Formaldehyde Total Oxidation on Manganese-Doped Hydroxyapatite: The Effect of Mn Content
Abstract
1. Introduction
2. Results and Discussion
2.1. Textural and Structural Properties
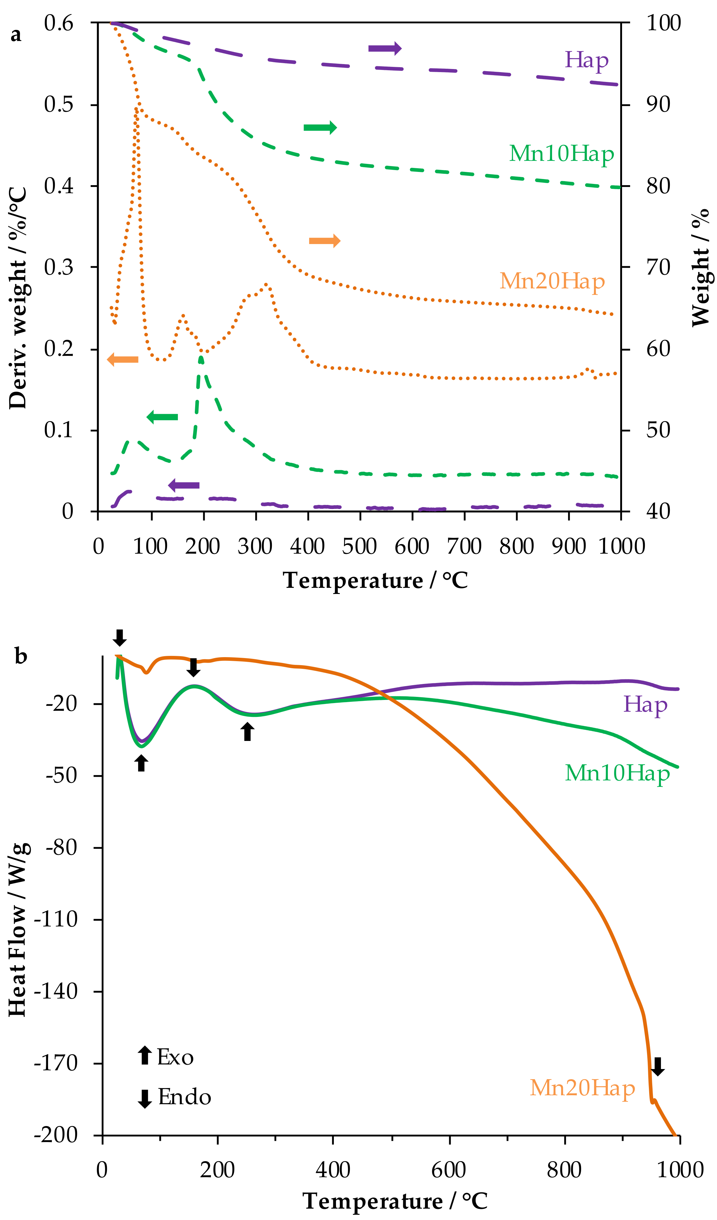
2.2. Thermal Behavior of MnxHap Samples
2.3. HCHO Total Oxidation
2.4. Diffuse Reflectance Infrared Fourier Transform Spectroscopy (DRIFT) Experiment at Room Temperature
2.5. TD-FTIR
2.6. Moisture Effect, Regeneration Step and Stability Test
Regeneration Step of the Catalyst
3. Materials and Methods
3.1. Synthesis of the Hap Support and Supported Mn Catalysts
3.2. Characterization of the Materials
3.3. Catalytic Oxidation of Formaldehyde
3.4. DRIFT Experiment at Room Temperature
3.5. Adsorption of Formaldehyde
3.6. Thermodesorption (TD)-FTIR Study
3.7. Moisture Effect and Regeneration Step
4. Conclusions
Supplementary Materials
Author Contributions
Funding
Acknowledgments
Conflicts of Interest
References
- Wang, J.; Li, J.; Jiang, C.; Zhou, P.; Zhang, P.; Yu, J. The effect of manganese vacancy in birnessite-type MnO2 on room-temperature oxidation of formaldehyde in air. Appl. Catal. B Environ. 2017, 204, 147–155. [Google Scholar] [CrossRef]
- Zhang, C.; He, H.; Tanaka, K.I. Perfect catalytic oxidation of formaldehyde over a Pt/TiO2 catalyst at room temperature. Catal. Commun. 2005, 6, 211–214. [Google Scholar] [CrossRef]
- Zhang, C.; He, H. A comparative study of TiO2 supported noble metal catalysts for the oxidation of formaldehyde at room temperature. Catal. Today 2007, 126, 345–350. [Google Scholar] [CrossRef]
- Li, C.; Shen, Y.; Jia, M.; Sheng, S.; Adebajo, M.O.; Zhu, H. Catalytic combustion of formaldehyde on gold/iron-oxide catalysts. Catal. Commun. 2008, 9, 355–361. [Google Scholar] [CrossRef]
- Nie, L.; Yu, J.; Jaroniec, M.; Tao, F.F. Room-temperature catalytic oxidation of formaldehyde on catalysts. Catal. Sci. Technol. 2016, 6, 3649–3669. [Google Scholar] [CrossRef]
- Spivey, J.J. Complete catalytic oxidation of volatile organics. Ind. Eng. Chem. Res. 1987, 26, 2165–2180. [Google Scholar] [CrossRef]
- Quiroz Torres, J.; Royer, S.; Bellat, J.P.; Giraudon, J.M.; Lamonier, J.F. Formaldehyde: Catalytic oxidation as a promising soft way of elimination. ChemSusChem 2013, 6, 578–592. [Google Scholar] [CrossRef]
- Chang, Y.F.; McCarty, J.G. Novel oxygen storage components for advanced catalysts for emission control in natural gas fueled vehicles. Catal. Today 1996, 30, 163–170. [Google Scholar] [CrossRef]
- Sekine, Y. Oxidative decomposition of formaldehyde by metal oxides at room temperature. Atmos. Environ. 2002, 36, 5543–5547. [Google Scholar] [CrossRef]
- Quiroz, J.; Giraudon, J.M.; Gervasini, A.; Dujardin, C.; Lancelot, C.; Trentesaux, M.; Lamonier, J.F. Total oxidation of formaldehyde over MnOx-CeO2 catalysts: The effect of acid treatment. ACS Catal. 2015, 5, 2260–2269. [Google Scholar] [CrossRef]
- Ciotonea, C.; Averlant, R.; Rochard, G.; Mamede, A.S.; Giraudon, J.M.; Alamdari, H.; Lamonier, J.-F.; Royer, S. A simple and green procedure to prepare efficient manganese oxide nanopowder for the low temperature removal of formaldehyde. ChemCatChem 2017, 9, 2366–2376. [Google Scholar] [CrossRef]
- Chen, T.; Dou, H.; Li, X.; Tang, X.; Li, J.; Hao, J. Tunnel structure effect of manganese oxides in complete oxidation of formaldehyde. Microporous Mesoporous Mater. 2009, 122, 270–274. [Google Scholar] [CrossRef]
- Tian, H.; He, J.; Zhang, X.; Zhou, L.; Wang, D. Facile synthesis of porous manganese oxide K-OMS-2 materials and their catalytic activity for formaldehyde oxidation. Microporous Mesoporous Mater. 2011, 138, 118–122. [Google Scholar] [CrossRef]
- Zhou, L.; Zhang, J.; He, J.; Hu, Y.; Tian, H. Control over the morphology and structure of manganese oxide by tuning reaction conditions and catalytic performance for formaldehyde oxidation. Mater. Res. Bull. 2011, 46, 1714–1722. [Google Scholar] [CrossRef]
- Tian, H.; He, J.; Liu, L.; Wang, D.; Hao, Z.; Ma, C. Highly active manganese oxide catalysts for low-temperature oxidation of formaldehyde. Microporous Mesoporous Mater. 2012, 151, 397–402. [Google Scholar] [CrossRef]
- Averlant, R.; Royer, S.; Giraudon, J.M.; Bellat, J.P.; Bezverkhyy, I.; Weber, G.; Lamonier, J.F. Mesoporous silica-confined manganese oxide nanoparticles as highly efficient catalysts for the low-temperature elimination of formaldehyde. ChemCatChem 2014, 6, 152–161. [Google Scholar] [CrossRef]
- Xu, J.; White, T.; Li, P.; He, C.; Han, Y.F. Hydroxyapatite foam as a catalyst for formaldehyde combustion at room temperature. J. Am. Chem. Soc. 2010, 132, 13172–13173. [Google Scholar] [CrossRef]
- Chlala, D.; Giraudon, J.M.; Nuns, N.; Lancelot, C.; Vannier, R.N.; Labaki, M.; Lamonier, J.F. Active Mn species well dispersed on Ca2+ enriched apatite for total oxidation of toluene. Appl. Catal. B Environ. 2016, 184, 87–95. [Google Scholar] [CrossRef]
- Chlala, D.; Griboval-Constant, A.; Nuns, N.; Giraudon, J.M.; Labaki, M.; Lamonier, J.F. Effect of Mn loading onto hydroxyapatite supported Mn catalysts for toluene removal: Contribution of PCA assisted ToF-SIMS. Catal. Today 2018, 307, 41–47. [Google Scholar] [CrossRef]
- Wei, W.; Cui, X.; Chen, W.; Ivey, D.G. Phase-Controlled synthesis of MnO2 nanocrystals by anodic electrodeposition: Implications for high-rate capability electrochemical supercapacitors. J. Phys. Chem. C 2008, 112, 15075–15083. [Google Scholar] [CrossRef]
- Simon, D.E.; Morton, R.W.; Gislason, J.J. A close look at electrolytic manganese dioxide (EMD) and the γ-MnO2 & ε-MnO2 phases using Rietveld modeling. Adv. X-ray Anal. 2004, 47, 267–280. [Google Scholar]
- Nakamura, S.; Takeda, H.; Yamashita, K. Proton transport polarization and depolarization of hydroxyapatite ceramics. J. Appl. Phys. 2001, 89, 5386–5392. [Google Scholar] [CrossRef]
- Bonel, G. Contribution à l’étude de la carbonatation des apatites. I. Synthèse et étude des propriétés physico-chimiques des apatites carbonatées du type A. Ann. Chim. 1972, 7, 65–88. [Google Scholar]
- Elliott, J.C. Space group and lattice constants of Ca10(PO4)6CO3. J. Appl. Crystallogr. 1980, 13, 618–621. [Google Scholar] [CrossRef]
- Diallo-Garcia, S.; Ben Osman, M.; Krafft, J.-M.; Casale, S.; Thomas, C.; Kubo, J.; Costentin, G. Identification of Surface Basic Sites and Acid−Base Pairs of Hydroxyapatite. J. Phys. Chem. C 2014, 118, 12744–12757. [Google Scholar] [CrossRef]
- Cheng, Z.H.; Yasukawa, A.; Kandori, K.; Ishikawa, T. FTIR Study on incorporation of CO2 into calcium hydroxyapatite. J. Chem. Soc. Faraday Trans. 1998, 94, 1501–1505. [Google Scholar] [CrossRef]
- Koutsopoulos, S. Synthesis and characterization of hydroxyapatite crystals: A review study on the analytical methods. J. Biomed. Mater. Res. 2002, 62, 600–612. [Google Scholar] [CrossRef]
- Julien, C.; Massot, M.; Baddour-Hadjean, R.; Franger, S.; Bach, S.; Pereira-Ramos, J.P. Raman spectra of birnessite manganese dioxides. Solid State Ion. 2003, 159, 345–356. [Google Scholar] [CrossRef]
- Ibrahima, M.; Labaki, M.; Giraudon, J.M.; Lamonier, J.F. Hydroxyapatite, a multifunctional material for air, water and soil pollution control: A review. J. Hazard. Mater. 2020, 383, 121139–121156. [Google Scholar] [CrossRef]
- Medvecky, L.; Stulajterova, R.; Parilak, L.; Trpcevska, J.; Durisin, J.; Barinov, S.M. Influence of manganese on stability and particle growth of hydroxyapatite in simulated body fluid. Colloids Surf. A Physicochem. Eng. Asp. 2006, 281, 221–229. [Google Scholar] [CrossRef]
- Mayer, I.; Cuisinier, F.J.G.; Popov, I.; Schleich, Y.; Gdalya, S.; Burghaus, O.; Reinen, D. Phase relations between β-Tricalcium phosphate and hydroxyapatite with manganese(II): Structural and spectroscopic properties. Eur. J. Inorg. Chem. 2006, 1460–1465. [Google Scholar] [CrossRef]
- Pon-On, W.; Meejoo, S.; Tang, I.M. Substitution of manganese and iron into hydroxyapatite: Core/Shell nanoparticles. Mater. Res. Bull. 2008, 43, 2137–2144. [Google Scholar] [CrossRef]
- Lala, S.; Ghosh, M.; Das, P.K.; Karc, T.; Pradhan, S.K. Mechanical preparation of nanocrystalline biocompatible single-phase Mn-doped A-type carbonated hydroxyapatite (A-cHAp): Effect of Mn doping on microstructure. Dalton Trans. 2015, 44, 20087–20097. [Google Scholar] [CrossRef] [PubMed]
- Julien, C.M.; Massot, M.; Poinsignon, C. Lattice vibrations of manganese oxides: Part I. Periodic structures. Spectrochim. Acta Part A 2004, 60, 689–700. [Google Scholar] [CrossRef]
- Wang, M.; Zhang, P.; Li, J.; Jiang, C. The effects of Mn loading on the structure and ozone decomposition activity of MnOx supported on activated carbon. Chin. J. Catal. 2014, 35, 335–341. [Google Scholar] [CrossRef]
- Revathi, C.; Kumar, R.T.R. Electro catalytic properties of α, β, γ, ε-MnO2 and γ-MnOOH nanoparticles: Role of polymorphs on enzyme free H2O2 sensing. Electroanalysis 2017, 29, 1481–1489. [Google Scholar] [CrossRef]
- Dardenne, K.; Vivien, D.; Ribot, F.; Chottard, G.; Huguenin, D. Mn(V) polyhedron size in Ba10((P,Mn)O4F2: Vibrational spectroscopy and EXAFS study. Eur. J. Solid State Inorg. Chem. 1998, 35, 419–431. [Google Scholar] [CrossRef]
- Klopproge, J.T.; Wharton, D.; Hickey, L.; Frost, R.L. Infrared and Raman study of interlayer anions CO32−, NO3−, SO42− and ClO4− in Mg/Al-hydrotalcite. Am. Mineral. 2002, 87, 623–629. [Google Scholar] [CrossRef]
- Silvester, L.; Lamonier, J.-F.; Vannier, R.-N.; Lamonier, C.; Capron, M.; Mamede, A.-S.; Pourpoint, F.; Gervasini, A.; Dumeignil, F. Structural, textural and acid–base properties of carbonate-containing hydroxyapatites. J. Mater. Chem. A 2014, 2, 11073–11090. [Google Scholar] [CrossRef]
- Lamonier, C.; Lamonier, J.-F.; Aellach, B.; Ezzamarty, A.; Leglise, J. Specific tuning of acid/base sites in apatite materials to enhance their methanol thiolation catalytic performances. Catal. Today 2011, 164, 124–130. [Google Scholar] [CrossRef]
- Yasukawa, A.; Kandori, K.; Ishikawa, T. TPD-TG-MS study of carbonate calcium hydroxyapatite particles. Calcif. Tissue Int. 2003, 72, 243–250. [Google Scholar] [CrossRef]
- Selvakumar, S.; Nuns, N.; Trentesaux, M.; Batra, V.S.; Giraudon, J.-M.; Lamonier, J.-F. Reaction of formaldehyde over birnessite catalyst: A combined XPS and ToF-SIMS study. Appl. Catal. B Environ. 2018, 223, 192–200. [Google Scholar] [CrossRef]
- Wang, C.; Zou, X.; Liu, H.; Chen, T.; Suib, S.L.; Chen, D.; Xie, J.; Li, M.; Sun, F. A highly efficient catalyst of palygorskite-supported manganese oxide for formaldehyde oxidation at ambient and low temperature: Performance, mechanism and reaction kinetics. Appl. Surf. Sci. 2019, 486, 420–430. [Google Scholar] [CrossRef]
- Lu, L.; Tian, H.; He, J.; Yang, Q. Graphene-MnO2 hybrid nanostructure as a new catalyst for formaldehyde oxidation. J. Phys. Chem. C 2016, 120, 23660–23668. [Google Scholar] [CrossRef]
- Álvarez-Galván, M.C.; Pawelec, B.; De la Peña O’Shea, V.A.; Fierro, J.L.G.; Arias, P.L. Formaldehyde/Methanol combustion on alumina-supported manganese-palladium oxide catalyst. Appl. Catal. B Environ. 2004, 51, 83–91. [Google Scholar] [CrossRef]
- Zhou, L.; He, J.; Zhang, J.; He, Z.; Hu, Y.; Zhang, C.; He, H. Facile in-situ synthesis of manganese dioxide nanosheets on cellulose fibers and their application in oxidative decomposition of formaldehyde. J. Phys. Chem. C 2011, 115, 16873–16878. [Google Scholar] [CrossRef]
- Liu, P.; Wei, G.; Liang, X.; Chen, D.; He, H.; Chen, T.; Xi, Y.; Chen, H.; Han, D.; Zhu, J. Synergetic effect of Cu and Mn oxides supported on palygorskite for the catalytic oxidation of formaldehyde: Dispersion, microstructure, and catalytic performance. Appl. Clay Sci. 2018, 161, 265–273. [Google Scholar] [CrossRef]
- Wang, C.; Liu, H.; Chen, T.; Qing, C.; Zou, X.; Xie, J.; Zhang, X. Synthesis of palygorskite-supported Mn1−xCexO2 clusters and their performance in catalytic oxidation of formaldehyde. Appl. Clay Sci. 2018, 159, 50–59. [Google Scholar] [CrossRef]
- Han, Z.; Wang, C.; Zou, X.; Chen, T.; Dong, S.; Zhao, Y.; Xie, J.; Liu, H. Diatomite-supported birnessite–type MnO2 catalytic oxidation of formaldehyde: Preparation, performance and mechanism. Appl. Surf. Sci. 2020, 502, 144201–144210. [Google Scholar] [CrossRef]
- Wei, G.; Liu, P.; Chen, D.; Chen, T.; Liang, X.; Chen, H. Activity of manganese oxides supported on halloysite towards the thermal catalytic oxidation of formaldehyde: Constraint from the manganese precursor. Appl. Clay Sci. 2019, 182, 105280–105288. [Google Scholar] [CrossRef]
- Canepa, P.; Chiatti, F.; Corno, M.; Sakhno, Y.; Martra, G.; Ugliengo, P. Affinity of hydroxyapatite (001) and (010) surfaces to formic and alendronic acids: A quantum-mechanical and infrared study. Phys. Chem. Chem. Phys. 2011, 13, 1099–1111. [Google Scholar] [CrossRef]
- Liu, F.; Rong, S.; Zhang, P.; Gao, L. One-Step synthesis of nanocarbon-decorated MnO2 with superior activity for indoor formaldehyde removal at room temperature. Appl. Catal. B Environ. 2018, 235, 158–167. [Google Scholar] [CrossRef]
- Ma, C.; Yang, C.; Wang, B.; Chen, C.; Wang, F.; Yao, X.; Song, M. Effects of H2O on HCHO and CO oxidation at room-temperature catalyzed by MCo2O4 (M = Mn, Ce and Cu) materials. Appl. Catal. B Environ. 2019, 254, 76–85. [Google Scholar] [CrossRef]














| Solids | CC | dc a | SSA c | Vp d |
|---|---|---|---|---|
| Mn (wt%) | (nm) | (m2 g−1) | (cm3 g−1) | |
| Hap | - | 94 | 0.59 | |
| Mn2.5Hap | 2.9 | - | 84 | 0.44 |
| Mn5Hap | 5.8 | - | 84 | 0.44 |
| Mn10Hap | 11.0 | - | 76 | 0.38 |
| Mn20Hap | 20.1 | 9 | 70 | 0.39 |
| Mn30Hap | 27.5 | 9 (36 b) | 32 | 0.18 |
| Catalysts | Weight Loss Temperature Range/°C (Loss Percentage/%) | ||||
|---|---|---|---|---|---|
| I | II | III | IV | Total | |
| Hap | 30–160 (2.36) | 160–400 (2.45) | - | 400–1000 (2.73) | 30–1000 (7.54) |
| Mn10Hap | 30–160 (2.78) | 160–550 (13.77) | - | 550–1000 (2.85) | 30–1000 (19.4) |
| Mn20Hap | 30–120 (12.37) | 120–200 (4.17) | 200–450 (15.11) | 500–1000 (4.19) | 30–1000 (35.84) |
| Catalysts | T10/°C | T50/°C | T90/°C | Ea/kcal mol−1 | r a/h−1 |
|---|---|---|---|---|---|
| Mn2.5Hap | 155 | 185 | 232 | 34.4 | 0.013 |
| Mn5Hap | 122 | 158 | 202 | 28 | 0.042 |
| Mn10Hap | 124 | 158 | 192 | 27.3 | 0.021 |
| Mn20Hap | 112 | 145 | 184 | 17.8 | 0.019 |
| Mn30Hap | 141 | 163 | 202 | 39.6 | 0.004 |
| Catalysts | CB a/% | HCHO/μmol | CO2/μmol | CB b/% | CO2/Mn |
|---|---|---|---|---|---|
| Mn5Hap | 80 | 17 | 42 | 92 | 0.2 |
| Mn10Hap | 82 | 10 | 48 | 93 | 0.12 |
| Mn30Hap | 83 | 2.2 | 11 | 86 | 0.01 |
| Catalyst | Mn (wt%) | HCHO (ppm) | GHSV (h−1) (VHSV) (L gcat−1 h−1) | T50 (CO2) (°C) | Reference |
|---|---|---|---|---|---|
| Mn20Hap Mn10Hap Mn5Hap | 20 11 5.8 | 120 | (30) | 145 158 158 | This work |
| MnOx/PG-MN a | 8.9 | 1200 | (60) | 162 | [43] |
| Mn/γ-Al2O3 | 18.2 | 5300 | (120) | 205 * | [45] |
| MnO2/Cellulose fiber | 8.86 3.2 | 100 | 50,000 | 88 * 140 | [46] |
| Mn/Pal b | 10.3 | 1000 | 32,500 | 231 | [47] |
| Mn/PG | 15 | 300 | 20,000 | 162 * | [48] |
| Mnx/DM-AO c Mnx/DM-MT c | 19.8 18.5 | 180 | (0.06) | 48.8 * 45.5 * | [49] |
| MN-MnOx-Halloysite | 7.6 | 1500 | (60) | ~210 | [50] |
Publisher’s Note: MDPI stays neutral with regard to jurisdictional claims in published maps and institutional affiliations. |
© 2020 by the authors. Licensee MDPI, Basel, Switzerland. This article is an open access article distributed under the terms and conditions of the Creative Commons Attribution (CC BY) license (http://creativecommons.org/licenses/by/4.0/).
Share and Cite
Chlala, D.; Giraudon, J.-M.; Labaki, M.; Lamonier, J.-F. Formaldehyde Total Oxidation on Manganese-Doped Hydroxyapatite: The Effect of Mn Content. Catalysts 2020, 10, 1422. https://doi.org/10.3390/catal10121422
Chlala D, Giraudon J-M, Labaki M, Lamonier J-F. Formaldehyde Total Oxidation on Manganese-Doped Hydroxyapatite: The Effect of Mn Content. Catalysts. 2020; 10(12):1422. https://doi.org/10.3390/catal10121422
Chicago/Turabian StyleChlala, Dayan, Jean-Marc Giraudon, Madona Labaki, and Jean-François Lamonier. 2020. "Formaldehyde Total Oxidation on Manganese-Doped Hydroxyapatite: The Effect of Mn Content" Catalysts 10, no. 12: 1422. https://doi.org/10.3390/catal10121422
APA StyleChlala, D., Giraudon, J.-M., Labaki, M., & Lamonier, J.-F. (2020). Formaldehyde Total Oxidation on Manganese-Doped Hydroxyapatite: The Effect of Mn Content. Catalysts, 10(12), 1422. https://doi.org/10.3390/catal10121422

