Next Article in Journal
Exploring the Factors Influencing AI Adoption Intentions in Higher Education: An Integrated Model of DOI, TOE, and TAM
Next Article in Special Issue
RD-RE: Reverse Distillation with Feature Reconstruction Enhancement for Industrial Anomaly Detection
Previous Article in Journal
Quantum Classification Outside the Promised Class
Previous Article in Special Issue
Enhancing Cognitive Workload Classification Using Integrated LSTM Layers and CNNs for fNIRS Data Analysis
 
 
Font Type:
Arial Georgia Verdana
Font Size:
Aa Aa Aa
Line Spacing:
Column Width:
Background:
Article

LSTM-Based Music Generation Technologies

Department of Electronic Engineering, Ming-Chuan University, Guei-Shan District, Taoyuan City 333, Taiwan
Computers 2025, 14(6), 229; https://doi.org/10.3390/computers14060229
Submission received: 25 April 2025 / Revised: 6 June 2025 / Accepted: 9 June 2025 / Published: 11 June 2025

Abstract

In deep learning, Long Short-Term Memory (LSTM) is a well-established and widely used approach for music generation. Nevertheless, creating musical compositions that match the quality of those created by human composers remains a formidable challenge. The intricate nature of musical components, including pitch, intensity, rhythm, notes, chords, and more, necessitates the extraction of these elements from extensive datasets, making the preliminary work arduous. To address this, we employed various tools to deconstruct the musical structure, conduct step-by-step learning, and then reconstruct it. This article primarily presents the techniques for dissecting musical components in the preliminary phase. Subsequently, it introduces the use of LSTM to build a deep learning network architecture, enabling the learning of musical features and temporal coherence. Finally, through in-depth analysis and comparative studies, this paper validates the efficacy of the proposed research methodology, demonstrating its ability to capture musical coherence and generate compositions with similar styles.

1. Introduction

The four most important parts of music are high and low notes, speed, and single and multiple note combinations. Different musical instruments produce sounds of different pitches. Even for the same song, the change of high and low notes will give a different feeling. Speed is also called rhythm. The speed can make people feel calm, sad, or happy. Each note is like a brick that makes up a house, and the combination of notes of different lengths and pitches can produce beautiful melodies. Songs of different styles use different note arrangements, but rhythm and chords also need to be carefully arranged. These four elements are like the four seasons, constantly changing their combinations to create different musical styles. Classical, pop, and electronic music all follow the same basic rules but exhibit different styles. Even if we are not professionals, when we hear a good song, we will feel great in our hearts because the various musical elements work perfectly together to produce soul-stirring music. This paper attempts to use deep learning technologies, taking these four basic elements as the basis, and utilizing many techniques to produce a good-sounding piece of music. The main contribution of this paper is to learn how to disassemble musical elements, and then set learning parameters and construct an LSTM architecture to learn and integrate various musical elements. Music generation can be achieved using deep learning because deep learning models can learn the structure, rhythm, harmony, and other features of music from a large amount of music data and generate new music with similar styles. Common deep learning architectures used in music generation include the following:
1. Long Short-Term Memory (LSTM): LSTM is a variant of Recurrent Neural Networks (RNN) that can capture long-term dependencies in time series data. In music generation, LSTM networks can learn the structure and rhythm of music sequences and generate new music segments [1,2,3,4,5].
2. Generative Adversarial Networks (GANs): GANs consist of a generator and a discriminator. The generator is responsible for generating music, while the discriminator tries to distinguish between generated music and real music. Through adversarial training, the generator can continuously optimize the generated music to make it closer to the style and structure of real music [6,7].
3. Variational Autoencoders (VAEs): VAEs combine auto encoders and random sample generation to learn low-dimensional representations of music from music data.
By sampling in the latent space, new music segments can be generated [8,9]. The theoretical foundations of these deep learning models include the following: (1) Backpropagation algorithm: The training of deep learning models usually involves using the backpropagation algorithm to calculate gradients and update parameters based on the gradients, aiming to minimize the difference between generated music and real music. (2) Loss function: To measure the difference between generated music and real music, appropriate loss functions need to be defined. Common loss functions include Mean Squared Error (MSE) and Cross-Entropy. (3) The goal of training deep learning models is to maximize the style diversity and creativity of generated music while maintaining consistency in the structure and tonality of the music.
The landscape of artificial intelligence has undergone a revolution and transformation in recent years, driven by the development of groundbreaking architectures and models. At the heart of these advancements lies the Transformer, a neural network architecture [10,11]. Unlike traditional recurrent neural networks, the Transformer leveragesself-attention mechanisms, enabling it to process data in parallel and capture long-range dependencies more effectively. This architecture has not only significantly improved the performance of natural language processing tasks but has also served as the foundation for many cutting-edge models.
In [10], the authors proposed a gated parallel attention module for sequence-to-sequence encoder–decoder architectures. This module can more effectively handle the given conditioning thematic material in the Transformer decoder’s generation process. Through objective and subjective evaluations, the authors show that their best model can generate polyphonic pop piano music with repetitions and musically coherent variations of the given theme. In [11], the author proposes an effective and convenient method to calculate rewards for long-sequence generation steps, replacing time-consuming Monte Carlo search methods. The various methods described above are summarized in Table 1.
In recent years, the field of artificial intelligence has witnessed remarkable advancements, with Large Language Models (LLMs) and Vision-Language Models (VLMs) emerging as transformative forces. LLMs, such as the renowned GPT series, and Bard have redefined the boundaries of natural language processing [12,13]. In [12], the authors conducted a comprehensive overview of LLMs, highlighting their architectural designs, training methodologies, and diverse applications. These models, trained on vast corpora of text, have demonstrated extraordinary capabilities in tasks like text generation, summarization, and question-answering—for instance, generating coherent, context-aware articles, stories, and dialogues, and even assisting with code writing. In [13], the authors delved into the various metrics and benchmarks used to assess these models’ performance, reliability, and ethical implications, providing a critical framework for understanding their capabilities and limitations.
Concurrently, VLMs have emerged as a powerful paradigm at the intersection of computer vision and natural language processing [14,15]. In [14], the authors presented a survey on VLMs’ applications to vision tasks. These models integrate visual perception with language understanding, enabling tasks such as image captioning, visual question-answering, and multimodal content generation. For example, given an image, a VLM can generate a detailed text description capturing visual elements and semantic relationships. In [15], the authors analyzed VLMs’ potential for edge-based applications (e.g., real-time visual data analysis, intelligent surveillance) while discussing challenges and opportunities in deploying these models in resource-constrained edge environments.
Against this backdrop, while our study primarily focuses on the LSTM model, it is crucial to recognize the impact and potential of Transformer, LLMs, and VLMs. Transformer can process data in parallel and capture long-range dependencies more effectively. LLMs could potentially offer new perspectives for generating textual interpretations or metadata related to our time-series data (e.g., creating descriptive narratives for observed patterns and trends). VLMs, on the other hand, might inspire innovative approaches for integrating visual representations with time-series data, enabling more intuitive analysis, and potentially enhancing prediction accuracy. By acknowledging these SOTA (state-of-the-art) models, we aim to position our research within the broader landscape of artificial intelligence advancements, highlighting both its unique contributions and areas where future research could leverage these emerging techniques.
In music generation, LSTM, Transformer, and GAN each have distinct advantages and drawbacks. LSTM, designed for sequential data, excels at capturing temporal dependencies, making it ideal for generating consistent melodies and rhythms. Its relatively simple architecture enhances interpretability, allowing creators better control over the output. Additionally, LSTM requires fewer computational resources and less training data, making it accessible for projects with limited hardware. However, LSTM struggles with maintaining context over extremely long sequences and has slower training times due to its sequential processing nature.
Transformers, leveraging self-attention, handle long-range dependencies across entire musical compositions effortlessly, enabling the creation of complex, coherent music. Their parallel processing capabilities significantly reduce training duration. The flexibility of Transformers allows them to adapt to various input–output formats, supporting tasks like text-to-music. Nevertheless, they demand substantial data and computational power for optimal performance, and their intricate structure can be challenging to interpret.
GANs are renowned for producing high-fidelity music with realistic timbres, closely mimicking real performances. The adversarial training process fosters creative and diverse outputs. Yet, GANs suffer from notorious training instability, often leading to mode collapse or vanishing gradients. Moreover, precise control over musical structures or genres is difficult, as the focus is primarily on realism.
In summary, deep learning models utilize theoretical foundations such as the backpropagation algorithm and loss functions to learn the features and structure of music from a large amount of music data and generate new music with similar styles. In music generation research, the approaches to building tools may vary depending on specific needs and environments. Some common approaches for building tools, along with the differences and pros and cons between Ubuntu and Windows, include the following:
1. Using programming languages and libraries: Music generation tools can be built using programming languages such as Python and relevant music-related libraries. This approach can be implemented on both Ubuntu and Windows since most programming languages and libraries support cross-platform development. The advantage is flexibility, as you can freely choose and combine different libraries. The downside is that it requires programming skills and familiarity with the relevant APIs and tools.
2. Using music generation software: There are specialized software tools for music generation, such as MuseNet and OpenAIJukedeck. These software tools typically provide user-friendly interfaces and pre-trained music generation models, allowing users to directly use them without complex programming. There may be some differences in using these software tools between Ubuntu and Windows, such as variations in installation and runtime environment configuration. The advantage is ease of use and quick music generation, while the downside is potentially limited flexibility and customization.
3. Using deep learning frameworks: If you want to perform music generation based on deep learning models, popular deep learning frameworks like TensorFlow [16] can be used. These frameworks have good support on both Ubuntu and Windows and provide rich deep learning tools and libraries. The advantage is the ability to leverage the powerful features of deep learning frameworks for model design and training, while the downside is that it requires a certain level of deep learning knowledge and programming skills.
Ubuntu is a Linux-based operating system that is more open and free, suitable for deep learning and programming, and provides a rich set of open-source tools and libraries. Windows, on the other hand, is a common commercial operating system with familiar commands and operations.
This paper will use Windows 11 as the development environment and install packages such as Anaconda, TensorFlow, Keras, h5py, Timidity [17], FFmpeg [18], and music21 [19]. It will utilize the LSTM network architecture for deep learning and music generation.

2. LSTM Network Design Concept for Music Generation

The design concept is shown in Figure 1. The LSTM neural network model is a special type of recurrent neural network (RNN) designed to address the long-term dependency problem in sequence data. To build an LSTM network based on the extracted notes and chords from music21, we can follow these steps to train an hdf5 model:
(1). Data preprocessing: Convert the notes and chords into sequence data suitable for the LSTM model. We can encode each note or chord as a numerical vector representation to input into the LSTM network. Firstly, we collect many Midi music data to perform preprocessing. Please find the details of this work in the Appendix A.
(2). Sequence generation: Based on the preprocessed sequence data, divide it into input sequences and target sequences. For example, define a fixed-length input sequence as the input to the LSTM and the next note or chord as the target output.
(3). Construct the LSTM network model: Use the TensorFlow deep learning framework to build the LSTM model. Define the parameters of the LSTM layer, including the size of the hidden layer, the number of time steps, and other hyperparameters.
(4). Model training: Train the LSTM network using the preprocessed sequence data. Use an appropriate loss function (such as categorical_crossentropy) and optimizer (such as RMSprop) to optimize the model weights.
(5). Model evaluation and auto regressive generation: Use the trained LSTM model to generate new sequences of notes or chords.
(6). Create a dictionary to map numbers to notes and chords, and list the generated notes and chords in order.
After the model is generated, the following process can be used to generate music:
(1). Load Model and Mappings: Load the pre-trained LSTM model and the integer-to-note/chord mapping dictionary from files. Validate the integrity of the model and mappings.
(2). Generate Seed Pattern: Create a random initial sequence of integers (seed) to prime the generation process, ensuring it matches the model’s expected sequence length.
(3). Generate Indices Sequence: Use the LSTM model with temperature sampling to generate a sequence of note/chord indices based on the seed, creating new musical patterns.
(4). Convert to Note Strings: Map the generated integer indices to human-readable note/chord strings using the loaded mapping dictionary.
(5). Create MIDI File: Convert the note/chord strings into a MIDI stream with specified tempo and duration, using the music21 library to handle note/chord objects.
(6). Output MIDI File: Save the generated MIDI stream to a file, with validation to ensure valid notes/chords are present before writing.
An individual LSTM neuron architecture is shown in Figure 2. It consists of an input gate, a forget gate, an output gate, and a cell state. These components interact with musical data in the context of music generation as follows:
Assuming the current time step is t , the input is x ( t ) being a musical representation (such as a one-hot encoded MIDI note or a vectorized musical feature that encapsulates note pitch, duration, and velocity), the previous hidden state is h ( t 1 ) , and the previous cell state is C ( t 1 ) . In LSTM, h ( t ) and C ( t ) represent the current time step’s hidden state and cell state, respectively.
1. Input gate:
i ( t ) = σ ( W i [ h ( t 1 ) , x ( t ) ] + b i
where W i is the input weight matrix; x ( t ) encodes musical features like the pitch of a note (represented as a MIDI number), its attack velocity, or rhythmic patterns capturing the musical context from the previous time step. The sigmoid function σ outputs a value between 0 and 1, and b i is the bias term. The input gate decides which musical elements from the current time step, such as new melodic contours or dynamic changes, should contribute to updating the cell state.
2. Forget gate:
f ( t ) = σ ( W f [ h ( t 1 ) , x ( t ) ] + b f
The forget gate regulates which musical information from the previous cell state, like a recurring chord progression or a motif, should be discarded. W f is the weight matrix of the forget gate, σ is also a sigmoid function, and b f is the bias term. A value close to 1 indicates retaining the information, while a value near 0 means forgetting it.
3. Candidate state:
C ˜ ( t ) = tanh ( W c [ h ( t 1 ) , x ( t ) ] + b c
The candidate cell state, computed using the tanh function, represents potential new musical content. It is influenced by the current musical input and the previous hidden state. W c is the weight matrix of the candidate cell state, b c is the bias term. This candidate state, in conjunction with the input and forget gates, determines how the cell state evolves to incorporate new musical ideas.
4. Update cell state:
C ( t ) = f t C ( t 1 ) + i t C ˜ ( t )
where stands for element-wise multiplication. The updated cell state integrates the retained musical information from the previous time step (controlled by the forget gate) and the newly introduced musical elements (governed by the input gate), thus defining the musical context at the current time step.
5. Output gate:
O ( t ) = σ ( W o [ h ( t 1 ) , x ( t ) ] + b o
The output gate dictates which aspects of the current hidden state, such as the harmonic structure or the direction of the melody, should be output. W o and b o are the weight matrix and bias term for the output gate, respectively.
6. Hidden state:
h ( t ) = O t tanh ( C ( t ) )
The hidden state, calculated based on the output gate and the current cell state, serves as the LSTM’s output for the current time step. It encapsulates the musical knowledge processed so far, which can be used to generate subsequent musical notes.
7. Output layer:
In music generation, x ( t ) encodes musical information (e.g., a specific note or a short musical phrase). The objective is to predict the probability distribution of the next musical note y ^ t :
y ^ t = S o f t m a x ( W h h t + b h )
where y ^ t R N , N represents the number of possible musical notes (e.g., 128 MIDI notes). This output can be used to sample the next note in a generated musical sequence, taking into account the learned musical patterns and context within the LSTM. In the realm of music generation, N denotes the cardinality of the musical note space, typically corresponding to 128 MIDI notes which span the full chromatic range from the lowest to the highest audible pitches.
In the music generation task, the input x ( t ) is usually the encoding of notes (such as one-hot encoding of MIDI numbers or embedding vectors), and the goal is to predict the probability distribution of the next note y ^ ( t ) based on the historical note sequence. The following takes single pitch sequence prediction (such as a MIDI number sequence) as an example for illustration: 1. For the input Layer: Convert notes into numerical values (such as MIDI number p ( t ) , and map them into dense vectors e ( t ) through the Embedding Layer, i.e., x ( t ) = e ( t ) . 2. For the output Layer: Use the Softmax activation function to output the probability distribution of the next note, which is as Equation (7).
Let the training data be [ x ( 1 ) , y ( 1 ) ] [ x ( 2 ) , y ( 2 ) ] [ x ( T ) , y ( T ) ] , where y ( t ) is the true note number (one-hot encoding) at time t . The loss function is cross-entropy:
E = 1 T t = 1 T i = 1 N y i ( t ) log y ^ i ( t )
where N is the total number of note categories (such as the number corresponding to the MIDI number range). The training objective is to optimize the parameters W f W i W c W o W h b f b i b c b o b h of the LSTM through backpropagation through time (BPTT) to minimize the loss function.
After training, the LSTM generates music through an autoregressive approach; the learning process of LSTM for music generation essentially models the temporal dependencies of the note sequence through the mathematical operations of the gating mechanism, and optimizes the parameters through backpropagation to fit the probability distribution of the training data. The core of its mathematical derivation lies in the dynamic adjustment of the gating signals and the long-term transfer of the cell state, ultimately achieving the learning of patterns from historical data and the generation of new musical sequences.
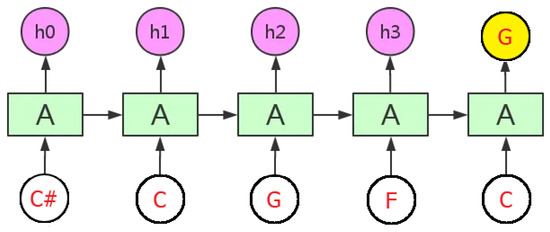
If we consider an individual neuron as A, the continuous action of LSTM in music generation is shown in Figure 3. After remembering the previous segment, when receiving the note C next, the output will be G. In short, the design of LSTM is to control and filter the flow of information in the cell state. By controlling the forget gate, input gate, and output gate, LSTM can capture long-term dependencies in sequence data and effectively handle the issues of vanishing or exploding gradients. This makes LSTM performwell in tasks that require long-term memory, such as language modeling, machine translation, speech recognition, and music generation.
To optimize the effect of generated music and distinguish between samples and generated music using different line styles during visualization, we can make the following improvements:
Increase training data and training epochs: More data and longer training can enable the model to learn more diverse patterns. While increasing training data and epochs may initially improve performance, excessive epochs can lead to overfitting. To address this, I have included anexplanationof early stopping as a critical mitigation strategy in Section 4.
Optimize the generation logic: When generating music, introduce some randomness to avoid always choosing the note with the highest probability.
Visualization optimization: Draw samples with dashed lines and generated music with solid lines.
Using five randomly generated simple song samples with pitch sequences of C, G, E, F, and G, process them using Python 3.5, and plot the pitch and velocity graphs. This defines the pitch sequences of [‘C’, ‘G’, ‘E’, ‘F’, ‘G’]. After running the code, we will see five sets of pitch and velocity graphs, and five MIDI files will be generated in the current directory. The pitch diagram is shown in Figure 4.
Figure 4 is designed to visualize the performance of the LSTM model in generating musical sequences, specifically focusing on pitch distribution and continuity. The y-axis represents pitch numbers (e.g., MIDI note values) to illustrate the melodic contour generated by the model at different time steps (x-axis). While the figure primarily serves as a qualitative visualization of pitch patterns, we can derive quantitative insights from it indirectly. For example:
1. Pitch Range Consistency: By observing the spread of pitch numbers, we can assess whether the model generates notes within the expected musical range (e.g., typical piano register, 21–108 in MIDI).
2. Melodic Coherence: The smoothness of pitch transitions (e.g., stepwise motion vs. large leaps) reflects the model’s ability to learn melodic rules from the training data. Sudden, unrealistic leaps might indicate underfitting, while repetitive patterns could suggest overfitting.
3. Distribution Match: Although not a direct quantitative metric, comparing the pitch density in the figure to the training data’s pitch distribution (e.g., via a histogram) can hint at how well the model captures the statistical properties of real music.

3. Implementation

For implementation, TensorFlow was used to develop the program. The algorithms for generating code are shown below Algorithms 1 and 2:
Algorithm 1: Neural Network Training with Early Stopping
Input: Training data D, seq. length L, batch size B, max epochs E, patience P.
Output: Trained model weights W saved to HDF5.
1: Load D, create pitch mappings P and I
2: Prepare sequences X, Y from D
3: Split X, Y into training/validation sets
4: Build LSTM model with BN, Dropout, L2 regularization
5: Compile model with Adam optimizer and cross-entropy loss
6: Initialize best_loss← 100, patience_counter← 0
7: for epoch = 1 to E do
8:    Train model for one epoch
9:    Compute validation loss L_val
10:  if L_val<best_loss then
11:    best_loss←L_val
12:    Save weights W
13:    patience_counter← 0
14:  else
15:    patience_counter←patience_counter + 1
16:  end if
17:  if patience_counter ≥ P then
18:    Break training loop (Early Stopping)
19:  end if
20: end for
21: Load best weights W
22: Save final model and mappings
Algorithm 2: Harmonically Constrained Music Generation
Input: HDF5 model path, training data, sequence length, generation length, chord progression, temperature factor.
Output: MIDI melody file
1: Load training data and create pitch mappings
2: Build neural network model architecture
3: Load pre-trained weights from HDF5 file
4: Initialize input sequence from training data
5: for each note in generation length do
6:    Predict pitch probabilities using model
7:    Apply harmonic constraints:
8:       Increase chord tones by 300%
9:       Increase scale tones by 150%
10:  Reduce non-harmonic tones to 10%
11:  Normalize probabilities to sum to 1
12:  Apply temperature scaling to probabilities
13:  Sample next pitch index from adjusted probabilities
14:  Add sampled pitch to melody and update input sequence
15: end for
16: Structure melody into AABA form:
17:  Split into sections A (120 notes) and B (60 notes)
18:  Transpose section B by minor third interval
19:  Recombine as A + A + B + A
20: Create MIDI file with melody and harmonic accompaniment
The program architecture is shown in Figure 5. Training was conducted for more than 500 epochs. The CPU used was Intel i7-10700, and the GPU was NVIDIA GeforceGT-1030. The dropout rate for LSTM layers was determined through a combination of domain knowledge, grid search, and validation performance monitoring. I began with dropout rates commonly used in sequence models (0.1–0.3), as higher values risk disrupting the temporal dependency learning critical for music generation. I performed a systematic grid search over candidate values (0.1, 0.2, 0.3) using a validation set of held-out musical sequences. After 475 epochs, the loss reached 0.1195, as depicted in Figure 6. The output file will be generated as a MIDI format by using the “FFmpeg” tool.

4. Comparison and Analysis

If we compare a piece of music (the original duration of the music is 2 min and 20 s), I capture 20 s of it for illustration. It can show the characteristics of the original music’s pitch and velocity. The Midi format diagram is shown in Figure 7. Then, we can get the characteristic diagram shown in Figure 8.
In a tonal composition, the model’s prediction will be influenced by the established key signature, with notes within the key having higher probabilities of being selected. In terms of technical implementation, the Softmax function normalizes the raw output scores from the neural network into probabilities, enabling a probabilistic sampling approach. Techniques like temperature-adjusted sampling can be applied here. A lower temperature value will lead to more conservative, “safe” note selections, adhering closely to learned musical patterns and common progressions, while a higher temperature encourages more creative and exploratory outputs, potentially introducing novel melodic or harmonic turns. This way, the model not only generates new musical sequences but also balances between adhering to established musical conventions and exploring new musical territories, leveraging the learned context and patterns within the LSTM architecture.
If the information we extract is only pitch but not duration, then the LSTM will have difficulty learning. In other words, it has too few notes and it is useless to increase the epoch, so the learning effect will be poor such as in Figure 9.
In order to improve our shortcomings, we set and design the following strategies:
1. Data preprocessing:
Normalization: Use the parameter “MinMaxScaler” to ensure that the input features are at the same scale to avoid vanishing gradients.
Reasonable window size: Set the parameter “window_size = 30” to balance the context information and the amount of computation.
2. Model architecture optimization:
We use bidirectional LSTM to capture contextual dependencies and improve sequence modeling capabilities. The discrete notes (0–127) are mapped to a low-dimensional continuous space in the Embedding layer parameter “Embedding”, reducing the input dimensionality. The parameter “LayerNormalization” should be declared, which can speed up training convergence and alleviate gradient instability.
3. Training strategy:
Learning rate scheduling: Use cosine annealing to dynamically adjust the learning rate to avoid falling into the local optimum. The parameter “Early Stopping” should be set so that the validation loss can be monitored to prevent overfitting and terminate the training early. Use small batch training, and set the parameter “Batch Size” to 128 to balance memory usage and gradient update stability.
4. Regularization
This uses L2 regularization: set the parameter “kernel_regularizer” to 12 to reduce the risk of overfitting.
Validation split: Setting the parameter “validation_split” to 0.2 can monitor the generalization ability of the model in real time.
5. Real data replacement: Use MIDI datasets (such as MAESTRO) to replace random simulated data and extract features such as pitch, rhythm, and dynamics. Upgrade models; use Transformer architecture (such as MusicGPT [20]) to handle long sequence dependencies, or use GANs to generate adversarial training to improve music authenticity. While MusicGPT is not explicitly labeled as the “current SOTA” in all music generation tasks (as the field evolves rapidly), it represents a significant advancement intext-to-music generation and has been referenced in recent literature for its ability to produce high-quality, semantically aligned outputs. The results are shown in Figure 10 and Figure 11.
I selected the first 90 s of 5 original songs in the same style for comparison. After training with our LSTM architecture, we generated a piece of music with pitch and velocity features. The comparison results are shown in Figure 12 and Figure 13. We found that all 90 s segments were trainable, yielding corresponding generated results that met our expectations and demonstrated excellent performance.
The comparison plots shown in Figure 14 and Figure 15 evaluate three models—LSTM, Transformer, and GAN—for music generation by analyzing their ability to replicate real MIDI pitch and velocity patterns. Key metrics include the “Average Distance to Original” data (lower is better: the metric calculatesthe mean absolute difference between generated values and real data, measuring how closely the model mimics the original patterns), and visual alignment with real sequences (black lines). LSTM excels in sequential coherence, Transformer handles long-range dependencies effectively, and GAN prioritizes diversity. Use Table 2 to compare quantitative performance and the plots to assess qualitative trends (e.g., smoothness, variability). For practical applications, choose LSTM/Transformer for high fidelity or GAN for creative diversity.

5. Conclusions

Although the technology of music generation is already very mature, there are still many technical details to pay attention to when generating a piece of music. In the Windows environment, we can use open-source projects such as TensorFlow, music21, FFmpeg, and abundant high-quality music training data to achieve music generation based on the LSTM deep learning architecture. However, we need to pay attention to the setting of many parameters, which requires an understanding of the entire music generation architecture. These architectures can capture the temporal dependencies of musical sequences and produce musical compositions with considerable structure and creativity. Through implementation, it is demonstrated that LSTM can effectively achieve the production of perfect, original, and subjectively attractive short- and medium-term musical compositions.

Funding

This research received no external funding.

Data Availability Statement

The code and data-set are available in https://github.com/jjj201405/LSTM-music-generation-code-and-data-set (accessed on 20 May 2025).

Acknowledgments

The author is grateful to the editors and reviewers for their constructive comments, which have significantly improved this work.

Conflicts of Interest

The author declares no conflicts of interest.

Appendix A. Music Generation Preprocessing and MP3 File Generation

First, install TensorFlow in the Command Prompt window of Windows and then install the Visual Studio package, CUDA, and other drivers. After setting up the deep learning environment, proceed to download the free MIDI training dataset from https://Midiworld.com (accessed on 20 May 2025). MIDI (Musical Instrument Digital Interface) is a digital music file format that records information such as notes, note durations, and volume, without containing the actual audio. It is like a computerized sheet music that can control music devices, play instruments, and store music compositions. When training with LSTM, MIDI files can be used as the training set, where the sequences of notes are used as model inputs, and the model can learn the structure and patterns of the music. Through the LSTM network, new sequences of notes can be generated, enabling music generation. Similar to text generation, LSTM learns the relationships and probability distributions between words or characters to generate coherent text. In music generation, LSTM learns the relationships between notes and the structure of the music to generate coherent music. In music generation, MIDI files are typically parsed into representations of notes and note attributes. However, music generation involves considering more musical elements and constraints, such as note duration, volume, and timbre, rather than just the order of words or characters [21].
The downloaded MIDI files cannot be directly used for LSTM training and require some preprocessing steps. First, load the MIDI file and extract information such as notes, note durations, and note pitches. Then, convert the note information into sequences by encoding each note at each time step as an integer value or encoding. Finally, create input sequences and corresponding target sequences from the sequence data, based on the requirements of the prediction model. This enables subsequent standardization processes to scale the data to an appropriate range for training the LSTM model in tensor form [22].
Once the dataset is loaded, we need to install two tools that can convert MIDI files to formats such as.mp3 or.wav. This part is relatively straightforward on Linux systems, but on Windows systems, you cannot use the “pip” command for installation. Instead, you need to search online for “timidity” and “ffmpeg”, download and extract them, and set the correct paths before you can use them. If you encounter the error message “timidity” is not recognized as an internal or external command, it means that the system cannot identify the “timidity” or “ffmpeg” commands. Timidity and ffmpeg are software programs used for MIDI file conversion, and if the system cannot find them, it may be because they are not installed correctly or added to the system environment variables. To solve this problem, in the “Edit Environment Variables” window on Windows, click “New” and enter the installation path for Timidity and ffmpeg as shown in Figure A1. Additionally, you need to manually create a configuration file called “timidity.cfg” using a text editor so that the SoundFont can be properly loaded, as shown in Figure A2. SoundFont is used to store audio sampling and instrument sound data and typically has a file name with the extension “.sf2”. You can download ready-made SoundFont files from SoundFont resource websites on the internet. There are free options available as well as commercial and high-quality SoundFont files for purchase. Once the installation is complete without any error messages, running “timw32g.exe” will launch the GUI, as shown in Figure A3, indicating a successful installation. Using the ffmpeg Python command can generatean mp3 file.
Figure A1. Variables path set window. Schematic illustration of adding installation paths for Timidity and ffmpeg in the “Edit Environment Variables” window on Windows to resolve recognition errors when converting MIDI files to.mp3/.wav formats.
Figure A1. Variables path set window. Schematic illustration of adding installation paths for Timidity and ffmpeg in the “Edit Environment Variables” window on Windows to resolve recognition errors when converting MIDI files to.mp3/.wav formats.
Computers 14 00229 g0a1
Figure A2. timidity.cfg configuration file. Manual creation of the “timidity.cfg” configuration file using a text editor to ensure proper loading of SoundFont for MIDI file conversion with Timidity.
Figure A2. timidity.cfg configuration file. Manual creation of the “timidity.cfg” configuration file using a text editor to ensure proper loading of SoundFont for MIDI file conversion with Timidity.
Computers 14 00229 g0a2
Figure A3. Timidity GUI interface. Graphical user interface (GUI) of “timw32g.exe” indicating successful installation of Timidity, with SoundFont files (.sf2) used to store audio sampling data.
Figure A3. Timidity GUI interface. Graphical user interface (GUI) of “timw32g.exe” indicating successful installation of Timidity, with SoundFont files (.sf2) used to store audio sampling data.
Computers 14 00229 g0a3
In the field of music generation, common choices for extracting notes and chords include Magenta [23], music21, and custom deep learning frameworks such as TensorFlow. Magenta, which has gained widespread attention, offers deep learning models and tools specifically focused on music and artistic creation. music21 provides powerful functionalities for music analysis and processing, while custom deep learning frameworks offer greater flexibility and customization options.
Magenta, developed by Google, is an open-source project dedicated to music and artistic creation. It provides multiple deep learning models and tools for music generation and processing. One of Magenta’s models, called “Music Transformer” enables melody composition and generation [24]. On the other hand, music21 is a Python library used for music analysis, music theory, and music generation. It offers a comprehensive set of tools for handling and manipulating music data. With music21, various music file formats such as MIDI can be read, written, and converted. Additionally, music21 offers a range of music analysis functionalities, including chord analysis, note sequence analysis, and interval analysis [25]. Utilizing music21, music can be represented symbolically with elements such as notes, chords, and tempo, serving as a database for subsequent deep learning processes. The data set for this paper comes fromGitHub [26] and imooc net [27]. The LSTM architecture is improved based on the work in [28].

References

  1. Hochreiter, S.; Schmidhuber, J. Long Short-Term Memory. Neural Comput. 1997, 9, 1735–1780. [Google Scholar] [CrossRef] [PubMed]
  2. Mangal, S.; Modak, R.; Joshi, P. LSTM based music generation system. arXiv 2019, arXiv:1908.01080. [Google Scholar] [CrossRef]
  3. Shah, F.; Naik, T.; Vyas, N. LSTM Based Music Generation. In Proceedings of the 2019 International Conference on Machine Learning and Data Engineering (iCMLDE), Taipei, Taiwan, 2–4 December 2019; pp. 48–53. [Google Scholar] [CrossRef]
  4. Huang, Y.; Huang, X.; Cai, Q. Music Generation Based on Convolution-LSTM. Comput. Inf. Sci. 2018, 11, 50–56. [Google Scholar] [CrossRef]
  5. Zhao, K.; Li, S.; Cai, J.; Wang, H.; Wang, J. An emotional symbolic music generation system based on LSTM networks. In Proceedings of the 2019 IEEE 3rd Information Technology, Networking, Electronic and Automation Control Conference (ITNEC), Chengdu, China, 15–17 March 2019; pp. 2039–2043. [Google Scholar]
  6. Zhang, H.; Xu, T.; Li, H.; Zhang, S.; Wang, X.; Huang, X.; Metaxas, D.N. StackGAN++: Realistic Image Synthesis with Stacked Generative Adversarial Networks. IEEE Trans. Pattern Anal. Mach. Intell. 2018, 41, 1947–1962. [Google Scholar] [CrossRef] [PubMed]
  7. Brock, A.; Donahue, J.; Simonyan, K. Large Scale GAN Training for High Fidelity Natural Image Synthesis. In Proceedings of the International Conference on Learning Representations (ICLR), New Orleans, LA, USA, 6–9 May 2019; Available online: http://arxiv.org/abs/1809.11096 (accessed on 20 May 2025).
  8. Higgins, I.; Matthey, L.; Pal, A.; Burgess, C.; Glorot, X.; Botvinick, M.; Mohamed, S.; Lerchner, A. β-VAE: Learning Basic Visual Concepts with a Constrained Variational Framework. In Proceedings of the International Conference on Learning Representations (ICLR), Toulon, France, 24–26 April 2017. [Google Scholar]
  9. Zhao, S.; Song, J.; Ermon, S. InfoVAE: Balancing Learning and Inference in Variational Autoencoders. In Advances in Neural Information Processing Systems; Curran Associates, Inc.: Red Hook, NY, USA, 2017; pp. 225–235. [Google Scholar]
  10. Shih, Y.J.; Wu, S.L.; Zalkow, F.; Müller, M.; Yang, Y.H. Theme transformer: Symbolic music generation with theme-conditioned transformer. IEEE Trans. Multimed. 2022, 25, 3495–3508. [Google Scholar] [CrossRef]
  11. Zhang, N. Learning adversarial transformer for symbolic music generation. IEEE Trans. Neural Netw. Learn. Syst. 2020, 34, 1754–1763. [Google Scholar] [CrossRef] [PubMed]
  12. Naveed, H.; Khan, A.U.; Qiu, S.; Saqib, M.; Anwar, S.; Usman, M.; Akhtar, N.; Barnes, N.; Mian, A. A comprehensive overview of large language models. arXiv 2023, arXiv:2307.06435. [Google Scholar]
  13. Chang, Y.; Wang, X.; Wang, J.; Wu, Y.; Yang, L.; Zhu, K.; Chen, H.; Yi, X.; Wang, C.; Wang, Y.; et al. A survey on evaluation of large language models. ACM Trans. Intell. Syst. Technol. 2024, 15, 1–45. [Google Scholar] [CrossRef]
  14. Zhang, J.; Huang, J.; Jin, S.; Lu, S. Vision-language models for vision tasks: A survey. In IEEE Transactions on Pattern Analysis and Machine Intelligence; IEEE: Piscataway, NJ, USA, 2024. [Google Scholar]
  15. Sharshar, A.; Khan, L.U.; Ullah, W.; Guizani, M. Vision-Language Models for Edge Networks: A Comprehensive Survey. arXiv 2025, arXiv:2502.07855. [Google Scholar]
  16. Google Brain Teams. Tensorflow Lite Reference Manunal; Google Brain Teams: Mountain View, CA, USA, 2025; Available online: https://www.tensorflow.org/lite/microcontrollers?hl=zh-tw (accessed on 18 May 2025).
  17. TiMidity Website. Available online: https://timidity.sourceforge.net (accessed on 20 April 2025).
  18. FFmpeg Website. Available online: https://ffmpeg.org (accessed on 20 April 2025).
  19. Music21 Website. Available online: http://web.mit.edu/music21 (accessed on 20 April 2025).
  20. Imasato, N.; Miyazawa, K.; Duncan, C.; Nagai, T. Using a language model to generate music in its symbolic domain while controlling its perceived emotion. IEEE Access 2023, 11, 52412–52428. [Google Scholar] [CrossRef]
  21. Yang, Y.H.; Huang, J.B.; Hsieh, C.K. MIDI-net: A convolutional generative adversarial network for symbolic-domain music generation. arXiv 2017, arXiv:1703.10847. [Google Scholar]
  22. Huang, C.Z.; Vasconcelos, N.; Gao, J. Music transformer: Generating music with long-term structure. In Proceedings of the 35th International Conference on Machine Learning (ICML-18), Stockholm, Sweden, 10–15 July 2018; pp. 2254–2263. [Google Scholar]
  23. Magenta Website. Available online: https://magenta.tensorflow.org (accessed on 20 April 2025).
  24. Huang, A.; Vaswani, A.; Uszkoreit, J.; Simon, I.; Hawthorne, C.; Eck, D. Composing a Melody in Ableton Live with Music Transformer. J. Creat. Music Syst. 2021, 5, 1–16. [Google Scholar]
  25. Huang, J.H.; Yang, Y.H. MuseGAN: Multi-track Sequential Generative Adversarial Networks for Symbolic Music Generation and Accompaniment. IEEE Trans. Multimed. 2020, 22, 802–815. [Google Scholar]
  26. Ferreira, L.; Lelis, L.; Whitehead, J. Computer-generated music for tabletop role-playing games. In Proceedings of the AAAI Conference on Artificial Intelligence and Interactive Digital Entertainment, Online, 19–23 October 2020; Volume 16. Available online: https://github.com/lucasnfe/adl-piano-midi (accessed on 19 May 2025).
  27. Xie, E. Oscar, Imooc Inc., China. Available online: https://www.imooc.com/u/1289460 (accessed on 19 May 2025).
  28. Mon, Y.-J. Image-Tracking-Driven Symmetrical Steering Control with Long Short-Term Memory for Linear Charge-Coupled-Device-Based Two-Wheeled Self-Balancing Cart. Symmetry 2025, 17, 747. [Google Scholar] [CrossRef]
Figure 1. The design concept diagram for music model training: (a). Data inputs: The workflow includes data preprocessing (encoding notes/chords into numerical vectors from Midi data), sequence generation (dividing into input/target sequences), LSTM model construction (via TensorFlow), training (using categorical_crossentropy and RMSprop), evaluation/generation, and mapping numbers to notes/chords for listing generated sequences. (b). Model inputs: The music generation process involves loading the pre-trained LSTM model and mappings, generating a seed pattern, creating note/chord index sequences with the model, converting indices to human-readable strings, and saving as a MIDI file with specified tempo and validation.
Figure 1. The design concept diagram for music model training: (a). Data inputs: The workflow includes data preprocessing (encoding notes/chords into numerical vectors from Midi data), sequence generation (dividing into input/target sequences), LSTM model construction (via TensorFlow), training (using categorical_crossentropy and RMSprop), evaluation/generation, and mapping numbers to notes/chords for listing generated sequences. (b). Model inputs: The music generation process involves loading the pre-trained LSTM model and mappings, generating a seed pattern, creating note/chord index sequences with the model, converting indices to human-readable strings, and saving as a MIDI file with specified tempo and validation.
Computers 14 00229 g001
Figure 2. LSTM architecture diagram. It depicts an LSTM neuron architecture with input, forget, output gates, and cell state, illustrating their interaction with musical data for music generation.
Figure 2. LSTM architecture diagram. It depicts an LSTM neuron architecture with input, forget, output gates, and cell state, illustrating their interaction with musical data for music generation.
Computers 14 00229 g002
Figure 3. Continuous action of LSTM in music generation. It shows LSTM’s continuous action in music generation: an individual neuron (A) outputs G after receiving note C following memory of a prior segment, with LSTM controlling cell state information flow via gates to capture long-term dependencies for tasks like music generation.
Figure 3. Continuous action of LSTM in music generation. It shows LSTM’s continuous action in music generation: an individual neuron (A) outputs G after receiving note C following memory of a prior segment, with LSTM controlling cell state information flow via gates to capture long-term dependencies for tasks like music generation.
Computers 14 00229 g003
Figure 4. LSTM-generated pitch simulation diagram. It visualizes the LSTM model’s performance in generating musical sequences, focusing on pitch distribution (MIDI values on y-axis) and continuity across generated notes (e.g., C, G, E, F, G on x-axis), enabling qualitative assessment of pitch range consistency, melodic coherence, and distribution match to training data.
Figure 4. LSTM-generated pitch simulation diagram. It visualizes the LSTM model’s performance in generating musical sequences, focusing on pitch distribution (MIDI values on y-axis) and continuity across generated notes (e.g., C, G, E, F, G on x-axis), enabling qualitative assessment of pitch range consistency, melodic coherence, and distribution match to training data.
Computers 14 00229 g004
Figure 5. LSTM program architecture. The LSTM model comprises three LSTM layers, three Dense layers, and one Softmax activation layer.
Figure 5. LSTM program architecture. The LSTM model comprises three LSTM layers, three Dense layers, and one Softmax activation layer.
Computers 14 00229 g005
Figure 6. (a): Training process of LSTM. The loss converged at 475 epochs during training, meanwhile the learning rate is decreased. (b): Early Stopping diagram of LSTM. With early stopping applied, the model achieved a final loss of 0.1195 after systematically evaluating candidate values on a held-out validation set of musical sequences.
Figure 6. (a): Training process of LSTM. The loss converged at 475 epochs during training, meanwhile the learning rate is decreased. (b): Early Stopping diagram of LSTM. With early stopping applied, the model achieved a final loss of 0.1195 after systematically evaluating candidate values on a held-out validation set of musical sequences.
Computers 14 00229 g006
Figure 7. Diagram of MIDI music format. A MIDI format diagram of a 20 s excerpt from a 2 min 20 s musical piece, illustrating pitch and velocity characteristics of the original music.
Figure 7. Diagram of MIDI music format. A MIDI format diagram of a 20 s excerpt from a 2 min 20 s musical piece, illustrating pitch and velocity characteristics of the original music.
Computers 14 00229 g007
Figure 8. Music characteristic diagram. A characteristic diagram derived from the 20s MIDI excerpt in Figure 7, visualizing key pitch and velocity features of the original music.
Figure 8. Music characteristic diagram. A characteristic diagram derived from the 20s MIDI excerpt in Figure 7, visualizing key pitch and velocity features of the original music.
Computers 14 00229 g008
Figure 9. Bad training process diagram. Poor learning performance of the LSTM model when only pitch (without duration) is extracted, showing limited improvement even with increased epochs due to insufficient note information.
Figure 9. Bad training process diagram. Poor learning performance of the LSTM model when only pitch (without duration) is extracted, showing limited improvement even with increased epochs due to insufficient note information.
Computers 14 00229 g009
Figure 10. Good training process diagram. Results of improved strategies including data preprocessing, bidirectional LSTM, and learning rate scheduling, demonstrating enhanced model performance with normalized features and optimized architecture.
Figure 10. Good training process diagram. Results of improved strategies including data preprocessing, bidirectional LSTM, and learning rate scheduling, demonstrating enhanced model performance with normalized features and optimized architecture.
Computers 14 00229 g010
Figure 11. Learning rate changing diagram. Learning rate decay schedule during training, demonstrating a decreasing trend designed to avoid local optima and improve convergence stability, such as through cosine annealing or stepwise reduction.
Figure 11. Learning rate changing diagram. Learning rate decay schedule during training, demonstrating a decreasing trend designed to avoid local optima and improve convergence stability, such as through cosine annealing or stepwise reduction.
Computers 14 00229 g011
Figure 12. Learning pitch diagram. Comparison of pitch features between the first 90 s of 5 original songs in the same style and the music generated by the LSTM architecture.
Figure 12. Learning pitch diagram. Comparison of pitch features between the first 90 s of 5 original songs in the same style and the music generated by the LSTM architecture.
Computers 14 00229 g012
Figure 13. Learning velocity diagram. Comparison of velocity features between the first 90 s of 5 original songs in the same style and the music generated by the LSTM architecture.
Figure 13. Learning velocity diagram. Comparison of velocity features between the first 90 s of 5 original songs in the same style and the music generated by the LSTM architecture.
Computers 14 00229 g013
Figure 14. Pitch generation comparison across models. This plot evaluates the ability of LSTM, Transformer, and GAN to replicate real MIDI pitch patterns. The black line represents an original pitch sequence for reference. Key metrics include the “Average Distance to Original” (inset in labels), a measure of the mean absolute difference between generated and real pitches (lower values indicate higher fidelity to original patterns). The LSTM model (blue) shows tight alignment with the original sequence, highlighting its sequential coherence. The Transformer (orange) demonstrates smoother long-term trends, reflecting its effectiveness in capturing long-range dependencies. The GAN (green) exhibits slight deviations but greater variability, emphasizing its focus on generative diversity.
Figure 14. Pitch generation comparison across models. This plot evaluates the ability of LSTM, Transformer, and GAN to replicate real MIDI pitch patterns. The black line represents an original pitch sequence for reference. Key metrics include the “Average Distance to Original” (inset in labels), a measure of the mean absolute difference between generated and real pitches (lower values indicate higher fidelity to original patterns). The LSTM model (blue) shows tight alignment with the original sequence, highlighting its sequential coherence. The Transformer (orange) demonstrates smoother long-term trends, reflecting its effectiveness in capturing long-range dependencies. The GAN (green) exhibits slight deviations but greater variability, emphasizing its focus on generative diversity.
Computers 14 00229 g014
Figure 15. Velocity generation comparison across models. This plot assesses the models’ performance in reproducing MIDI velocity (dynamics) patterns. The black dashed line represents an original velocity sequence. The “Average Distance to Original“ metric (inset in labels) quantifies how closely generated velocities match real data, with lower values indicating better mimicry. The LSTM model (blue) closely follows the original’s dynamic fluctuations, showcasing its precision in temporal modeling. The Transformer (orange) maintains consistent alignment across the sequence, leveraging self-attention to handle long-term structural dependencies. The GAN (green) displays moderate deviation from the original but introduces more varied dynamics, illustrating its trade-off between fidelity and creative output.
Figure 15. Velocity generation comparison across models. This plot assesses the models’ performance in reproducing MIDI velocity (dynamics) patterns. The black dashed line represents an original velocity sequence. The “Average Distance to Original“ metric (inset in labels) quantifies how closely generated velocities match real data, with lower values indicating better mimicry. The LSTM model (blue) closely follows the original’s dynamic fluctuations, showcasing its precision in temporal modeling. The Transformer (orange) maintains consistent alignment across the sequence, leveraging self-attention to handle long-term structural dependencies. The GAN (green) displays moderate deviation from the original but introduces more varied dynamics, illustrating its trade-off between fidelity and creative output.
Computers 14 00229 g015
Table 1. A comparison table of major papers on music generation.
Table 1. A comparison table of major papers on music generation.
Model/ArchitectureKey Components/PrinciplesMain Contributions to Music GenerationTheoretical FoundationsReferences
Long Short-Term Memory (LSTM)Variant of RNN; captures long-term dependencies via cell states, forget/input/output gates.Learns structure and rhythm of music sequences to generate new segments.
-
Backpropagation algorithm
-
Loss functions (e.g., MSE, Cross-Entropy)
-
Optimization for style consistency and creativity.
[1,2,3,4,5]
Generative Adversarial Networks (GANs)Consists of generator (produces music) and discriminator (classifies real/generated music).Improves generated music quality through adversarial training, aligning with real music style/structure.
-
Backpropagation
-
Adversarial loss optimization.
[6,7]
Variational Autoencoders (VAEs)Combines autoencoders with latent space sampling for low-dimensional representation learning.Generates new music by sampling from learned latent space distributions.
-
Backpropagation
-
Variational inference
-
Reconstruction loss (e.g., KL divergence).
[8,9]
TransformerRelies on self-attention mechanisms for parallel processing and long-range dependency capture.
-
Enables efficient sequence modeling in NLP and music generation.
-
Serves as foundation for advanced models like MusicGPT.
-
Self-attention mechanism
-
Positional encoding
-
Parallel computation.
[10,11]
Table 2. A comparison table of LSTM, Transformer, and GAN.
Table 2. A comparison table of LSTM, Transformer, and GAN.
ModelAverage Pitch DistanceVelocity Average DistanceFeatures
LSTM15.9244.71Strong sequential modeling capabilities and high generation coherence
Transformer16.8041.08Global attention mechanism, effectively handles long-sequence dependencies
GAN16.8142.21Strong diversified generation ability and higher creativity
Disclaimer/Publisher’s Note: The statements, opinions and data contained in all publications are solely those of the individual author(s) and contributor(s) and not of MDPI and/or the editor(s). MDPI and/or the editor(s) disclaim responsibility for any injury to people or property resulting from any ideas, methods, instructions or products referred to in the content.

Share and Cite

MDPI and ACS Style

Mon, Y.-J. LSTM-Based Music Generation Technologies. Computers 2025, 14, 229. https://doi.org/10.3390/computers14060229

AMA Style

Mon Y-J. LSTM-Based Music Generation Technologies. Computers. 2025; 14(6):229. https://doi.org/10.3390/computers14060229

Chicago/Turabian Style

Mon, Yi-Jen. 2025. "LSTM-Based Music Generation Technologies" Computers 14, no. 6: 229. https://doi.org/10.3390/computers14060229

APA Style

Mon, Y.-J. (2025). LSTM-Based Music Generation Technologies. Computers, 14(6), 229. https://doi.org/10.3390/computers14060229

Note that from the first issue of 2016, this journal uses article numbers instead of page numbers. See further details here.

Article Metrics

Back to TopTop