The Influence of Calcination Temperature on Photocatalytic Activity of TiO2-Acetylacetone Charge Transfer Complex towards Degradation of NOx under Visible Light
Abstract
1. Introduction
2. Results
2.1. Characterization of Anatase-ACAC Coupling
2.2. Optical Properties of TiO2-Acetylacetone Charge Transfer Complexes
2.3. Electron Paramagnetic Resonance and Photocatalytic Degradation of NOx
3. Discussion
4. Materials and Methods
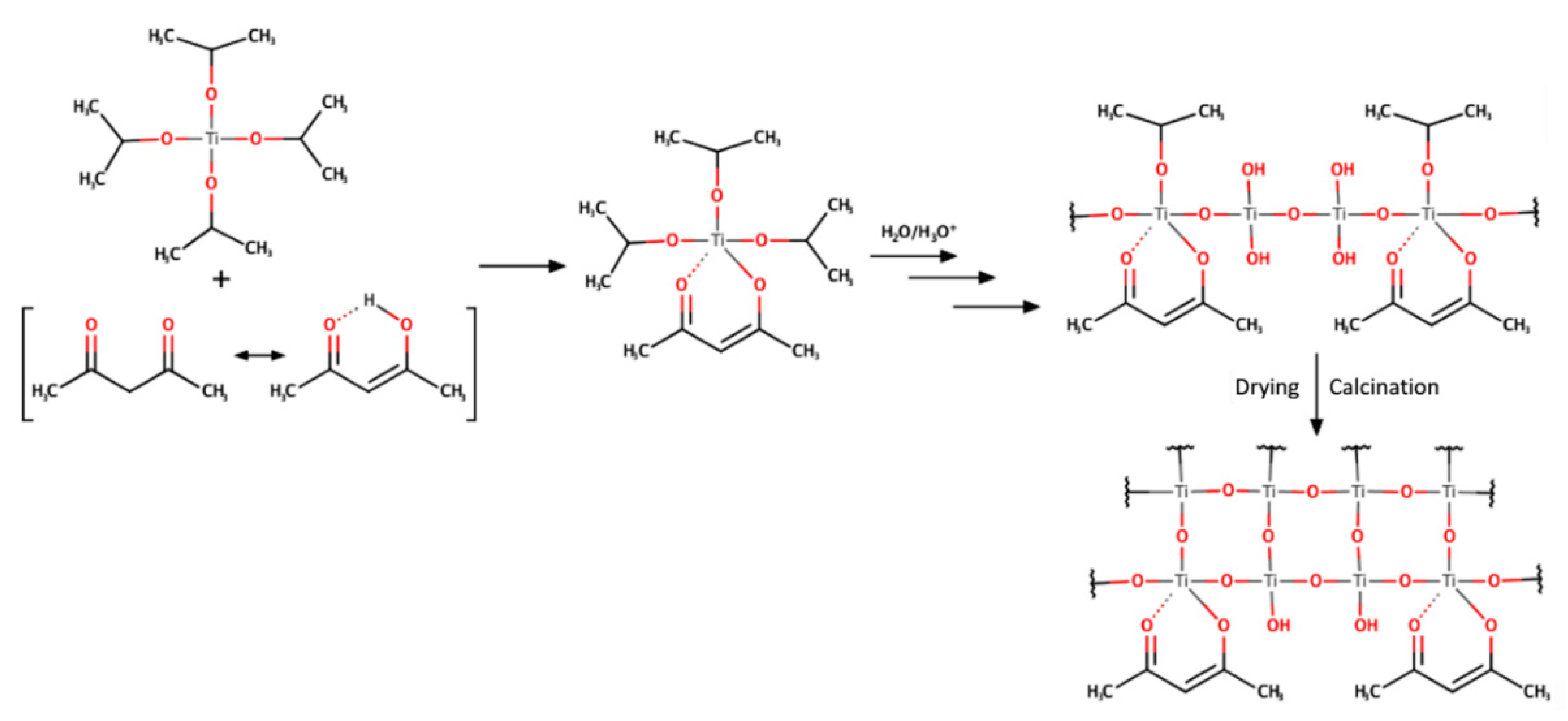
4.1. Synthesis
4.2. Characterization Techniques
4.3. Measurement of Photocatalytic Activity
5. Conclusions
Supplementary Materials
Author Contributions
Funding
Acknowledgments
Conflicts of Interest
References
- Kordás, K.; Mohl, M.; Kónya, Z.; Kukovecz, Á. Layered titanate nanostructures: Perspectives for industrial exploitation. Transl. Mater. Res. 2015, 2. [Google Scholar] [CrossRef]
- Wang, L.; Sasaki, T. Titanium oxide nanosheets: Graphene analogues with versatile functionalities. Chem. Rev. 2014, 114, 9455–9486. [Google Scholar] [CrossRef] [PubMed]
- Christoforidis, K.C.; Fornasiero, P. Photocatalytic hydrogen production: A rift into the future energy supply. ChemCatChem 2017, 9, 1523–1544. [Google Scholar] [CrossRef]
- Ren, H.; Koshy, P.; Chen, W.F.; Qi, S.; Sorrell, C.C. Photocatalytic materials and technologies for air purification. J. Hazard. Mater. 2017, 325, 340–366. [Google Scholar] [CrossRef] [PubMed]
- Luévano-Hipólito, E.; Martínez-de la Cruz, A. Photooxidation of NOx using scheelite-type ABO4 (A = Ca, Pb; B = W, Mo) phases as catalyts. Adv. Powder Technol. 2017, 28, 1511–1518. [Google Scholar] [CrossRef]
- Zhang, G.; Kim, G.; Choi, W. Visible light driven photocatalysis mediated via ligand-to-metal charge transfer (LMCT): An alternative approach to solar activation of titania. Energy Environ. Sci. 2014, 7, 954–966. [Google Scholar] [CrossRef]
- Medić, M.M.; Vasić, M.; Zarubica, A.R.; Trandafilović, L.V.; Dražić, G.; Dramićanin, M.D.; Nedeljković, J.M. Enhanced photoredox chemistry in surface-modified Mg2TiO4 nano-powders with bidentate benzene derivatives. RSC Adv. 2016, 6, 94780–94786. [Google Scholar] [CrossRef]
- Aronne, A.; Fantauzzi, M.; Imparato, C.; Atzei, D.; de Stefano, L.; D’Errico, G.; Sannino, F.; Rea, I.; Pirozzi, D.; Elsener, B.; et al. Electronic properties of TiO2-based materials characterized by high Ti3+ self-doping and low recombination rate of electron-hole pairs. RSC Adv. 2017, 7, 2373–2381. [Google Scholar] [CrossRef]
- Wang, Z.; Lang, X. Visible light photocatalysis of dye-sensitized TiO2: The selective aerobic oxidation of amines to imines. Appl. Catal. B Environ. 2018, 224, 404–409. [Google Scholar] [CrossRef]
- Agbe, H.; Nyankson, E.; Raza, N.; Dodoo-Arhin, D.; Chauhan, A.; Osei, G.; Kumar, V.; Kim, K.H. Recent advances in photoinduced catalysis for water splitting and environmental applications. J. Ind. Eng. Chem. 2019, 72, 31–49. [Google Scholar] [CrossRef]
- Li, X.; Xu, H.; Shi, J.L.; Hao, H.; Yuan, H.; Lang, X. Salicylic acid complexed with TiO2 for visible light-driven selective oxidation of amines into imines with air. Appl. Catal. B Environ. 2019, 244, 758–766. [Google Scholar] [CrossRef]
- Rochkind, M.; Pasternak, S.; Paz, Y. Using dyes for evaluating photocatalytic properties: A critical review. Molecules 2015, 20, 88–110. [Google Scholar] [CrossRef] [PubMed]
- Nosaka, Y.; Nosaka, A.Y. Generation and detection of reactive oxygen species in photocatalysis. Chem. Rev. 2017, 117, 11302–11336. [Google Scholar] [CrossRef] [PubMed]
- Sannino, F.; Pernice, P.; Imparato, C.; Aronne, A.; D’Errico, G.; Minieri, L.; Perfetti, M.; Pirozzi, D. Hybrid TiO2-acetylacetonate amorphous gel-derived material with stably adsorbed superoxide radical active in oxidative degradation of organic pollutants. RSC Adv. 2015, 5, 93831–93839. [Google Scholar] [CrossRef]
- Habran, M.; Pontón, P.I.; Mancic, L.; Pandoli, O.; Krambrock, K.; da Costa, M.E.H.M.; Letichevsky, S.; Costa, A.M.L.M.; Morgado, E.; Marinkovic, B.A. Visible light sensitive mesoporous nanohybrids of lepidocrocite-like ferrititanate coupled to a charge transfer complex: Synthesis, characterization and photocatalytic degradation of NO. J. Photochem. Photobiol. A Chem. 2018, 365, 133–144. [Google Scholar] [CrossRef]
- Varaganti, S.; Ramakrishna, G. Dynamics of interfacial charge transfer emission in small molecule sensitized TiO2 nanoparticles: Is it localized or delocalized? J. Phys. Chem. C. 2010, 114, 13917–13925. [Google Scholar] [CrossRef]
- Sánchez-De-Armas, R.; Oviedo, J.; San Miguel, M.Á.; Sanz, J.F. Direct vs indirect mechanisms for electron injection in dye-sensitized solar cells. J. Phys. Chem. C. 2011, 115, 11293–11301. [Google Scholar] [CrossRef]
- Dugandžić, I.M.; Jovanović, D.J.; Mančić, L.T.; Milošević, O.B.; Ahrenkiel, S.P.; Šaponjić, Z.V.; Nedeljković, J.M. Ultrasonic spray pyrolysis of surface modified TiO2 nanoparticles with dopamine. Mater. Chem. Phys. 2013, 143, 233–239. [Google Scholar] [CrossRef]
- Li, M.; Jin, Y.; Su, J.; Shen, J. Degradation of catechol on BiOCl: Charge transfer complex formation and photoactivity. J. Adv. Oxid. Technol. 2017, 20, 1–8. [Google Scholar] [CrossRef]
- Zagaynov, I.V.; Buryak, A.K. Mesoporous nanoscale ceria: Synthesis from cerium (III) acetylacetonate and mechanism. J. Sol-Gel Sci. Technol. 2015, 74, 103–108. [Google Scholar] [CrossRef]
- Scolan, E.; Sanchez, C. Synthesis and characterization of surface-protected nanocrystalline titania particles. Chem. Mater. 1998, 10, 3217–3223. [Google Scholar] [CrossRef]
- Musić, S.; Gotić, M.; Ivanda, M.; Popović, S.; Turković, A.; Trojko, R.; Sekulić, A.; Furić, K. Chemical and microstructural properties of TiO2 synthesized by sol-gel procedure. Mater. Sci. Eng. B. 1997, 47, 33–40. [Google Scholar] [CrossRef]
- Ghosh, O.S.N.; Gayathri, S.; Alagarasan, D.; Kumar, K.V.P.; Viswanath, A.K. One pot transparent sol-gel synthesis of TiO2 nanospheres with pristine anatase phase and their physicochemical characteristics. Appl. Sci. Lett. 2016, 2, 23–30. [Google Scholar] [CrossRef]
- Notestein, J.M.; Iglesia, E.; Katz, A. Photoluminescence and charge-transfer complexes of calixarenes grafted on TiO2 nanoparticles. Chem. Mater. 2007, 19, 4998–5005. [Google Scholar] [CrossRef]
- Ndwandwe, S.; Tshibangu, P.; Dikio, E.D. Synthesis of carbon nanospheres from vanadium β-diketon catalyst. Int. J. Electrochem. Sci. 2011, 6, 749–760. [Google Scholar]
- Tayyari, S.F.; Milani-Nejad, F. Vibrational assignment of acetylacetone. Spectrochim. Acta Part A Mol. Biomol. Spectrosc. 2000, 56, 2679–2691. [Google Scholar] [CrossRef]
- Čeponkus, J.; Platakyte, R.; Šablinskas, V.; Quintanilla, A.G. FTIR study of acetylacetone, D2-acetylacetone and hexafluoroacetylacetone-water complexes in argon and nitrogen matrices. Chemija 2018, 29, 1–16. [Google Scholar] [CrossRef]
- Vukoje, I.; Kovač, T.; Džunuzović, J.; Džunuzović, E.; Lončarević, D.; Ahrenkiel, S.P.; Nedeljković, J.M. Photocatalytic ability of visible-light-responsive TiO2 nanoparticles. J. Phys. Chem. C. 2016, 120, 18560–18569. [Google Scholar] [CrossRef]
- Siwińska-Stefańska, K.; Zdarta, J.; Paukszta, D.; Jesionowski, T. The influence of addition of a catalyst and chelating agent on the properties of titanium dioxide synthesized via the sol–gel method. J. Sol-Gel Sci. Technol. 2015, 75, 264–278. [Google Scholar] [CrossRef]
- Atout, H.; Álvarez, M.G.; Chebli, D.; Bouguettoucha, A.; Tichit, D.; Llorca, J.; Medina, F. Enhanced photocatalytic degradation of methylene blue: Preparation of TiO2/reduced graphene oxide nanocomposites by direct sol-gel and hydrothermal methods. Mater. Res. Bull. 2017, 95, 578–587. [Google Scholar] [CrossRef]
- Moulder, J.F.; Stickle, W.F.; Sobol, P.E.; Bomben, K.D. Handbook of X-ray Photoelectron Spectroscopy: A Reference Book of Standard Spectra for Identification and Interpretation of XPS Data; Perkin-Elmer, Physical Electronics Division: Eden Prairie, MN, USA, 1992. [Google Scholar] [CrossRef]
- Santara, B.; Giri, P.K.; Imakita, K.; Fujii, M. Evidence of oxygen vacancy induced room temperature ferromagnetism in solvothermally synthesized undoped TiO2 nanoribbons. Nanoscale 2013, 5, 5476–5488. [Google Scholar] [CrossRef] [PubMed]
- Carter, E.; Carley, A.F.; Murphy, D.M. Evidence for O2− radical stabilization at surface oxygen vacancies on polycrystalline TiO2. J. Phys. Chem. C. 2007, 111, 10630–10638. [Google Scholar] [CrossRef]
- Li, H.; Ren, F.; Liu, J.; Wang, Q.; Li, Q.; Yang, J.; Wang, Y. Endowing single-electron-trapped oxygen vacancy self-modified titanium dioxide with visible-light photocatalytic activity by grafting Fe(III) nanocluster. Appl. Catal. B Environ. 2015, 172, 37–45. [Google Scholar] [CrossRef]
- Habran, M.; Krambrock, K.; da Costa, M.E.H.M.; Morgado, E.; Marinkovic, B.A. TiO2 anatase nanorods with non-equilibrium crystallographic {001} facets and their coatings exhibiting high photo-oxidation of NO gas. Environ. Technol. 2018, 39, 231–239. [Google Scholar] [CrossRef] [PubMed]
- Lai, M.; Zhao, J.; Chen, Q.; Feng, S.; Bai, Y.; Li, Y.; Wang, C. Photocatalytic toluene degradation over Bi-decorated TiO2: Promoted O2 supply to catalyst’s surface by metallic Bi. Catal. Today 2019, 335, 372–380. [Google Scholar] [CrossRef]
- Sauer, M.L.; Ollis, D.F. Catalyst deactivation in gas-solid photocatalysis. J. Catal. 1996, 163, 215–217. [Google Scholar] [CrossRef]
- He, F.; Muliane, U.; Weon, S.; Choi, W. Substrate-specific mineralization and deactivation behaviors of TiO2 as an air-cleaning photocatalyst. Appl. Catal. B Environ. 2020, 275, 119145. [Google Scholar] [CrossRef]
- Yan, X.J.; Tang, Y.; Ma, C.; Liu, Y.; Xu, J. Deactivation and regeneration of photocatalysts: A review. Desalin. Water Treat. 2018, 124, 160–176. [Google Scholar] [CrossRef]
- Madarász, J.; Kaneko, S.; Okuya, M.; Pokol, G. Comparative evolved gas analyses of crystalline and amorphous titanium(IV)oxo-hydroxo-acetylacetonates by TG-FTIR and TG/DTA-MS. Thermochim. Acta 2009, 489, 37–44. [Google Scholar] [CrossRef]
- Acik, I.O.; Madarász, J.; Krunks, M.; Tõnsuaadu, K.; Pokol, G.; Niinistö, L. Titanium(IV) acetylacetonate xerogels for processing titania films: AAA thermoanalytical study. J. Therm. Anal. Calorim. 2009, 97, 39–45. [Google Scholar] [CrossRef]
- Milićević, B.; Đorđević, V.; Lončarević, D.; Dostanić, J.M.; Ahrenkiel, S.P.; Dramićanin, M.D.; Sredojević, D.; Švrakić, N.M.; Nedeljković, J.M. Charge-transfer complex formation between TiO2 nanoparticles and thiosalicylic acid: A comprehensive experimental and DFT study. Opt. Mater. 2017, 73, 163–171. [Google Scholar] [CrossRef]
- Oswald, S.; Thoss, F.; Zier, M.; Hoffmann, M.; Jaumann, T.; Herklotz, M.; Nikolowski, K.; Scheiba, F.; Kohl, M.; Giebeler, L.; et al. Binding energy referencing for XPS in alkali metal-based battery materials research (II): Application to complex composite electrodes. Batteries 2018, 4, 36. [Google Scholar] [CrossRef]
- De Abreu, M.A.S.; Morgado, E.; Jardim, P.M.; Marinkovic, B.A. The effect of anatase crystal morphology on the photocatalytic conversion of NO by TiO2-based nanomaterials. Cent. Eur. J. Chem. 2012, 10, 1183–1198. [Google Scholar] [CrossRef]










| Frequency (cm−1) | Assignment Pure ACAC | Frequency (cm−1) | Assignment TiO2-ACAC & TiO2-ACAC-300 |
|---|---|---|---|
| 1728 | νass (C=O) keto form | 1650 | νC=O (Ti…ACAC) in keto form |
| 1708 | νsim (C=O) keto form | ||
| 1606 | ν (HO-C=C) Enolic form conjugated with C=O | 1530 | νC=C (Ti-ACAC) in enolic form |
| 1416 | δass (CH3) + δip (C=C–H) vinil hydrogen into enolic form | 1416 | δass (CH3) + δip (C=C–H) |
| 1359 | δsim (CH3) | 1359 | δsim (CH3) |
| 1301 | ν (H3C–C–C–C–CH3)Chain breath | ||
| 1245 | δ (OH) Enolic form | ||
| 1177 | δoop (C=C–H) vinil hydrogen into enolic form |
| Samples | S (BET) m2 g−1 | Vmeso (BJH) mL g−1 | Band-Gap eV |
|---|---|---|---|
| TiO2-ACAC | 132 | 0.07 | 2.4 |
| TiO2-ACAC-300 | 137 | 0.16 | 1.4 |
| TiO2-ACAC-400 | 69 | 0.03 | 3.0 |
| TiO2-ACAC-550 | - | - | 3.0 |
Publisher’s Note: MDPI stays neutral with regard to jurisdictional claims in published maps and institutional affiliations. |
© 2020 by the authors. Licensee MDPI, Basel, Switzerland. This article is an open access article distributed under the terms and conditions of the Creative Commons Attribution (CC BY) license (http://creativecommons.org/licenses/by/4.0/).
Share and Cite
Almeida, L.A.; Habran, M.; dos Santos Carvalho, R.; Maia da Costa, M.E.H.; Cremona, M.; Silva, B.C.; Krambrock, K.; Ginoble Pandoli, O.; Morgado Jr., E.; Marinkovic, B.A. The Influence of Calcination Temperature on Photocatalytic Activity of TiO2-Acetylacetone Charge Transfer Complex towards Degradation of NOx under Visible Light. Catalysts 2020, 10, 1463. https://doi.org/10.3390/catal10121463
Almeida LA, Habran M, dos Santos Carvalho R, Maia da Costa MEH, Cremona M, Silva BC, Krambrock K, Ginoble Pandoli O, Morgado Jr. E, Marinkovic BA. The Influence of Calcination Temperature on Photocatalytic Activity of TiO2-Acetylacetone Charge Transfer Complex towards Degradation of NOx under Visible Light. Catalysts. 2020; 10(12):1463. https://doi.org/10.3390/catal10121463
Chicago/Turabian StyleAlmeida, Lucas A., Margarita Habran, Rafael dos Santos Carvalho, Marcelo E. H. Maia da Costa, Marco Cremona, Bruno C. Silva, Klaus Krambrock, Omar Ginoble Pandoli, Edisson Morgado Jr., and Bojan A. Marinkovic. 2020. "The Influence of Calcination Temperature on Photocatalytic Activity of TiO2-Acetylacetone Charge Transfer Complex towards Degradation of NOx under Visible Light" Catalysts 10, no. 12: 1463. https://doi.org/10.3390/catal10121463
APA StyleAlmeida, L. A., Habran, M., dos Santos Carvalho, R., Maia da Costa, M. E. H., Cremona, M., Silva, B. C., Krambrock, K., Ginoble Pandoli, O., Morgado Jr., E., & Marinkovic, B. A. (2020). The Influence of Calcination Temperature on Photocatalytic Activity of TiO2-Acetylacetone Charge Transfer Complex towards Degradation of NOx under Visible Light. Catalysts, 10(12), 1463. https://doi.org/10.3390/catal10121463

