Responder Feelings in a Three-Player Three-Option Ultimatum Game: Affective Determinants of Rejection Behavior
Abstract
:1. Introduction
2. Reciprocity, Equality and Emotions
2.1. Distributional Equality and Reciprocity
2.2. Emotions in Strategic Interactions
2.3. Regulation of Negative Emotions
3. A Three-Player Three-Option Ultimatum Game
4. Hypotheses
5. Study One
5.1. Participants
5.2. Design
5.3. Material and Procedure
5.4. Results
| Choice Option | Responder Share | Sum | |
|---|---|---|---|
| 1 | 20 | ||
| Accept | 61 (17.4%) | 290 (82.6%) | 351 (46.1%) |
| Proposer-Reject | 300 (78.5%) | 82 (21.5%) | 382 (50.1%) |
| Third-Party-Reject | 20 (69.0%) | 9 (31.0%) | 29 (3.8%) |
| Choice Option | Third Party Share | Sum | ||
|---|---|---|---|---|
| 1 | 20 | 40 | ||
| Accept | 93 (26.5%) | 130 (37.0%) | 128 (36.5%) | 351 (46.1%) |
| Proposer-Reject | 149 (39.0%) | 117 (30.6%) | 116 (30.4%) | 382 (50.1%) |
| Third-Party-Reject | 12 (41.4%) | 7 (24.1%) | 10 (34.5%) | 29 (3.8%) |

5.5. Discussion
6. Study Two
6.1. Participants
6.2. Design
6.3. Material and Procedure
| Distribution | Proposer Share | Responder Share | Third Party Share |
|---|---|---|---|
| 1 | 10 | 5 (medium) | 5 (medium) |
| 2 | 18 | 1 (low) | 1 (low) |
| 3 | 6 | 5 (medium) | 9 (high) |
| 4 | 10 | 1 (low) | 9 (high) |
| 5 | 14 | 1 (low) | 5 (medium) |
| 6 | 14 | 5 (medium) | 1 (low) |
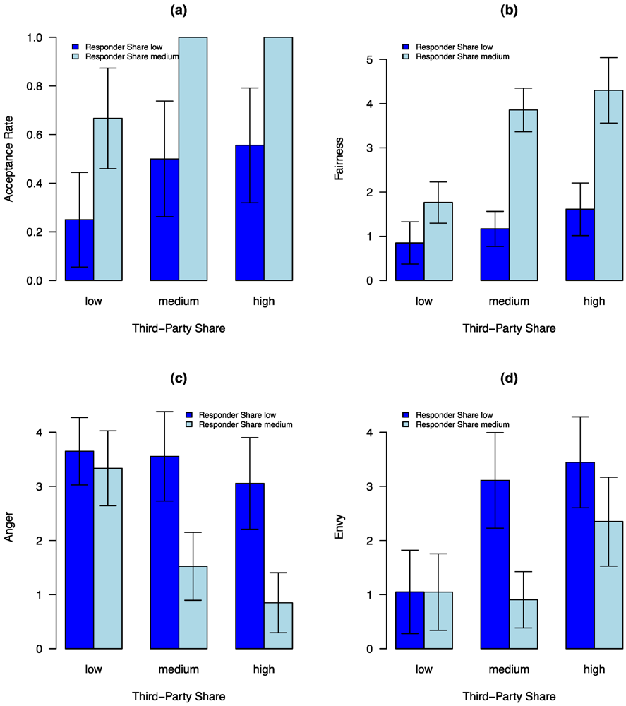
6.4. Results


6.5. Discussion
7. General Discussion
Acknowledgments
Note
References
- Camerer, C.F. Behavioral Game Theory. Experiments in Strategic Interaction; Russell Sage Foundation: New York, NY, USA, 2003. [Google Scholar]
- Gächter, S. Behavioral game theory. In Blackwell Handbook of Judgment and Decision Making; Koehler, D.J., Harvey, N., Eds.; Blackwell: Oxford, UK, 2004; pp. 485–503. [Google Scholar]
- Camerer, C.F. Behavioural studies of strategic thinking in games. Trends Cogn. Sci. 2003, 7, 225–231. [Google Scholar] [CrossRef]
- Güth, W.; Tietz, R. Ultimatum bargaining behavior: A survey and comparison of experimental results. J. Econ. Psychol. 1990, 11, 417–449. [Google Scholar] [CrossRef]
- Güth, W.; Schmittberger, R.; Schwarz, B. An experimental analysis of ultimatum bargaining. J. Econ. Behav. Organ. 1982, 3, 367–388. [Google Scholar] [CrossRef]
- Akerlof, G.A.; Shiller, R. Animal Spirits: How Human Psychology Drives the Economy, and Why It Matters for Global Capitalism; Princeton University Press: Princeton, NJ, USA, 2009. [Google Scholar]
- Bechara, A.; Damasio, A.R. The somatic marker hypothesis: A neural theory of economic decision. Games Econ. Behav. 2005, 52, 336–372. [Google Scholar] [CrossRef]
- Loewenstein, G.; Lerner, J.S. The role of affect in decision making. In Handbook of Affective Science; Davidson, R.J., Goldsmith, H.H., Scherer, K.R., Eds.; Oxford University Press: Oxford, UK, 2003; pp. 619–642. [Google Scholar]
- Pfister, H.-R.; Böhm, G. The multiplicity of emotions: A framework of emotional functions in decision making. Judgm. Decis. Mak. 2008, 3, 5–17. [Google Scholar]
- Blount, S. When social outcomes aren’t fair—The effect of causal attributions on preferences. Organ. Behav. Hum. Decis. Process. 1995, 63, 131–144. [Google Scholar] [CrossRef]
- Haselhuhn, M.P.; Mellers, B.A. Emotions and cooperation in economic games. Cogn. Brain Res. 2005, 23, 24–33. [Google Scholar] [CrossRef]
- Pillutla, M.M.; Murnighan, J.K. Unfairness, anger, and spite: Emotional rejections of ultimatum offers. Organ. Behav. Hum. Decis. Process. 1996, 68, 208–224. [Google Scholar] [CrossRef]
- Sanfey, A.G.; Rilling, J.K.; Aronson, J.A.; Nystrom, L.E.; Cohen, J.D. The neural basis of economic decision-making in the ultimatum game. Science 2003, 300, 1755–1758. [Google Scholar] [CrossRef]
- Srivastava, J.; Espinoza, F.; Fedorikhin, A. Coupling and decoupling of unfairness and anger in ultimatum bargaining. J. Behav. Decis. Mak. 2009, 22, 475–489. [Google Scholar] [CrossRef]
- Falk, A.; Fehr, E.; Fischbacher, U. Testing theories of fairness—Intentions matter. Games Econ. Behav. 2008, 62, 287–303. [Google Scholar] [CrossRef]
- Gross, J.J. Handbook of Emotion Regulation; Guilford Press: New York, NY, USA, 2007. [Google Scholar]
- Andreoni, J.; Bernheim, B.D. Social image and the 50–50 norm: A theoretical and experimental analysis of audience effects. Econometrica 2009, 77, 1607–1636. [Google Scholar] [CrossRef]
- Güth, W.; Schmidt, C.; Sutter, M. Bargaining outside the lab—A newspaper experiment of a three-person ultimatum game. Econ. J. 2007, 117, 449–469. [Google Scholar] [CrossRef]
- Henrich, J.; Boyd, R.; Bowles, S.; Camerer, C.; Fehr, E.; Gintis, H.; McElreath, R.; Alvard, M.; Barr, A.; Ensminger, J.; et al. ‘Economic man’ in cross-cultural perspective: Behavioral experiments in 15 small-scale societies. Behav. Brain Sci. 2005, 28, 795–855. [Google Scholar]
- Bosman, R.; van Winden, F. Emotional hazard in a power-to-take experiment. Econ. J. 2002, 112, 147–169. [Google Scholar] [CrossRef]
- Böhm, G.; Pfister, H.-R. Consequences, morality, and time in environmental risk evaluation. J. Risk Res. 2005, 8, 461–479. [Google Scholar] [CrossRef]
- Van Winden, F. Affect and fairness in economics. Soc. Justice Res. 2007, 20, 35–52. [Google Scholar] [CrossRef]
- Peters, E. The functions of affect in the construction of preferences. In The Construction of Preference; Lichtenstein, S., Slovic, P., Eds.; Cambridge University Press: New York, NY, USA, 2006; pp. 454–463. [Google Scholar]
- Ortony, A.; Clore, G.L.; Collins, A. The Cognitive Structure of Emotions; Cambridge University Press: Cambridge, MA, USA, 1988. [Google Scholar]
- Fehr, E.; Gächter, S. Altruistic punishment in humans. Nature 2002, 415, 137–140. [Google Scholar]
- Kirchsteiger, G. The role of envy in ultimatum games. J. Econ. Behav. Organ. 1994, 25, 373–389. [Google Scholar] [CrossRef]
- Bosman, R.; Sutter, M.; van Winden, F. The impact of real effort and emotions in the power-to-take game. J. Econ. Psychol. 2005, 26, 407–429. [Google Scholar] [CrossRef]
- Pfister, H.-R.; Böhm, G. The function of concrete emotions in rational decision making. Acta Psychol. 1992, 80, 199–211. [Google Scholar] [CrossRef]
- Bolton, G.E.; Ockenfels, A. ERC: A theory of equity, reciprocity, and competition. Am. Econ. Rev. 2000, 90, 166–193. [Google Scholar] [CrossRef]
- Fehr, E.; Schmidt, K.M. A theory of fairness, competition, and cooperation. Q. J. Econ. 1999, 114, 817–868. [Google Scholar] [CrossRef]
- Falk, A.; Fischbacher, U. A theory of reciprocity. Games Econ. Behav. 2006, 54, 293–315. [Google Scholar] [CrossRef]
- Rabin, M. Incorporating fairness into game theory and economics. Am. Econ. Rev. 1993, 83, 1281–1302. [Google Scholar]
- Bereby-Meyer, Y.; Niederle, M. Fairness in bargaining. J. Econ. Behav. Organ. 2005, 56, 173–186. [Google Scholar] [CrossRef]
- Bolton, G.E.; Ockenfels, A. A stress test of fairness measures in models of social utility. Econ. Theory 2005, 25, 957–982. [Google Scholar]
- Dickinson, D.L. Ultimatum decision-making: A test of reciprocal kindness. Theory Decis. 2000, 48, 151–177. [Google Scholar] [CrossRef]
- Kagel, J.H.; Wolfe, K. Tests of fairness models based on equity considerations in a three-person ultimatum game. Exp. Econ. 2001, 4, 203–220. [Google Scholar]
- Tyler, T.R. Social justice: Outcome and procedure. Int. J. Psychol. 2000, 35, 117–125. [Google Scholar] [CrossRef]
- Tyler, T.R.; Blader, S.L. The group engagement model: Procedural justice, social identity, and cooperative behavior. Pers. Soc. Psychol. Rev. 2003, 7, 349–361. [Google Scholar]
- De Quervain, D.J.F.; Fischbacher, U.; Treyer, V.; Schellhammer, M.; Schnyder, U.; Buck, A.; Fehr, E. The neural basis of altruistic punishment. Science 2004, 305, 1254–1258. [Google Scholar] [CrossRef]
- Barrett, L.F.; Mesquita, B.; Ochsner, K.N.; Gross, J.J. The experience of emotion. Annu. Rev. Psychol. 2007, 58, 373–403. [Google Scholar] [CrossRef]
- Russell, J.A. Core affect and the psychological construction of emotion. Psychol. Rev. 2003, 110, 145–172. [Google Scholar] [CrossRef]
- Böhm, G.; Pfister, H.-R. Action tendencies and characteristics of environmental risks. Acta Psychol. 2000, 104, 317–337. [Google Scholar] [CrossRef]
- Frijda, N.H. Emotion, cognitive structure, and action tendency. Cogn. Emot. 1987, 1, 115–143. [Google Scholar] [CrossRef]
- Zeelenberg, M.; Pieters, R. Feeling is for doing: A pragmatic approach to the study of emotions in economic behavior. In Social Psychology and Economics; DeCremer, D., Zeelenberg, M., Murnighan, J.K., Eds.; Erlbaum: Mahwah, NJ, USA, 2006; pp. 117–137. [Google Scholar]
- Frank, R.H. Passions within Reason: The Strategic Role of the Emotions; Norton: New York, NY, USA, 1988. [Google Scholar]
- Tangney, J.P.; Stuewig, J.; Mashek, D.J. Moral emotions and moral behavior. Annu. Rev. Psychol. 2007, 58, 345–372. [Google Scholar] [CrossRef]
- Geanakoplos, J.; Pearce, D.; Stacchetti, E. Psychological games and sequential rationality. Games Econ. Behav. 1989, 1, 60–79. [Google Scholar] [CrossRef]
- Böhm, G.; Brun, W. Intuition and affect in risk perception and decision making. Judgm. Decis. Mak. 2008, 3, 1–4. [Google Scholar]
- Naqvi, N.; Shiv, B.; Bechara, A. The role of emotion in decision making: A cognitive neuroscience perspective. Curr. Dir. Psychol. Sci. 2006, 15, 260–264. [Google Scholar] [CrossRef]
- Mellers, B.A.; McGraw, A.P. Anticipated emotions as guides to choice. Curr. Dir. Psychol. Sci. 2001, 10, 210–214. [Google Scholar]
- Slovic, P.; Peters, E. Risk perception and affect. Curr. Dir. Psychol. Sci. 2006, 15, 322–325. [Google Scholar] [CrossRef]
- Kirchsteiger, G.; Rigotti, L.; Rustichini, A. Your morals might be your moods. J. Econ. Behav. Organ. 2006, 59, 155–172. [Google Scholar] [CrossRef]
- Van Kleef, G.A.; Van Dijk, E.; Steinel, W.; Harinck, F.; van Beest, I. Anger in social conflict: Cross-situational comparisons and suggestions for the future. Group Decis. Negot. 2008, 17, 13–30. [Google Scholar] [CrossRef]
- Reuben, E.; van Winden, F. Social ties and coordination on negative reciprocity: The role of affect. J. Public Econ. 2008, 92, 34–53. [Google Scholar] [CrossRef]
- Smith, R.H.; Kim, S.H. Comprehending envy. Psychological Bulletin 2007, 133, 46–64. [Google Scholar] [CrossRef]
- Schaubroeck, J.; Lam, S.S.K. Comparing lots before and after: Promotion rejectees’ invidious reactions to promotees. Organ. Behav. Hum. Decis. Process. 2004, 94, 33–47. [Google Scholar] [CrossRef]
- Parks, C.D.; Rumble, A.C.; Posey, D.C. The effects of envy on reciprocation in a social dilemma. Personal. Soc. Psychol. Bull. 2002, 28, 509–520. [Google Scholar] [CrossRef]
- Zizzo, D.J.; Oswald, A. Are people willing to pay to reduce others’ incomes? Working Paper. University of Warwick: Coventry, UK, 2001; pp. 39–65. [Google Scholar]
- Gross, J.J.; Thompson, R.A. Emotion regulation: Conceptual foundations. In Handbook of Emotion Regulation; Gross, J.J., Ed.; Guilford Press: New York, NY, USA, 2007; pp. 3–24. [Google Scholar]
- Güth, W.; van Damme, E. Information, strategic behavior, and fairness in ultimatum bargaining: An experimental study. J. Math. Psychol. 1998, 42, 227–247. [Google Scholar] [CrossRef]
- Knez, M.J.; Camerer, C. Outside options and social comparison in three-player ultimatum game experiments. Games Econ. Behav. 1995, 10, 65–94. [Google Scholar]
- Hertwig, R.; Ortmann, A. Experimental practices in economics: A methodological challenge for psychologists? Behav. Brain Sci. 2001, 24, 383–451. [Google Scholar]
- Locey, M.L.; Jones, B.A.; Rachlin, H. Real and hypothetical rewards in self-control and social discounting. Judgm. Decis. Mak. 2011, 6, 552–564. [Google Scholar]
- Kühberger, A.; Schulte-Mecklenbeck, M.; Perner, J. Framing decisions: Hypothetical and real. Organ. Behav. Hum. Decis. Process. 2002, 89, 1162–1175. [Google Scholar] [CrossRef]
- Pinheiro, J.C.; Bates, D.M. Mixed-Effects Models in S And S-Plus; Springer: New York, NY, USA, 2000. [Google Scholar]
- Bakeman, R. Recommended effect size statistics for repeated measures designs. Behav. Res. Methods 2005, 37, 379–384. [Google Scholar] [CrossRef]
- Hertwig, R.; Ortmann, A. Deception in social psychological experiments: Two misconceptions and a research agenda. Soc. Psychol. Q. 2008, 71, 222–227. [Google Scholar] [CrossRef]
- Bonetti, S. Experimental economics and deception. J. Econ. Psychol. 1998, 19, 377–395. [Google Scholar] [CrossRef]
- Davis, D.D.; Holt, C.A. Experimental Economics; Princeton University Press: Princeton, NJ, USA, 1992. [Google Scholar]
- Hertwig, R.; Ortmann, A. Deception in experiments: Revisiting the arguments in its defense. Ethics Behav. 2008, 18, 59–92. [Google Scholar] [CrossRef]
- Bröder, A. Deception can be acceptable. Am. Psychol. 1998, 53, 805–806. [Google Scholar] [CrossRef]
- Sieber, J.E.; Iannuzzo, R.; Rodriguez, B. Deception methods in psychology: Have they changed in 23 years? Ethics Behav. 1995, 5, 67–85. [Google Scholar] [CrossRef]
- Baron, R.M.; Kenny, D.A. The moderator-mediator variable distinction in social psychological research: Conceptual, strategic and statistical considerations. J. Personal. Soc. Psychol. 1986, 51, 1173–1182. [Google Scholar] [CrossRef]
- Bardsley, N. Dictator game giving: Altruism or artefact? Exp. Econ. 2008, 11, 122–133. [Google Scholar] [CrossRef]
- Colman, A.M. Cooperation, psychological game theory, and limitations of rationality in social interaction. Behav. Brain Sci. 2003, 26, 139–198. [Google Scholar]
- Biel, A.; Thogersen, J. Activation of social norms in social dilemmas: A review of the evidence and reflections on the implications for environmental behavior. J. Econ. Psychol. 2007, 28, 93–112. [Google Scholar] [CrossRef]
- Fehr, E.; Rockenbach, B. Human altruism: Economic, neural, and evolutionary perspectives. Curr. Opin. Neurobiol. 2004, 14, 784–790. [Google Scholar] [CrossRef]
- Adams, J.S. Inequity in social exchange. In Inequity in social exchange; Berkowitz, L., Ed.; Academic Press: New York, NY, USA, 1965; Volume 2, pp. 267–299. [Google Scholar]
- Van den Bos, K.; Peters, S.L.; Bobocel, D.R.; Ybema, J.F. On preferences and doing the right thing: Satisfaction with advantageous inequity when cognitive processing is limited. J. Exp. Soc. Psychol. 2006, 42, 273–289. [Google Scholar] [CrossRef]
- Tamir, M. What do people want to feel and why? Pleasure and utility in emotion regulation. Curr. Dir. Psychol. Sci. 2009, 18, 101–105. [Google Scholar] [CrossRef]
- Hey, J.D. Experimental economics and deception. A comment. J. Econ. Psychol. 1998, 19, 397–401. [Google Scholar] [CrossRef]
- Bardsley, N.; Cubitt, R.; Loomes, G.; Moffatt, P.; Starmer, C.; Sugden, R. Experimental Economics. Rethinking the Rules; Princeton University Press: Princeton, NJ, USA, 2010. [Google Scholar]
- Milgram, S. Behavioral study of obedience. J. Abnorm. Soc. Psychol. 1963, 67, 371–378. [Google Scholar]
- Kahneman, D.; Tversky, A. Prospect theory: An analysis of decision under risk. Econometrica 1979, 47, 263–291. [Google Scholar] [CrossRef]
- Gray, E.K.; Watson, D. Assessing positive and negative affect via self-report. In Handbook of Emotion Elicitation and Assessment; Coan, J.A., Allen, J.J.B., Eds.; Oxford University Press: Oxford, UK, 2007; pp. 171–183. [Google Scholar]
- Mauss, I.B.; Levenson, R.W.; McCarter, L.; Wilhelm, F.H.; Gross, J.J. The tie that binds? Coherence among emotion experience, behavior, and physiology. Emotion 2005, 5, 175–190. [Google Scholar] [CrossRef]
- Van Lange, P.A.M. The pursuit of joint outcomes and equality in outcomes: An integrative model of social value orientation. J. Personal. Soc. Psychol. 1999, 77, 337–349. [Google Scholar] [CrossRef]
- Henrich, J.; Heine, S.J.; Norenzayan, A. The weirdest people in the world? Behav. Brain Sci. 2010, 33, 61–135. [Google Scholar] [CrossRef]
- Trautmann, S.T. A tractable model of process fairness under risk. J. Econ. Psychol. 2009, 30, 809–813. [Google Scholar]
- Oechssler, J.; Roider, A.; Schmitz, P.W. Cooling-Off in Negotiations—Does It Work? Center for Economic Policy Research: London, UK, 2006. [Google Scholar]
- Bosman, R.; Sonnemans, J.; Zeelenberg, M. Emotions, Rejections, and Cooling off in the Ultimatum Game; Working Paper. University of Amsterdam: Amsterdam, The Netherlands, 2001. [Google Scholar]
© 2012 by the authors; licensee MDPI, Basel, Switzerland. This article is an open-access article distributed under the terms and conditions of the Creative Commons Attribution license (http://creativecommons.org/licenses/by/3.0/).
Share and Cite
Pfister, H.-R.; Böhm, G. Responder Feelings in a Three-Player Three-Option Ultimatum Game: Affective Determinants of Rejection Behavior. Games 2012, 3, 1-29. https://doi.org/10.3390/g3010001
Pfister H-R, Böhm G. Responder Feelings in a Three-Player Three-Option Ultimatum Game: Affective Determinants of Rejection Behavior. Games. 2012; 3(1):1-29. https://doi.org/10.3390/g3010001
Chicago/Turabian StylePfister, Hans-Rüdiger, and Gisela Böhm. 2012. "Responder Feelings in a Three-Player Three-Option Ultimatum Game: Affective Determinants of Rejection Behavior" Games 3, no. 1: 1-29. https://doi.org/10.3390/g3010001
APA StylePfister, H.-R., & Böhm, G. (2012). Responder Feelings in a Three-Player Three-Option Ultimatum Game: Affective Determinants of Rejection Behavior. Games, 3(1), 1-29. https://doi.org/10.3390/g3010001
