A Systematic Review and Meta-Analysis of the Association Between Depot Medroxyprogesterone Acetate and Cerebral Meningioma
Simple Summary
Abstract
1. Introduction
2. Materials and Methods
3. Results
3.1. Literature Search
3.2. Study Characteristics
3.3. Quality Assessment
3.4. Publication Bias Analysis
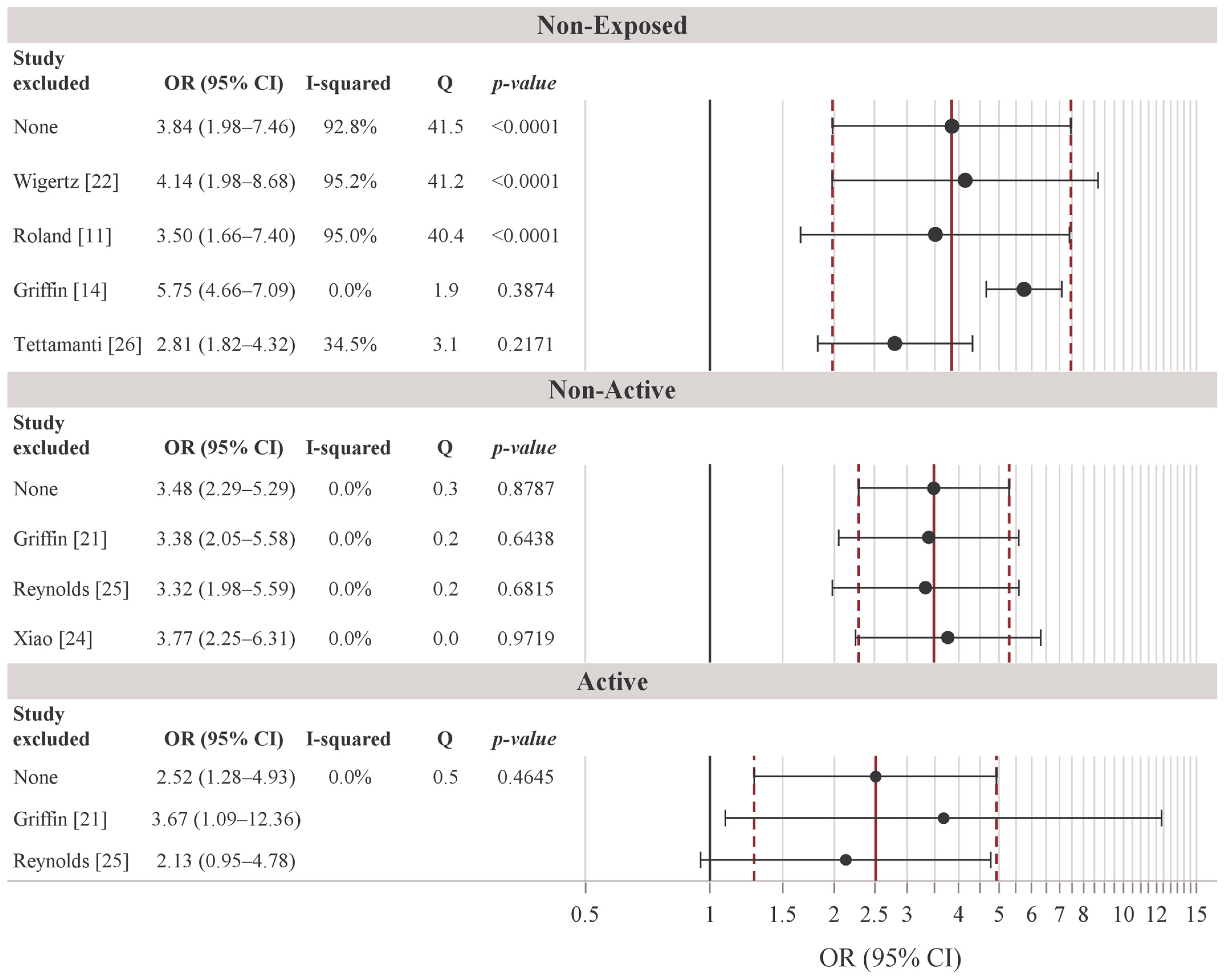
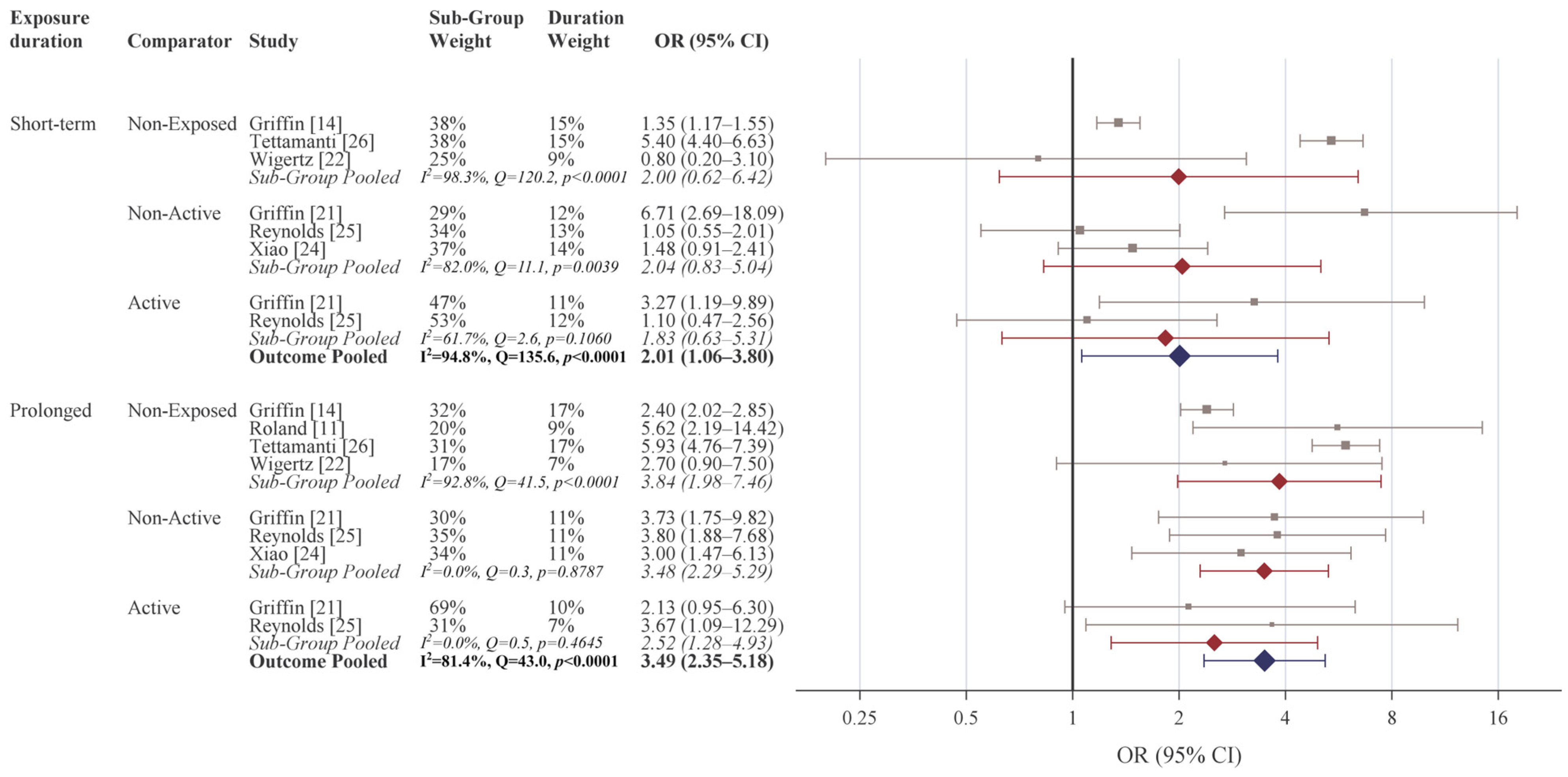
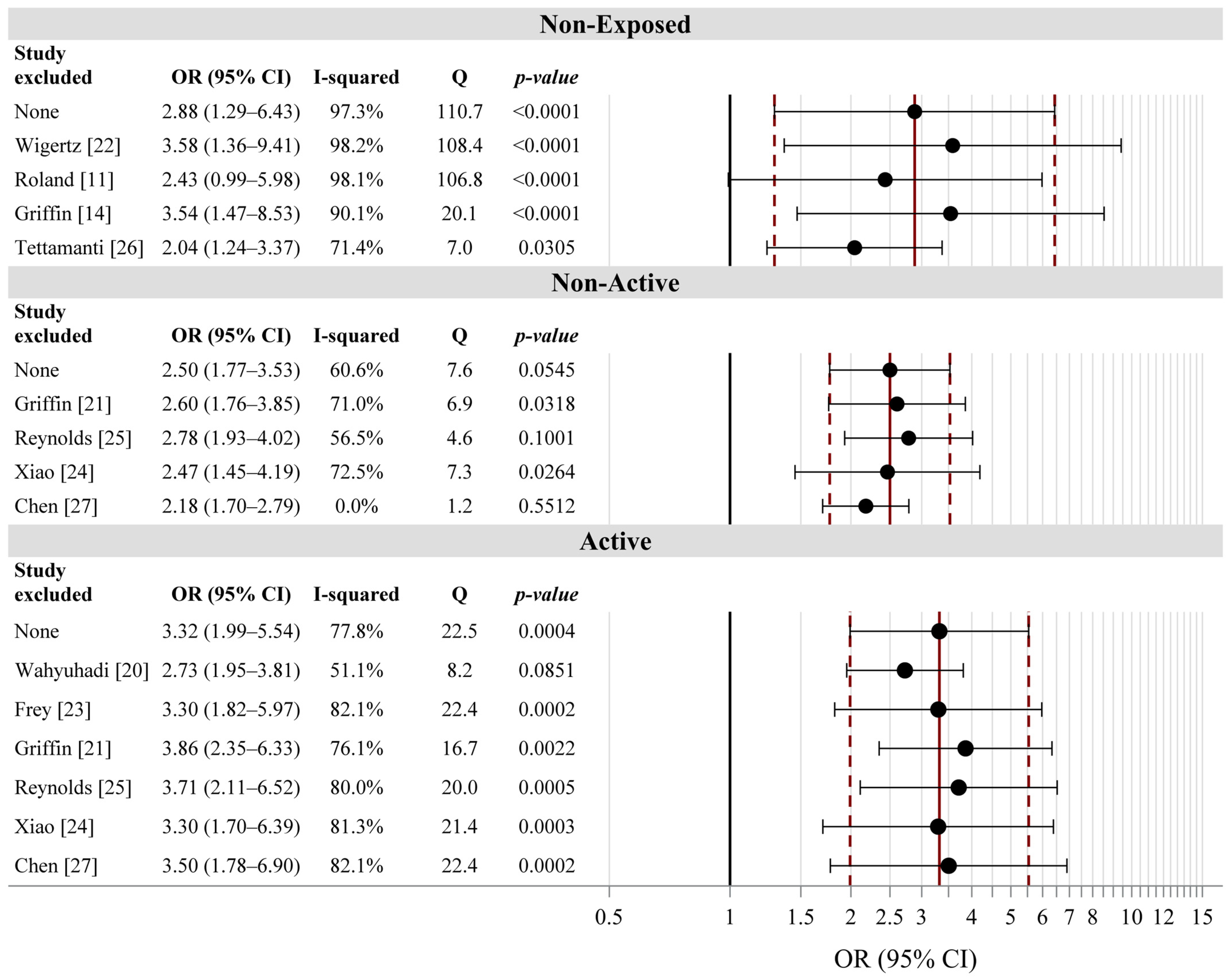
3.5. Pooled Analysis and Heterogeneity Analysis
3.6. Quality of Evidence
4. Discussion
5. Conclusions
Supplementary Materials
Author Contributions
Funding
Institutional Review Board Statement
Informed Consent Statement
Data Availability Statement
Conflicts of Interest
Abbreviations
| GRADE | Grading of Recommendations Assessment, Development, and Evaluation |
| dMPA | Depot Medroxyprogesterone Acetate |
| OR | Odds Ratio |
| 95% CI | 95% Confidence Interval |
Appendix A
| GRADE Criteria | Rating | Notes |
|---|---|---|
| Observational study evidence quality | ⊕⊕◯◯ Low | Starting GRADE evidence rating for observational research |
| Quality of evidence assessment | ||
| Risk of bias | No | Included studies utilized data from administrative datasets or previously established cohorts |
| Inconsistency | No | Heterogeneity is high, but associations similar in leave-one-out analysis |
| Indirectness | Very serious (−2) | Study populations based on members of an insurance group, whether private or public, or from different countries. Cerebral meningioma outcome definitions slightly different across studies. |
| Imprecision | No | 67% of associations were statistically significant with lower SEs |
| Publication bias | Unlikely | No apparent patterns of asymmetry in funnel plots; tests of asymmetry not significant |
| Large effect | Large (+1) | Overall pooled effect OR > 2.00 |
| Dose–response gradient | Yes (+1) | Over 3-fold for prolonged use, weaker association for short-term use |
| Negative residual confounding | Yes (+1) | Confounding likely non-differential, resulting in bias towards the null and currently reported associations being weaker than the true association |
| Overall quality of evidence rating | ⊕⊕⊕◯ Moderate |




References
- Sathe, A.; Patel, P.; Gerriets, V. Medroxyprogesterone. In StatPearls; StatPearls Publishing: Treasure Island, FL, USA, 2026. [Google Scholar]
- Martuza, R.L.; MacLaughlin, D.T.; Ojemann, R.G. Specific Estradiol Binding in Schwannomas, Meningiomas, and Neurofi-bromas. Neurosurgery 1981, 9, 665–671. [Google Scholar] [CrossRef]
- Maiuri, F.; Montagnani, S.; Gallicchio, B.; Carandente, M.; Lanza, G.G.; D’Andrea, F. Oestrogen and Progesterone Sensitivity in Cultured Meningioma Cells. Neurol. Res. 1989, 11, 9–13. [Google Scholar] [CrossRef]
- Carroll, R.S.; Zhang, J.; Dashner, K.; Black, P.M. Progesterone and Glucocorticoid Receptor Activation in Meningiomas. Neurosurgery 1995, 37, 92–97. [Google Scholar] [CrossRef]
- Agopiantz, M.; Carnot, M.; Denis, C.; Martin, E.; Gauchotte, G. Hormone Receptor Expression in Meningiomas: A Systematic Review. Cancers 2023, 15, 980. [Google Scholar] [CrossRef]
- Claus, E.B.; Bondy, M.L.; Schildkraut, J.M.; Wiemels, J.L.; Wrensch, M.; Black, P.M. Epidemiology of Intracranial Meningioma. Neurosurgery 2005, 57, 1088–1095. [Google Scholar] [CrossRef] [PubMed]
- Wiemels, J.; Wrensch, M.; Claus, E.B. Epidemiology and Etiology of Meningioma. J. Neurooncol 2010, 99, 307–314. [Google Scholar] [CrossRef] [PubMed]
- Hatiboglu, M.A.; Cosar, M.; Iplikcioglu, A.C.; Ozcan, D. Sex Steroid and Epidermal Growth Factor Profile of Giant Menin-giomas Associated with Pregnancy. Surg. Neurol. 2008, 69, 356–363. [Google Scholar] [CrossRef]
- Pletzer, B.; Winkler-Crepaz, K.; Maria Hillerer, K. Progesterone and Contraceptive Progestin Actions on the Brain: A Sys-tematic Review of Animal Studies and Comparison to Human Neuroimaging Studies. Front. Neuroendocrinol. 2023, 69, 101060. [Google Scholar] [CrossRef]
- Ku, C.W.; Allen, J.C.; Lek, S.M.; Chia, M.L.; Tan, N.S.; Tan, T.C. Serum Progesterone Distribution in Normal Pregnancies Compared to Pregnancies Complicated by Threatened Miscarriage from 5 to 13 Weeks Gestation: A Prospective Cohort Study. BMC Pregnancy Childbirth 2018, 18, 360. [Google Scholar] [CrossRef] [PubMed]
- Roland, N.; Neumann, A.; Hoisnard, L.; Duranteau, L.; Froelich, S.; Zureik, M.; Weill, A. Use of Progestogens and the Risk of Intracranial Meningioma: National Case-Control Study. BMJ 2024, 384, e078078. [Google Scholar] [CrossRef]
- Burman, R.J.; de Waal, R.; Cohen, K.; Blockman, M.; Patel, M.; Hockman, D.; Fountain, D.M.; Jeyaretna, S.; Singh, S.; Mustak, H.; et al. The Association between Depot Medroxyprogesterone Acetate and Meningiomas: Emerging Data and Their Relevance to the South African Context. S. Afr. Med. J. 2026, 116, e4529. [Google Scholar] [CrossRef]
- Hudelist, B.; Roux, A.; Huet-Mignaton, E.; Dufaure-Gare, I.; Moiraghi, A.; Elia, A.; Seneca, M.; Provost, C.; Benzakoun, J.; Gehanno, A.; et al. Progestogen Use and the Risk of Intracranial Meningioma: A Systematic Review and Meta-Analysis. EClinicalMedicine 2026, 92, 103791. [Google Scholar] [CrossRef]
- Griffin, R.L. The Association between Medroxyprogesterone Acetate Exposure and Meningioma. Cancers 2024, 16, 3362. [Google Scholar] [CrossRef]
- Moola, S.; Munn, Z.; Tufanaru, C.; Aromataris, E.; Sears, K.; Sfetcu, R.; Currie, M.; Lisy, K.; Qureshi, R.; Mattis, P.; et al. Chapter 7: Systematic Reviews of Etiology and Risk; Aromataris, E., Munn, Z., Eds.; JBI Manual for Evidence Synthesis; JBI: Adelaide, SA, USA, 2020; Available online: https://synthesismanual.jbi.global (accessed on 18 March 2026).
- Balshem, H.; Helfand, M.; Schünemann, H.J.; Oxman, A.D.; Kunz, R.; Brozek, J.; Vist, G.E.; Falck-Ytter, Y.; Meerpohl, J.; Norris, S.; et al. GRADE Guidelines: 3. Rating the Quality of Evidence. J. Clin. Epidemiol. 2011, 64, 401–406. [Google Scholar] [CrossRef]
- Prasad, M. Introduction to the GRADE Tool for Rating Certainty in Evidence and Recommendations. Clin. Epidemiol. Glob. Health 2024, 25, 101484. [Google Scholar] [CrossRef]
- DerSimonian, R.; Laird, N. Meta-Analysis in Clinical Trials. Control Clin. Trials 1986, 7, 177–188. [Google Scholar] [CrossRef]
- Cao, J.; Yan, W.; Hong, X.; Yan, H. Epidemiology and Survival of Non-Malignant and Malignant Meningiomas in Middle-Aged Females, 2004–2018. Front. Oncol. 2023, 13, 1157182. [Google Scholar] [CrossRef]
- Wahyuhadi, J.; Heryani, D.; Basuki, H. Risk of Meningioma Associated with Exposure of Hormonal Contraception. A Case Control Study. Maj. Obstet. Ginekol. 2018, 26, 36–41. [Google Scholar] [CrossRef]
- Griffin, R.; Arend, R. A Matched Case-Control Study Examining the Association Between Exposure to Depot Medroxypro-gesterone Acetate and Cerebral Meningioma Using an Active Comparator. Curr. Oncol. 2025, 32, 401. [Google Scholar] [CrossRef] [PubMed]
- Wigertz, A.; Lönn, S.; Mathiesen, T.; Ahlbom, A.; Hall, P.; Feychting, M.; Swedish INTERPHONE Study Grp. Risk of Brain Tumors Associated with Exposure to Exogenous Female Sex Hormones. Am. J. Epidemiol. 2006, 164, 629–636. [Google Scholar] [CrossRef]
- Frey, C.; Sodhi, M.; Fatehi, M.; Kezouh, A.; Etminan, M. Use of Medroxyprogesterone Acetate and Risk of Meningiomas: A Comparative Safety Study. Expert Opin. Drug Saf. 2025. [Google Scholar] [CrossRef]
- Xiao, T.; Kumar, P.; Lobbous, M.; Yogi-Morren, D.; Soni, P.; Recinos, P.F.; Kshettry, V.R. Depot Medroxyprogesterone Acetate and Risk of Meningioma in the US. JAMA Neurol. 2025, 82, e253011. [Google Scholar] [CrossRef]
- Reynolds, L.M.; Arend, R.; Griffin, R.L. The Association between Medroxyprogesterone Acetate Exposure and Cerebral Meningioma among a Medicaid Population. medRxiv 2025, 29, 58. [Google Scholar] [CrossRef] [PubMed]
- Tettamanti, G.; Shu, X.; Mogensen, H.; Kopp Kallner, H.; Mathiesen, T.; Feychting, M. Hormonal Contraceptives and the Risk of Meningioma: A Swedish Register-Based Case-Control Study. Neuro. Oncol. 2025, 28, noaf228. [Google Scholar] [CrossRef]
- Chen, S.; Jugl, S.; Jackson, L.; Rahman, M.; Antonelli, P.J.; Bruggeman, B.; Winterstein, A.G. Risk of Intracranial Meningioma Requiring Surgical Intervention among Recent Hormonal Contraceptives Users. J. Neurooncol. 2026, 176, 156. [Google Scholar] [CrossRef]
- Peters, J.L.; Sutton, A.J.; Jones, D.R.; Abrams, K.R.; Rushton, L. Contour-Enhanced Meta-Analysis Funnel Plots Help Distinguish Publication Bias from Other Causes of Asymmetry. J. Clin. Epidemiol. 2008, 61, 991–996. [Google Scholar] [CrossRef]
- Peyre, M.; Gaillard, S.; de Marcellus, C.; Giry, M.; Bielle, F.; Villa, C.; Boch, A.L.; Loiseau, H.; Baussart, B.; Cazabat, L.; et al. Progestin-Associated Shift of Meningioma Mutational Landscape. Ann. Oncol. 2018, 29, 681–686. [Google Scholar] [CrossRef]
- Abedalthagafi, M.; Bi, W.L.; Aizer, A.A.; Merrill, P.H.; Brewster, R.; Agarwalla, P.K.; Listewnik, M.L.; Dias-Santagata, D.; Thorner, A.R.; Van Hummelen, P.; et al. Oncogenic PI3K Mutations Are as Common as AKT1 and SMO Mutations in Men-ingioma. Neuro. Oncol. 2016, 18, 649–655. [Google Scholar] [CrossRef]
- Samuels, Y.; Diaz, L.A.; Schmidt-Kittler, O.; Cummins, J.M.; Delong, L.; Cheong, I.; Rago, C.; Huso, D.L.; Lengauer, C.; Kinzler, K.W.; et al. Mutant PIK3CA Promotes Cell Growth and Invasion of Human Cancer Cells. Cancer Cell 2005, 7, 561–573. [Google Scholar] [CrossRef] [PubMed]
- El-Habr, E.A.; Levidou, G.; Trigka, E.-A.; Sakalidou, J.; Piperi, C.; Chatziandreou, I.; Spyropoulou, A.; Soldatos, R.; Tomara, G.; Petraki, K.; et al. Complex Interactions between the Components of the PI3K/AKT/mTOR Pathway, and with Components of MAPK, JAK/STAT and Notch-1 Pathways, Indicate Their Involvement in Meningioma Development. Virchows Arch. 2014, 465, 473–485. [Google Scholar] [CrossRef] [PubMed]
- Yuan, T.L.; Cantley, L.C. PI3K Pathway Alterations in Cancer: Variations on a Theme. Oncogene 2008, 27, 5497–5510. [Google Scholar] [CrossRef] [PubMed]
- Ewald, H.; Klerings, I.; Wagner, G.; Heise, T.L.; Stratil, J.M.; Lhachimi, S.K.; Hemkens, L.G.; Gartlehner, G.; Armijo-Olivo, S.; Nussbaumer-Streit, B. Searching Two or More Databases Decreased the Risk of Missing Relevant Studies: A Metaresearch Study. J. Clin. Epidemiol. 2022, 149, 154–164. [Google Scholar] [CrossRef] [PubMed]
- Bramer, W.M.; Rethlefsen, M.L.; Kleijnen, J.; Franco, O.H. Optimal Database Combinations for Literature Searches in Sys-tematic Reviews: A Prospective Exploratory Study. Syst. Rev. 2017, 6, 245. [Google Scholar] [CrossRef] [PubMed]
- Hill, A.B. The Environment and Disease: Association or Causation? Proc. R. Soc. Med. 1965, 58, 295–300. [Google Scholar] [CrossRef]
- American College of Obstetricians and Gynecologists. Counseling Patients on Birth Control Injection and Meningioma. Available online: https://www.acog.org/clinical-information/patient-education-materials/tools-for-navigating-discussions/counseling-guides/birth-control-injection (accessed on 31 March 2026).
- In Brief: New Warning for Injectable Medroxyprogesterone. Med. Lett. Drugs Ther. 2026, 68, 24. [CrossRef]
- Reuter, G.; Potorac, I.; de Herdt, C.; Ameryckx, L.; Brichant, G.; Froelich, S.; Baussart, B.; De Vleeschouwer, S.; Menovsky, T.; Van Havenberghe, T.; et al. Recommendations on the Management of Meningioma and Sex Hormone Therapy: The Results of a Collaborative Effort between Neurosurgical, Endocrine and Gynecological Societies. Brain Spine 2025, 5, 104154. [Google Scholar] [CrossRef]
- Devalckeneer, A.; Aboukais, R.; Bourgeois, P.; De Witte, O.; Racape, J.; Caron, S.; Perbet, R.; Maurage, C.-A.; Lejeune, J.-P. Preliminary Report of Patients with Meningiomas Exposed to Cyproterone Acetate, Nomegestrol Acetate and Chlormadinone Acetate—Monocentric Ongoing Study on Progestin Related Meningiomas. Clin. Neurol. Neurosurg. 2021, 210, 106959. [Google Scholar] [CrossRef]
- Passeri, T.; Champagne, P.-O.; Bernat, A.-L.; Hanakita, S.; Salle, H.; Mandonnet, E.; Froelich, S. Spontaneous Regression of Meningiomas after Interruption of Nomegestrol Acetate: A Series of Three Patients. Acta Neurochir. 2019, 161, 761–765. [Google Scholar] [CrossRef]
- Bernat, A.L.; Oyama, K.; Hamdi, S.; Mandonnet, E.; Vexiau, D.; Pocard, M.; George, B.; Froelich, S. Growth Stabilization and Regression of Meningiomas after Discontinuation of Cyproterone Acetate: A Case Series of 12 Patients. Acta Neurochir. 2015, 157, 1741–1746. [Google Scholar] [CrossRef]
- Kalamarides, M.; Peyre, M. Dramatic Shrinkage with Reduced Vascularization of Large Meningiomas After Cessation of Progestin Treatment. World Neurosurg. 2017, 101, 814.e7–814.e10. [Google Scholar] [CrossRef]
- Korhonen, K.; Auvinen, A.; Lyytinen, H.; Ylikorkala, O.; Pukkala, E. A Nationwide Cohort Study on the Incidence of Meningioma in Women Using Postmenopausal Hormone Therapy in Finland. Am. J. Epidemiol. 2012, 175, 309–314. [Google Scholar] [CrossRef]
- Roland, N.; Kolla, E.; Baricault, B.; Dayani, P.; Duranteau, L.; Froelich, S.; Zureik, M.; Weill, A. Oral Contraceptives with Progestogens Desogestrel or Levonorgestrel and Risk of Intracranial Meningioma: National Case-Control Study. BMJ 2025, 389, e083981. [Google Scholar] [CrossRef]
- Roland, N.; Nguyen, P.; Neumann, A.; Hoisnard, L.; Passeri, T.; Duranteau, L.; Coste, J.; Froelich, S.; Zureik, M.; Weill, A. Prolonged Use of Chlormadinone Acetate and Risk of Intracranial Meningioma: A Population-Based Cohort Study. Eur. J. Neurol. 2025, 32, e16505. [Google Scholar] [CrossRef] [PubMed]
- Nguyen, P.; Roland, N.; Neumann, A.; Hoisnard, L.; Passeri, T.; Duranteau, L.; Coste, J.; Froelich, S.; Zureik, M.; Weill, A. Prolonged Use of Nomegestrol Acetate and Risk of Intracranial Meningioma: A Population-Based Cohort Study. Lancet Reg. Health Eur. 2024, 42, 100928. [Google Scholar] [CrossRef] [PubMed]
- Page, M.J.; McKenzie, J.E.; Bossuyt, P.M.; Boutron, I.; Hoffmann, T.C.; Mulrow, C.D.; Shamseer, L.; Tetzlaff, J.M.; Akl, E.A.; Brennan, S.E.; et al. The PRISMA 2020 statement: An updated guideline for reporting systematic reviews. BMJ 2021, 372, n71. [Google Scholar] [CrossRef] [PubMed]




| Location, Source, Study Design, and Years Included | Participants (n) | Matching Criteria | Exposed (n) | dMPA Definition | Comparator Type | Confounders | |
|---|---|---|---|---|---|---|---|
| Wigertz (2006) [22] | Sweden; INTERPHONE study; unmatched case-control; 2000–2002 | 178 cases; 323 controls; ages 20–69 y | Age | 30 cases, 43 controls | Self-reported; ever-use and duration of use | Non-users of hormone contraceptives | Age, residential area, education, and parity |
| Wahyuhadi (2018) [20] | Patients treated at Dr. Soetomo Hospital in Surabaya, Indonesia; unmatched case-control; 2012–2013 | 101 cases; 101 controls; ages 20–65 y | N/A | 84 cases, 14 controls | Medical record review; ever-use | Non-users of hormone contraceptives | None |
| Roland (2024) [11] | French national health data system (Système National des Données de Santé [SNDS]); national case-control; 2009–2018 | 18,601 cases; 90,305 controls; all ages | Year of birth; area of residence | 9 cases, 11 controls | National health record data; WHO’s anatomical, therapeutic, and chemical (ATC) classification (G03AC06, L02AB02); ever-use and duration of use | Non-users of hormone contraceptives | None |
| Griffin (2024) [14] | United States; IBM MarketScan database; matched case-control; 2006–2022 | 117,503 cases; 1,072,907 controls; ages ≥ 18 y | Age ± 1 year and exact year of enrollment | 480 cases, 2626 controls | Pharmacy claims data; ever-use; duration of use | Non-users of hormone contraceptives | Age and unweighted Elixhauser comorbidity score |
| Griffin (2025) [21] | United States; Patients treated at academic medical center; matched case-control; 2015–2024 | 241 cases; cancer controls matched 3:1 via bootstrapping; ages ≥ 18 y | Age ± 5 years and a cancer diagnosis within three months of the case diagnosis date | 7 cases; mean of 1% of controls across bootstrapped cycles | Medical record review; ever-use; duration of use | Active comparator; non-users of hormone contraceptives | Age, race, and urban/rural classification of residential ZIP code, insurance type, and unweighted Elixhauser comorbidity score |
| Frey (2025) [23] | United States; PharMetrics® Plus for Academics Database; nested case-control; 2006–2020 | 212 cases; 848 controls; age range not stated | Age ± 1 year and calendar time | 21 cases, 33 controls | Pharmacy claims data; duration of use | Active comparator | Age, obesity, previous contraceptive use, previous radiation therapy |
| Xiao (2025) [24] | United States; TriNetX; cohort; 2004–2024 | 88,667 exposed; 88,667 propensity-matched unexposed; age range not stated | Age at inclusion, race, ethnicity, history of pregnancy, history of breast cancer, neurofibromatosis, history of radiation exposure, and body mass index | 88,667 total exposed, of which 131 were diagnosed with meningioma | HCPCS J1050 (dMPA injection); ICD-10 codes Z30.42 or Z30.013 for encounter for injectable contraceptive ever-use and duration of use | Active comparator; non-users of hormone contraceptives | None |
| Reynolds (2025) [25] | United States; Medicaid; matched case-control; 2010–2023 | 469 cases; 4690 controls; ages 18–55 y | Age ± 1 year and year of Medicaid enrollment; and calendar time | 29 cases, 182 controls | Pharmacy claims data; ever-use; duration of use | Active comparator; non-users of hormone contraceptives | Age, race, and number of Elixhauser comorbidities |
| Tettamanti (2025) [26] | Swedish cancer registry/ population register; matched case-control; 2007–2015 | 1055 cases; 21,000 controls; ages ≥ 20 y | Birth year and county of residence at case index date | 186 cases, 853 controls | National health record data; ATC code G03AC06; ever-use; number of prescriptions | Non-users of hormone contraceptives | Marital status, educational level, income, parity, history of diseases of the circulatory system, and family history of breast cancer and central nervous system tumors |
| Chen (2026) [27] | United States; Merative Marketscan; matched case-control; 2005–2019 | 1218 cases; 12,172 controls; ages 15–42 at cohort entry | Age, cohort entry date, and follow-up time | 46 cases, 132 controls | Pharmacy claims data; ever-use | Non-users of hormone contraceptives; active comparator | Age at cohort entry, obesity, hypertension, obstructive sleep apnea, diabetes mellitus type 2, breast cancer, and uterine fibroids |
| Groups Comparably Selected | Appropriate Matching | Same Criteria for Cases/Controls | Reliable Exposure Measurement | Consistent Exposure Measurement | Confounding Factors Identified | Stated Adjustment Methods | Reliable/Valid Outcome Measurement | Exposure Period Long Enough | Statistical Analysis Appropriate | |
|---|---|---|---|---|---|---|---|---|---|---|
| Wigertz (2006) [22] | Yes | Not applicable | Yes | Yes | Yes | Yes | Yes | Yes | Yes | Yes |
| Wahyuhadi (2018) [20] | Uncertain | Not applicable | No | Yes | Yes | Yes | No | Yes | Yes | Yes |
| Roland (2024) [11] | Yes | Yes | Yes | Yes | Yes | Yes | Yes | Yes | Yes | Yes |
| Griffin (2024) [14] | Yes | Yes | Yes | Yes | Yes | Yes | Yes | Yes | Yes | Yes |
| Griffin (2025) [21] | Yes | Yes | Yes | Yes | Yes | Yes | Yes | Yes | Yes | Yes |
| Frey (2025) [23] | Yes | Yes | Yes | Yes | Yes | Yes | Yes | Yes | Yes | Yes |
| Xiao (2025) [24] | Yes | Yes | Yes | Uncertain | Yes | Yes | Yes | Yes | Yes | Yes |
| Reynolds (2025) [25] | Yes | Yes | Yes | Yes | Yes | Yes | Yes | Yes | Yes | Yes |
| Tettamanti(2025) [26] | Yes | Yes | Yes | Yes | Yes | Yes | Yes | Yes | Yes | Yes |
| Chen (2026) [27] | Yes | Yes | Yes | Yes | Yes | Yes | Yes | Yes | Yes | Yes |
| Absolute Effect (per 100,000) | |||||
|---|---|---|---|---|---|
| Without * dMPA | With dMPA (95% CI) | Relative Effect Odds Ratio (95% CI) | Number of Studies | Certainty of the Evidence † | |
| Outcome | |||||
| Cerebral meningioma | 12.5 | 34.8 (27.5–44.0) | 2.78 2.20–3.52 | 10 | ⊕⊕⊕◯ Moderate |
Disclaimer/Publisher’s Note: The statements, opinions and data contained in all publications are solely those of the individual author(s) and contributor(s) and not of MDPI and/or the editor(s). MDPI and/or the editor(s) disclaim responsibility for any injury to people or property resulting from any ideas, methods, instructions or products referred to in the content. |
© 2026 by the authors. Licensee MDPI, Basel, Switzerland. This article is an open access article distributed under the terms and conditions of the Creative Commons Attribution (CC BY) license.
Share and Cite
Reynolds, L.M.; Arend, R.C.; Griffin, R.L. A Systematic Review and Meta-Analysis of the Association Between Depot Medroxyprogesterone Acetate and Cerebral Meningioma. Cancers 2026, 18, 1252. https://doi.org/10.3390/cancers18081252
Reynolds LM, Arend RC, Griffin RL. A Systematic Review and Meta-Analysis of the Association Between Depot Medroxyprogesterone Acetate and Cerebral Meningioma. Cancers. 2026; 18(8):1252. https://doi.org/10.3390/cancers18081252
Chicago/Turabian StyleReynolds, Lindy M., Rebecca C. Arend, and Russell L. Griffin. 2026. "A Systematic Review and Meta-Analysis of the Association Between Depot Medroxyprogesterone Acetate and Cerebral Meningioma" Cancers 18, no. 8: 1252. https://doi.org/10.3390/cancers18081252
APA StyleReynolds, L. M., Arend, R. C., & Griffin, R. L. (2026). A Systematic Review and Meta-Analysis of the Association Between Depot Medroxyprogesterone Acetate and Cerebral Meningioma. Cancers, 18(8), 1252. https://doi.org/10.3390/cancers18081252

