyde products in the presence of Ir catalyst 119 (3.0 mol%) and 1.0 equiv of isopropenyl acetate in refluxing toluene (Scheme 79). The reaction of benzylic alcohols could be performed at 80 °C with reduced catalyst loading (2.0 mol%). A secondary alcohol (1-phenylethanol) was also applicable in this catalytic system leading to the ketone product. The key feature of this reaction is the irreversible hydrogenolysis of isopropenyl acetate leading to propene and acetic acid, which allows the hydrogen transfer reaction to occur in a stoichiometric manner.
Scheme 79.
Transfer dehydrogenation of alcohols to carbonyl compounds using isopropenyl acetate as hydrogen acceptor.
3.3.3. C–C Bond-Forming Alkylation Based on Borrowing Hydrogen Methodology
“Borrowing hydrogen” type transformations such as alkylation at the α-positions of ketones or β-positions of secondary alcohols using primary alcohols as alkylating reagents are good target reactions for catalysis by hydroxypyridine-based metal complexes [152,153,154,155]. The α-alkylation of a ketone by the “borrowing hydrogen” mechanism proceeds via an initial dehydrogenation of the primary alcohol, leading to the aldehyde, which undergoes aldol condensation with the ketone to give an α,β-unsaturated ketone; subsequent hydrogenation furnishes the alkylated product (Scheme 36). Alkylation of the β-position of alcohols proceeds initially via the dehydrogenation of both the secondary and primary alcohols followed by the aldol condensation of the resulting ketone and aldehyde to give an α,β-unsaturated ketone; this is subsequently doubly hydrogenated to produce the alkylated alcohol product. Considering the good catalytic performance of such complexes in the dehydrogenation of alcohols, an efficient catalytic system based on the “borrowing hydrogen” methodology can be developed. Li et al. reported that the α-alkylation of ketones with primary alcohols as alkylating reagents could be catalyzed by Cp*-Ir bipyridonate complex 74 [240]. The alkylation of acetophenone with various primary alcohols was performed in refluxing t-amyl alcohol solvent in the presence of 74 and Cs2CO3 in air (Scheme 80). Both benzylic and aliphatic alcohols were applicable as alkylating reagents. In addition to aromatic ketones, cyclopropyl methyl ketone and t-butyl methyl ketone were tolerated. It is noteworthy that methanol could also be utilized as a methylating reagent. Chen et al. also reported this type of transformation catalyzed by Ru complex 120 bearing a pyridonate-containing bidentate ligand (Figure 7) [241].
Scheme 80.
Catalytic α-alkylation of ketones using primary alcohols as alkylating reagents.
Figure 7.
Other Ru complexes bearing hydroxypyridine-based ligands for catalytic alkylation reactions.
Kundu et al. reported the alkylation of secondary alcohols using primary alcohols as alkylating reagents in the presence of 6,6′-dihydroxy-2,2′-bipyridine-ligated Ru complex catalyst 121 (Scheme 81) [242]. The reaction proceeded in refluxing toluene in the presence of 121 and KOt-Bu, affording β-alkylated alcohol product A together with alkylated ketone product B as a minor byproduct. As secondary alcohols, 1-aryl- and 1-alkyl ethanols were applicable, while benzylic and aliphatic alcohols were suitable as primary alcohols. Kundu et al. also reported the same reaction catalyzed by 2-(2-pyridyl-2-ol)-1,10-phenanthroline-ligated Ru complex 118 [243]. In that report, the double alkylation of cyclopentanol at the 2- and 5-positions was demonstrated. Similar β-alkylation reactions of secondary alcohols catalyzed by Ru complexes 122 and 123 bearing tridentate hydroxypyridyl moiety-containing ligands were reported by Chen et al. (Figure 7) [241,244].
Scheme 81.
Catalytic β-alkylation of secondary alcohols using primary alcohols as alkylating reagents.
3.4. Miscellaneous
The use of the hydroxypyridine ligand in a Pd-catalyzed biaryl formation reaction involving C–H activation was reported by Albeńiz et al. [245]. For the Pd-catalyzed direct arylation of pyridine with p-iodotoluene affording 3-p-tolylpyridine, 6-hydroxy-2,2′-bipyridine and related bipyridine ligands such as 2,2′-bipyridine, 6-methoxy-2,2′-bipyridine, and 4-hydroxy-2,2′-bipyridine were employed (Table 4). The reaction of p-iodotoluene in pyridine solvent with 3 equiv Cs2CO3 in the presence of Pd(OAc)2 (5 mol%) and 2,2′-bipyridine (15 mol%) did not proceed smoothly, giving only 6% of the arylation product (Table 4, entry 1). The use of a 6-hydroxy-2,2′-bipyridine ligand greatly improved the product yield to 90%, whereas 6-methoxy-2,2′-bipyridine or 4-hydroxy-2,2′-bipyridine was not as effective (Table 4, entries 2–4). The amounts of ligand and base could be lowered to 6 mol% and 1 equiv, respectively, without loss of catalytic performance (Table 4, entry 5). Pre-formed Pd-6-hydroxy-2,2′-bipyridine complex 124 exhibited high catalytic activity, achieving complete reaction within 6 h (Table 4, entry 6). According to the experimental results and DFT calculations, an in situ-formed pyridonate ligand is proposed to serve as an internal basic site which renders C–H activation much easier (Scheme 82).
Table 4.
Effect of hydroxypyridine ligand on Pd-catalyzed direct arylation of pyridine.
Scheme 82.
Metal–ligand cooperative C–H bond activation in a Pd-pyridonate complex.
As shown in the last example, the potential utility of the hydroxypyridine ligand in catalytic transformations other than hydrogenation and dehydrogenation remains relatively unexplored and should be developed in future work.
4. Conclusions
Research on the activation of substrates and reactants based on cooperative effects between a metal and the ligands has begun to attract considerable attention; thus, many researchers have endeavored to develop new ligands and design catalysts for highly difficult molecular activation processes. Their findings, indicating the importance of the ligand design in the fabrication of new metal-complex catalysts, are now observed in a new light. Until now, the application of metal–ligand cooperation-based molecular activation has been limited to relatively simple reactions, such as hydrogenation, dehydrogenation, and reactions involving hydrogen transfer. However, in the future, it can be expected that numerous catalytic reactions involving cleavage of carbon–heteroatom bonds and even carbon–carbon bonds will be reported. It is our hope that new complex catalysts will be created using innovative and precise ligand design to develop truly useful and environmentally benign transformations of organic molecules.
Author Contributions
T.S. wrote the original draft; K.-i.F. revised and finalized the manuscript. All authors have read and agreed to the published version of the manuscript.
Funding
This research received no external funding.
Conflicts of Interest
The authors declare no conflict of interest.
References
- Tsuji, J. Transition Metal Reagents and Catalysts: Innovations in Organic Synthesis; John Wiley & Sons: New York, NY, USA, 2000; ISBN 978-0471634980. [Google Scholar]
- Hegedus, L.S. Transition Metals in the Synthesis of Complex Organic Molecules; University Science Books: Mill Valley, CA, USA, 1994; ISBN 978-0935702286. [Google Scholar]
- Trincado, M.; Grützmacher, H. Cooperating Ligands, in Catalysis, in Cooperative Catalysis: Designing Efficient Catalysts for Synthesis; Peters, R., Ed.; Chapter 3; Wiley-VCH: Weinheim, Germany, 2015; ISBN 978-3-527-33689-0. [Google Scholar]
- Grützmacher, H. Cooperating Ligands in Catalysis. Angew. Chem. Int. Ed. 2008, 47, 1814–1818. [Google Scholar] [CrossRef]
- Haack, K.-J.; Hashiguchi, S.; Fujii, A.; Ikariya, T.; Noyori, R. The Catalyst Precursor, Catalyst, and Intermediate in the RuII-Promoted Asymmetric Hydrogen Transfer between Alcohols and Ketones. Angew. Chem. Int. Ed. 1997, 36, 285–288. [Google Scholar] [CrossRef]
- Hashiguchi, S.; Fujii, A.; Takehara, J.; Ikariya, T.; Noyori, R. Asymmetric Transfer Hydrogenation of Aromatic Ketones Catalyzed by Chiral Ruthenium(II) Complexes. J. Am. Chem. Soc. 1995, 117, 7562–7563. [Google Scholar] [CrossRef]
- Noyori, R.; Hashiguchi, S. Asymmetric Transfer Hydrogenation Catalyzed by Chiral Ruthenium Complexes. Accounts Chem. Res. 1997, 30, 97–102. [Google Scholar] [CrossRef]
- Yamaguchi, R.; Fujita, K. Ligand Platforms in Homogeneous Catalytic Reactions with Metals: Practice and Applications for Green Organic Transformations; John Wiley & Sons: Hoboken, NJ, USA, 2015; ISBN 978-1118203514. [Google Scholar]
- Blum, Y.; Shvo, Y. Catalytically Reactive Ruthenium Intermediates in the Homogeneous Oxidation of Alcohols to Esters. Isr. J. Chem. 1984, 24, 144–148. [Google Scholar] [CrossRef]
- Blum, Y.; Czarkie, D.; Rahamim, Y.; Shvo, Y. (Cyclopentadienone)ruthenium Carbonyl Complexes – A New Class of Homogeneous Hydrogenation Catalysts. Organometallics 1985, 8, 1459–1461. [Google Scholar] [CrossRef]
- Blum, Y.; Shvo, Y.; Chodosh, D.F. Structure of (η4-Ph4C4CO)(CO)3Ru – A Catalyst Precursor in H-Transfer and Dehydrogenation Reactions of Alcohols. Inorg. Chim. Acta 1985, 97, L25–L26. [Google Scholar] [CrossRef]
- Shvo, Y.; Czarkie, D.; Rahamim, Y.; Chodosh, D.F. A New Group of Ruthenium Complexes: Structure and Catalysis. J. Am. Chem. Soc. 1986, 108, 7400–7402. [Google Scholar] [CrossRef]
- Conley, B.L.; Pennington-Boggio, M.K.; Boz, E.; Williams, T.J. Discovery, Applications, and Catalytic Mechanisms of Shvo’s Catalyst. Chem. Rev. 2010, 110, 2294–2312. [Google Scholar] [CrossRef]
- Karvembu, R.; Prabhakaran, R.; Natarajan, K. Shvo’s Diruthenium Complex: A Robust Catalyst. Coord. Chem. Rev. 2005, 249, 911–918. [Google Scholar] [CrossRef]
- Morales-Morales, D. (Ed.) Pincer Compounds: Chemistry and Applications; Elsevier: Amsterdam, The Netherland, 2018; ISBN 978-0-128-12932-6. [Google Scholar]
- van Koten, G.; Gossage, R.A. (Eds.) The Privileged Pincer-Metal Platform: Coordination Chemistry & Applications; Springer: Berlin/Heidelberg, Germany, 2016; ISBN 978-3-319-22927-0. [Google Scholar]
- van Koten, G.; Milstein, D. (Eds.) Organometallic Pincer Chemistry; Springer: Berlin/Heidelberg, Germany, 2013; ISBN 978-3-642-31081-2. [Google Scholar]
- Lawrence, M.A.; Green, K.-A.; Nelson, P.N.; Lorraine, S.C. Review: Pincer ligands—Tunable, versatile and applicable. Polyhedron 2018, 143, 11–27. [Google Scholar] [CrossRef]
- Szabó, K.J.; Wendt, O.F. (Eds.) Pincer and Pincer-Type Complexes: Applications in Organic Synthesis and Catalysis; Wiley-VCH: Weinheim, Germany, 2014; ISBN 978-3-527-68130-3. [Google Scholar]
- Valdés, H.; García-Eleno, M.A.; Canseco-Gonzalez, D.; Morales-Morales, D. Recent Advances in Catalysis with Transition-Metal Pincer Compounds. ChemCatChem 2018, 10, 3136–3172. [Google Scholar] [CrossRef]
- Singleton, J.T. The Uses of Pincer Complexes in Organic Synthesis. Tetrahedron 2003, 59, 1837–1857. [Google Scholar] [CrossRef]
- Albrecht, M.; Lindner, M.M. Cleavage of Unreactive Bonds with Pincer Metal Complexes. Dalton Trans. 2011, 40, 8733. [Google Scholar] [CrossRef] [PubMed]
- Li, H.; Hall, M.B. Computational Mechanistic Studies on Reactions of Transition Metal Complexes with Noninnocent Pincer Ligands: Aromatization–Dearomatization or Not. ACS Catal. 2015, 5, 1895–1913. [Google Scholar] [CrossRef]
- Milstein, D. Metal–Ligand Cooperation by Aromatization–Dearomatization as a Tool in Single Bond Activation. Philos. Trans. R. Soc. A Math. Phys. Eng. Sci. 2015, 373, 20140189. [Google Scholar] [CrossRef]
- Gunanathan, C.; Milstein, D. Bond Activation by Metal-Ligand Cooperation: Design of “Green” Catalytic Reactions Based on Aromatization-Dearomatization of Pincer Complexes. In Organometallics in Process Chemistry; Springer Science and Business Media LLC: Berlin, Germany, 2011; Volume 37, pp. 55–84. ISBN 978-3-642-20731-0. [Google Scholar]
- Higashi, T.; Kusumoto, S.; Nozaki, K. Cleavage of Si–H, B–H, and C–H Bonds by Metal–Ligand Cooperation. Chem. Rev. 2019, 119, 10393–10402. [Google Scholar] [CrossRef]
- Khusnutdinova, J.R.; Milstein, D. Metal-Ligand Cooperation. Angew. Chem. Int. Ed. 2015, 54, 12236–12273. [Google Scholar] [CrossRef]
- Li, H.; Zheng, B.; Huang, K.-W. A New Class of PN3-Pincer Ligands for Metal–Ligand Cooperative Catalysis. Coord. Chem. Rev. 2015, 293, 116–138. [Google Scholar] [CrossRef]
- Li, H.; Gonçalves, T.P.; Lupp, D.; Huang, K.-W. PN3(P)-Pincer Complexes: Cooperative Catalysis and Beyond. ACS Catal. 2019, 9, 1619–1629. [Google Scholar] [CrossRef]
- Clarke, M.L.; Roff, G.J. Homogeneous Hydrogenation of Aldehydes, Ketones, Imines and Carboxylic Acid Derivatives: Chemoselectivity and Catalytic Activity. In The Handbook of Homogeneous Hydrogenation; Wiley: Hoboken, NJ, USA, 2008; Volume 1, pp. 413–454. ISBN 978-3-527-61938-2. [Google Scholar]
- Wu, X.; Xiao, J. Reduction of C=O to CHOH by Metal-Catalyzed Hydrogenation and Transfer Hydrogenation. In Comprehensive Organic Synthesis, 2nd ed.; Knochel, P., Molander, G.A., Eds.; Elsevier: Amsterdam, The Netherland, 2014; Volume 8, pp. 198–273. ISBN 978-0-080-97743-0. [Google Scholar]
- Blaser, H.-U.; Spindler, F. Reduction of C=N to CHNH by Metal-Catalyzed Hydrogenation and Transfer Hydrogenation. In Comprehensive Organic Synthesis, 2nd ed.; Knochel, P., Molander, G.A., Eds.; Elsevier: Amsterdam, The Netherland, 2014; Volume 8, pp. 274–299. ISBN 978-0-080-97743-0. [Google Scholar]
- Milstein, D. Discovery of Environmentally Benign Catalytic Reactions of Alcohols Catalyzed by Pyridine-Based Pincer Ru Complexes, Based on Metal–Ligand Cooperation. Top. Catal. 2010, 53, 915–923. [Google Scholar] [CrossRef]
- Gunanathan, C.; Milstein, D. Metal–Ligand Cooperation by Aromatization–Dearomatization: A New Paradigm in Bond Activation and “Green” Catalysis. Acc. Chem. Res. 2011, 44, 588–602. [Google Scholar] [CrossRef] [PubMed]
- Choi, J.; MacArthur, A.H.R.; Brookhart, M.; Goldman, A. Dehydrogenation and Related Reactions Catalyzed by Iridium Pincer Complexes. Chem. Rev. 2011, 111, 1761–1779. [Google Scholar] [CrossRef] [PubMed]
- Balaraman, E.; Milstein, D. Hydrogenation of Polar Bonds Catalyzed by Ruthenium-Pincer Complexes. In Ruthenium in Catalysis; Dixneuf, P.H., Bruneau, C., Eds.; Springer: Berlin, Germany, 2014; pp. 19–43. ISBN 978-3-319-08482-4. [Google Scholar]
- Younus, H.A.; Su, W.; Ahmad, N.; Chen, S.; Verpoort, F. Ruthenium Pincer Complexes: Synthesis and Catalytic Applications. Adv. Synth. Catal. 2015, 357, 283–330. [Google Scholar] [CrossRef]
- Gunanathan, C.; Milstein, D. Bond Activation and Catalysis by Ruthenium Pincer Complexes. Chem. Rev. 2014, 114, 12024–12087. [Google Scholar] [CrossRef] [PubMed]
- Bhattacharya, P.; Guan, H. Synthesis and Catalytic Applications of Iron Pincer Complexes. Comments Inorg. Chem. 2011, 32, 88–112. [Google Scholar] [CrossRef]
- Zell, T.; Milstein, D. Hydrogenation and Dehydrogenation Iron Pincer Catalysts Capable of Metal–Ligand Cooperation by Aromatization/Dearomatization. Acc. Chem. Res. 2015, 48, 1979–1994. [Google Scholar] [CrossRef]
- Chakraborty, S.; Bhattacharya, P.; Dai, H.; Guan, H. Nickel and Iron Pincer Complexes as Catalysts for the Reduction of Carbonyl Compounds. Acc. Chem. Res. 2015, 48, 1995–2003. [Google Scholar] [CrossRef]
- Garbe, M.; Junge, K.; Beller, M. Homogeneous Catalysis by Manganese-Based Pincer Complexes. Eur. J. Org. Chem. 2017, 2017, 4344–4362. [Google Scholar] [CrossRef]
- Mukherjee, A.; Milstein, D. Homogeneous Catalysis by Cobalt and Manganese Pincer Complexes. ACS Catal. 2018, 8, 11435–11469. [Google Scholar] [CrossRef]
- Li, W.; Xie, J.; Lin, H.; Zhou, Q.-L. Highly Efficient Hydrogenation of Biomass-Derived Levulinic Acid to γ-Valerolactone Catalyzed by Iridium Pincer Complexes. Green Chem. 2012, 14, 2388–2390. [Google Scholar] [CrossRef]
- Sánchez, P.; Hernández-Juarez, M.; Álvarez, E.; Paneque, M.; Rendón, N.; Suárez, A. Synthesis, Structure and Reactivity of Pd and Ir Complexes Based on New Lutidine-Derived NHC/Phosphine Mixed Pincer Ligands. Dalton Trans. 2016, 45, 16997–17009. [Google Scholar] [CrossRef] [PubMed]
- Langer, R.; Leitus, G.; Ben-David, Y.; Milstein, D. Efficient Hydrogenation of Ketones Catalyzed by an Iron Pincer Complex. Angew. Chem. Int. Ed. 2011, 50, 2120–2124. [Google Scholar] [CrossRef] [PubMed]
- Langer, R.; Iron, M.A.; Konstantinovski, L.; Diskin-Posner, Y.; Leitus, G.; Ben-David, Y.; Milstein, D. Iron Borohydride Pincer Complexes for the Efficient Hydrogenation of Ketones under Mild, Base-Free Conditions: Synthesis and Mechanistic Insight. Chem. Eur. J. 2012, 18, 7196–7209. [Google Scholar] [CrossRef] [PubMed]
- Butschke, B.; Feller, M.; Diskin-Posner, Y.; Milstein, D. Ketone Hydrogenation Catalyzed by a New Iron(ii)–PNN Complex. Catal. Sci. Technol. 2016, 6, 4428–4437. [Google Scholar] [CrossRef]
- Zell, T.; Ben-David, Y.; Milstein, D. Highly Efficient, General Hydrogenation of Aldehydes Catalyzed by PNP Iron Pincer Complexes. Catal. Sci. Technol. 2015, 5, 822–826. [Google Scholar] [CrossRef]
- Bruneau-Voisine, A.; Wang, D.; Roisnel, T.; Darcel, C.; Sortais, J.-B. Hydrogenation of Ketones with a Manganese PN3P Pincer Pre-Catalyst. Catal. Commun. 2017, 92, 1–4. [Google Scholar] [CrossRef]
- Grey, R.A.; Pez, G.P.; Wallo, A. Anionic Metal Hydride Catalysts. 2. Application to the Hydrogenation of Ketones, Aldehydes, Carboxylic Acid Esters, and Nitriles. J. Am. Chem. Soc. 1981, 103, 7536–7542. [Google Scholar] [CrossRef]
- Teunissen, H.T. Homogeneous Ruthenium Catalyzed Hydrogenation of Esters to Alcohols‡. Chem. Commun. 1998, 1367–1368. [Google Scholar] [CrossRef]
- Nomura, K.; Ogura, H.; Imanishi, Y. Ruthenium Catalyzed Hydrogenation of Methyl Phenylacetate under Low Hydrogen Pressure. J. Mol. Catal. A Chem. 2002, 178, 105–114. [Google Scholar] [CrossRef]
- Zhang, J.; Leitus, G.; Ben-David, Y.; Milstein, D. Efficient Homogeneous Catalytic Hydrogenation of Esters to Alcohols. Angew. Chem. Int. Ed. 2006, 45, 1113–1115. [Google Scholar] [CrossRef] [PubMed]
- Fogler, E.; Garg, J.A.; Hu, P.; Leitus, G.; Shimon, L.J.W.; Milstein, D. System with Potential Dual Modes of Metal-Ligand Cooperation: Highly Catalytically Active Pyridine-Based PNNH-Ru Pincer Complexes. Chem. Eur. J. 2014, 20, 15727–15731. [Google Scholar] [CrossRef] [PubMed]
- Zhang, J.; Balaraman, E.; Leitus, G.; Milstein, D. Electron-Rich PNP- and PNN-Type Ruthenium(II) Hydrido Borohydride Pincer Complexes. Synthesis, Structure, and Catalytic Dehydrogenation of Alcohols and Hydrogenation of Esters. Organometallics 2011, 30, 5716–5724. [Google Scholar] [CrossRef]
- Krall, E.M.; Klein, T.W.; Andersen, R.J.; Nett, A.J.; Glasgow, R.W.; Reader, D.S.; Dauphinais, B.C.; Mc Ilrath, S.P.; Fischer, A.A.; Carney, M.J.; et al. Controlled Hydrogenative Depolymerization of Polyesters and Polycarbonates Catalyzed by Ruthenium(II) PNN Pincer Complexes. Chem. Commun. 2014, 50, 4884–4887. [Google Scholar] [CrossRef] [PubMed]
- Sun, Y.; Koehler, C.; Tan, R.; Annibale, V.T.; Song, D. Ester Hydrogenation Catalyzed by Ru-CNN Pincer Complexes. Chem. Commun. 2011, 47, 8349–8351. [Google Scholar] [CrossRef]
- Filonenko, G.; Cosimi, E.; Lefort, L.; Conley, M.P.; Copéret, C.; Lutz, M.; Hensen, E.J.; Pidko, E. Lutidine-Derived Ru-CNC Hydrogenation Pincer Catalysts with Versatile Coordination Properties. ACS Catal. 2014, 4, 2667–2671. [Google Scholar] [CrossRef]
- Fogler, E.; Balaraman, E.; Ben-David, Y.; Leitus, G.; Shimon, L.J.W.; Milstein, D. New CNN-Type Ruthenium Pincer NHC Complexes. Mild, Efficient Catalytic Hydrogenation of Esters. Organometallics 2011, 30, 3826–3833. [Google Scholar] [CrossRef]
- Sluijter, S.N.; Korstanje, T.J.; van der Vlugt, J.I.; Elsevier, C.J. Mechanistic Insights into Catalytic Carboxylic Esters Hydrogenation with Cooperative Ru(II)-bis{1,2,3-triazolylidene}pyridine Pincer Complexes. J. Organomet. Chem. 2017, 845, 30–37. [Google Scholar] [CrossRef]
- Chen, T.; Li, H.; Qu, S.; Zheng, B.; He, L.; Lai, Z.; Wang, Z.-X.; Huang, K.-W. Hydrogenation of Esters Catalyzed by Ruthenium PN3-Pincer Complexes Containing an Aminophosphine Arm. Organometallics 2014, 33, 4152–4155. [Google Scholar] [CrossRef]
- Zell, T.; Ben-David, Y.; Milstein, D. Unprecedented Iron-Catalyzed Ester Hydrogenation. Mild, Selective, and Efficient Hydrogenation of Trifluoroacetic Esters to Alcohols Catalyzed by an Iron Pincer Complex. Angew. Chem. Int. Ed. 2014, 53, 4685–4689. [Google Scholar] [CrossRef]
- Hirosawa, C.; Wakasa, N.; Fuchikami, T. Hydrogenation of Amides by the Use of Bimetallic Catalysts Consisting of Group 8 to 10, and Group 6 or 7 Metals. Tetrahedron Lett. 1996, 37, 6749–6752. [Google Scholar] [CrossRef]
- Núñez Magro, A.A.; Eastham, G.R.; Cole-Hamilton, D.J. The Synthesis of Amines by the Homogeneous Hydrogenation of Secondary and Primary Amides. Chem. Commun. 2007, 3154–3156. [Google Scholar] [CrossRef] [PubMed]
- Beamson, G.; Papworth, A.J.; Philipps, C.; Smith, A.M.; Whyman, R. Selective Hydrogenation of Amides using Ruthenium/Molybdenum Catalysts. Adv. Synth. Catal. 2010, 352, 869–883. [Google Scholar] [CrossRef]
- Beamson, G.; Papworth, A.J.; Philipps, C.; Smith, A.M.; Whyman, R. Selective Hydrogenation of Amides Using Rh/Mo Catalysts. J. Catal. 2010, 269, 93–102. [Google Scholar] [CrossRef]
- Ito, M.; Ootsuka, T.; Watari, R.; Shiibashi, A.; Himizu, A.; Ikariya, T. Catalytic Hydrogenation of Carboxamides and Esters by Well-Defined Cp*Ru Complexes Bearing a Protic Amine Ligand. J. Am. Chem. Soc. 2011, 133, 4240–4242. [Google Scholar] [CrossRef]
- John, J.M.; Bergens, S.H. A Highly Active Catalyst for the Hydrogenation of Amides to Alcohols and Amines. Angew. Chem. Int. Ed. 2011, 50, 10377–10380. [Google Scholar] [CrossRef] [PubMed]
- Miura, T.; Held, I.E.; Oishi, S.; Naruto, M.; Saito, S. Catalytic Hydrogenation of Unactivated Amides Enabled by Hydrogenation of Catalyst Precursor. Tetrahedron Lett. 2013, 54, 2674–2678. [Google Scholar] [CrossRef]
- Kita, Y.; Higuchi, T.; Mashima, K. Hydrogenation of Amides Catalyzed by a Combined Catalytic System of a Ru Complex with a Zinc Salt. Chem. Commun. 2014, 50, 11211–11213. [Google Scholar] [CrossRef] [PubMed]
- John, J.M.; Loorthuraja, R.; Antoniuk, E.; Bergens, S.H. Catalytic Hydrogenation of Functionalized Amides under Basic and Neutral Conditions. Catal. Sci. Technol. 2015, 5, 1181–1186. [Google Scholar] [CrossRef]
- Shi, L.; Tan, X.; Long, J.; Xiong, X.; Yang, S.; Xue, P.; Lv, H.; Zhang, X. Direct Catalytic Hydrogenation of Simple Amides: A Highly Efficient Approach from Amides to Amines and Alcohols. Chem. Eur. J. 2016, 23, 546–548. [Google Scholar] [CrossRef]
- Cabrero-Antonino, J.R.; Alberico, E.; Drexler, H.-J.; Baumann, W.; Junge, K.; Junge, H.; Beller, M. Efficient Base-Free Hydrogenation of Amides to Alcohols and Amines Catalyzed by Well-Defined Pincer Imidazolyl–Ruthenium Complexes. ACS Catal. 2015, 6, 47–54. [Google Scholar] [CrossRef]
- Rezayee, N.M.; Samblanet, D.C.; Sanford, M.S. Iron-Catalyzed Hydrogenation of Amides to Alcohols and Amines. ACS Catal. 2016, 6, 6377–6383. [Google Scholar] [CrossRef]
- Schneck, F.; Assmann, M.; Balmer, M.; Harms, K.; Langer, R. Selective Hydrogenation of Amides to Amines and Alcohols Catalyzed by Improved Iron Pincer Complexes. Organometallics 2016, 35, 1931–1943. [Google Scholar] [CrossRef]
- Papa, V.; Cabrero-Antonino, J.R.; Alberico, E.; Spanneberg, A.; Junge, K.; Junge, H.; Beller, M. Efficient and Selective Hydrogenation of Amides to Alcohols and Amines Using a Well-Defined Manganese–PNN Pincer Complex. Chem. Sci. 2017, 8, 3576–3585. [Google Scholar] [CrossRef]
- Balaraman, E.; Gnanaprakasam, B.; Shimon, L.J.W.; Milstein, D.; Boopathy, G. Direct Hydrogenation of Amides to Alcohols and Amines under Mild Conditions. J. Am. Chem. Soc. 2010, 132, 16756–16758. [Google Scholar] [CrossRef]
- Barrios-Francisco, R.; Balaraman, E.; Diskin-Posner, Y.; Leitus, G.; Shimon, L.J.W.; Milstein, D. PNN Ruthenium Pincer Complexes Based on Phosphinated 2,2′-Dipyridinemethane and 2,2′-Oxobispyridine. Metal–Ligand Cooperation in Cyclometalation and Catalysis. Organometallics 2013, 32, 2973–2982. [Google Scholar] [CrossRef]
- Hu, P.; Fogler, E.; Diskin-Posner, Y.; Iron, M.A.; Milstein, D. A Novel Liquid Organic Hydrogen Carrier System Based on Catalytic Peptide Formation and Hydrogenation. Nat. Commun. 2015, 6, 6859. [Google Scholar] [CrossRef]
- Hu, P.; Ben-David, Y.; Milstein, D. Rechargeable Hydrogen Storage System Based on the Dehydrogenative Coupling of Ethylenediamine with Ethanol. Angew. Chem. Int. Ed. 2015, 55, 1061–1064. [Google Scholar] [CrossRef] [PubMed]
- Kumar, A.; Janes, T.; Espinosa-Jalapa, N.Á.; Milstein, D. Selective Hydrogenation of Cyclic Imides to Diols and Amines and Its Application in the Development of a Liquid Organic Hydrogen Carrier. J. Am. Chem. Soc. 2018, 140, 7453–7457. [Google Scholar] [CrossRef] [PubMed]
- Garg, J.A.; Chakraborty, S.; Ben-David, Y.; Milstein, D. Unprecedented Iron-Catalyzed Selective Hydrogenation of Activated Amides to Amines and Alcohols. Chem. Commun. 2016, 52, 5285–5288. [Google Scholar] [CrossRef] [PubMed]
- Zou, Y.-Q.; Chakraborty, S.; Nerush, A.; Oren, D.; Diskin-Posner, Y.; Ben-David, Y.; Milstein, D. Highly Selective, Efficient Deoxygenative Hydrogenation of Amides Catalyzed by a Manganese Pincer Complex via Metal–Ligand Cooperation. ACS Catal. 2018, 8, 8014–8019. [Google Scholar] [CrossRef] [PubMed]
- Delledonne, D.; Rivetti, F.; Romano, U. Oxidative Carbonylation of Methanol to Dimethyl Carbonate (DMC): A New Catalytic System. J. Organomet. Chem. 1995, 488, C15–C19. [Google Scholar] [CrossRef]
- Delledonne, D.; Rivetti, F.; Romano, U. Developments in the Production and Application of Dimethylcarbonate. Appl. Catal. A Gen. 2001, 221, 241–251. [Google Scholar] [CrossRef]
- Sakakura, T.; Kohno, K. The Synthesis of Organic Carbonates from Carbon Dioxide. Chem. Commun. 2009, 11, 1312. [Google Scholar] [CrossRef] [PubMed]
- Sakakura, T.; Choi, J.-C.; Yasuda, H. Transformation of Carbon Dioxide. Chem. Rev. 2007, 107, 2365–2387. [Google Scholar] [CrossRef] [PubMed]
- Abla, M.; Chol, J.C.; Sakakura, T. Halogen-Free Process for the Conversion of Carbon Dioxide to Urethanes by Homogeneous Catalysis. Chem. Commun. 2001, 2238–2239. [Google Scholar] [CrossRef] [PubMed]
- Abla, M.; Choi, J.-C.; Sakakura, T. Nickel-Catalyzed Dehydrative Transformation of CO2 to Urethanes. Green Chem. 2004, 6, 524. [Google Scholar] [CrossRef]
- Du, X.-L.; Jiang, Z.; Su, D.S.; Wang, J.-Q. Research Progress on the Indirect Hydrogenation of Carbon Dioxide to Methanol. ChemSusChem 2016, 9, 315. [Google Scholar] [CrossRef]
- Olah, G.A. Beyond Oil and Gas: The Methanol Economy. Angew. Chem. Int. Ed. 2005, 44, 2636–2639. [Google Scholar] [CrossRef]
- Balaraman, E.; Gunanathan, C.; Zhang, J.; Shimon, L.J.W.; Milstein, D. Efficient Hydrogenation of Organic Carbonates, Carbamates and Formates Indicates Alternative Routes to Methanol Based on CO2 and CO. Nat. Chem. 2011, 3, 609–614. [Google Scholar] [CrossRef]
- Huff, C.A.; Sanford, M.S. Cascade Catalysis for the Homogeneous Hydrogenation of CO2 to Methanol. J. Am. Chem. Soc. 2011, 133, 18122–18125. [Google Scholar] [CrossRef] [PubMed]
- Khusnutdinova, J.R.; Garg, J.A.; Milstein, D. Combining Low-Pressure CO2 Capture and Hydrogenation To Form Methanol. ACS Catal. 2015, 5, 2416–2422. [Google Scholar] [CrossRef]
- Wu, X.; Ji, L.; Ji, Y.; Elageed, E.H.; Gao, G. Hydrogenation of Ethylene Carbonate Catalyzed by Lutidine-Bridged N-Heterocyclic Carbene Ligands and Ruthenium Precursors. Catal. Commun. 2016, 85, 57–60. [Google Scholar] [CrossRef]
- Balaraman, E.; Ben-David, Y.; Milstein, D. Unprecedented Catalytic Hydrogenation of Urea Derivatives to Amines and Methanol. Angew. Chem. Int. Ed. 2011, 50, 11702–11705. [Google Scholar] [CrossRef] [PubMed]
- Xie, Y.; Hu, P.; Ben-David, Y.; Milstein, D. A Reversible Liquid Organic Hydrogen Carrier System Based on Methanol-Ethylenediamine and Ethylene Urea. Angew. Chem. Int. Ed. 2019, 58, 5105–5109. [Google Scholar] [CrossRef] [PubMed]
- Wang, W.-H.; Himeda, Y.; Muckerman, J.T.; Manbeck, G.F.; Fujita, E. CO2 Hydrogenation to Formate and Methanol as an Alternative to Photo- and Electrochemical CO2 Reduction. Chem. Rev. 2015, 115, 12936–12973. [Google Scholar] [CrossRef]
- Sordakis, K.; Tang, C.; Vogt, L.K.; Junge, H.; Dyson, P.J.; Beller, M.; Laurenczy, G. Homogeneous Catalysis for Sustainable Hydrogen Storage in Formic Acid and Alcohols. Chem. Rev. 2017, 118, 372–433. [Google Scholar] [CrossRef]
- Roy, S.; Cherevotan, A.; Peter, S.C. Thermochemical CO2 Hydrogenation to Single Carbon Products: Scientific and Technological Challenges. ACS Energy Lett. 2018, 3, 1938–1966. [Google Scholar] [CrossRef]
- Tanaka, R.; Yamashita, M.; Nozaki, K. Catalytic Hydrogenation of Carbon Dioxide Using Ir(III)−Pincer Complexes. J. Am. Chem. Soc. 2009, 131, 14168–14169. [Google Scholar] [CrossRef]
- Langer, R.; Diskin-Posner, Y.; Leitus, G.; Shimon, L.J.W.; Ben-David, Y.; Milstein, D. Low-Pressure Hydrogenation of Carbon Dioxide Catalyzed by an Iron Pincer Complex Exhibiting Noble Metal Activity. Angew. Chem. Int. Ed. 2011, 50, 9948–9952. [Google Scholar] [CrossRef]
- Wheelaghan, O.R.; Dauth, A.; Leitus, G.; Diskin-Posner, Y.; Milstein, D. Synthesis and Reactivity of Iron Complexes with a New Pyrazine-Based Pincer Ligand, and Application in Catalytic Low-Pressure Hydrogenation of Carbon Dioxide. Inorg. Chem. 2015, 54, 4526–4538. [Google Scholar] [CrossRef] [PubMed]
- Filonenko, G.; van Putten, R.; Schulpen, E.N.; Hensen, E.J.; Pidko, E. Highly Efficient Reversible Hydrogenation of Carbon Dioxide to Formates Using a Ruthenium PNP-Pincer Catalyst. ChemCatChem 2014, 6, 1526–1530. [Google Scholar] [CrossRef]
- Filonenko, G.; Smykowski, D.; Szyja, B.M.; Li, G.; Szczygiel, J.; Hensen, E.J.; Pidko, E. Catalytic Hydrogenation of CO2 to Formates by a Lutidine-Derived Ru–CNC Pincer Complex: Theoretical Insight into the Unrealized Potential. ACS Catal. 2015, 5, 1145–1154. [Google Scholar] [CrossRef]
- Bertini, F.; Glatz, M.; Gorgas, N.; Stöger, B.; Peruzzini, M.; Veiros, L.F.; Kirchner, K.; Gonsalvi, L. Carbon Dioxide Hydrogenation Catalyzed by Well-Defined Mn(I) PNP Pincer Hydride Complexes. Chem. Sci. 2017, 8, 5024–5029. [Google Scholar] [CrossRef] [PubMed]
- Kumar, A.; Daw, P.; Espinosa-Jalapa, N.A.; Leitus, G.; Shimon, L.J.W.; Ben-David, Y.; Milstein, D. CO2 Activation by Manganese Pincer Complexes through Different Modes of Metal-Ligand Cooperation. Dalton Trans. 2019, 48, 14580–14584. [Google Scholar] [CrossRef] [PubMed]
- Mukherjee, A.; Srimani, D.; Ben-David, Y.; Milstein, D. Low-Pressure Hydrogenation of Nitriles to Primary Amines Catalyzed by Ruthenium Pincer Complexes. Scope and Mechanism. ChemCatChem 2017, 9, 559–563. [Google Scholar] [CrossRef]
- Hernández-Juarez, M.; Vaquero, M.; Álvarez, E.; Salazar, V.; Suárez, A.; González, E.A. Hydrogenation of Imines Catalysed by Ruthenium(ii) Complexes Based on Lutidine-Derived CNC Pincer Ligands. Dalton Trans. 2013, 42, 351–354. [Google Scholar] [CrossRef] [PubMed]
- Zeng, R.; Feller, M.; Ben-David, Y.; Milstein, D. Hydrogenation and Hydrosilylation of Nitrous Oxide Homogeneously Catalyzed by a Metal Complex. J. Am. Chem. Soc. 2017, 139, 5720–5723. [Google Scholar] [CrossRef]
- Gunanathan, C.; Milstein, D. Applications of Acceptorless Dehydrogenation and Related Transformations in Chemical Synthesis. Science 2013, 341, 1229712. [Google Scholar] [CrossRef]
- Siddiki, S.M.A.H.; Toyao, T.; Shimizu, K. Acceptorless Dehydrogenative Coupling Reactions with Alcohols over Heterogeneous Catalysts. Green Chem. 2018, 20, 2933–2952. [Google Scholar] [CrossRef]
- Friedrich, A.; Schneider, S. Acceptorless Dehydrogenation of Alcohols: Perspectives for Synthesis and H2 Storage. ChemCatChem 2009, 1, 72–73. [Google Scholar] [CrossRef]
- Trincado, M.; Banerjee, D.; Grützmacher, H. Molecular Catalysts for Hydrogen Production from Alcohols. Energy Environ. Sci. 2014, 7, 2464–2503. [Google Scholar] [CrossRef]
- Crabtree, R.H. Homogeneous Transition Metal Catalysis of Acceptorless Dehydrogenative Alcohol Oxidation: Applications in Hydrogen Storage and to Heterocycle Synthesis. Chem. Rev. 2017, 117, 9228–9246. [Google Scholar] [CrossRef]
- Kumar, A.; Bhatti, T.M.; Goldman, A. Dehydrogenation of Alkanes and Aliphatic Groups by Pincer-Ligated Metal Complexes. Chem. Rev. 2017, 117, 12357–12384. [Google Scholar] [CrossRef]
- Charman, H.B. Hydride Transfer Reactions Catalyzed by Rhodium–Tin Complexes. J. Chem. Soc. B 1970, 584–587. [Google Scholar] [CrossRef]
- Dobscn, A.; Robinson, S.D. Catalytic Dehydrogenation of Primary and Secondary Alcohols by Ru(OCOCF3)2(CO)(PPh3)2. J. Organomet. Chem. 1975, 87, C52–C53. [Google Scholar] [CrossRef]
- Morton, D.; Cole-Hamilton, D.J. Rapid thermal hydrogen production from alcohols catalyzed by [Rh(2,2’-bipyridyl)2]Cl. J. Chem. Soc. Chem. Commun. 1987, 248–249. [Google Scholar] [CrossRef]
- Zhang, J.; Gandelman, M.; Shimon, L.J.W.; Rozenberg, H.; Milstein, D. Electron-Rich, Bulky Ruthenium PNP-Type Complexes. Acceptorless Catalytic Alcohol Dehydrogenation. Organometallics 2004, 23, 4026–4033. [Google Scholar] [CrossRef]
- Fujita, K.; Tanino, N.; Yamaguchi, R. Ligand-Promoted Dehydrogenation of Alcohols Catalyzed by Cp*Ir Complexes. A New Catalytic System for Oxidant-Free Oxidation of Alcohols. Org. Lett. 2007, 9, 109–111. [Google Scholar] [CrossRef]
- Zhang, J.; Leitus, G.; Ben-David, Y.; Milstein, D. Facile Conversion of Alcohols into Esters and Dihydrogen Catalyzed by New Ruthenium Complexes. J. Am. Chem. Soc. 2005, 127, 10840–10841. [Google Scholar] [CrossRef]
- He, L.-P.; Chen, T.; Gong, D.; Lai, Z.; Huang, K.-W. Enhanced Reactivities toward Amines by Introducing an Imine Arm to the Pincer Ligand: Direct Coupling of Two Amines To Form an Imine Without Oxidant. Organometallics 2012, 31, 5208–5211. [Google Scholar] [CrossRef]
- Zeng, G.; Chen, T.; He, L.; Pinnau, I.; Lai, Z.; Huang, K.-W. A Green Approach to Ethyl Acetate: Quantitative Conversion of Ethanol through Direct Dehydrogenation in a Pd-Ag Membrane Reactor. Chem. Eur. J. 2012, 18, 15940–15943. [Google Scholar] [CrossRef]
- Cheisson, T.; Mazaud, L.; Auffrant, A. Ruthenium Complexes Featuring Cooperative Phosphine–Pyridine–Iminophophorane (PNN) ligands: Synthesis, reactivity and catalytic activity. Dalton Trans. 2018, 47, 14521–14530. [Google Scholar] [CrossRef]
- Langer, R.; Fuchs, I.; Vogt, M.; Balaraman, E.; Diskin-Posner, Y.; Shimon, L.J.W.; Ben-David, Y.; Milstein, D. Stepwise Metal-Ligand Cooperation by a Reversible Aromatization/Deconjugation Sequence in Ruthenium Complexes with a Tetradentate Phenanthroline-Based Ligand. Chem. Eur. J. 2013, 19, 3407–3414. [Google Scholar] [CrossRef]
- Hunsicker, D.M.; Dauphinais, B.C.; Mc Ilrath, S.P.; Robertson, N.J. Synthesis of High Molecular Weight Polyesters via In Vacuo Dehydrogenation Polymerization of Diols. Macromol. Rapid Commun. 2011, 33, 232–236. [Google Scholar] [CrossRef]
- Srimani, D.; Gnanaprakasam, B.; Milstein, D.; Ben-David, Y.; Balaraman, E. Ruthenium Pincer-Catalyzed Cross-Dehydrogenative Coupling of Primary Alcohols with Secondary Alcohols under Neutral Conditions. Adv. Synth. Catal. 2012, 354, 2403–2406. [Google Scholar] [CrossRef]
- Gnanaprakasam, B.; Milstein, D.; Ben-David, Y. Ruthenium Pincer-Catalyzed Acylation of Alcohols Using Esters with Liberation of Hydrogen under Neutral Conditions. Adv. Synth. Catal. 2010, 352, 3169–3173. [Google Scholar] [CrossRef]
- Gunanathan, C.; Ben-David, Y.; Milstein, D. Direct Synthesis of Amides from Alcohols and Amines with Liberation of H2. Science 2007, 317, 790–792. [Google Scholar] [CrossRef]
- Gnanaprakasam, B.; Balaraman, E.; Ben-David, Y.; Milstein, D. Synthesis of Peptides and Pyrazines from β-Amino Alcohols through Extrusion of H2 Catalyzed by Ruthenium Pincer Complexes: Ligand-Controlled Selectivity. Angew. Chem. Int. Ed. 2011, 50, 12240–12244. [Google Scholar] [CrossRef]
- Zeng, H.; Guan, Z.N. Direct Synthesis of Polyamides via Catalytic Dehydrogenation of Diols and Diamines. J. Am. Chem. Soc. 2011, 133, 1159–1161. [Google Scholar] [CrossRef]
- Gnanaprakasam, B.; Balaraman, E.; Gunanathan, C.; Milstein, D. Synthesis of Polyamides from Diols and Diamines with Liberation of H2. J. Polym. Sci. Part A Polym. Chem. 2012, 50, 1755–1765. [Google Scholar] [CrossRef]
- Gnanaprakasam, B.; Milstein, D. Synthesis of Amides from Esters and Amines with Liberation of H2 under Neutral Conditions. J. Am. Chem. Soc. 2011, 133, 1682–1685. [Google Scholar] [CrossRef]
- Gnanaprakasam, B.; Zhang, J.; Milstein, D. Direct Synthesis of Imines from Alcohols and Amines with Liberation of H2. Angew. Chem. Int. Ed. 2010, 49, 1468–1471. [Google Scholar] [CrossRef]
- Mukherjee, A.; Nerush, A.; Leitus, G.; Shimon, L.J.W.; Ben-David, Y.; Jalapa, N.A.E.; Milstein, D. Manganese-Catalyzed Environmentally Benign Dehydrogenative Coupling of Alcohols and Amines to form Aldimines and H2: A Catalytic and Mechanistic Study. J. Am. Chem. Soc. 2016, 138, 4298–4301. [Google Scholar] [CrossRef]
- Mastalir, M.; Glatz, M.; Gorgas, N.; Stöger, B.; Pittenauer, E.; Allmaier, G.; Veiros, L.F.; Kirchner, K. Divergent Coupling of Alcohols and Amines Catalyzed by Isoelectronic Hydride MnI and FeII PNP Pincer Complexes. Chem. Eur. J. 2016, 22, 12316–12320. [Google Scholar] [CrossRef]
- Chang, Y.-H.; Tanigawa, I.; Taguchi, H.-O.; Takeuchi, K.; Ozawa, F. Iridium(I) Complexes Bearing a Noninnocent PNP-Pincer-Type Phosphaalkene Ligand: Catalytic Application in the Base-Free N-Alkylation of Amines with Alcohols. Eur. J. Inorg. Chem. 2016, 754–760. [Google Scholar] [CrossRef]
- Bauer, J.O.; Leitus, G.; Ben-David, Y.; Milstein, D. Direct Synthesis of Symmetrical Azines from Alcohols and Hydrazine Catalyzed by a Ruthenium Pincer Complex: Effect of Hydrogen Bonding. ACS Catal. 2016, 6, 8415–8419. [Google Scholar] [CrossRef]
- Das, U.K.; Ben-David, Y.; Diskin-Posner, Y.; Milstein, D. N-Substituted Hydrazones by Manganese-Catalyzed Coupling of Alcohols with Hydrazine: Borrowing Hydrogen and Acceptorless Dehydrogenation in One System. Angew. Chem. Int. Ed. 2018, 57, 2179–2182. [Google Scholar] [CrossRef]
- Katritzky, A.R.; Ramsden, C.A.; Joule, J.A.; Zhdankin, V.V. Handbook of Heterocyclic Chemistry, 3rd ed.; Elsevier: Amsterdam, The Netherland, 2010; ISBN 978-0-080-95844-6. [Google Scholar]
- Hille, T.; Irrgang, T.; Kempe, R. The Synthesis of Benzimidazoles and Quinoxalines from Aromatic Diamines and Alcohols by Iridium-Catalyzed Acceptorless Dehydrogenative Alkylation. Chem. Eur. J. 2014, 20, 5569–5572. [Google Scholar] [CrossRef]
- Deibl, N.; Kempe, R. Manganese-Catalyzed Multicomponent Synthesis of Pyrimidines from Alcohols and Amidines. Angew. Chem. Int. Ed. 2017, 56, 1663–1666. [Google Scholar] [CrossRef]
- Khaghaninejad, S.; Heravi, M.M. Paal–Knorr Reaction in the Synthesis of Heterocyclic Compounds. Adv. Heterocycl. Chem. 2014, 111, 95–146. [Google Scholar]
- Michlik, S.; Kempe, R. A Sustainable Catalytic Pyrrole Synthesis. Nat. Chem. 2013, 5, 140–144. [Google Scholar] [CrossRef]
- Srimani, D.; Ben-David, Y.; Milstein, D. Direct Synthesis of Pyrroles by Dehydrogenative Coupling of β-Aminoalcohol with Secondary Alcohols Catalyzed by Ruthenium Pincer Complexes. Angew. Chem. Int. Ed. 2013, 52, 4012–4015. [Google Scholar] [CrossRef]
- Kallmeier, F.; Dudziec, B.; Irrgang, T.; Kempe, R. Manganese-Catalyzed Sustainable Synthesis of Pyrroles from Alcohols and Amino Alcohols. Angew. Chem. Int. Ed. 2017, 56, 7261–7265. [Google Scholar] [CrossRef]
- Daw, P.; Chakraborty, S.; Garg, J.A.; Ben-David, Y.; Milstein, D. Direct Synthesis of Pyrroles by Dehydrogenative Coupling of Diols and Amines Catalyzed by Cobalt Pincer Complexes. Angew. Chem. Int. Ed. 2016, 55, 14373–14377. [Google Scholar] [CrossRef]
- Borghs, J.C.; Azofra, L.M.; Biberger, T.; Linnenberg, O.; Cavallo, L.; Rueping, M.; El-Sepelgy, O. Manganese-Catalyzed Multicomponent Synthesis of Pyrroles through Acceptorless Dehydrogenation Hydrogen Autotransfer Catalysis: Experiment and Computation. ChemSusChem 2019, 12, 3083–3088. [Google Scholar] [CrossRef]
- Additions to C–X Π-Bonds, Part 2. In Comprehensive Organic Synthesis, 2nd ed.; Knochel, P., Molander, G.A., Eds.; Elsevier: Amsterdam, The Netherland, 2014; Volume 2, ISBN 978-0-080-97743-0. [Google Scholar]
- Corma, A.; Navas, J.; Sabater, M.J. Advances in One-Pot Synthesis through Borrowing Hydrogen Catalysis. Chem. Rev. 2018, 118, 1410–1459. [Google Scholar] [CrossRef]
- Irrgang, T.; Kempe, R. 3d-Metal Catalyzed N- and C-Alkylation Reactions via Borrowing Hydrogen or Hydrogen Autotransfer. Chem. Rev. 2018, 119, 2524–2549. [Google Scholar] [CrossRef]
- Obora, Y. Recent Advances in α-Alkylation Reactions using Alcohols with Hydrogen Borrowing Methodologies. ACS Catal. 2014, 4, 3972–3981. [Google Scholar] [CrossRef]
- Shimizu, K. Heterogeneous Catalysis for the Direct Synthesis of Chemicals by Borrowing Hydrogen Methodology. Catal. Sci. Technol. 2015, 5, 1412–1427. [Google Scholar] [CrossRef]
- Zhang, G.; Irrgang, T.; Dietel, T.; Kallmeier, F.; Kempe, R. Manganese-Catalyzed Dehydrogenative Alkylation or α-Olefination of Alkyl-Substituted N-Heteroarenes with Alcohols. Angew. Chem. Int. Ed. 2018, 57, 9131–9135. [Google Scholar] [CrossRef]
- Gawali, S.S.; Pandia, B.K.; Gunanathan, C. Manganese(I)-Catalyzed α-Alkenylation of Ketones Using Primary Alcohols. Org. Lett. 2019, 21, 3842–3847. [Google Scholar] [CrossRef]
- Gawali, S.S.; Pandia, B.K.; Pal, S.; Gunanathan, C. Manganese(I)-Catalyzed Cross-Coupling of Ketones and Secondary Alcohols with Primary Alcohols. ACS Omega 2019, 4, 10741–10754. [Google Scholar] [CrossRef]
- Balaraman, E.; Khaskin, E.; Leitus, G.; Milstein, D. Catalytic Transformation of Alcohols to Carboxylic Acid Salts and H2 Using Water as the Oxygen Atom Source. Nat. Chem. 2013, 5, 122–125. [Google Scholar] [CrossRef]
- Hu, P.; Diskin-Posner, Y.; Ben-David, Y.; Milstein, D. Reusable Homogeneous Catalytic System for Hydrogen Production from Methanol and Water. ACS Catal. 2014, 4, 2649–2652. [Google Scholar] [CrossRef]
- Vogt, M.; Nerush, A.; Diskin-Posner, Y.; Ben-David, Y.; Milstein, D. Reversible CO2 Binding Triggered by Metal–Ligand Cooperation in a Rhenium(I) PNP Pincer-Type Complex and the Reaction with Dihydrogen. Chem. Sci. 2014, 5, 2043–2051. [Google Scholar] [CrossRef]
- Luconi, L.; Demirci, U.B.; Peruzzini, M.; Giambastiani, G.; Rossin, A. Ammonia Borane and Hydrazine Bis(borane) Dehydrogenation Mediated by an Unsymmetrical (PNN) Ruthenium Pincer Hydride: Metal–Ligand Cooperation for Hydrogen Production. Sustain. Energy Fuels 2019, 3, 2583–2596. [Google Scholar] [CrossRef]
- Bruffaerts, J.; Von Wolff, N.; Diskin-Posner, Y.; Ben-David, Y.; Milstein, D. Formamides as Isocyanate Surrogates: A Mechanistically Driven Approach to the Development of Atom-Efficient, Selective Catalytic Syntheses of Ureas, Carbamates, and Heterocycles. J. Am. Chem. Soc. 2019, 141, 16486–16493. [Google Scholar] [CrossRef]
- Štefane, B.; Požgan, F. Advances in Catalyst Systems for the Asymmetric Hydrogenation and Transfer Hydrogenation of Ketones. Catal. Rev. 2014, 56, 82–174. [Google Scholar] [CrossRef]
- Ito, J.; Nishiyama, H. Recent Topics of Transfer Hydrogenation. Tetrahedron Lett. 2014, 55, 3133–3146. [Google Scholar] [CrossRef]
- Wang, N.; Astruc, D. The Golden Age of Transfer Hydrogenation. Chem. Rev. 2015, 115, 6621–6686. [Google Scholar] [CrossRef] [PubMed]
- Matsunami, A.; Kayaki, Y. Upgrading and Expanding the Scope of Homogeneous Transfer Hydrogenation. Tetrahedron Lett. 2018, 59, 504–513. [Google Scholar] [CrossRef]
- Warner, M.C.; Casey, C.P.; Bäckvall, J.-E. Shvo’s Catalyst in Hydrogen Transfer Reactions. In Organometallics in Process Chemistry; Springer Science and Business Media LLC: Berlin, Germany, 2011; Volume 37, pp. 85–125. ISBN 978-3-642-20731-0. [Google Scholar]
- Fujii, A.; Hashiguchi, S.; Uematsu, N.; Ikariya, T.; Noyori, R. Ruthenium(II)-Catalyzed Asymmetric Transfer Hydrogenation of Ketones Using a Formic Acid−Triethylamine Mixture. J. Am. Chem. Soc. 1996, 118, 2521–2522. [Google Scholar] [CrossRef]
- He, L.-P.; Chen, T.; Xue, D.-X.; Eddaoudi, M.; Huang, K.-W. Efficient Transfer Hydrogenation Reaction Catalyzed by a Dearomatized PN3P ruthenium pincer complex under base-free Conditions. J. Organomet. Chem. 2012, 700, 202–206. [Google Scholar] [CrossRef]
- Chen, T.; He, L.-P.; Gong, D.; Yang, L.; Miao, X.; Eppinger, J.; Huang, K.-W. Ruthenium(II) Pincer Complexes with Oxazoline Arms for Efficient Transfer Hydrogenation Reactions. Tetrahedron Lett. 2012, 53, 4409–4412. [Google Scholar] [CrossRef]
- Guillena, G.; Ramón, D.J.; Yus, M. Hydrogen Autotransfer in the N-Alkylation of Amines and Related Compounds using Alcohols and Amines as Electrophiles. Chem. Rev. 2009, 110, 1611–1641. [Google Scholar] [CrossRef]
- Bähn, S.; Imm, S.; Neubert, L.; Zhang, M.; Neumann, H.; Beller, M. The Catalytic Amination of Alcohols. ChemCatChem 2011, 3, 1853–1864. [Google Scholar] [CrossRef]
- Yang, Q.; Wang, Q.; Yu, Z. Substitution of Alcohols by N-Nucleophiles via Transition Metal-Catalyzed Dehydrogenation. Chem. Soc. Rev. 2015, 44, 2305–2329. [Google Scholar] [CrossRef]
- Guo, L.; Liu, Y.; Yao, W.; Leng, X.; Huang, Z. Iridium-Catalyzed Selective α-Alkylation of Unactivated Amides with Primary Alcohols. Org. Lett. 2013, 15, 1144–1147. [Google Scholar] [CrossRef]
- Montag, M.; Zhang, J.; Milstein, D. Aldehyde Binding through Reversible C–C Coupling with the Pincer Ligand upon Alcohol Dehydrogenation by a PNP–Ruthenium Catalyst. J. Am. Chem. Soc. 2012, 134, 10325–10328. [Google Scholar] [CrossRef]
- Huff, C.A.; Kampf, J.W.; Sanford, M.S. Role of a Noninnocent Pincer Ligand in the Activation of CO2 at (PNN)Ru(H)(CO). Organometallics 2012, 31, 4643–4645. [Google Scholar] [CrossRef]
- Vogt, M.; Wheelaghan, O.R.; Iron, M.A.; Leitus, G.; Diskin-Posner, Y.; Shimon, L.J.W.; Ben-David, Y.; Milstein, D. Anionic Nickel(II) Complexes with Doubly Deprotonated PNP Pincer-Type Ligands and Their Reactivity toward CO2. Organometallics 2012, 32, 300–308. [Google Scholar] [CrossRef]
- Vogt, M.; Nerush, A.; Iron, M.A.; Leitus, G.; Diskin-Posner, Y.; Shimon, L.J.W.; Ben-David, Y.; Milstein, D. Activation of Nitriles by Metal Ligand Cooperation. Reversible Formation of Ketimido- and Enamido-Rhenium PNP Pincer Complexes and Relevance to Catalytic Design. J. Am. Chem. Soc. 2013, 135, 17004–17018. [Google Scholar] [CrossRef] [PubMed]
- Nerush, A.; Vogt, M.; Gellrich, U.; Leitus, G.; Ben-David, Y.; Milstein, D. Template Catalysis by Metal–Ligand Cooperation. C–C Bond Formation via Conjugate Addition of Non-Activated Nitriles under Mild, Base-Free Conditions Catalyzed by a Manganese Pincer Complex. J. Am. Chem. Soc. 2016, 138, 6985–6997. [Google Scholar] [CrossRef]
- Nising, C.F.; Bräse, S. The Oxa-Michael Reaction: From Recent Developments to Applications in Natural Product Synthesis. Chem. Soc. Rev. 2008, 37, 1218–1228. [Google Scholar] [CrossRef]
- Nising, C.F.; Bräse, S.; Bräse, S. Recent Developments in the Field of Oxa-Michael Reactions. Chem. Soc. Rev. 2012, 41, 988–999. [Google Scholar] [CrossRef]
- Perdriau, S.; Zijlstra, D.S.; Heeres, H.J.; de Vries, J.G.; Otten, E. A Metal-Ligand Cooperative Pathway for Intermolecular Oxa-Michael Additions to Unsaturated Nitriles. Angew. Chem. Int. Ed. 2015, 54, 4236–4240. [Google Scholar] [CrossRef]
- Guo, B.; Zijlstra, D.S.; de Vries, J.G.; Otten, E. Oxa-Michael Addition to α,β-Unsaturated Nitriles: An Expedient Route to γ-Amino Alcohols and Derivatives. ChemCatChem 2018, 10, 2868–2872. [Google Scholar] [CrossRef]
- Tang, S.; Milstein, D. Template Catalysis by Manganese Pincer Complexes: Oxa- and Aza-Michael Additions to Unsaturated Nitriles. Chem. Sci. 2019, 10, 8990–8994. [Google Scholar] [CrossRef]
- Guo, B.; de Vries, J.G.; Otten, E. Hydration of Nitriles Using a Metal-Ligand Cooperative Ruthenium Pincer Catalyst. Chem. Sci. 2019, 10, 10647–10652. [Google Scholar] [CrossRef]
- Anaby, A.; Butschke, B.; Ben-David, Y.; Shimon, L.J.W.; Leitus, G.; Feller, M.; Milstein, D. B–H Bond Cleavage via Metal–Ligand Cooperation by Dearomatized Ruthenium Pincer Complexes. Organometallics 2014, 33, 3716–3726. [Google Scholar] [CrossRef]
- Scharf, A.; Goldberg, I.; Vigalok, A. Evidence for Metal–Ligand Cooperation in a Pd–PNF Pincer-Catalyzed Cross-Coupling. J. Am. Chem. Soc. 2012, 135, 967–970. [Google Scholar] [CrossRef] [PubMed]
- Frank, J.; Katritzky, A.R. Tautomeric pyridines. Part XV. Pyridone-Hydroxypyridine Equilibria in Solvents of Differing Polarity. J. Chem. Soc. Perkin Trans. 1976, 2, 1428–1431. [Google Scholar] [CrossRef]
- Hejazi, S.A.; Osman, O.I.; Alyoubi, A.O.; Aziz, S.G.; Hilal, A.R. The Thermodynamic and Kinetic Properties of 2-Hydroxypyridine/2-Pyridone Tautomerization: A Theoretical and Computational Revisit. Int. J. Mol. Sci. 2016, 17, 1893. [Google Scholar] [CrossRef] [PubMed]
- Royer, A.M.; Rauchfuss, T.B.; Gray, D.L. Organoiridium Pyridonates and Their Role in the Dehydrogenation of Alcohols. Organometallics 2010, 29, 6763–6768. [Google Scholar] [CrossRef]
- Tard, C.; Pickett, C.J. Structural and Functional Analogues of the Active Sites of the [Fe]-, [NiFe]-, and [FeFe]-Hydrogenases. Chem. Rev. 2009, 109, 2245–2274. [Google Scholar] [CrossRef]
- Lubitz, W.; Ogata, H.; Rüdiger, O.; Reijerse, E.; Rüdiger, O. Hydrogenases. Chem. Rev. 2014, 114, 4081–4148. [Google Scholar] [CrossRef]
- Moore, C.M.; Dahl, E.; Szymczak, N.K. Beyond H2: Exploiting 2-Hydroxypyridine as a Design Element from [Fe]-Hydrogenase for Energy-Relevant Catalysis. Curr. Opin. Chem. Boil. 2015, 25, 9–17. [Google Scholar] [CrossRef]
- Kawahara, R.; Fujita, K.; Yamaguchi, R. Cooperative Catalysis by Iridium Complexes with a Bipyridonate Ligand: Versatile Dehydrogenative Oxidation of Alcohols and Reversible Dehydrogenation-Hydrogenation between 2-Propanol and Acetone. Angew. Chem. Int. Ed. 2012, 51, 12790–12794. [Google Scholar] [CrossRef]
- Onoda, M.; Nagano, Y.; Fujita, K. Iridium-Catalyzed Dehydrogenative Lactonization of 1,4-Butanediol and Reversal Hydrogenation: New Hydrogen Storage System Using Cheap Organic Resources. Int. J. Hydrogen Energy 2019, 44, 28514–28520. [Google Scholar] [CrossRef]
- Hull, J.F.; Himeda, Y.; Wang, W.-H.; Hashiguchi, B.; Periana, R.; Szalda, D.J.; Muckerman, J.T.; Fujita, E. Reversible Hydrogen Storage Using CO2 and a Proton-Switchable Iridium Catalyst in Aqueous Media under Mild Temperatures and Pressures. Nat. Chem. 2012, 4, 383–388. [Google Scholar] [CrossRef] [PubMed]
- Wang, W.-H.; Muckerman, J.T.; Fujita, E.; Himeda, Y. Mechanistic Insight through Factors Controlling Effective Hydrogenation of CO2 Catalyzed by Bioinspired Proton-Responsive Iridium(III) Complexes. ACS Catal. 2013, 3, 856–860. [Google Scholar] [CrossRef]
- Wang, L.; Onishi, N.; Murata, K.; Hirose, T.; Muckerman, J.T.; Fujita, E.; Himeda, Y. Inside Cover: Efficient Hydrogen Storage and Production Using a Catalyst with an Imidazoline-Based, Proton-Responsive Ligand (ChemSusChem 6/2017). ChemSusChem 2017, 10, 1035. [Google Scholar] [CrossRef]
- Wang, W.-H.; Hull, J.F.; Muckerman, J.T.; Fujita, E.; Himeda, Y. Second-Coordination-Sphere and Electronic Effects Enhance Iridium(iii)-Catalyzed Homogeneous Hydrogenation of Carbon Dioxide in Water Near Ambient Temperature and Pressure. Energy Environ. Sci. 2012, 5, 7923. [Google Scholar] [CrossRef]
- Suna, Y.; Ertem, M.Z.; Wang, W.-H.; Kambayashi, H.; Manaka, Y.; Muckerman, J.T.; Fujita, E.; Himeda, Y. Positional Effects of Hydroxy Groups on Catalytic Activity of Proton-Responsive Half-Sandwich Cp*Iridium(III) Complexes. Organometallics 2014, 33, 6519–6530. [Google Scholar] [CrossRef]
- Siek, S.; Burks, D.B.; Gerlach, D.L.; Liang, G.; Tesh, J.M.; Thompson, C.R.; Qu, F.; Shankwitz, J.E.; Vasquez, R.M.; Chambers, N.; et al. Iridium and Ruthenium Complexes of N-Heterocyclic Carbene- and Pyridinol-Derived Chelates as Catalysts for Aqueous Carbon Dioxide Hydrogenation and Formic Acid Dehydrogenation: The Role of the Alkali Metal. Organometallics 2017, 36, 1091–1106. [Google Scholar] [CrossRef]
- Sahoo, A.R.; Jiang, F.; Bruneau, C.; Sharma, G.V.M.; Suresh, S.; Roisnel, T.; Dorcet, V.; Achard, M.J. Phosphine-Pyridonate Ligands Containing Octahedral Ruthenium Complexes: Access to Esters and Formic Acid. Catal. Sci. Technol. 2017, 7, 3492–3498. [Google Scholar] [CrossRef]
- Dubey, A.; Nencini, L.; Fayzullin, R.R.; Nervi, C.; Khusnutdinova, J.R. Bio-Inspired Mn(I) Complexes for the Hydrogenation of CO2 to Formate and Formamide. ACS Catal. 2017, 7, 3864–3868. [Google Scholar] [CrossRef]
- Crabtree, R.H. Hydrogen Storage in Liquid Organic Heterocycles. Energy Environ. Sci. 2008, 1, 134. [Google Scholar] [CrossRef]
- Shimbayashi, T.; Fujita, K. Metal-Catalyzed Hydrogenation and Dehydrogenation Reactions for Efficient Hydrogen Storage. Tetrahedron 2020, 76, 130946. [Google Scholar] [CrossRef]
- Yamaguchi, R.; Ikeda, C.; Takahashi, Y.; Fujita, K. Homogeneous Catalytic System for Reversible Dehydrogenation–Hydrogenation Reactions of Nitrogen Heterocycles with Reversible Interconversion of catalytic species. J. Am. Chem. Soc. 2009, 131, 8410–8412. [Google Scholar] [CrossRef]
- Fujita, K.; Tanaka, Y.; Kobayashi, M.; Yamaguchi, R. Homogeneous Perdehydrogenation and Perhydrogenation of Fused Bicyclic N-Heterocycles Catalyzed by Iridium Complexes Bearing a Functional Bipyridonate Ligand. J. Am. Chem. Soc. 2014, 136, 4829–4832. [Google Scholar] [CrossRef]
- Fujita, K.; Wada, T.; Shiraishi, T. Reversible Interconversion between 2,5-Dimethylpyrazine and 2,5-Dimethylpiperazine by Iridium-Catalyzed Hydrogenation/Dehydrogenation for Efficient Hydrogen Storage. Angew. Chem. Int. Ed. 2017, 56, 10886–10889. [Google Scholar] [CrossRef]
- Maji, B.; Choudhury, J. Switchable Hydrogenation with a Betaine-Derived Bifunctional Ir-NHC Catalyst. Chem. Commun. 2019, 55, 4574–4577. [Google Scholar] [CrossRef]
- Fujita, K. Development and Application of New Iridium Catalysts for Efficient Dehydrogenative Reactions of Organic Molecules. Bull. Chem. Soc. Jpn. 2019, 92, 344–351. [Google Scholar] [CrossRef]
- Fujita, K.; Yoshida, T.; Imori, Y.; Yamaguchi, R. Dehydrogenative Oxidation of Primary and Secondary Alcohols Catalyzed by a Cp*Ir Complex Having a Functional C,N-Chelate Ligand. Org. Lett. 2011, 13, 2278–2281. [Google Scholar] [CrossRef]
- Kawahara, R.; Fujita, K.; Yamaguchi, R. Dehydrogenative Oxidation of Alcohols in Aqueous Media Using Water-Soluble and Reusable Cp*Ir Catalysts Bearing a Functional Bipyridine Ligand. J. Am. Chem. Soc. 2012, 134, 3643–3646. [Google Scholar] [CrossRef]
- Toyomura, K.; Fujita, K. Synthesis of Coordinatively Unsaturated Iridium Complexes Having Functional 8-Quinolinolato Ligands: New Catalysts for Dehydrogenative Oxidation of Alcohols in Aqueous Media. Chem. Lett. 2017, 46, 808–810. [Google Scholar] [CrossRef]
- Fujita, K.; Tamura, R.; Tanaka, Y.; Yoshida, M.; Onoda, M.; Yamaguchi, R. Dehydrogenative Oxidation of Alcohols in Aqueous Media Catalyzed by a Water-Soluble Dicationic Iridium Complex Bearing a Functional N-Heterocyclic Carbene Ligand without Using Base. ACS Catal. 2017, 7, 7226–7230. [Google Scholar] [CrossRef]
- Yoshida, M.; Wang, H.; Shimbayashi, T.; Fujita, K. Dehydrogenative Transformation of Alcoholic Substrates in Aqueous Media Catalyzed by an Iridium Complex Having a Functional Ligand with α-Hydroxypyridine and 4,5-Dihydro-1H-imidazol-2-yl Moieties. Catalysts 2018, 8, 312. [Google Scholar] [CrossRef]
- Zeng, G.; Sakaki, S.; Fujita, K.; Sano, H.; Yamaguchi, R. Efficient Catalyst for Acceptorless Alcohol Dehydrogenation: Interplay of Theoretical and Experimental Studies. ACS Catal. 2014, 4, 1010–1020. [Google Scholar] [CrossRef]
- Kuwahara, M.; Nishioka, M.; Yoshida, M.; Fujita, K. A Sustainable Method for the Synthesis of Acetic Acid Based on Dehydrogenation of an Ethanol-Water Solution Catalyzed by an Iridium Complex Bearing a Functional Bipyridonate Ligand. ChemCatChem 2018, 10, 3636–3640. [Google Scholar] [CrossRef]
- Dahl, E.; Louis-Goff, T.; Szymczak, N.K. Second Sphere Ligand Modifications Enable a Recyclable Catalyst for Oxidant-Free Alcohol Oxidation to Carboxylates. Chem. Commun. 2017, 53, 2287–2289. [Google Scholar] [CrossRef]
- Fujita, K.; Kawahara, R.; Aikawa, T.; Yamaguchi, R. Hydrogen Production from a Methanol-Water Solution Catalyzed by an Anionic Iridium Complex Bearing a Functional Bipyridonate Ligand under Weakly Basic Conditions. Angew. Chem. Int. Ed. 2015, 54, 9057–9060. [Google Scholar] [CrossRef]
- de Boer, S.Y.; Korstanje, T.J.; La Rooij, S.R.; Kox, R.; Reek, J.N.H.; van der Vlugt, J.I. Ruthenium PNN(O) Complexes: Cooperative Reactivity and Application as Catalysts for Acceptorless Dehydrogenative Coupling Reactions. Organometallics 2017, 36, 1541–1549. [Google Scholar] [CrossRef]
- Fujita, K.; Ito, W.; Yamaguchi, R. Dehydrogenative Lactonization of Diols in Aqueous Media Catalyzed by a Water-Soluble Iridium Complex Bearing a Functional Bipyridine Ligand. ChemCatChem 2014, 45, 109–112. [Google Scholar] [CrossRef]
- Wang, R.; Fan, H.; Zhao, W.; Li, F. Acceptorless Dehydrogenative Cyclization of o-Aminobenzyl Alcohols with Ketones to Quinolines in Water Catalyzed by Water-Soluble Metal–Ligand Bifucntional Catalyst [Cp*(6,6‘-(OH)2bpy)(H2O)][OTf]2. Org. Lett. 2016, 18, 3558–3561. [Google Scholar] [CrossRef]
- Zhang, C.; Hu, B.; Chen, D.; Xia, H. Manganese(I)-Catalyzed Transfer Hydrogenation and Acceptorless Dehydrogenative Condensation: Promotional Influence of the Uncoordinated N-Heterocycle. Organometallics 2019, 38, 3218–3226. [Google Scholar] [CrossRef]
- Maji, M.; Chakrabarti, K.; Panja, D.; Kundu, S. Sustainable Synthesis of N-Heterocycles in Water Using Alcohols Following the Double Dehydrogenation Strategy. J. Catal. 2019, 373, 93–102. [Google Scholar] [CrossRef]
- Li, F.; Lu, L.; Liu, P. Acceptorless Dehydrogenative Coupling of o-Aminobenzamides with the Activation of Methanol as a C1 Source for the Construction of Quinazolinones. Org. Lett. 2016, 18, 2580–2583. [Google Scholar] [CrossRef]
- Chakrabarti, K.; Maji, M.; Kundu, S. Cooperative Iridium Complex-Catalyzed Synthesis of Quinoxalines, Benzimidazoles and Quinazolines in Water. Green Chem. 2019, 21, 1999–2004. [Google Scholar] [CrossRef]
- Maji, M.; Kundu, S. Cooperative Ruthenium Complex Catalyzed Multicomponent Synthesis of Pyrimidines. Dalton Trans. 2019, 48, 17479–17487. [Google Scholar] [CrossRef]
- Wang, W.-H.; Ertem, M.Z.; Xu, S.; Onishi, N.; Manaka, Y.; Suna, Y.; Kambayashi, H.; Muckerman, J.T.; Fujita, E.; Himeda, Y. Highly Robust Hydrogen Generation by Bioinspired Ir Complexes for Dehydrogenation of Formic Acid in Water: Experimental and Theoretical Mechanistic Investigations at Different pH. ACS Catal. 2015, 5, 5496–5504. [Google Scholar] [CrossRef]
- Nieto, I.; Livings, M.S.; Sacci, J.B.; Reuther, L.E.; Zeller, M.; Papish, E.T. Transfer Hydrogenation in Water via a Ruthenium Catalyst with OH Groups near the Metal Center on a bipy Scaffold. Organometallics 2011, 30, 6339–6342. [Google Scholar] [CrossRef]
- Moore, C.M.; Szymczak, N.K. 6,6’-Dihydroxy Terpyridine: A Proton-Responsive Bifunctional Ligand and Its Application in Catalytic Transfer Hydrogenation of Ketones. Chem. Commun. 2013, 49, 400–402. [Google Scholar] [CrossRef]
- Shi, J.; Hu, B.; Gong, D.; Shang, S.; Hou, G.; Chen, D. Ruthenium Complexes Bearing an Unsymmetrical Pincer Ligand with a 2-Hydroxypyridylmethylene Fragment: Active Catalysts for Transfer Hydrogenation of Ketones. Dalton Trans. 2016, 45, 4828–4834. [Google Scholar] [CrossRef]
- Shi, J.; Hu, B.; Chen, X.; Shang, S.; Deng, D.; Sun, Y.; Shi, W.; Yang, X.; Chen, D. Synthesis, Reactivity, and Catalytic Transfer Hydrogenation Activity of Ruthenium Complexes Bearing NNN Tridentate Ligands: Influence of the Secondary Coordination Sphere. ACS Omega 2017, 2, 3406–3416. [Google Scholar] [CrossRef]
- Shi, J.; Shang, S.; Hu, B.; Chen, D. Ruthenium NNN Complexes with a 2-Hydroxypyridylmethylene Fragment for Transfer Hydrogenation of Ketones. Appl. Organomet. Chem. 2017, 32, e4100. [Google Scholar] [CrossRef]
- Paul, B.; Chakrabarti, K.; Kundu, S. Optimum Bifunctionality in a 2-(2-Pyridyl-2-ol)-1,10-phenanthroline Based Ruthenium Complex for Transfer Hydrogenation of Ketones and Nitriles: Impact of the Number of 2-Hydroxypyridine Fragments. Dalton Trans. 2016, 45, 11162–11171. [Google Scholar] [CrossRef]
- Wang, R.; Tang, Y.; Xu, M.; Meng, C.; Li, F. Transfer Hydrogenation of Aldehydes and Ketones with Isopropanol under Neutral Conditions Catalyzed by a Metal–Ligand Bifunctional Catalyst [Cp*Ir(2,2′-bpyO)(H2O)]. J. Org. Chem. 2018, 83, 2274–2281. [Google Scholar] [CrossRef]
- Yoshida, M.; Hirahata, R.; Inoue, T.; Shimbayashi, T.; Fujita, K. Iridium-Catalyzed Transfer Hydrogenation of Ketones and Aldehydes Using Glucose as a Sustainable Hydrogen Donor. Catalysts 2019, 9, 503. [Google Scholar] [CrossRef]
- Wang, R.; Han, X.; Xu, J.; Liu, P.; Li, F. Transfer Hydrogenation of Ketones and Imines with Methanol under Base-Free Conditions Catalyzed by an Anionic Metal–Ligand Bifunctional Iridium Catalyst. J. Org. Chem. 2020, 85, 2242–2249. [Google Scholar] [CrossRef] [PubMed]
- Fujita, K.; Uejima, T.; Yamaguchi, R. Hydrogen-Transfer Oxidation of Primary Alcohols Catalyzed by Iridium Complexes Bearing a Functional Pyridonate Ligand Using Isopropenyl Acetate as a Hydrogen Acceptor. Chem. Lett. 2013, 42, 1496–1498. [Google Scholar] [CrossRef]
- Li, F.; Ma, J.; Wang, N. α-Alkylation of Ketones with Primary Alcohols Catalyzed by a Cp*Ir Complex Bearing a Functional Bipyridonate Ligand. J. Org. Chem. 2014, 79, 10447–10455. [Google Scholar] [CrossRef] [PubMed]
- Zhang, C.; Zhao, J.-P.; Hu, B.; Shi, J.; Chen, D. Ruthenium-Catalyzed β-Alkylation of Secondary Alcohols and α-Alkylation of Ketones via Borrowing Hydrogen: Dramatic Influence of the Pendant N-Heterocycle. Organometallics 2019, 38, 654–664. [Google Scholar] [CrossRef]
- Roy, B.C.; Chakrabarti, K.; Shee, S.; Paul, S.; Kundu, S. Bifunctional RuII-Complex-Catalysed Tandem C−C Bond Formation: Efficient and Atom Economical Strategy for the Utilisation of Alcohols as Alkylating Agents. Chem. Eur. J. 2016, 22, 18147–18155. [Google Scholar] [CrossRef] [PubMed]
- Chakrabarti, K.; Paul, B.; Maji, M.; Roy, B.C.; Shee, S.; Kundu, S. Bifunctional Ru(II) Complex Catalyzed Carbon–Carbon Bond Formation: An Eco-Friendly Hydrogen Borrowing Strategy. Org. Biomol. Chem. 2016, 14, 10988–10997. [Google Scholar] [CrossRef]
- Shi, J.; Hu, B.; Ren, P.; Shang, S.; Yang, X.; Chen, D. Synthesis and Reactivity of Metal–Ligand Cooperative Bifunctional Ruthenium Hydride Complexes: Active Catalysts for β-Alkylation of Secondary Alcohols with Primary Alcohols. Organometallics 2018, 37, 2795–2806. [Google Scholar] [CrossRef]
- Salamanca, V.; Toledo, A.; Albeniz, A.C. [2,2′-Bipyridin]-6(1H)-one, A Truly Cooperating Ligand in the Palladium-Mediated C–H Activation Step: Experimental Evidence in the Direct C-3 Arylation of Pyridine. J. Am. Chem. Soc. 2018, 140, 17851–17856. [Google Scholar] [CrossRef]
© 2020 by the authors. Licensee MDPI, Basel, Switzerland. This article is an open access article distributed under the terms and conditions of the Creative Commons Attribution (CC BY) license (http://creativecommons.org/licenses/by/4.0/).




























































































