The Denitration and Dedusting Behavior of Catalytic Filter and Its Industrial Application in Glass Kilns
Abstract
1. Introduction
2. Results and Discussions
2.1. Characteristics of Materials
2.1.1. Composition and Structure of Powdery Catalyst
2.1.2. Structure and Morphology of Catalytic Filter and Glass Ash
2.1.3. Main Features of Glass Ash
2.2. Laboratory Test
2.2.1. The Effect of Particle Size of Catalytic Emulsion
2.2.2. The Effect of Catalyst Loading
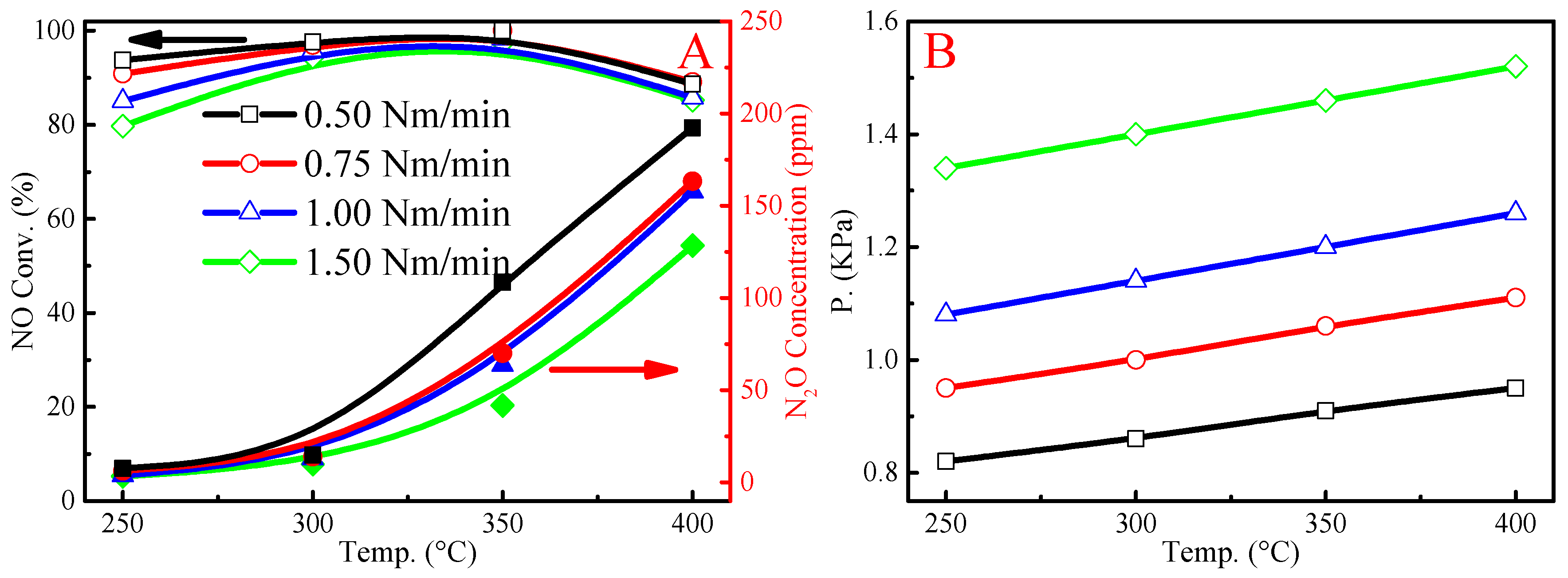
2.2.3. The Effect of Face Velocity
2.2.4. The Effect of H2O and SO2
2.2.5. Simultaneous Removal Efficiency of NO and Glass Ash
2.3. Industrial Application
3. Experimental Section
3.1. The Preparation of Catalyst and Catalytic Filter
3.2. Catalyst Characterization
3.3. Performance Test
4. Conclusions
Author Contributions
Funding
Conflicts of Interest
References
- Jung, H.; Park, E.; Kim, M.; Jurng, J. Pilot-scale evaluation of a novel TiO2-supported V2O5 catalyst for DeNOx at low temperatures at a waste incinerator. Waste Manag. 2017, 61, 283–287. [Google Scholar] [CrossRef]
- Yu, J.; Li, C.-M.; Guo, F.; Gao, S.-Q.; Zhang, Z.-G.; Matsuoka, K.; Xu, G.-W. The pilot demonstration of a honeycomb catalyst for the DeNO(x) of low-temperature flue gas from an industrial coking plant. Fuel 2018, 219, 37–49. [Google Scholar] [CrossRef]
- Zhang, Y.-S.; Li, C.-M.; Wang, C.; Yu, J.; Xu, G.; Zhang, Z.-G.; Yang, Y.-Q. Pilot-scale test of a V2O5–WO3/TiO2-coated type of honeycomb DeNOx catalyst and its deactivation mechanism. Ind. Eng. Chem. Res. 2019, 58, 828–835. [Google Scholar] [CrossRef]
- Svachula, J.; Ferlazzo, N.; Forzatti, P.; Tronconi, E.; Bregani, F. Selective reduction of nitrogen oxides (NOx) by ammonia over honeycomb selective catalytic reduction catalysts. Ind. Eng. Chem. Res. 1993, 32, 1053–1060. [Google Scholar] [CrossRef]
- Bahamonde, A.; Avila, P.; Beretta, A.; Tronconi, E. An experimental and theoretical investigation of the behavior of a monolithic Ti-V-W-sepiolite catalyst in the reduction of NOx with NH3. Ind. Eng. Chem. Res. 1996, 35, 2516–2521. [Google Scholar] [CrossRef]
- Li, C.-M.; Yu, J.; He, Y.; Yu, C.; Li, P.; Wang, C.; Huangfu, L.; Gao, S.-Q. The industrial feasibility of low temperature DeNOx in the presence of SOx: A project case in a medium coking plant. RSC Adv. 2018, 8, 18260–18265. [Google Scholar] [CrossRef]
- Liu, Z.-M.; Zhang, S.-X.; Li, J.-H.; Zhu, J.-Z.; Ma, L.-L. Novel V2O5-CeO2/TiO2 catalyst with low vanadium loading for the selective catalytic reduction of NOx by NH3. Appl. Catal. B Environ. 2014, 158, 11–19. [Google Scholar] [CrossRef]
- Fang, D.; Xie, J.-L.; Hu, H.; Zhang, Z.; He, F.; Zheng, Y.; Zhang, Q. Effects of precursors and preparation methods on the potassium deactivation of MnOx/TiO2 catalysts for NO removal. Fuel Process. Technol. 2015, 134, 465–472. [Google Scholar] [CrossRef]
- Kong, M.; Liu, Q.-C.; Zhou, J.; Jiang, L.-J.; Tian, Y.-M.; Yang, J.; Ren, S.; Li, J.-L. Effect of different potassium species on the deactivation of V2O5-WO3/TiO2 SCR catalyst: Comparison of K2SO4, KCl and K2O. Chem. Eng. J. 2018, 348, 637–643. [Google Scholar] [CrossRef]
- Wang, C.; Li, C.-M.; Li, Y.-J.; Huangfu, L.; Liu, Z.-E.; Gao, S.-Q.; Yu, J. Destructive influence of cement dust on the structure and DeNOx performance of V-based SCR catalyst. Ind. Eng. Chem. Res. 2019, 58, 19847–19854. [Google Scholar] [CrossRef]
- Saracco, G.; Specchia, V. Simultaneous removal of nitrogen oxides and fly-ash from coal-based power-plant flue gases. Appl. Therm. Eng. 1998, 18, 1025–1035. [Google Scholar] [CrossRef]
- Fino, D.; Russo, N.; Saracco, G.; Specchia, V. A multifunctional filter for the simultaneous removal of fly-ash and NOx from incinerator flue gases. Chem. Eng. Sci. 2004, 59, 5329–5336. [Google Scholar] [CrossRef]
- Fino, D.; Russo, N.; Saracco, G.; Specchia, V. Multifunctional filter for treatment of the flue gases from municipal waste incinerators. Ind. Eng. Chem. Res. 2005, 44, 9542–9548. [Google Scholar] [CrossRef]
- Heidenreich, S.; Nacken, M.; Hackel, M.; Schaub, G. Catalytic filter elements for combined particle separation and nitrogen oxides removal from gas streams. Powder Technol. 2008, 180, 86–90. [Google Scholar] [CrossRef]
- Kim, Y.A.; Choi, J.H.; Scott, J.; Chiang, K.; Amal, R. Preparation of high porous Pt-V2O5-WO3/TiO2/SiC filter for simultaneous removal of NO and particulates. Powder Technol. 2008, 180, 79–85. [Google Scholar] [CrossRef]
- Kang, M.; Park, E.D.; Kim, J.M.; Yie, J.E. Simultaneous removal of particulates and NO by the catalytic bag filter containing MnOx catalysts. Korean J. Chem. Eng. 2009, 26, 86–89. [Google Scholar] [CrossRef]
- Park, Y.O.; Lee, K.W.; Rhee, Y.W. Removal characteristics of nitrogen oxide of high temperature catalytic filters for simultaneous removal of fine particulate and NOx. J. Ind. Eng. Chem. 2009, 1, 36–39. [Google Scholar] [CrossRef]
- Zhang, Y.-S.; Li, C.-M.; Yu, C.; Tran, T.; Guo, F.; Yang, Y.-Q.; Yu, J.; Xu, G.-W. Synthesis, characterization and activity evaluation of Cu-based catalysts derived from layered double hydroxides (LDHs) for DeNOx reaction. Chem. Eng. J. 2017, 330, 1082–1090. [Google Scholar] [CrossRef]
- Saracco, G.; Specchia, S.; Specchia, V. Catalytically modified fly-ash filters for NOx reduction with NH3. Chem. Eng. Sci. 1996, 51, 5289–5297. [Google Scholar] [CrossRef]
- Nacken, M.; Heidenreich, S.; Hackel, M.; Schaub, G. Catalytic activation of ceramic filter elements for combined particle separation, NOx removal and VOC total oxidation. Appl. Catal. B Environ. 2007, 70, 370–376. [Google Scholar] [CrossRef]
- Zhang, Y.-S.; Li, C.-M.; Zeng, H.; Yu, C.; Yu, J.; Yang, Y.-Q.; Xu, G.-W.; Gao, S.-Q. Preparation of V2O5-WO3-TiO2/cordierite based catalytic filter for removal of NOx from flue gas. Chin. J. Process. Eng. 2017, 17, 1249–1256. [Google Scholar]
- Huangfu, L.; Abubakar, A.; Li, C.-M.; Li, Y.-J.; Wang, C.; Gao, S.-Q.; Liu, Z.-E.; Yu, J. Development of red mud coated catalytic filter for NOx removal in the high temperature range of 300–450 °C. Catal. Lett. 2020, 150, 702–712. [Google Scholar] [CrossRef]
- Heidenreich, S. Hot gas filtration-A review. Fuel 2013, 104, 83–94. [Google Scholar] [CrossRef]
- Yu, C.; Li, C.-M.; Zhang, Y.-S.; Guo, F.; Yu, J.; Yang, Y.-Q.; Xu, G.-W. The effect of ceramic matrices on the dispersion of loaded catalyst and the deNOx activity of catalytic filters. J. Chem. Ind. Eng. 2018, 69, 682–689. [Google Scholar]
- Choi, J.H.; Kim, J.H.; Bak, Y.C.; Amal, R.; Scott, J. Pt-V2O5-WO3/TiO2 catalysts supported on SiC filter for NO reduction at low temperature. Korean J. Chem. Eng. 2005, 22, 844–851. [Google Scholar] [CrossRef]
- Kim, Y.; Choi, J.; Yu, L.; Bak, Y. Modification of V2O5-WO3/TiO2 catalysts supported on SiC filter for NO reduction at low temperature. Adv. Nanomater. Process. 2007, 124, 1713. [Google Scholar]
- Fang, D.; He, F.; Xie, J.; Dong, P. Influence of sodium on MnOx/TiO2 catalysts for SCR of NO with NH3 at low temperature. Mater. Res. Innov. 2014, 18, 45–49. [Google Scholar] [CrossRef]
- Li, X.; Li, X.-S.; Yang, R.-T.; Mo, J.; Li, J.; Hao, J. The poisoning effects of calcium on V2O5-WO3/TiO2 catalyst for the SCR reaction: Comparison of different forms of calcium. Mol. Catal. 2017, 434, 16. [Google Scholar] [CrossRef]
- Yang, S.-J.; Wang, C.-Z.; Chen, J.-H.; Peng, Y.; Ma, L.; Chang, H.-Z.; Chen, L.; Liu, C.-X.; Xu, J.-Y.; Li, J.-H.; et al. A novel magnetic Fe-Ti-V spinel catalyst for the selective catalytic reduction of NO with NH3 in a broad temperature range. Catal. Sci. Technol. 2012, 2, 915–917. [Google Scholar] [CrossRef]
- Yang, S.-J.; Liu, C.-X.; Chang, H.-Z.; Ma, L.; Qu, Z.; Yan, N.-Q.; Wang, C.-Z.; Li, J.-H. Improvement of the activity of gamma-Fe2O3 for the selective catalytic reduction of no with NH3 at high temperatures: NO reduction versus NH3 oxidization. Ind. Eng. Chem. Res. 2013, 52, 5601–5610. [Google Scholar] [CrossRef]
- Huangfu, L.; Abubakar, A.; Li, C.-M.; Li, Y.-J.; Wang, C.; Yu, J.; Gao, S.-Q. The utilization of red mud waste as industrial honeycomb catalyst for selective catalytic reduction of NO. R. Soc. Open Sci. 2019, 6, 191183. [Google Scholar] [CrossRef] [PubMed]
- Gan, L.-N.; Guo, F.; Yu, J.; Xu, G.-W. Improved low-temperature activity of V2O5-WO3/TiO2 for denitration using different vanadium precursors. Catalysts 2016, 6, 25. [Google Scholar] [CrossRef]
- Lee, J.S.; Shin, K.H.; Shin, M.C.; Cho, D.H.; Lee, H.-S. Properties of catalytic filter for the hot gas cleaning. Mater. Sci. Forum 2004, 4, 1181–1184. [Google Scholar] [CrossRef]
- Kanaoka, C.; Amornkitbamrung, M. Effect of filter permeability on the release of captured dust from a rigid ceramic filter surface. Powder Technol. 2001, 118, 113–120. [Google Scholar] [CrossRef]
- Heidenreich, S.; Scheibner, B. Hot gas filtration with ceramic filters: Experiences and new developments. Filtr. Sep. 2002, 39, 22–25. [Google Scholar] [CrossRef]










| Sample | Composition (wt %) | Pore Volume | Pore Diameter | Porosity | ||||
|---|---|---|---|---|---|---|---|---|
| SiO2 | Al2O3 | TiO2 | V2O5 | WO3 | (cm3·g−1) | (nm) | (%) | |
| Blank filter | 61.93 | 35.18 | 2.26 | - | - | 1.14 | 446.4 | 71.04 |
| Catalytic filter | 47.94 | 35.33 | 12.66 | 2.65 | 0.62 | 1.13 | 401.6 | 69.42 |
| Particle Size Distribution | Chemical Composition: Main Components | ||||
|---|---|---|---|---|---|
| X10 (μm) | 0.58 | SO3 (wt %) | 45.04 | CaO (wt %) | 4.53 |
| X50 (μm) | 3.98 | K2O (wt %) | 33.54 | SiO2 (wt %) | 3.22 |
| X90 (μm) | 16.25 | ZnO (wt %) | 6.80 | PbO (wt %) | 2.67 |
| Items | Inlet | Outlet |
|---|---|---|
| NOx | 2400–2800 mg/Nm3 | <100 mg/Nm3 |
| SOx | 2800–3100 mg/Nm3 | <150 mg/Nm3 |
| Glass ash | 360–420 mg/Nm3 | <5 mg/Nm3 |
| H2O | 10–15 vol % | 10–15 vol % |
| O2 | 9–11 vol % | 9–11 vol % |
Publisher’s Note: MDPI stays neutral with regard to jurisdictional claims in published maps and institutional affiliations. |
© 2020 by the authors. Licensee MDPI, Basel, Switzerland. This article is an open access article distributed under the terms and conditions of the Creative Commons Attribution (CC BY) license (http://creativecommons.org/licenses/by/4.0/).
Share and Cite
Huangfu, L.; Chen, Z.; Li, C.; Yao, X.; Yao, Z.; Xu, G.; Gao, S.; Huang, X.; Yu, J. The Denitration and Dedusting Behavior of Catalytic Filter and Its Industrial Application in Glass Kilns. Catalysts 2020, 10, 1394. https://doi.org/10.3390/catal10121394
Huangfu L, Chen Z, Li C, Yao X, Yao Z, Xu G, Gao S, Huang X, Yu J. The Denitration and Dedusting Behavior of Catalytic Filter and Its Industrial Application in Glass Kilns. Catalysts. 2020; 10(12):1394. https://doi.org/10.3390/catal10121394
Chicago/Turabian StyleHuangfu, Lin, Zhaohui Chen, Changming Li, Xiaolong Yao, Zhiliang Yao, Guangwen Xu, Shiqiu Gao, Xing Huang, and Jian Yu. 2020. "The Denitration and Dedusting Behavior of Catalytic Filter and Its Industrial Application in Glass Kilns" Catalysts 10, no. 12: 1394. https://doi.org/10.3390/catal10121394
APA StyleHuangfu, L., Chen, Z., Li, C., Yao, X., Yao, Z., Xu, G., Gao, S., Huang, X., & Yu, J. (2020). The Denitration and Dedusting Behavior of Catalytic Filter and Its Industrial Application in Glass Kilns. Catalysts, 10(12), 1394. https://doi.org/10.3390/catal10121394

