The Effect of Mechanocatalytic Pretreatment on the Structure and Depolymerization of Willow
Abstract
1. Introduction
2. Results and Discussion
2.1. Effects of Pretreatment on the Structure of the Willow Sawdust
2.2. Effect of Mechanocatalytic Treatment Parameters on Sugar Release
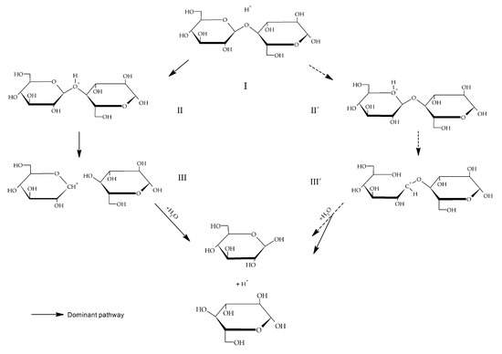
2.3. Effect of Mechanocatalytic Pretreatment on the Release of Sugars and Monosaccharide Production in Hydrolysis
3. Materials and Methods
3.1. Raw Materials
3.2. Mechanocatalytic Pretreatment
3.3. Release of Sugars and Acid-Catalyzed Hydrolysis
3.4. Methods
3.4.1. Determination of Total Reducing Sugars with UV-Vis Spectrometry
3.4.2. Capillary Electrophoresis
3.4.3. Field Emission Scanning Electron Microscope
3.4.4. X-ray Diffraction
4. Conclusions
Author Contributions
Funding
Conflicts of Interest
References
- Vande Vyver, S.; Geboers, J.; Jacobs, P.A.; Sels, B.F. Recent advances in the catalytic conversion of cellulose. ChemCatChem 2011, 3, 82–94. [Google Scholar] [CrossRef]
- Verardi, A.; De Bari, I.; Ricca, E.; Calabrò, V. Hydrolysis of Lignocellulosic Biomass: Current Status of Processes and Technologies and Future Perspectives; Lima, M.A.P., Ed.; InTech: Rijeka, Croatia, 2012; pp. 95–103. [Google Scholar]
- Liguori, R.; Faraco, V. Biological processes for advancing lignocellulosic waste biorefinery by advocating circular economy. Bioresour. Technol. 2016, 215, 13–20. [Google Scholar] [CrossRef] [PubMed]
- Han, S.H.; Cho, D.H.; Kim, Y.H.; Shin, S.J. Biobutanol production from 2-year-old willow biomass by acid hydrolysis and acetone–butanol–ethanol fermentation. Energy 2013, 61, 13–17. [Google Scholar] [CrossRef]
- Sassner, P.; Galbe, M.; Zacchi, G. Bioethanol production based on simultaneous saccharification and fermentation of steam-pretreated Salix at high dry-matter content. Enzyme Microb. Technol. 2006, 39, 756–762. [Google Scholar] [CrossRef]
- Börjesson, P. Environmental effects of energy crop cultivation in Sweden—I: Identification and quantification. Biomass Bioener 1999, 16, 137–154. [Google Scholar] [CrossRef]
- Pei, M.H.; Hunter, T.; Ruiz, C. Occurrence of Melampsora rusts in biomass willow plantations for renewable energy in the United Kingdom. Biomass Bioener. 1999, 17, 153–163. [Google Scholar] [CrossRef]
- Mola-Yudego, B.; Aronsson, P. Yield models for commercial willow biomass plantations in Sweden. Biomass Bioenergy 2008, 32, 829–837. [Google Scholar] [CrossRef]
- Larsson, S. Genetic improvement of willow for short-rotation coppice. Biomass Bioenergy 1998, 15, 23–26. [Google Scholar] [CrossRef]
- Lindegaard, K.N.; Adams, P.W.R.; Holley, M.; Lamley, A.; Henriksson, A.; Larsson, S.; von Engelbrechten, H.-G.; Lopez, G.E.; Pisarek, M. Short rotation plantations policy history in Europe: Lessons from the past and recommendations for the future. Food Energy Secur. 2016, 5, 125–152. [Google Scholar] [CrossRef] [PubMed]
- Jönsson, L.J.; Martín, C. Pretreatment of lignocellulose: Formation of inhibitory by-products and strategies for minimizing their effects. Bioresour. Technol. 2016, 199, 103–112. [Google Scholar] [CrossRef]
- Xiang, Q.; Lee, Y.Y.; Pettersson, P.O.; Torget, R.W. Heterogeneous Aspects of Acid Hydrolysis of α-Cellulose. In Biotechnology for Fuels and Chemicals. Applied Biochemistry and Biotechnology; Davison, B.H., Lee, J.W., Finkelstein, M., McMillan, J.D., Eds.; Humana Press: Totowa, NJ, USA, 2003; Volume 105–108, pp. 505–506. [Google Scholar] [CrossRef]
- Fengel, D.; Wegener, G. Wood: Chemistry, Ultrastructure, Reactions; De Gruyter: Berlin, Germany, 1989; pp. 269–270. ISBN1 10: 3110084813. ISBN2 13: 9783110084818. [Google Scholar]
- Shi, S.; Guan, W.; Kang, L.; Lee, Y.Y. Reaction kinetic model of dilute acid-catalyzed hemicellulose hydrolysis of corn stover under high-solid conditions. Ind. Eng. Chem. Res. 2017, 56, 39–10990. [Google Scholar] [CrossRef]
- Gámez, S.; González-Cabriales, J.J.; Ramírez, J.A.; Garrote, G.; Vázquez, M. Study of the hydrolysis of sugar cane bagasse using phosphoric acid. J. Food Eng. 2006, 74, 78–88. [Google Scholar] [CrossRef]
- Yoon, S.Y.; Han, S.H.; Shin, S.J. The effect of hemicelluloses and lignin on acid hydrolysis of cellulose. Energy 2014, 77, 19–24. [Google Scholar] [CrossRef]
- Schüth, F.; Rinaldi, R.; Meine, N.; Käldström, M.; Hilgert, J.; Rechulski, M.D.K. Mechanocatalytic depolymerization of cellulose and raw biomass and downstream processing of the products. Catal. Today 2014, 234, 24–30. [Google Scholar] [CrossRef]
- Baláž, P. High-Energy Milling. In Mechanochemistry in Nanoscience and Minerals Engineering; Springer: Berlin, Germany, 2008; pp. 103–132. [Google Scholar] [CrossRef]
- Kumar, B.; Bhardwaj, N.; Agrawal, K.; Chaturvedi, V.; Verma, P. Current perspective on pretreatment technologies using lignocellulosic biomass: An emerging biorefinery concept. Fuel Process Technol. 2020, 199, 1–24. [Google Scholar] [CrossRef]
- Sindhu, R.; Binod, P.; Pandey, A. Biological pretreatment of lignocellulosic biomass—An overview. Bioresour. Technol. 2016, 199, 76–82. [Google Scholar] [CrossRef]
- Sharma, H.K.; Xu, C.; Qin, W. Biological pretreatment of lignocellulosic biomass for biofuels and bioproducts: An overview. Waste Biomass Valorization 2019, 10, 235–251. [Google Scholar] [CrossRef]
- Tu, W.; Hallett, J.P. Recent advances in the pretreatment of lignocellulosic biomass. Curr. Opin. Green Sustain. Chem. 2019, 20, 11–17. [Google Scholar] [CrossRef]
- Lee, J.H.; Kwon, J.H.; Kim, T.H.; Choi, W.I. Impact of planetary ball mills on corn stover characteristics and enzymatic digestibility depending on grinding ball properties. Bioresour. Technol. 2017, 241, 1094–1100. [Google Scholar] [CrossRef]
- Schneider, L.; Haverinen, J.; Jaakkola, M.; Lassi, U. Effective saccharification of lignocellulosic barley straw by mechanocatalytical pretreatment using potassium pyrosulfate as a catalyst. Bioresour. Technol. 2017, 234, 1–7. [Google Scholar] [CrossRef][Green Version]
- Bensah, E.C.; Mensah, M. Chemical pretreatment methods for the production of Cellulosic ethanol: Technologies and innovations. Int. J. Chem. Eng. 2013, 1–21. [Google Scholar] [CrossRef]
- Himmel, M.E.; Ding, S.; Johnson, D.K.; Adney, W.S.; Nimlos, M.R.; Brady, J.W.; Foust, T.D. Biomass recalcitrance: Engineering plants and enzymes for biofuels production. Science 2007, 315, 804–807. [Google Scholar] [CrossRef] [PubMed]
- Dong, Y.; Schneider, L.; Hu, T.; Jaakkola, M.; Holm, J.; Leveque, J.M.; Lassi, U. Direct acid-catalysed mechanical depolymerisation of fibre sludge to reducing sugars using planetary milling. Biomass Bioener. 2016, 86, 36–42. [Google Scholar] [CrossRef]
- Ziegler-Devin, I.; Menana, Z.; Chrusciel, L.; Chalot, M.; Bert, V.; Brosse, N. Steam explosion pretreatment of willow grown on phytomanaged soils for bioethanol production. Ind. Crop. Prod. 2019, 140, 111722. [Google Scholar] [CrossRef]
- Alexandropoulou, M.; Antonopoulou, G.; Fragkou, E.; Ntaikou, I.; Lyberatos, G. Fungal pretreatment of willow sawdust and its combination with alkaline treatment for enhancing biogas production. J. Environ. Manag. 2017, 203, 704–713. [Google Scholar] [CrossRef]
- Yoon, S.; Kim, B.; Han, S.; Shin, S. Different response between woody core and bark of goat willow (Salix caprea L.) to concentrated phosphoric acid pretreatment followed by enzymatic saccharification. Energy 2015, 81, 21–26. [Google Scholar] [CrossRef]
- Eklund, R.; Galbe, M.; Zacchi, G. The influence of SO2 and H2SO4 impregnation of willow prior to steam pretreatment. Bioresour. Technol. 1995, 52, 225–229. [Google Scholar] [CrossRef]
- Zhao, H.; Kwak, J.H.; Conrad Zhang, Z.; Brown, H.M.; Arey, B.W.; Holladay, J.E. Studying cellulose fiber structure by SEM, XRD, NMR and acid hydrolysis. Carbohydr. Polym. 2007, 68, 235–241. [Google Scholar] [CrossRef]
- Silva, G.G.D.; Couturier, M.; Berrin, J.; Buléon, A.; Rouau, X. Effects of grinding processes on enzymatic degradation of wheat straw. Bioresour. Technol. 2012, 103, 192–200. [Google Scholar] [CrossRef]
- Stubičar, N.; Šmit, I.; Stubičar, M.; Antun, T.; Jánosi, A.; Josef, S.; Peter, Z. An X-ray diffraction study of the crystalline to amorphous phase change in cellulose during high-energy dry ball milling. Holzforsch. Int. J. Biol. Chem. Phys. Technol. Wood 2009, 52, 455. [Google Scholar] [CrossRef]
- Garvey, C.J.; Parker, I.H.; Simon, G.P. On the interpretation of x-ray diffraction powder patterns in terms of the nanostructure of cellulose I fibres. Macromol. Chem. Phys. 2005, 206, 1568–1575. [Google Scholar] [CrossRef]
- Yoshida, M.; Liu, Y.; Uchida, S.; Kawarada, K.; Ukagami, Y.; Ichinose, H.; Kaneko, S.; Fukuda, K. Effects of cellulose crystallinity, hemicellulose, and lignin on the enzymatic hydrolysis of Miscanthus sinensis to monosaccharides. Biosci. Biotechnol. Biochem. 2008, 72, 805–810. [Google Scholar] [CrossRef] [PubMed]
- Stolarski, M.J.; Szczukowski, S.; Tworkowski, J.; Wróblewska, H.; Krzyżaniak, M. Short rotation willow coppice biomass as an industrial and energy feedstock. Ind. Crop. Prod. 2011, 33, 217–223. [Google Scholar] [CrossRef]
- Merilä, P.; Malmivaara-Lämsä, M.; Spetz, P.; Stark, S.; Vierikko, K.; Derome, J.; Fritze, H. Soil organic matter quality as a link between microbial community structure and vegetation composition along a successional gradient in a boreal forest. Appl. Soil Ecol. 2010, 46, 259–267. [Google Scholar] [CrossRef]
- Fachri, B.A.; Abdilla, R.M.; van de Bovenkamp, H.H.; Rasrendra, C.B.; Heeres, H.J. Experimental and kinetic modeling studies on the sulfuric acid catalyzed conversion of d-fructose to 5-hydroxymethylfurfural and levulinic acid in water. ACS Sustain. Chem. Eng. 2015, 3, 3024–3034. [Google Scholar] [CrossRef]
- Mosier, N.; Wyman, C.; Dale, B.; Elander, R.; Lee, Y.Y.; Holtzapple, M.; Ladisch, M. Features of promising technologies for pretreatment of lignocellulosic biomass. Bioresour. Technol. 2005, 96, 673–686. [Google Scholar] [CrossRef]
- Tan-Soetedjo, J.N.M.; van de Bovenkamp, H.H.; Abdilla, R.M.; Rasrendra, C.B.; van Ginkel, J.; Heeres, H.J. Experimental and Kinetic Modeling Studies on the Conversion of Sucrose to Levulinic Acid and 5-Hydroxymethylfurfural Using Sulfuric Acid in Water. Ind. Eng. Chem. Res. 2017, 56, 45–13228. [Google Scholar] [CrossRef]
- Sluiter, A.; Hames, B.; Ruiz, R.; Scarlata, C.; Sluiter, J.; Templeton, D.; Crocker, D. Determination of Structural Carbohydrates and Lignin in Biomass; Laboratory Analytical Procedure, NREL: Golden, CO, USA, 2012. [Google Scholar]
- Ehrman, T. Determination of Acid-Soluble Lignin in Biomass; Laboratory Analytical Procedure LAP-004; Midwest Research Institute for the Department of Energy: Kansas City, MI, USA, 1996. [Google Scholar]
- Rowell, R.M.; Pettersen, R.; Han, J.S.; Rowell, J.S.; Tshabalala, M.A. Cell Wall Chemistry. In Handbook of Wood Chemistry and Wood Composites; Rowell, R.M., Ed.; CRC Press: Boca Raton, FL, USA; pp. 35–74.
- TAPPI T 203 cm-99 α-, β- and Gamma-Cellulose in Pulp; Technical Association of the Pulp and Paper Industry: Atlanta, GA, USA, 1999.
- Yokoyama, T.; Kadla, J.F.; Chang, H.-M. Microanalytical method for the characterization of fiber components and morphology of woody plants. J. Agric. Food Chem. 2002, 50, 1040–1044. [Google Scholar] [CrossRef]
- Styarini, D.; Risanto, L.; Sudiyani, Y.A.Y. Comparison of two analytical methods for compositional analysis of lignocellulosic biomass for bioethanol production. Int. J. Environ. Bioener. 2012, 3, 88–97. [Google Scholar]
- Miller, G.L. Use of dinitrosalicylic acid reagent for determination of reducing sugar. Anal. Chem. 1959, 31, 426–428. [Google Scholar] [CrossRef]
- Rovio, S.; Yli-Kauhaluoma, J.; Sirén, H. Determination of neutral carbohydrates by CZE with direct UV detection. Electrophoresis 2007, 28, 3129–3135. [Google Scholar] [CrossRef]
- Segal, L.; Creely, J.J.; Martin, A.E.; Conrad, C.M. An empirical method for estimating the degree of crystallinity of native cellulose using the x-ray diffractometer. Text. Res. J. 1959, 29, 786–794. [Google Scholar] [CrossRef]










© 2020 by the authors. Licensee MDPI, Basel, Switzerland. This article is an open access article distributed under the terms and conditions of the Creative Commons Attribution (CC BY) license (http://creativecommons.org/licenses/by/4.0/).
Share and Cite
Lempiäinen, H.; Lappalainen, K.; Haverinen, J.; Tuuttila, T.; Hu, T.; Jaakkola, M.; Lassi, U. The Effect of Mechanocatalytic Pretreatment on the Structure and Depolymerization of Willow. Catalysts 2020, 10, 255. https://doi.org/10.3390/catal10020255
Lempiäinen H, Lappalainen K, Haverinen J, Tuuttila T, Hu T, Jaakkola M, Lassi U. The Effect of Mechanocatalytic Pretreatment on the Structure and Depolymerization of Willow. Catalysts. 2020; 10(2):255. https://doi.org/10.3390/catal10020255
Chicago/Turabian StyleLempiäinen, Henna, Katja Lappalainen, Jasmiina Haverinen, Tero Tuuttila, Tao Hu, Mari Jaakkola, and Ulla Lassi. 2020. "The Effect of Mechanocatalytic Pretreatment on the Structure and Depolymerization of Willow" Catalysts 10, no. 2: 255. https://doi.org/10.3390/catal10020255
APA StyleLempiäinen, H., Lappalainen, K., Haverinen, J., Tuuttila, T., Hu, T., Jaakkola, M., & Lassi, U. (2020). The Effect of Mechanocatalytic Pretreatment on the Structure and Depolymerization of Willow. Catalysts, 10(2), 255. https://doi.org/10.3390/catal10020255

