Punishment Strategies across Societies: Conventional Wisdoms Reconsidered
Abstract
:1. Introduction
2. Study 1—Questioning the Revenge Hypothesis
2.1. Method
2.2. Results
2.2.1. Cooperation
2.2.2. Punishment
2.2.3. Other Punishment Strategies
3. Study 2. Punishment Strategies across Societies
3.1. Punishment as Deterrence
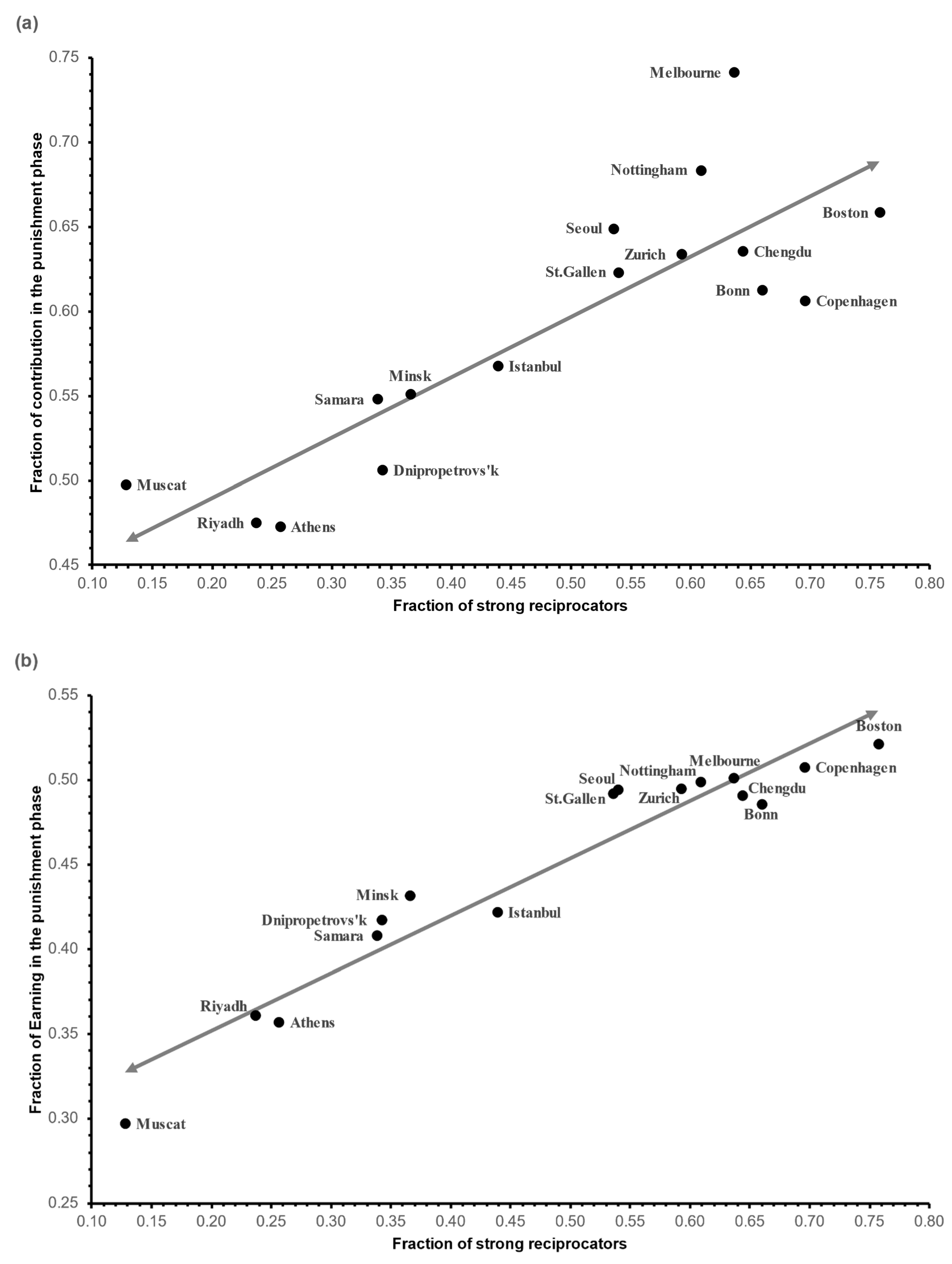
3.2. Strong Reciprocators and Cooperation
4. Summary and Concluding Remarks
Author Contributions
Funding
Institutional Review Board Statement
Informed Consent Statement
Data Availability Statement
Acknowledgments
Conflicts of Interest
Appendix A. Experiment’s Instructions
Appendix A.1. Instructions for the Punishment Phase in the Partners Treatment




Appendix A.2. Questions
Appendix A.3. Instructions for the No-Punishment Phase in the ‘Partners’ Treatment
Appendix B. Investment in Punishment as Function of the Difference between the Punished and the Punishing Group Members
Appendix C. Frequencies and Relative Frequencies of Four Punishment Strategies across the Sixteen Participant Pools Investigated in Hermann et al. (2008)
| City | Punishment Strategy | Total | |||
|---|---|---|---|---|---|
| NoPun | PunOnlyFR | PunCoop | Pun2Way | ||
| Boston (18) | 23 | 25 | 2 | 6 | 56 |
| 41.07% | 44.64% | 3.57% | 10.71% | ||
| 18.46 | 18.37 | 12.55 | 16.35 | ||
| 28.85 | 27.72 | 26.27 | 25.81 | ||
| Copenhagen (17.7) | 22 | 32 | 5 | 9 | 68 |
| 32.35% | 47.06% | 7.35% | 13.24% | ||
| 19.06 | 17.99 | 18.22 | 13.42 | ||
| 29.87 | 27.38 | 27.96 | 23.14 | ||
| St. Gallen (16.7) | 20 | 41 | 7 | 28 | 96 |
| 20.83% | 42.71% | 7.29% | 29.17% | ||
| 17.12 | 18.00 | 13.24 | 15.48 | ||
| 27.76 | 26.54 | 25.84 | 22.28 | ||
| Zurich (16.2) | 16 | 45 | 6 | 25 | 92 |
| 17.39% | 48.91% | 6.52% | 27.17% | ||
| 17.35 | 16.68 | 16.42 | 14.36 | ||
| 28.70 | 25.27 | 28.08 | 21.86 | ||
| Nottingham (15) | 10 | 28 | 5 | 13 | 56 |
| 17.86% | 50.00% | 8.93% | 23.21% | ||
| 15.76 | 16.30 | 9.56 | 13.76 | ||
| 28.11 | 24.67 | 19.30 | 21.55 | ||
| Seoul (14.7) | 13 | 38 | 3 | 30 | 84 |
| 15.48% | 45.24% | 3.57% | 35.71% | ||
| 17.22 | 15.46 | 9.27 | 13.05 | ||
| 26.83 | 24.75 | 18.99 | 22.32 | ||
| Bonn (14.5) | 13 | 31 | 4 | 12 | 60 |
| 21.67% | 51.67% | 6.67% | 20.00% | ||
| 12.51 | 15.92 | 13.73 | 13.18 | ||
| 25.49 | 24.65 | 26.61 | 20.46 | ||
| Melbourne (14.1) | 7 | 21 | 1 | 11 | 40 |
| 17.50% | 52.50% | 2.50% | 27.50% | ||
| 13.03 | 14.11 | 14.90 | 14.78 | ||
| 23.83 | 23.56 | 19.52 | 22.03 | ||
| Chengdu (13.9) | 9 | 56 | 5 | 26 | 96 |
| 9.38% | 58.33% | 5.21% | 27.08% | ||
| 16.49 | 15.06 | 11.36 | 10.90 | ||
| 28.71 | 24.42 | 24.70 | 20.89 | ||
| Minsk (12.9) | 16 | 19 | 5 | 28 | 68 |
| 23.53% | 27.94% | 7.35% | 41.18% | ||
| 15.77 | 14.36 | 6.90 | 11.40 | ||
| 26.71 | 18.46 | 16.66 | 17.87 | ||
| Samara (11.7) | 16 | 46 | 8 | 82 | 152 |
| 10.53% | 30.26% | 5.26% | 53.95% | ||
| 13.38 | 14.14 | 9.23 | 10.29 | ||
| 21.84 | 20.34 | 18.62 | 15.58 | ||
| Dniprop. (10.9) | 6 | 13 | 6 | 19 | 44 |
| 13.64% | 29.55% | 13.64% | 43.18% | ||
| 10.15 | 13.13 | 8.03 | 10.47 | ||
| 19.89 | 20.74 | 18.81 | 17.33 | ||
| Muscat (9.9) | 5 | 6 | 8 | 33 | 52 |
| 9.62% | 11.54% | 15.38% | 63.46% | ||
| 3.98 | 15.27 | 4.39 | 11.16 | ||
| 19.14 | 9.69 | 12.27 | 9.63 | ||
| Istanbul (7.1) | 7 | 25 | 8 | 24 | 64 |
| 10.94% | 39.06% | 12.50% | 37.50% | ||
| 4.97 | 9.62 | 4.74 | 5.995 | ||
| 19.41 | 18.99 | 15.24 | 14.79 | ||
| Riyadh (6.9) | 10 | 9 | 4 | 25 | 48 |
| 20.83% | 18.75% | 8.33% | 52.08% | ||
| 6.82 | 8.79 | 2.86 | 6.93 | ||
| 17.48 | 14.95 | 16.25 | 11.65 | ||
| Athens (5.7) | 5 | 10 | 5 | 24 | 44 |
| 11.36% | 22.73% | 11.36% | 54.55% | ||
| 7.00 | 8.03 | 0 | 5.65 | ||
| 19.80 | 17.96 | 0.11 | 12.57 | ||
| Total | 198 | 445 | 82 | 395 | 1120 |
Appendix D

References
- Fehr, E.; Gächter, S. Altruistic punishment in humans. Nature 2002, 415, 137–140. [Google Scholar] [CrossRef] [PubMed]
- Fehr, E.; Fischbacher, U. The nature of human altruism. Nature 2003, 425, 785–791. [Google Scholar] [CrossRef] [PubMed]
- Fehr, E.; Fischbacher, U. Social norms and human cooperation. Trends Cogn. Sci. 2004, 8, 185–190. [Google Scholar] [CrossRef]
- Sutter, M.; Haigner, S.; Kocher, M.G. Choosing the carrot or the stick? Endogenous institutional choice in social dilemma situations. Rev. Econ. Stud. 2010, 77, 1540–1566. [Google Scholar] [CrossRef] [Green Version]
- Weber, T.O.; Weisel, O.; Gächter, S. Dispositional free riders do not free ride on punishment. Nat. Commun. 2018, 9, 2390. [Google Scholar] [CrossRef] [PubMed]
- Burton-Chellew, M.; Guerin, C. Decoupling altruistic punishment: Immune punishers learn to not cooperate, but still punish hypocritically (unpublished manuscript). SocArXiv 2021. [Google Scholar] [CrossRef]
- Hermann, B.; Thöni, C.; Gächter, S. Antisocial punishment across societies. Science 2008, 319, 1362–1367. [Google Scholar] [CrossRef] [PubMed]
- Gintis, H. Punishment and cooperation. Science 2008, 319, 1345–1346. [Google Scholar] [CrossRef]
- O’Gorman, R.; Henrich, J.; Van Vugt, M. Constraining free riding in public goods games: Designated solitary punishers can sustain human cooperation. Proc. R. Soc. 2009, 276, 323–329. [Google Scholar] [CrossRef] [Green Version]
- Gintis, H. Strong reciprocity and human sociality. J. Theor. Biol. 2000, 206, 169–179. [Google Scholar] [CrossRef] [Green Version]
- Gintis, H.; Bowles, S.; Boyd, R.; Fehr, E. Explaining altruistic behavior in humans. Evol. Hum. Behav. 2003, 24, 153–172. [Google Scholar] [CrossRef] [Green Version]
- Fehr, E.; Gintis, H. Human motivation and social cooperation: Experimental and analytical foundations. Annu. Rev. Sociol. 2007, 33, 43–64. [Google Scholar] [CrossRef] [Green Version]
- Lohse, J.; Waichman, I. The effects of contemporaneous peer punishment on cooperation with the future. Nat. Commun. 2020, 11, 1–8. [Google Scholar] [CrossRef] [PubMed] [Green Version]
- Fehr, E.; Fischbacher, U.; Gächter, S. Strong reciprocity, human cooperation, and the enforcement of social norms. Hum. Nat. 2002, 13, 1–25. [Google Scholar] [CrossRef] [PubMed] [Green Version]
- Bowles, S.; Gintis, H. The evolution of strong reciprocity: Cooperation in heterogeneous populations. Theor. Popul. Biol. 2004, 65, 17–28. [Google Scholar] [CrossRef]
- Fischbacher, U. z-Tree: Zurich toolbox for ready-made economic experiments. Exp. Econ. 2007, 10, 171–178. [Google Scholar] [CrossRef] [Green Version]
- Tobin, J. Estimation of relationships for limited dependent variables. Econometrica 1958, 26, 24–36. [Google Scholar] [CrossRef] [Green Version]
- Schnedler, W. Likelihood estimation for censored random vectors. Econom. Rev. 2005, 24, 195–217. [Google Scholar] [CrossRef]
- Liang, K.Y.; Zeger, S.L. Longitudinal data analysis using generalized linear models. Biometrika 1986, 73, 13–22. [Google Scholar] [CrossRef]
- Rotnitzky, A.; Jewell, N.P. Hypothesis testing of regression parameters in semiparametric generalized linear models for cluster correlated data. Biometrika 1990, 77, 485–497. [Google Scholar] [CrossRef]
- Fehr, E.; Schmidt, K.M. A theory of fairness, competition, and cooperation. Q. J. Econ. 1999, 114, 817–868. [Google Scholar] [CrossRef]
- Gächter, S.; Herrmann, B. Reciprocity, culture and human cooperation: Previous insights and a new cross-cultural experiment. Philos. Trans. R. Soc. B Biol. Sci. 2009, 364, 791–806. [Google Scholar] [CrossRef] [Green Version]
- Bruhin, A.; Janizzi, K.; Thöni, C. Uncovering the heterogeneity behind cross-cultural variation in antisocial punishment. J. Econ. Behav. Organ. 2020, 180, 291–308. [Google Scholar] [CrossRef]
- Mekvabishvili, R. Georgia Leads in Prosociality: Comparison to Cross-Cultural Economic Experiment. Econ. Bus. 2021, 13, 140–149. [Google Scholar]
- Parks, C.; Stone, A.B. The desire to expel unselfish members from the group. J. Personal. Soc. Psychol. 2010, 99, 303–310. [Google Scholar] [CrossRef] [Green Version]
- Kawamura, Y.; Kusum, T. Altruism does not always lead to a good reputation: A normative explanation. J. Exp. Soc. Psychol. 2020, 90, 104021. [Google Scholar] [CrossRef]
- Xueheng, L.; Lucas, M.; Van Dolder, D. Conditional Punishment: Descriptive Social Norms Drive Negative Reciprocity; CeDEx Discussion Paper Series, No. 2020-05; The University of Nottingham, Centre for Decision Research and Experimental Economics (CeDEx): Nottingham, UK, 2020. [Google Scholar]
- Gintis, H.; Henrich, J.; Bowles, S.; Boyd, R.; Fehr, E. Strong reciprocity and the roots of human morality. Soc. Justice Res. 2008, 21, 241–253. [Google Scholar] [CrossRef]
- Carpenter, J.; Bowles, S.; Gintis, H.; Hwang, S.-H. Strong reciprocity and team production: Theory and evidence. J. Econ. Behav. Organ. 2009, 71, 221–232. [Google Scholar] [CrossRef]
- Fehr, E.; Schneider, F. Eyes are on us, but nobody cares: Are eye cues relevant for strong reciprocity? Proc. R. Soc. B Biol. Sci. 2010, 277, 1315–1323. [Google Scholar] [CrossRef] [PubMed] [Green Version]
- Hardin, G. The tragedy of the commons. Science 1968, 162, 1243–1248. [Google Scholar]
- Dugatkin, L.A.; Wilson, D. Rover: A strategy for exploiting cooperators in a patchy environment. Am. Nat. 1991, 138, 687–701. [Google Scholar] [CrossRef]
- Boyd, R.; Richerson, P.J. Punishment allows the evolution of cooperation (or anything else) in sizable groups. Ethol. Sociobiol. 1992, 13, 171–195. [Google Scholar] [CrossRef]
- Lomborg, B. Nucleus and shield: The evolution of social structure in the iterated prisoner’s dilemma. Am. Sociol. Rev. 1996, 61, 278–307. [Google Scholar] [CrossRef]
- Aktipis, C.A. Know when to walk away: Contingent movement and the evolution of cooperation. J. Theor. Biol. 2004, 231, 249–260. [Google Scholar] [CrossRef]
- Kurzban, R.; Houser, D. Experiments Investigating Cooperative Types in Humans: A Complement to Evolutionary Theory and Simulations. Proc. Natl. Acad. Sci. USA 2005, 102, 1803–1807. [Google Scholar] [CrossRef] [PubMed] [Green Version]
- Rand, D.G.; Armao, I.V.J.J.; Nakamaru, M.; Ohtsuki, H. Anti-social punishment can prevent the co-evolution of punishment and cooperation. J. Theor. Biol. 2010, 265, 624–632. [Google Scholar] [CrossRef] [Green Version]






| Punishment of Free Riders | Punishment of Cooperators | |||
|---|---|---|---|---|
| Explanatory Variable | ||||
| Partners | Strangers | Partners | Strangers | |
| Received punishment in t − 1 | −0.124 | 0.126 ** | −0.057 | 0.084 |
| (0.069) | (0.044) | (0.068) | (0.052) | |
| Punished contribution | −0.203 **** | −0.366 **** | 0.087 * | 0.017 |
| (0.033) | (0.046) | (0.038) | (0.037) | |
| Punisher Contribution | −0.015 | 0.101 ** | −0.344 **** | −0.0802 † |
| (0.034) | (0.036) | (0.034) | (0.042) | |
| Mean contribution of others | 0.121 **** | 0.021 | 0.307 **** | −0.031 |
| (0.031) | (0.037) | (0.037) | (0.041) | |
| Constant | 0.194 | 0.015 | −2.634 **** | −1.458 * |
| (0.526) | (0.631) | (0.616) | (0.612) | |
| p | 0.000 | 0.000 | 0.000 | 0.002 |
| n | 152 | 342 | 145 | 252 |
| Punisher Types | ||||||||
|---|---|---|---|---|---|---|---|---|
| Variable | Non-Punishers | Punishers of Free Riders | Punishers of Cooperators | Punishers of Free Riders & Cooperators | ||||
| Partners | Strangers | Partners | Strangers | Partners | Strangers | Partners | Strangers | |
| n = 21 | n = 27 | n = 20 | n = 38 | n = 2 | n = 6 | n = 22 | n = 42 | |
| Relative | ||||||||
| Frequency | 32.3% | 23.9% | 30.8% | 33.6% | 3.1% | 5.3% | 33.8% | 37.2% |
| Punishment | 1.60 | 2.46 | 3.92 | 1.75 | 2.92 (*) | 5.91 (**) | ||
| (MU/period) | - | - | (1.66) | (2.62) | (1.77) | (1.26) | (1.96) | (5.31) |
| Contribution | 14.56 | 7.64 | 12.94 | 12.88 | 12.5 | 8.72 | 9.96 | 8.14 |
| (MU) | (5.96) | (5.38) | (5.96) | (3.92) | (4.01) | (5.01) | (5.34) | (3.41) |
| City | Punisher Types | Total | |||
|---|---|---|---|---|---|
| Non-Punishers | Punishers of Free Riders | Punishers of Cooperators | Upward/Downward Punishers | ||
| Boston | 41% | 45% | 4% | 10% | 100% |
| (high cooperation) | (23) | (25) | (2) | (6) | (56) |
| 18.46 | 18.37 | 12.55 | 16.35 | 18 | |
| Copenhagen | 32.35% | 47.06% | 7.35% | 13.24% | 100% |
| (high cooperation) | (22) | (32) | (5) | (9) | (68) |
| 19.06 | 17.99 | 18.22 | 13.42 | 17.7 | |
| Riyadh | 20.83% | 18.75% | 8.33% | 52.08% | 100% |
| (low cooperation) | (10) | (9) | (4) | (25) | (48) |
| 6.82 | 8.79 | 2.86 | 6.93 | 6.9 | |
| Athens | 11.36% | 22.73% | 11.36% | 54.55% | 100% |
| (low cooperation) | (5) | (10) | (5) | (24) | (44) |
| 7.00 | 8.03 | 0 | 5.65 | 5.7 | |
Publisher’s Note: MDPI stays neutral with regard to jurisdictional claims in published maps and institutional affiliations. |
© 2021 by the authors. Licensee MDPI, Basel, Switzerland. This article is an open access article distributed under the terms and conditions of the Creative Commons Attribution (CC BY) license (https://creativecommons.org/licenses/by/4.0/).
Share and Cite
Suleiman, R.; Samid, Y. Punishment Strategies across Societies: Conventional Wisdoms Reconsidered. Games 2021, 12, 63. https://doi.org/10.3390/g12030063
Suleiman R, Samid Y. Punishment Strategies across Societies: Conventional Wisdoms Reconsidered. Games. 2021; 12(3):63. https://doi.org/10.3390/g12030063
Chicago/Turabian StyleSuleiman, Ramzi, and Yuval Samid. 2021. "Punishment Strategies across Societies: Conventional Wisdoms Reconsidered" Games 12, no. 3: 63. https://doi.org/10.3390/g12030063
APA StyleSuleiman, R., & Samid, Y. (2021). Punishment Strategies across Societies: Conventional Wisdoms Reconsidered. Games, 12(3), 63. https://doi.org/10.3390/g12030063
