Sustainable Enzymatic Synthesis of a Solketal Ester—Process Optimization and Evaluation of Its Antimicrobial Activity
Abstract
1. Introduction
2. Results and Discussion
2.1. Immobilization of Different Lipases on Octyl–SiO2
2.2. Performance of the Different Biocatalysts in the Solketal Palmitate Synthesis
2.3. Ester Synthesis Optimization by CCRD
2.4. Effect of Reactants Concentration on the Reaction
2.5. Effect of Molecular Sieves Concentration on the Reaction
2.6. Biocatalyst Reusability Study
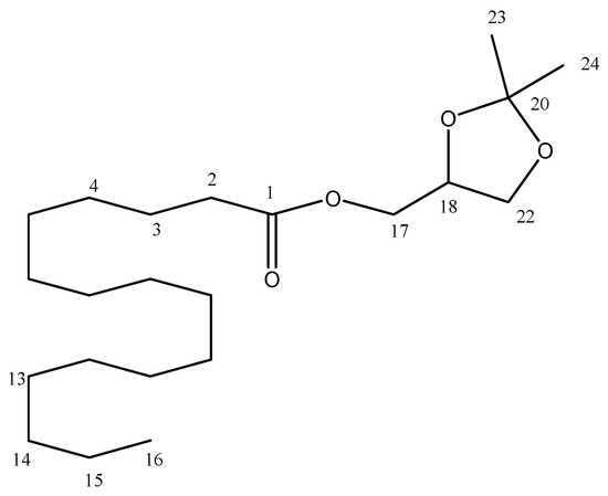
2.7. NMR Analysis of the Synthesized Ester
2.8. In Vitro Antimicrobial Activity Study
3. Materials and Methods
3.1. Materials
3.2. Lipase Immobilization Procedure
3.3. Solketal Palmitate Synthesis
3.3.1. Effect of Lipase Source
3.3.2. Ester Synthesis Optimization by CCRD
3.3.3. Effect of Reactants Concentration
3.3.4. Effect of Molecular Sieve Concentration
3.3.5. Biocatalyst Reusability Study
3.4. Ester Purification
3.5. NMR Analysis
3.6. In Vitro Antimicrobial Activity Tests
4. Conclusions
Author Contributions
Funding
Acknowledgments
Conflicts of Interest
References
- Nanda, M.R.; Zhang, Y.; Yuan, Z.; Qin, W.; Ghaziaskar, H.S.; Xu, C. (Charles) Catalytic conversion of glycerol for sustainable production of solketal as a fuel additive: A review. Renew. Sustain. Energy Rev. 2016, 56, 1022–1031. [Google Scholar] [CrossRef]
- Barbosa, S.L.; Lima, P.C.; dos Santos, W.T.P.; Klein, S.I.; Clososki, G.C.; Caires, F.J. Oxygenated biofuels: Synthesis of fatty acid solketal esters with a mixture of sulfonated silica and (Bu4N)(BF4) catalyst. Catal. Commun. 2019, 120, 76–79. [Google Scholar] [CrossRef]
- Sankaranarayanan, S.; Jindapon, W.; Ngamcharussrivichai, C. Valorization of biodiesel plant-derived products via preparation of solketal fatty esters over calcium-rich natural materials derived oxides. J. Taiwan Inst. Chem. Eng. 2017, 81, 57–64. [Google Scholar] [CrossRef]
- Itabaiana, I.; Gonçalves, K.M.; Cordeiro, Y.M.L.; Zoumpanioti, M.; Leal, I.C.R.; Miranda, L.S.M.; de Souza, R.O.M.A.; Xenakis, A. Kinetics and mechanism of lipase catalyzed monoacylglycerols synthesis. J. Mol. Catal. B Enzym. 2013, 96, 34–39. [Google Scholar] [CrossRef]
- Johny, J.; Jatla, A.; Eruva, V.K.; Misra, S.; Kaki, S.S. Synthesis, characterization and evaluation of 1-monoacylglycerols of unsaturated fatty acids as potential bioactive lipids. Grasas Aceites 2019, 70, e325. [Google Scholar] [CrossRef]
- Machado, A.C.O.; da Silva, A.A.T.; Borges, C.P.; Simas, A.B.C.; Freire, D.M.G. Kinetic resolution of (R,S)-1,2-isopropylidene glycerol (solketal) ester derivatives by lipases. J. Mol. Catal. B: Enzym. 2011, 69, 42–46. [Google Scholar] [CrossRef][Green Version]
- Boncel, S.; Zniszczoł, A.; Szymańska, K.; Mrowiec-Białoń, J.; Jarzębski, A.; Walczak, K.Z. Alkaline lipase from Pseudomonas fluorescens non-covalently immobilised on pristine versus oxidised multi-wall carbon nanotubes as efficient and recyclable catalytic systems in the synthesis of solketal esters. Enzyme Microb. Technol. 2013, 53, 263–270. [Google Scholar] [CrossRef]
- Zniszczoł, A.; Herman, A.P.; Szymańska, K.; Mrowiec-Białoń, J.; Walczak, K.Z.; Jarzębski, A.; Boncel, S. Covalently immobilized lipase on aminoalkyl-, carboxy- and hydroxy-multi-wall carbon nanotubes in the enantioselective synthesis of Solketal esters. Enzyme Microb. Technol. 2016, 87–88, 61–69. [Google Scholar] [CrossRef]
- Neamtu, C.; Stepan, E.; Plesu, V.; Bozga, G.; Tuluc, A. Synthesis and characterization of new solketal alkylesters usable as diesel biobased fuel additives. Rev. Chimie 2019, 70, 1167–1172. [Google Scholar] [CrossRef]
- Romano, D.; Ferrario, V.; Molinari, F.; Gardossi, L.; Montero, J.M.S.; Torre, P.; Converti, A. Kinetic resolution of (R,S)-1,2-O-isopropylideneglycerol by esterification with dry mycelia of moulds. J. Mol. Catal. B Enzym. 2006, 41, 71–74. [Google Scholar] [CrossRef]
- Torregrosa, R.; Yara-Varón, E.; Balcells, M.; Torres, M.; Canela-Garayoa, R. Entirely solvent-free biocatalytic synthesis of solketal fatty esters from soybean seeds. C. R. Chimie 2016, 19, 749–753. [Google Scholar] [CrossRef]
- Torregrosa, R.; Balcells, M.; Torres, M.; Canela-Garayoa, R. Chemoenzymatic solvent-free synthesis of 1-monopalmitin using a microwave reactor. Nat. Prod. Commun. 2014, 9, 1095–1098. [Google Scholar] [CrossRef]
- Ortiz, C.; Ferreira, M.L.; Barbosa, O.; dos Santos, J.C.; Rodrigues, R.C.; Berenguer-Murcia, Á.; Briand, L.E.; Fernandez-Lafuente, R. Novozym 435: the “perfect” lipase immobilized biocatalyst? Catal. Sci. Technol. 2019, 9, 2380–2420. [Google Scholar] [CrossRef]
- Garcia-Galan, C.; Berenguer-Murcia, Á.; Fernandez-Lafuente, R.; Rodrigues, R.C. Potential of different enzyme immobilization strategies to improve enzyme performance. Adv. Synth. Catal. 2011, 353, 2885–2904. [Google Scholar] [CrossRef]
- Barbosa, O.; Ortiz, C.; Berenguer-Murcia, Á.; Torres, R.; Rodrigues, R.C.; Fernandez-Lafuente, R. Strategies for the one-step immobilization–purification of enzymes as industrial biocatalysts. Biotechnol. Adv. 2015, 33, 435–456. [Google Scholar] [CrossRef]
- Manoel, E.A.; dos Santos, J.C.S.; Freire, D.M.G.; Rueda, N.; Fernandez-Lafuente, R. Immobilization of lipases on hydrophobic supports involves the open form of the enzyme. Enzyme Microb. Technol. 2015, 71, 53–57. [Google Scholar] [CrossRef]
- Virgen-Ortíz, J.J.; Tacias-Pascacio, V.G.; Hirata, D.B.; Torrestiana-Sanchez, B.; Rosales-Quintero, A.; Fernandez-Lafuente, R. Relevance of substrates and products on the desorption of lipases physically adsorbed on hydrophobic supports. Enzyme Microb. Technol. 2017, 96, 30–35. [Google Scholar] [CrossRef]
- Rodrigues, R.C.; Virgen-Ortíz, J.J.; dos Santos, J.C.S.; Berenguer-Murcia, Á.; Alcantara, A.R.; Barbosa, O.; Ortiz, C.; Fernandez-Lafuente, R. Immobilization of lipases on hydrophobic supports: immobilization mechanism, advantages, problems, and solutions. Biotechnol. Adv. 2019, 37, 746–770. [Google Scholar] [CrossRef]
- Derewenda, U.; Swenson, L.; Green, R.; Wei, Y.; Yamaguchi, S.; Joerger, R.; Haas, M.J.; Derewenda, Z.S. Current progress, in crystallographic studies of new lipases from filamentous fungi. Protein Eng. Des. Sel. 1994, 7, 551–557. [Google Scholar] [CrossRef]
- Verger, R. ‘Interfacial activation’ of lipases: Facts and artifacts. Trends Biotechnol. 1997, 15, 32–38. [Google Scholar] [CrossRef]
- Alves, M.D.; Aracri, F.M.; Cren, É.C.; Mendes, A.A. Isotherm, kinetic, mechanism and thermodynamic studies of adsorption of a microbial lipase on a mesoporous and hydrophobic resin. Chem. Eng. J. 2017, 311, 1–12. [Google Scholar] [CrossRef]
- Alves, M.D.; Cren, É.C.; Mendes, A.A. Kinetic, thermodynamic, optimization and reusability studies for the enzymatic synthesis of a saturated wax ester. J. Mol. Catal. B Enzym. 2016, 133, S377–S387. [Google Scholar] [CrossRef]
- Machado, N.B.; Miguez, J.P.; Bolina, I.C.A.; Salviano, A.B.; Gomes, R.A.B.; Tavano, O.L.; Luiz, J.H.H.; Tardioli, P.W.; Cren, É.C.; Mendes, A.A. Preparation, functionalization and characterization of rice husk silica for lipase immobilization via adsorption. Enzyme Microb. Technol. 2019, 128, 9–21. [Google Scholar] [CrossRef] [PubMed]
- Zeng, M.; Che, Z.; Liang, Y.; Wang, B.; Chen, X.; Li, H.; Deng, J.; Zhou, Z. GC–MS based plasma metabolic profiling of type 2 diabetes mellitus. Chromatographia 2009, 69, 941–948. [Google Scholar] [CrossRef]
- Bunka, F.; Pavlínek, V.; Hrabě, J.; Rop, O.; Janiš, R.; Krejčí, J. Effect of 1-Monoglycerides on Viscoelastic Properties of Processed Cheese. Int. J. Food Prop. 2007, 10, 819–828. [Google Scholar] [CrossRef]
- Kirchmeier, M.J.; Anderson, D.E. Methods and Compositions for Therapeutic Agents; WO 2013/111012 A2; Variation Biotechnologies Inc.: Gatineau, CA, USA, 2013. [Google Scholar]
- Fernandez-Lafuente, R. Lipase from Thermomyces lanuginosus: Uses and prospects as an industrial biocatalyst. J. Mol. Catal. B Enzym. 2010, 62, 197–212. [Google Scholar] [CrossRef]
- Rios, N.S.; Pinheiro, B.B.; Pinheiro, M.P.; Bezerra, R.M.; dos Santos, J.C.S.; Barros Gonçalves, L.R. Biotechnological potential of lipases from Pseudomonas: Sources, properties and applications. Process Biochem. 2018, 75, 99–120. [Google Scholar] [CrossRef]
- Benjamin, S.; Pandey, A. Candida rugosa lipases: Molecular biology and versatility in biotechnology. Yeast 1998, 14, 1069–1087. [Google Scholar] [CrossRef]
- De Maria, P.D.; Alcantara, A.R.; Carballeira, J.D.; de la Casa, R.M.; Garcia-Burgos, C.A.; Hernaiz, M.J.; Sánchez-Montero, J.M.; Sinisterra, J.V. Candida rugosa lipase: A traditional and complex biocatalyst. Curr. Org. Chem. 2006, 10, 1053–1066. [Google Scholar] [CrossRef]
- De Maria, P.D.; Sánchez-Montero, J.M.; Sinisterra, J.V.; Alcántara, A.R. Understanding Candida rugosa lipases: An overview. Biotechnol. Adv. 2006, 24, 180–196. [Google Scholar] [CrossRef]
- Tischer, W.; Kasche, V. Immobilized enzymes: Crystals or carriers? Trends Biotechnol. 1999, 17, 326–335. [Google Scholar] [CrossRef]
- Marty, A.; Dossat, V.; Condoret, J.-S. Continuous operation of lipase-catalyzed reactions in nonaqueous solvents: Influence of the production of hydrophilic compounds. Biotechnol. Bioeng. 1997, 56, 232–237. [Google Scholar] [CrossRef]
- Colombié, S.; Tweddell, R.J.; Condoret, J.-S.; Marty, A. Water activity control: A way to improve the efficiency of continuous lipase esterification. Biotechnol. Bioeng. 1998, 60, 362–368. [Google Scholar] [CrossRef]
- Martins, A.B.; Schein, M.F.; Friedrich, J.L.R.; Fernandez-Lafuente, R.; Ayub, M.A.Z.; Rodrigues, R.C. Ultrasound-assisted butyl acetate synthesis catalyzed by Novozym 435: Enhanced activity and operational stability. Ultrason. Sonochem. 2013, 20, 1155–1160. [Google Scholar] [CrossRef] [PubMed]
- Fallavena, L.P.; Antunes, F.H.F.; Alves, J.S.; Paludo, N.; Ayub, M.A.Z.; Fernandez-Lafuente, R.; Rodrigues, R.C. Ultrasound technology and molecular sieves improve the thermodynamically controlled esterification of butyric acid mediated by immobilized lipase from Rhizomucor miehei. RSC Adv. 2014, 4, 8675–8681. [Google Scholar] [CrossRef]
- Paludo, N.; Alves, J.S.; Altmann, C.; Ayub, M.A.Z.; Fernandez-Lafuente, R.; Rodrigues, R.C. The combined use of ultrasound and molecular sieves improves the synthesis of ethyl butyrate catalyzed by immobilized Thermomyces lanuginosus lipase. Ultrason. Sonochem. 2015, 22, 89–94. [Google Scholar] [CrossRef]
- Séverac, E.; Galy, O.; Turon, F.; Pantel, C.A.; Condoret, J.-S.; Monsan, P.; Marty, A. Selection of CalB immobilization method to be used in continuous oil transesterification: Analysis of the economical impact. Enzyme Microb. Technol. 2011, 48, 61–70. [Google Scholar] [CrossRef]
- Graebin, N.G.; Martins, A.B.; Lorenzoni, A.S.G.; Garcia-Galan, C.; Fernandez-Lafuente, R.; Ayub, M.A.Z.; Rodrigues, R.C. Immobilization of lipase B from Candida antarctica on porous styrene–divinylbenzene beads improves butyl acetate synthesis. Biotechnol. Progr. 2012, 28, 406–412. [Google Scholar] [CrossRef]
- Friedrich, J.L.R.; Peña, F.P.; Garcia-Galan, C.; Fernandez-Lafuente, R.; Ayub, M.A.Z.; Rodrigues, R.C. Effect of immobilization protocol on optimal conditions of ethyl butyrate synthesis catalyzed by lipase B from Candida antarctica. J. Chem. Technol. Biotechnol. 2013, 88, 1089–1095. [Google Scholar] [CrossRef]
- Lage, F.A.P.; Bassi, J.J.; Corradini, M.C.C.; Todero, L.M.; Luiz, J.H.H.; Mendes, A.A. Preparation of a biocatalyst via physical adsorption of lipase from Thermomyces lanuginosus on hydrophobic support to catalyze biolubricant synthesis by esterification reaction in a solvent-free system. Enzyme Microb. Technol. 2016, 84, 56–67. [Google Scholar] [CrossRef]
- Song, Q.-X.; Wei, D.-Z. Study of Vitamin C ester synthesis by immobilized lipase from Candida sp. J. Mol. Catal. B Enzym. 2002, 18, 261–266. [Google Scholar] [CrossRef]
- Páez, B.C.; Medina, A.R.; Rubio, F.C.; Moreno, P.G.; Grima, E.M. Modeling the effect of free water on enzyme activity in immobilized lipase-catalyzed reactions in organic solvents. Enzyme Microb. Technol. 2003, 33, 845–853. [Google Scholar] [CrossRef]
- Cui, C.; Zhen, Y.; Qu, J.; Chen, B.; Tan, T. Synthesis of biosafe isosorbide dicaprylate ester plasticizer by lipase in a solvent-free system and its sub-chronic toxicity in mice. RSC Adv. 2016, 6, 11959–11966. [Google Scholar] [CrossRef]
- Liaquat, M. Optimized synthesis of (Z)-3-hexen-1-yl caproate using germinated rapeseed lipase in organic solvent. J. Mol. Catal. B Enzym. 2011, 68, 59–65. [Google Scholar] [CrossRef]
- Ye, R.; Hayes, D.G. Optimization of the solvent-free lipase-catalyzed synthesis of fructose-oleic acid ester through programming of water removal. J. Am. Oil Chem. Soc. 2011, 88, 1351–1359. [Google Scholar] [CrossRef]
- Boudrant, J.; Woodley, J.M.; Fernandez-Lafuente, R. Parameters necessary to define an immobilized enzyme preparation. Process Biochem. 2019, in press. [Google Scholar] [CrossRef]
- Barbosa, M.S.; Freire, C.C.C.; Almeida, L.C.; Freitas, L.S.; Souza, R.L.; Pereira, E.B.; Mendes, A.A.; Pereira, M.M.; Lima, Á.S.; Soares, C.M.F. Optimization of the enzymatic hydrolysis of Moringa oleifera Lam oil using molecular docking analysis for fatty acid specificity. Biotechnol. Appl. Biochem. 2019, 66, 823–832. [Google Scholar] [CrossRef]
- Bassi, J.J.; Todero, L.M.; Lage, F.A.P.; Khedy, G.I.; Ducas, J.D.; Custódio, A.P.; Pinto, M.A.; Mendes, A.A. Interfacial activation of lipases on hydrophobic support and application in the synthesis of a lubricant ester. Int. J. Biol. Macromol. 2016, 92, 900–909. [Google Scholar] [CrossRef]
- Lima, L.C.D.; Peres, D.G.C.; Mendes, A.A. Kinetic and thermodynamic studies on the enzymatic synthesis of wax ester catalyzed by lipase immobilized on glutaraldehyde-activated rice husk particles. Bioprocess Biosyst. Eng. 2018, 41, 991–1002. [Google Scholar] [CrossRef]
- Badgujar, K.C.; Bhanage, B.M. Immobilization of lipase on biocompatible co-polymer of polyvinyl alcohol and chitosan for synthesis of laurate compounds in supercritical carbon dioxide using response surface methodology. Process Biochem. 2015, 50, 1224–1236. [Google Scholar] [CrossRef]
- Badgujar, K.C.; Bhanage, B.M. The combine use of ultrasound and lipase immobilized on co-polymer matrix for efficient biocatalytic application studies. J. Mol. Catal. B: Enzym. 2015, 122, 255–264. [Google Scholar] [CrossRef]
- Dörmő, N.; Bélafi-Bakó, K.; Bartha, L.; Ehrenstein, U.; Gubicza, L. Manufacture of an environmental-safe biolubricant from fusel oil by enzymatic esterification in solvent-free system. Biochem. Eng. J. 2004, 21, 229–234. [Google Scholar] [CrossRef]
- Miguez, J.P.; Gama, R.S.; Bolina, I.C.A.; de Melo, C.C.; Cordeiro, M.R.; Hirata, D.B.; Mendes, A.A. Enzymatic synthesis optimization of a cosmetic ester catalyzed by a homemade biocatalyst prepared via physical adsorption of lipase on amino-functionalized rice husk silica. Chem. Eng. Res. Des. 2018, 139, 296–308. [Google Scholar] [CrossRef]
- Bolina, I.C.A.; Salviano, A.B.; Tardioli, P.W.; Cren, É.C.; Mendes, A.A. Preparation of ion-exchange supports via activation of epoxy-SiO2 with glycine to immobilize microbial lipase—Use of biocatalysts in hydrolysis and esterification reactions. Int. J. Biol. Macromol. 2018, 120, 2354–2365. [Google Scholar] [CrossRef]
- Gama, R.S.; Bolina, I.C.A.; Cren, É.C.; Mendes, A.A. A novel functionalized SiO2-based support prepared from biomass waste for lipase adsorption. Mater. Chem. Phys. 2019, 234, 146–150. [Google Scholar] [CrossRef]
- Holetz, F.B.; Pessini, G.L.; Sanches, N.R.; Cortez, D.A.G.; Nakamura, C.V.; Dias Filho, B.P. Screening of some plants used in the Brazilian folk medicine for the treatment of infectious diseases. Mem. Inst. Oswaldo Cruz 2002, 97, 1027–1031. [Google Scholar] [CrossRef]
- Du, L.; Jiang, Z.; Xu, L.; Zhou, N.; Shen, J.; Dong, Z.; Shen, L.; Wang, H.; Luo, X. Microfluidic reactor for lipase-catalyzed regioselective synthesis of neohesperidin ester derivatives and their antimicrobial activity research. Carbohydr. Res. 2018, 455, 32–38. [Google Scholar] [CrossRef]
- Bradford, M.M. A rapid and sensitive method for the quantitation of microgram quantities of protein utilizing the principle of protein-dye binding. Anal. Biochem. 1976, 72, 248–254. [Google Scholar] [CrossRef]
- Alexander, B.D. Reference Method for broth Dilution Antifungal Susceptibility Testing of Yeasts, 4th ed.; Clinical and Laboratory Standards Institute: Wayne, NJ, USA, 2017. [Google Scholar]
- Patel, J.B. Methods for Dilution Antimicrobial Susceptibility Tests for Bacteria that Grow Aerobically, 10th ed.; Clinical and Laboratory Standards Institute: Wayne, NJ, USA.
- Sarker, S.D.; Nahar, L.; Kumarasamy, Y. Microtitre plate-based antibacterial assay incorporating resazurin as an indicator of cell growth, and its application in the in vitro antibacterial screening of phytochemicals. Methods 2007, 42, 321–324. [Google Scholar] [CrossRef]







| Parameters | Biocatalysts | |||||
|---|---|---|---|---|---|---|
| TLL | PFL | CRL | ||||
| Crude Extract | Immobilized | Crude Extract | Immobilized | Crude Extract | Immobilized | |
| Protein (mg/g) | 16.0 a | 22.0 ± 2.8 | 24.5 a | 19.4 ± 2.0 | 24.6 a | 21.2 ± 2.2 |
| HA b (U/g) | 27,302.4 a | 656.0 ± 23.9 | 8611.2 a | 532.9 ± 42.9 | 16,156.8 a | 320.4 ± 49.3 |
| SA c (U/mgprotein) | 1706.8 | 31.0 ± 3.4 | 351.5 | 27.5 ± 3.6 | 656.8 | 14.6 ± 2.9 |
| Y d (%) | NP | 62.6 ± 2.1 | NP | 63.8 ± 1.7 | NP | 76.1 ± 1.3 |
| te e (min) | NP | 40 | NP | 50 | NP | 70 |
| P f (mmol/min.gbiocat) | NP | 6.8 | NP | 4.6 | NP | 2.3 |
| Runs | Independent Variables Coded (Actual) | Conversion (%) | |||
|---|---|---|---|---|---|
| Biocatalyst a (U) | Temperature (°C) | Acid:Alcohol Molar Ratio | Experimental | Predicted b | |
| 1 | –1 (383) | –1 (28) | –1 (1:1.8) | 43.9 ± 1.0 | 33.7 |
| 2 | +1 (1217) | –1 (28) | –1 (1:1.8) | 70.0 ± 0.5 | 60.2 |
| 3 | –1 (383) | +1 (52) | –1 (1:1.8) | 73.0 ± 1.1 | 55.2 |
| 4 | +1 (1217) | +1 (52) | –1 (1:1.8) | 75.6 ± 1.4 | 81.7 |
| 5 | –1 (383) | –1 (28) | +1 (1:4.2) | 26.7 ± 1.2 | 33.7 |
| 6 | +1 (1217) | –1 (28) | +1 (1:4.2) | 55.7 ± 1.4 | 60.2 |
| 7 | –1 (383) | +1 (52) | +1 (1:4.2) | 62.5 ± 1.6 | 55.2 |
| 8 | +1 (1217) | +1 (52) | +1 (1:4.2) | 73.1 ± 0.3 | 81.7 |
| 9 | –1.68 (100) | 0 (40) | 0 (1:3) | 8.8 ± 2.8 | 23.4 |
| 10 | +1.68 (1500) | 0 (40) | 0 (1:3) | 75.9 ± 0.6 | 68.0 |
| 11 | 0 (800) | –1.68 (20) | 0 (1:3) | 50.1 ± 1.9 | 56.3 |
| 12 | 0 (800) | +1.68 (60) | 0 (1:3) | 85.0 ± 0.5 | 92.4 |
| 13 | 0 (800) | 0 (40) | –1.68 (1:1) | 43.8 ± 0.5 | 56.0 |
| 14 | 0 (800) | 0 (40) | +1.68 (1:5) | 61.4 ± 0.6 | 56.0 |
| 15 | 0 (800) | 0 (40) | 0 (1:3) | 76.2 ± 0.2 | 74.4 |
| 16 | 0 (800) | 0 (40) | 0 (1:3) | 75.9 ± 0.6 | 74.4 |
| 17 | 0 (800) | 0 (40) | 0 (1:3) | 77.0 ± 0.2 | 74.4 |
| 18 | 0 (800) | 0 (40) | 0 (1:3) | 76.5 ± 0.9 | 74.4 |
| Parameter | Regression Coefficient | Standard Error | p-Values a | |
| Mean | 74.4 | ±0.18 | 3.5 × 10−8 | |
| x1 | 13.3 | ±0.13 | 1.9 × 10−6 | |
| x12 | –10.1 | ±0.13 | 4.5 × 10−6 | |
| x2 | 10.7 | ±0.13 | 3.6 × 10−6 | |
| x32 | –6.5 | ±0.13 | 1.7 × 10−5 | |
| ANOVA | ||||
| Source of Variation | Sum of Squares | Degree of Freedom | Mean Square | F-test |
| Regression | 5644.4 | 4 | 1411.1 | 13.93 |
| Residual | 1316.8 | 13 | 101.3 | |
| Lack of fit | 1316.17 | |||
| Pure error | 0.66 | |||
| Total | 6961.2 | 17 | ||
| R2 = 0.81; F0.5;4;13 = 3.18 | ||||
| Runs | Independent Variables Coded (Actual) | Conversion (%) | |||
|---|---|---|---|---|---|
| Biocatalyst (U) | Temperature (°C) | Acid:Alcohol Molar Ratio | Experimental | Predicted a | |
| 1 | +0.24 (900) | +1.34 (56) | 0 (1:3) | 79.5 ± 0.5 | 91.3 |
| 2 | +0.24 (900) | +1.34 (56) | –1 (1:1) | 54.1 ± 1.9 | 84.8 |
| 3 | +0.24 (900) | +1.68 (60) | 0 (1:3) | 81.1 ± 1.4 | 95.0 |
| 4 | +0.24 (900) | +1.68 (60) | –1 (1:1) | 56.6 ± 2.4 | 88.5 |
| 5 | +0 (800) | +1.34 (56) | 0 (1:3) | 84.2 ± 1.0 | 88.7 |
| 6 b | +0 (800) | +1.68 (60) | 0 (1:3) | 85.0 ± 0.5 | 92.4 |
| Position | δ13C (CDCl3) | δ1H (m, J-Hz) (CDCl3) | HMBC a |
|---|---|---|---|
| 1 | 173.8 (C=O) | 4.09; 4.11; 2.34; 1.62 | |
| 20 | 109.8 (C) | 3.71; 4.05; 4.09; 1.37;1.43 | |
| 18 | 73.7 (CH) | 4.32 (m) | 3.71; 4.09; 4.11 |
| 22 | 66.3 (CH2) | 3.71; 4.05 | 4.09; 4.15 |
| 17 | 64.5 (CH2) | 4.11; 4.09 (m) | 3.71; 4.09; 4.11 |
| 2 | 34.1 (CH2) | 2.34 (t, 6) | 1.62 |
| 14 | 31.9 (CH2) | 1.25 (m) | 1.25; 0.87 |
| 29.7 (CH2) | 1.25 (m) | 1.25; 2.34 | |
| 29.6 (CH2) | 1.25 (m) | ||
| 29.5 (CH2) | 1.25 (m) | ||
| 29.4 (CH2) | 1.25 (m) | ||
| 29.3 (CH2) | 1.25 (m) | ||
| 29.1 (CH2) | 1.25 (m) | ||
| 23 | 26.7 (CH3) | 1.43 (s) | 1.37 |
| 24 | 25.4 (CH3) | 1.37 (s) | 1.43 |
| 3 | 24.9 (CH2) | 1.62 (q) | 2.34 |
| 15 | 22.7 (CH2) | 1,25 (m) | 0.87; 1.25 |
| 16 | 14.2 (CH3) | 0.87 (t, 6) | 1.25 |
| Pathogens | Solketal Palmitate | Fluconazol | ||
|---|---|---|---|---|
| MIC (µg/mL) | MMC (µg/mL) | MIC (µg/mL) | MMC (µg/mL) | |
| C. albicans | 200–400 | >400 | 0.312–0.625 | 20–40 |
| C. tropicalis | >400 | >400 | 2.5–5.0 | >400 |
| C. parapsilosis | 200–400 | >400 | 2.5–5.0 | >400 |
| Amoxicillin | ||||
| S. aureus | >400 | >400 | 0.078–0.156 | >400 |
| L. monocytogenes | >400 | >400 | 0.156–0.312 | >400 |
© 2020 by the authors. Licensee MDPI, Basel, Switzerland. This article is an open access article distributed under the terms and conditions of the Creative Commons Attribution (CC BY) license (http://creativecommons.org/licenses/by/4.0/).
Share and Cite
Mendoza-Ortiz, P.A.; Gama, R.S.; Gómez, O.C.; Luiz, J.H.H.; Fernandez-Lafuente, R.; Cren, E.C.; Mendes, A.A. Sustainable Enzymatic Synthesis of a Solketal Ester—Process Optimization and Evaluation of Its Antimicrobial Activity. Catalysts 2020, 10, 218. https://doi.org/10.3390/catal10020218
Mendoza-Ortiz PA, Gama RS, Gómez OC, Luiz JHH, Fernandez-Lafuente R, Cren EC, Mendes AA. Sustainable Enzymatic Synthesis of a Solketal Ester—Process Optimization and Evaluation of Its Antimicrobial Activity. Catalysts. 2020; 10(2):218. https://doi.org/10.3390/catal10020218
Chicago/Turabian StyleMendoza-Ortiz, Patricia A., Rafaela S. Gama, Omar C. Gómez, Jaine H. H. Luiz, Roberto Fernandez-Lafuente, Erika C. Cren, and Adriano A. Mendes. 2020. "Sustainable Enzymatic Synthesis of a Solketal Ester—Process Optimization and Evaluation of Its Antimicrobial Activity" Catalysts 10, no. 2: 218. https://doi.org/10.3390/catal10020218
APA StyleMendoza-Ortiz, P. A., Gama, R. S., Gómez, O. C., Luiz, J. H. H., Fernandez-Lafuente, R., Cren, E. C., & Mendes, A. A. (2020). Sustainable Enzymatic Synthesis of a Solketal Ester—Process Optimization and Evaluation of Its Antimicrobial Activity. Catalysts, 10(2), 218. https://doi.org/10.3390/catal10020218

