The Influence of Pluronic F-127 Modification on Nano Zero-Valent Iron (NZVI): Sedimentation and Reactivity with 2,4-Dichlorophenol in Water Using Response Surface Methodology
Abstract
1. Introduction
2. Results and Discussion
2.1. Structure and Performance of F-NZVI (F-127/Fe, m/m)
2.1.1. Morphology of NZVI and F-NZVI
2.1.2. FTIR Analysis
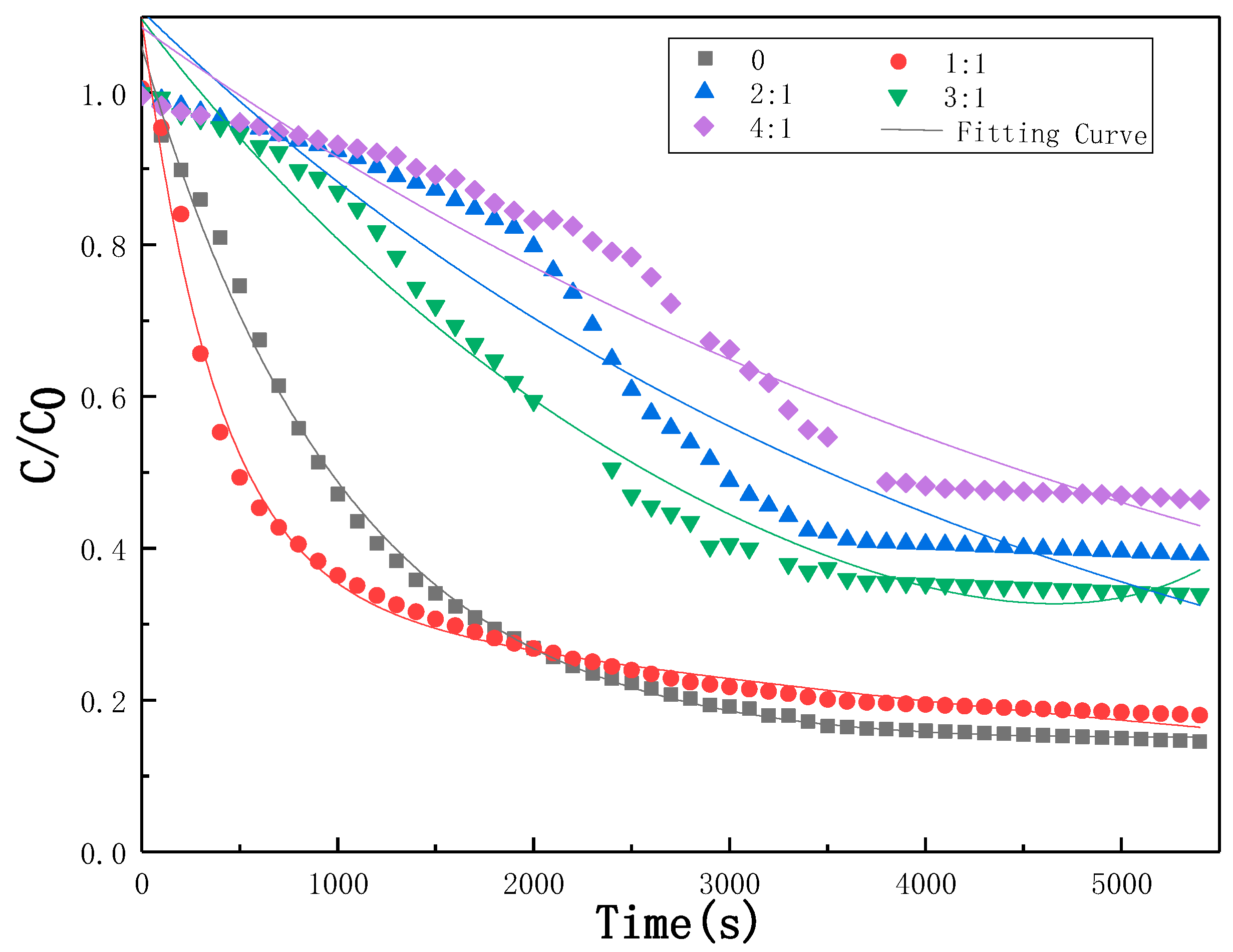
2.2. Sedimentation test of F-NZVI Particles with Different Mass Ratios
2.3. Analysis of 2,4-DCP Removal by RSM
2.3.1. 2,4-DCP Removal Rate Response Model and Variance Analysis
2.3.2. Quantitative Effects of the Factors
3. Materials and Methods
3.1. Chemicals and Materials
3.2. Preparation and Characterization of Bare NZVI and F-NZVI Particles
3.3. Stability Study of F-NZVI Particles with Different Mass Ratios
3.4. RSM Experimental Design
4. Conclusions
Author Contributions
Funding
Acknowledgments
Conflicts of Interest
References
- Munoz, M.; de Pedro, Z.M.; Casas, J.A.; Rodriguez, J.J. Improved wet peroxide oxidation strategies for the treatment of chlorophenols. Chem. Eng. J. 2013, 228, 646–654. [Google Scholar] [CrossRef]
- Li, J.J.; Li, X.; Yang, R.; Qu, L.B. A sensitive electrochemical chlorophenols sensor based on nanocomposite of ZnSe quantum dots and cetyltrimethylammonium bromide. Anal. Chim. Actal. 2013, 804, 76–83. [Google Scholar] [CrossRef]
- Han, L.J.; Zhang, H.W.; Liu, D.; Song, J.L.; Chuan, G.K.; Jaenicke, S. Efficient photodegradation of chlorophenols by BiOBr/NaBiO3 heterojunctioned composites under visible light. J. Hazard. Mater. 2018, 341, 83–92. [Google Scholar] [CrossRef] [PubMed]
- Xiong, J.; Ma, Y.; Yang, W.; Zhong, L.S. Rapid, highly efficient and stable catalytic hydrodechlorination of chlorophenols over novel Pd/CNTs-Ni foam composite catalyst in continuous-flow. J. Hazard. Mater. 2018, 355, 89–95. [Google Scholar] [CrossRef] [PubMed]
- Long, G.; Ding, J.; Xie, L.; Sun, R.; Chen, M.; Zhou, Y.; Huang, X.; Han, G.; Li, Y.; Zhao, W. Fabrication of mediator-free g-C3N4/Bi2WO6 Z-scheme with enhanced photocatalytic reduction dechlorination performance of 2,4-DCP. Appl. Surf. Sci. 2018, 455, 1010–1018. [Google Scholar] [CrossRef]
- Ruan, X.; Liu, H.; Wang, J.W.; Zhao, D.Y.; Fan, X.Y. A new insight into the main mechanism of 2,4-dichlorophenol dechlorination by Fe/Ni nanoparticles. Sci. Total Environ. 2019, 697, 133996. [Google Scholar] [CrossRef]
- Quan, X.C.; Shi, H.; Liu, H.; Lv, P.P.; Qian, Y. Enhancement of 2,4-dichlorophenol degradation in conventional activated sludge systems bioaugmented with mixed special culture. Water Res. 2004, 38, 245–253. [Google Scholar] [CrossRef]
- Su, Y.M.; Adeleye, A.S.; Huang, Y.X.; Sun, X.Y.; Dai, C.M.; Zhou, X.F.; Zhang, Y.L.; Keller, A.A. Simultaneous removal of cadmium and nitrate in aqueous media by nanoscale zerovalent iron (nZVI) and Au doped nZVI particles. Water Res. 2014, 63, 102–111. [Google Scholar] [CrossRef]
- Li, B.; Zhu, J. Removal of p-chloronitrobenzene from groundwater: Effectiveness and degradation mechanism of a heterogeneous nanoparticulate zero-valent iron (NZVI)-induced Fenton process. Chem. Eng. J. 2014, 255, 225–232. [Google Scholar] [CrossRef]
- Fu, F.L.; Dionysiou, D.D.; Liu, H. The use of zero-valent iron for groundwater remediation and wastewater treatment: A review. J. Hazard. Mater. 2014, 267, 194–205. [Google Scholar] [CrossRef]
- Simeonidis, K.; Mourdikoudis, S.; Kaprara, E.; Mitrakas, M.; Polavarapu, L. Inorganic engineered nanoparticles in drinking water treatment: A critical review. Environ. Sci. Water Res. Technol. 2016, 2, 43–70. [Google Scholar] [CrossRef]
- Liu, J.; Liu, A.R.; Wang, W.; Li, R.F.; Zhang, W.X. Feasibility of nanoscale zero-valent iron (nZVI) for enhanced biological treatment of organic dyes. Chemosphere 2019, 237, 124470. [Google Scholar] [CrossRef] [PubMed]
- Ma, J.Y.; Gu, J.; Wang, X.J.; Peng, H.L.; Wang, Q.Z.; Zhang, R.R.; Hu, T.; Bao, J.F. Effects of nano-zerovalent iron on antibiotic resistance genes during the anaerobic digestion of cattle manure. Bioresour. Technol. 2019, 289, 121688. [Google Scholar] [CrossRef]
- Kaifas, D.; Malleret, L.; Kumar, N.; Fétimi, W.; Claeys-Bruno, M.; Sergent, M.; Doumenq, P. Assessment of potential positive effects of nZVI surface modification and concentration levels on TCE dechlorination in the presence of competing strong oxidants, using an experimental design. Sci. Total Environ. 2014, 481, 335–342. [Google Scholar] [CrossRef] [PubMed]
- Guan, X.H.; Sun, Y.K.; Qin, H.J.; Li, J.X.; Lo, I.M.C.; He, D.; Dong, H.R. The limitations of applying zero-valent iron technology in contaminants sequestration and the corresponding countermeasures: The development in zero-valent iron technology in the last two decades (1994–2014). Water Res. 2015, 75, 224–248. [Google Scholar] [CrossRef]
- Zhao, X.; Liu, W.; Cai, Z.Q.; Han, B.; Qian, T.W.; Zhao, D.Y. An overview of preparation and applications of stabilized zero-valent iron nanoparticles for soil and groundwater remediation. Water Res. 2016, 100, 245–266. [Google Scholar] [CrossRef]
- Kakavandi, B.; Takdastan, A.; Pourfadakari, S.; Ahmadmoazzam, M.; Jorfi, S. Heterogeneous catalytic degradation of organic compounds using nanoscale zero-valent iron supported on kaolinite: Mechanism, kinetic and feasibility studies. J. Taiwan Inst. Chem. Eng. 2019, 96, 329–340. [Google Scholar] [CrossRef]
- Liu, H.; Ruan, X.; Zhao, D.Y.; Fan, X.Y.; Feng, T. Enhanced Adsorption of 2, 4-Dichlorophenol by Nanoscale Zero-Valent Iron Loaded on Bentonite and Modified with a Cationic Surfactant. Ind. Eng. Chem. Res. 2016, 56, 191–197. [Google Scholar] [CrossRef]
- Daraei, H.; Rafiee, M.; Yazdanbakhsh, A.R.; Amoozegar, M.A.; Guanglei, Q. A comparative study on the toxicity of nano zero valent iron (nZVI) on aerobic granular sludge and flocculent activated sludge: Reactor performance, microbial behavior, and mechanism of toxicity. Process. Saf. Environ. 2019, 129, 238–248. [Google Scholar] [CrossRef]
- Mortazavian, S.; An, H.; Chun, D.; Moon, J. Activated carbon impregnated by zero-valent iron nanoparticles (AC/nZVI) optimized for simultaneous adsorption and reduction of aqueous hexavalent chromium: Material characterizations and kinetic studies. Chem. Eng. J. 2018, 353, 781–795. [Google Scholar] [CrossRef]
- Baikousi, M.; Georgiou, Y.; Daikopoulos, C.; Bourlinos, A.B.; Filip, J.; Zbořil, R.; Deligiannakis, Y.; Karakassides, M.A. Synthesis and characterization of robust zero valent iron/mesoporous carbon composites and their applications in arsenic removal. Carbon 2015, 93, 636–647. [Google Scholar] [CrossRef]
- Wan, J.J.; Feng, X.; Li, Y.; He, J.Q.; Zhao, N.; Liu, Z.F.; Lin, Y.J.; Yang, C.X.; Liang, W.Q. Effect of mesoporous silica molecular sieve coating on nZVI for 2, 4-DCP degradation: Morphology and mechanism during the reaction. Chem. Eng. Process. 2019, 135, 68–81. [Google Scholar] [CrossRef]
- Sun, Y.P.; Li, X.Q.; Zhang, W.X.; Wang, H.P. A method for the preparation of stable dispersion of zero-valent iron nanoparticles. Colloids Surf. Physicochem. Eng. 2007, 308, 60–66. [Google Scholar] [CrossRef]
- Yang, J.C.; Wang, X.Y.; Zhu, M.P.; Liu, H.L.; Ma, J. Investigation of PAA/PVDF–NZVI hybrids for metronidazole removal: Synthesis, characterization, and reactivity characteristics. J. Hazard. Mater. 2014, 264, 269–277. [Google Scholar] [CrossRef] [PubMed]
- Alvarado-Gomez, E.; Martínez-Castañon, G.; Sanchez-Sanchez, R.; Ganem-Rondero, A.; Yacaman, M.J.; Martinez-Gutierrez, F. Evaluation of anti-biofilm and cytotoxic effect of a gel formulation with Pluronic F-127 and silver nanoparticles as a potential treatment for skin wounds. Mater. Sci. Eng. C 2018, 92, 621–630. [Google Scholar] [CrossRef]
- Alidokht, L.; Khataee, A.R.; Reyhanitabar, A.; Oustan, S. Cr(VI) Immobilization Process in a Cr-Spiked Soil by Zerovalent Iron Nanoparticles: Optimization Using Response Surface Methodology. CLEAN Soil Air Water 2011, 39, 633–640. [Google Scholar] [CrossRef]
- Rai, P.; Pandey, A.; Pandey, A. Optimization of sugar release from banana peel powder waste (BPPW) using box-behnken design (BBD): BPPW to biohydrogen conversion. Int. J. Hydrogen Energy 2019, 44, 25505–25513. [Google Scholar] [CrossRef]
- Abdulgader, M.; Yu, J.; Zinatizadeh, A.A.; Williams, P.; Rahimi, Z. Process analysis and optimization of single stage flexible fibre biofilm reactor treating milk processing industrial wastewater using response surface methodology (RSM). Chem. Eng. Res. Des. 2019, 149, 169–181. [Google Scholar] [CrossRef]
- Long, X.Y.; Cai, L.C.; Li, W.Z. RSM-based assessment of pavement concrete mechanical properties under joint action of corrosion, fatigue, and fiber content. Constr. Build. Mater. 2019, 197, 406–420. [Google Scholar] [CrossRef]
- Fang, Z.Q.; Qiu, X.Q.; Chen, J.H.; Qiu, X.H. Degradation of metronidazole by nanoscale zero-valent metal prepared from steel pickling waste liquor. Appl. Catal. B Environ. 2010, 100, 221–228. [Google Scholar] [CrossRef]
- Wang, X.Y.; Cong, S.; Wang, P.; Ma, J.; Liu, H.L.; Ning, P. Novel green micelles Pluronic F-127 coating performance on nano zero-valent iron: Enhanced reactivity and innovative kinetics. Sep. Purif. Technol. 2017, 174, 174–182. [Google Scholar] [CrossRef]
- Zhang, X.; Lin, S.; Chen, Z.; Megharaj, M.; Naidu, R. Kaolinite-supported nanoscale zero-valent iron for removal of Pb2+ from aqueous solution: Reactivity, characterization and mechanism. Water Res. 2011, 45, 3481–3488. [Google Scholar] [CrossRef] [PubMed]
- Li, H.Y.; Ge, Y.; Zhang, X.R. High efficient removal of lead from aqueous solution by preparation of novel PPG-nZVI beads as sorbents. Colloid Surf. A 2017, 513, 306–314. [Google Scholar] [CrossRef]
- Iqbal, M.M.A.; Bakar, W.A.W.A.; Toemen, S.; Razak, F.I.A.; Azelee, N.I.W. Optimization study by Box-Behnken design (BBD) and mechanistic insight of CO2 methanation over Ru-Fe-Ce/γ-Al2O3 catalyst by in-situ FTIR technique. Arab. J. Chem. 2020, 13, 4170–4179. [Google Scholar] [CrossRef]
- Liu, J.; Liu, A.R.; Zhang, W.X. The influence of polyelectrolyte modification on nanoscale zero-valent iron (nZVI): Aggregation, sedimentation, and reactivity with Ni (II) in water. Chem. Eng. J. 2016, 303, 268–274. [Google Scholar] [CrossRef]
- Dong, H.R.; Ahmad, K.; Zeng, G.M.; Li, Z.W.; Chen, G.Q.; He, Q.; Xie, Y.K.; Wu, Y.N.; Zhao, F.; Zeng, Y.L. Influence of fulvic acid on the colloidal stability and reactivity of nanoscale zero-valent iron. Environ. Pollut. 2016, 211, 363–369. [Google Scholar] [CrossRef]
- Li, Z.H.; Xu, S.Y.; Xiao, G.H.; Qian, L.M.; Song, Y. Removal of hexavalent chromium from groundwater using sodium alginate dispersed nano zero-valent iron. J. Environ. Manag. 2019, 244, 33–39. [Google Scholar] [CrossRef]




| Mass Ratio | Prapid (%) | Krapid (s−1) | Pslow (%) | Kslow (s−1) | R2 | R2adj |
|---|---|---|---|---|---|---|
| 0 | 0.94 | 0.0009 | 0.11 | −0.00005 | 0.99 | 0.99 |
| 1:1 | 0.76 | 0.0026 | 0.34 | 0.0001 | 0.99 | 0.99 |
| 2:1 | 0.55 | 0.0002 | 0.55 | 0.0002 | 0.93 | 0.93 |
| 3:1 | 1 | 0.0003 | 0.002 | −0.0012 | 0.98 | 0.98 |
| 4:1 | 0.54 | 0.0001 | 0.54 | 0.0001 | 0.93 | 0.93 |
| F-NZVI (F-127/NZVI, m/m) | 0 | 1:1 | 2:1 | 3:1 | 4:1 |
|---|---|---|---|---|---|
| Zeta potential (mV) | 4.52 | −10.45 | −18.39 | −21.4 | −12.4 |
| Test | Concentration of 2,4-DCP (mg/L) | pH | F-NZVI Dosage (g/L) | Experiment V (%) | Predicted V (%) |
|---|---|---|---|---|---|
| 1 | 5 | 5 | 1 | 50.1 | 50.02 |
| 2 | 5 | 3 | 3.5 | 67.67 | 67.85 |
| 3 | 5 | 7 | 3.5 | 56.8 | 56.97 |
| 4 | 5 | 5 | 6 | 71.15 | 70.88 |
| 5 | 22.5 | 3 | 1 | 50.8 | 50.70 |
| 6 | 22.5 | 3 | 6 | 68.31 | 68.41 |
| 7 | 22.5 | 5 | 3.5 | 72.1 | 72.29 |
| 8 | 22.5 | 5 | 3.5 | 72.15 | 72.29 |
| 9 | 22.5 | 5 | 3.5 | 72.32 | 72.29 |
| 10 | 22.5 | 5 | 3.5 | 72.42 | 72.29 |
| 11 | 22.5 | 5 | 3.5 | 72.48 | 72.29 |
| 12 | 22.5 | 7 | 1 | 42.7 | 42.60 |
| 13 | 22.5 | 7 | 6 | 57.95 | 58.05 |
| 14 | 40 | 3 | 3.5 | 55.9 | 55.73 |
| 15 | 40 | 5 | 1 | 43.55 | 43.82 |
| 16 | 40 | 5 | 6 | 56.05 | 56.13 |
| 17 | 40 | 7 | 3.5 | 48.32 | 48.14 |
| Source | Sum of Squares | Degree of Freedom | Mean Square | F-Value | P-Value | |
|---|---|---|---|---|---|---|
| Model | 1936.59 | 9 | 215.18 | 3482.27 | <0.0001 | Significant |
| the initial concentration of 2,4-DCP (mg/L) | 219.45 | 1 | 219.45 | 3551.44 | <0.0001 | - |
| pH | 170.29 | 1 | 170.29 | 2755.91 | <0.0001 | - |
| F-NZVI dosage(g/L) | 549.63 | 1 | 549.63 | 8894.77 | <0.0001 | - |
| AB | 2.71 | 1 | 2.71 | 43.79 | 0.0003 | - |
| AC | 18.28 | 1 | 18.28 | 295.76 | <0.0001 | - |
| BC | 1.28 | 1 | 1.28 | 20.66 | 0.0026 | - |
| A2 | 232.1 | 1 | 232.1 | 3756.1 | <0.0001 | - |
| B2 | 249.45 | 1 | 249.45 | 4036.88 | <0.0001 | - |
| C2 | 392.66 | 1 | 392.66 | 6354.59 | <0.0001 | - |
| Residual | 0.43 | 7 | 0.062 | - | - | - |
| Lack of Fit | 0.32 | 3 | 0.11 | 3.93 | 0.1095 | Not Significant |
| Pure Error | 0.11 | 4 | 0.027 | - | - | - |
| Cor Total | 1937.03 | 16 | - | - | - | - |
| Factors | Symbol | Coded Levels | ||
|---|---|---|---|---|
| - | - | −1 | 0 | 1 |
| initial concentration of 2,4-DCP (mg L−1) | A | 5 | 22.5 | 40 |
| pH | B | 3 | 5 | 7 |
| F-NZVI dosage (g L−1) | C | 1 | 3.50 | 6 |
© 2020 by the authors. Licensee MDPI, Basel, Switzerland. This article is an open access article distributed under the terms and conditions of the Creative Commons Attribution (CC BY) license (http://creativecommons.org/licenses/by/4.0/).
Share and Cite
Li, Y.; Zhang, Y.; Jing, Q.; Lin, Y. The Influence of Pluronic F-127 Modification on Nano Zero-Valent Iron (NZVI): Sedimentation and Reactivity with 2,4-Dichlorophenol in Water Using Response Surface Methodology. Catalysts 2020, 10, 412. https://doi.org/10.3390/catal10040412
Li Y, Zhang Y, Jing Q, Lin Y. The Influence of Pluronic F-127 Modification on Nano Zero-Valent Iron (NZVI): Sedimentation and Reactivity with 2,4-Dichlorophenol in Water Using Response Surface Methodology. Catalysts. 2020; 10(4):412. https://doi.org/10.3390/catal10040412
Chicago/Turabian StyleLi, Yajun, Yongxiang Zhang, Qi Jing, and Yuhui Lin. 2020. "The Influence of Pluronic F-127 Modification on Nano Zero-Valent Iron (NZVI): Sedimentation and Reactivity with 2,4-Dichlorophenol in Water Using Response Surface Methodology" Catalysts 10, no. 4: 412. https://doi.org/10.3390/catal10040412
APA StyleLi, Y., Zhang, Y., Jing, Q., & Lin, Y. (2020). The Influence of Pluronic F-127 Modification on Nano Zero-Valent Iron (NZVI): Sedimentation and Reactivity with 2,4-Dichlorophenol in Water Using Response Surface Methodology. Catalysts, 10(4), 412. https://doi.org/10.3390/catal10040412

