Ensemble Machine Learning Predicts Platinum Resistance in Ovarian Cancer Using Laboratory Data
Simple Summary
Abstract
1. Introduction
2. Materials and Methods
2.1. Study Population and Data Collection
2.2. Outcome Definition and Grouping
2.3. Candidate Features
2.4. Data Preprocessing
2.5. Addressing Class Imbalance
2.6. Construction of the DWF Model
2.7. Optimization of the Classification Threshold
2.8. Model Performance Evaluation
2.9. Feature Assessment
2.10. Statistical Analysis
3. Results
3.1. Baseline Characteristics
3.2. Survival Analysis
3.3. Feature Engineering and Selection
3.3.1. Feature Importance Ranking
3.3.2. Feature Correlation Analysis
3.3.3. Univariable Performance
3.4. Performance Evaluation of DWF
3.4.1. Base Classifier Performance Evaluation
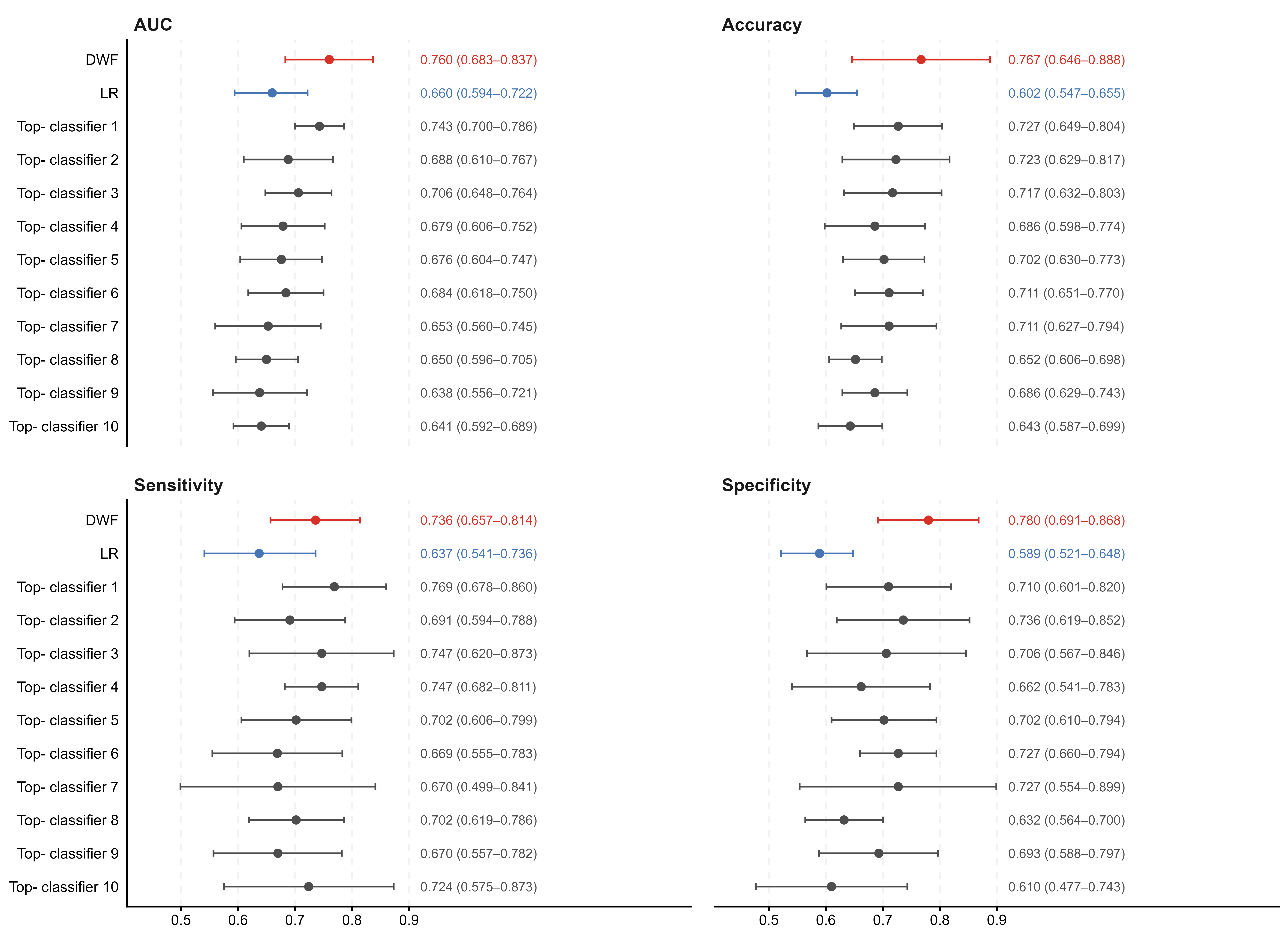
3.4.2. DWF Performance and Comparative Evaluation
3.4.3. Prognostic Value and Risk Stratification
3.5. Model Subgroup Analysis and Interpretability
3.5.1. Subgroup Analysis Based on Treatment Strategy
3.5.2. ORs Analysis of Included Features
3.5.3. Model Interpretability Analysis Based on SHAP
4. Discussion
5. Conclusions
Supplementary Materials
Author Contributions
Funding
Institutional Review Board Statement
Informed Consent Statement
Data Availability Statement
Acknowledgments
Conflicts of Interest
Abbreviations
| DWF | Dynamic weighted fusion model |
| AUC | Area under the curve |
| PDS | Primary debulking surgery |
| NAC | Neoadjuvant chemotherapy |
| PFI | Platinum-free interval |
| BMI | Body mass index |
| G-mean | Geometric mean |
| CS | Combined score |
| OR | Odds ratio |
| IQR | Interquartile range |
| ROC | Receiver operating characteristic |
| CI | Confidence interval |
| vs | versus |
| SHAP | Shapley additive explanations |
| R0 | No residual tumor |
| FIB | Fibrinogen |
| FDP | Fibrinogen/fibrin degradation products |
| GRAN | Granulocyte |
| NL | Neutrophil-to-lymphocyte ratio |
| LYM | Lymphocyte |
| WBC | White blood cell |
| EOS | Eosinophil |
| GRAN# | Granulocyte count |
| PLT | Platelet |
| TBIL | Total bilirubin |
| DBIL | Direct bilirubin |
| IBIL | Indirect bilirubin |
| AST | Aspartate aminotransferase |
| ALT | Alanine aminotransferase |
| CRE | Creatinine |
| UA | Uric acid |
| ALB | Albumin |
| PA | Prealbumin |
| CA125 | Carbohydrate antigen 125 |
| HE4 | Human epididymis protein 4 |
| NR | Not reached |
| NPV | Negative predictive values |
| PPV | Positive predictive values |
References
- Webb, P.M.; Jordan, S.J. Global Epidemiology of Epithelial Ovarian Cancer. Nat. Rev. Clin. Oncol. 2024, 21, 389–400. [Google Scholar] [CrossRef] [PubMed]
- Han, B.; Zheng, R.; Zeng, H.; Wang, S.; Sun, K.; Chen, R.; Li, L.; Wei, W.; He, J. Cancer Incidence and Mortality in China, 2022. J. Natl. Cancer Cent. 2024, 4, 47–53. [Google Scholar] [CrossRef] [PubMed]
- Wu, Y.; He, S.; Cao, M.; Teng, Y.; Li, Q.; Tan, N.; Wang, J.; Zuo, T.; Li, T.; Zheng, Y.; et al. Comparative Analysis of Cancer Statistics in China and the United States in 2024. Chin. Med. J. 2024, 137, 3093. [Google Scholar] [CrossRef] [PubMed]
- Cancer of the Ovary—Cancer Stat Facts. Available online: https://seer.cancer.gov/statfacts/html/ovary.html (accessed on 5 June 2025).
- Heintz, A.P.M.; Odicino, F.; Maisonneuve, P.; Quinn, M.A.; Benedet, J.L.; Creasman, W.T.; Ngan, H.Y.S.; Pecorelli, S.; Beller, U. Carcinoma of the Ovary. FIGO 26th Annual Report on the Results of Treatment in Gynecological Cancer. Int. J. Gynaecol. Obstet. Off. Organ Int. Fed. Gynaecol. Obstet. 2006, 95, S161–S192. [Google Scholar]
- Armstrong, D.K.; Alvarez, R.D.; Bakkum-Gamez, J.N.; Barroilhet, L.; Behbakht, K.; Berchuck, A.; Chen, L.; Cristea, M.; DeRosa, M.; Eisenhauer, E.L.; et al. Ovarian Cancer, Version 2.2020, NCCN Clinical Practice Guidelines in Oncology. J. Natl. Compr. Cancer Netw. 2021, 19, 191–226. [Google Scholar] [CrossRef]
- Pignata, S.; Cecere, S.C.; Bois, A.D.; Harter, P.; Heitz, F. Treatment of Recurrent Ovarian Cancer. Ann. Oncol. 2017, 28, viii51–viii56. [Google Scholar] [CrossRef]
- Stewart, C.; Ralyea, C.; Lockwood, S. Ovarian Cancer: An Integrated Review. Semin. Oncol. Nurs. 2019, 35, 151–156. [Google Scholar] [CrossRef]
- Zhang, C.; Yang, J.; Chen, S.; Sun, L.; Li, K.; Lai, G.; Peng, B.; Zhong, X.; Xie, B. Artificial Intelligence in Ovarian Cancer Drug Resistance Advanced 3PM Approach: Subtype Classification and Prognostic Modeling. EPMA J. 2024, 15, 525–544. [Google Scholar] [CrossRef]
- Li, Z.-Y.; Wang, X.-L.; Dang, Y.; Zhu, X.-Z.; Zhang, Y.-H.; Cai, B.-X.; Zheng, L. Long Non-Coding RNA UCA1 Promotes the Progression of Paclitaxel Resistance in Ovarian Cancer by Regulating the miR-654-5p/SIK2 Axis. Eur. Rev. Med. Pharmacol. Sci. 2020, 24, 591–603. [Google Scholar]
- Friedlander, M.; Trimble, E.; Tinker, A.; Alberts, D.; Avall-Lundqvist, E.; Brady, M.; Harter, P.; Pignata, S.; Lauraine, E.P.-; Sehouli, J.; et al. Clinical Trials in Recurrent Ovarian Cancer. Int. J. Gynecol. Cancer 2011, 21, 771–775. [Google Scholar] [CrossRef]
- Oza, A.M.; Cook, A.D.; Pfisterer, J.; Embleton, A.; Ledermann, J.A.; Pujade-Lauraine, E.; Kristensen, G.; Carey, M.S.; Beale, P.; Cervantes, A.; et al. Standard Chemotherapy with or without Bevacizumab for Women with Newly Diagnosed Ovarian Cancer (ICON7): Overall Survival Results of a Phase 3 Randomised Trial. Lancet Oncol. 2015, 16, 928–936. [Google Scholar] [CrossRef] [PubMed]
- Cui, X.; Xu, J.; Jia, X. Targeting Mitochondria: A Novel Approach for Treating Platinum-Resistant Ovarian Cancer. J. Transl. Med. 2024, 22, 968. [Google Scholar] [CrossRef] [PubMed]
- Li, Y.; Gong, X.; Hu, T.; Chen, Y. Two Novel Prognostic Models for Ovarian Cancer Respectively Based on Ferroptosis and Necroptosis. BMC Cancer 2022, 22, 74. [Google Scholar] [CrossRef] [PubMed]
- Li, R.; Xiong, Z.; Ma, Y.; Li, Y.; Yang, Y.; Ma, S.; Ha, C. Enhancing Precision Medicine: A Nomogram for Predicting Platinum Resistance in Epithelial Ovarian Cancer. World J. Surg. Oncol. 2024, 22, 81. [Google Scholar] [CrossRef]
- Hwangbo, S.; Kim, S.I.; Kim, J.-H.; Eoh, K.J.; Lee, C.; Kim, Y.T.; Suh, D.-S.; Park, T.; Song, Y.S. Development of Machine Learning Models to Predict Platinum Sensitivity of High-Grade Serous Ovarian Carcinoma. Cancers 2021, 13, 1875. [Google Scholar] [CrossRef]
- Yu, K.-H.; Levine, D.A.; Zhang, H.; Chan, D.W.; Zhang, Z.; Snyder, M. Predicting Ovarian Cancer Patients’ Clinical Response to Platinum-Based Chemotherapy by Their Tumor Proteomic Signatures. J. Proteome Res. 2016, 15, 2455–2465. [Google Scholar] [CrossRef]
- Mo, Y.; Liu, J.; Hu, Y.; Peng, X.; Liu, H. Development and Validation of a Predictive Model for Resistance to Platinum-Based Chemotherapy in Patients with Ovarian Cancer through Proteomic Analysis. J. Proteome Res. 2024, 23, 4648–4657. [Google Scholar] [CrossRef]
- Feldner-Busztin, D.; Firbas Nisantzis, P.; Edmunds, S.J.; Boza, G.; Racimo, F.; Gopalakrishnan, S.; Limborg, M.T.; Lahti, L.; De Polavieja, G.G. Dealing with Dimensionality: The Application of Machine Learning to Multi-Omics Data. Bioinformatics 2023, 39, btad021. [Google Scholar] [CrossRef]
- Wang, Q.; Chang, Z.; Liu, X.; Wang, Y.; Feng, C.; Ping, Y.; Feng, X. Predictive Value of Machine Learning for Platinum Chemotherapy Responses in Ovarian Cancer: Systematic Review and Meta-Analysis. J. Med. Internet Res. 2024, 26, e48527. [Google Scholar] [CrossRef]
- Kaye, S.B. Management of Partially Platinum-Sensitive Relapsed Ovarian Cancer. Eur. J. Cancer Suppl. 2008, 6, 16–21. [Google Scholar] [CrossRef]
- Azur, M.J.; Stuart, E.A.; Frangakis, C.; Leaf, P.J. Multiple Imputation by Chained Equations: What Is It and How Does It Work? Int. J. Methods Psychiatr. Res. 2011, 20, 40–49. [Google Scholar] [CrossRef] [PubMed]
- Blum, L.; Elgendi, M.; Menon, C. Impact of Box-Cox Transformation on Machine-Learning Algorithms. Front. Artif. Intell. 2022, 5, 877569. [Google Scholar] [CrossRef] [PubMed]
- Bast, R.C.; Klug, T.L.; John, E.S.; Jenison, E.; Niloff, J.M.; Lazarus, H.; Berkowitz, R.S.; Leavitt, T.; Griffiths, C.T.; Parker, L.; et al. A Radioimmunoassay Using a Monoclonal Antibody to Monitor the Course of Epithelial Ovarian Cancer. N. Engl. J. Med. 1983, 309, 883–887. [Google Scholar] [CrossRef]
- Han, H.; Wang, W.-Y.; Mao, B.-H. Borderline-SMOTE: A New Over-Sampling Method in Imbalanced Data Sets Learning. In Proceedings of the Advances in Intelligent Computing; Huang, D.-S., Zhang, X.-P., Huang, G.-B., Eds.; Springer: Berlin/Heidelberg, Germany, 2005; pp. 878–887. [Google Scholar]
- He, Q.; Li, X.; Kim, D.W.N.; Jia, X.; Gu, X.; Zhen, X.; Zhou, L. Feasibility Study of a Multi-Criteria Decision-Making Based Hierarchical Model for Multi-Modality Feature and Multi-Classifier Fusion: Applications in Medical Prognosis Prediction. Inf. Fusion 2020, 55, 207–219. [Google Scholar] [CrossRef]
- Laios, A.; Kalampokis, E.; Johnson, R.; Munot, S.; Thangavelu, A.; Hutson, R.; Broadhead, T.; Theophilou, G.; Leach, C.; Nugent, D.; et al. Factors Predicting Surgical Effort Using Explainable Artificial Intelligence in Advanced Stage Epithelial Ovarian Cancer. Cancers 2022, 14, 3447. [Google Scholar] [CrossRef]
- Polterauer, S.; Grimm, C.; Seebacher, V.; Concin, N.; Marth, C.; Tomovski, C.; Husslein, H.; Leipold, H.; Hefler-Frischmuth, K.; Tempfer, C.; et al. Plasma Fibrinogen Levels and Prognosis in Patients with Ovarian Cancer: A Multicenter Study. Oncologist 2009, 14, 979–985. [Google Scholar] [CrossRef]
- Wang, D.; Li, Y.; Ge, H.; Ghadban, T.; Reeh, M.; Güngör, C. The Extracellular Matrix: A Key Accomplice of Cancer Stem Cell Migration, Metastasis Formation, and Drug Resistance in PDAC. Cancers 2022, 14, 3998. [Google Scholar] [CrossRef]
- Heshmat-Ghahdarijani, K.; Sarmadi, V.; Heidari, A.; Falahati Marvasti, A.; Neshat, S.; Raeisi, S. The Neutrophil-to-Lymphocyte Ratio as a New Prognostic Factor in Cancers: A Narrative Review. Front. Oncol. 2023, 13, 1228076. [Google Scholar] [CrossRef]
- Perrone, A.M.; Mezzapesa, F.; Genovesi, L.; Coada, C.A.; Masina, E.; Bilancia, E.P.; Rubino, D.; Zamagni, C.; De Iaco, P. Continuing Chemotherapy beyond 6 Cycles Increases the Chances of Complete Cytoreduction Surgery in Patients with Advanced Ovarian Cancer. Eur. J. Surg. Oncol. 2025, 51, 110288. [Google Scholar] [CrossRef]
- Wu, X.; Liu, J.; An, R.; Yin, R.; Zhang, Y.; Zhou, H.; He, A.; Wang, L.; Zhang, J.; Liu, Z.; et al. First-Line Bevacizumab plus Chemotherapy in Chinese Patients with Stage III/IV Epithelial Ovarian Cancer, Fallopian Tube Cancer or Primary Peritoneal Cancer: A Phase III Randomized Controlled Trial. J. Gynecol. Oncol. 2024, 35, e99. [Google Scholar] [CrossRef]












| Item Category | Laboratory Items | Completeness |
|---|---|---|
| Clinical Characteristics | Age | 100.00% |
| BMI | 100.00% | |
| Complete Blood Count | White Blood Cell (WBC) | 100.00% |
| Lymphocyte (LYM) | 100.00% | |
| Mid-range cells (MID) | 100.00% | |
| Granulocyte (GRAN) | 100.00% | |
| Eosinophil (EOS) | 100.00% | |
| Basophil (BASO) | 100.00% | |
| Lymphocyte Count (LYM#) | 100.00% | |
| Mid-range cells Count (MID#) | 100.00% | |
| Granulocyte Count (GRAN#) | 100.00% | |
| Eosinophil Count (EOS#) | 100.00% | |
| Basophil Count (BASO#) | 100.00% | |
| Red Blood Cell (RBC) | 100.00% | |
| Hemoglobin (HGB) | 100.00% | |
| Hematocrit (HCT) | 100.00% | |
| Mean Corpuscular Volume (MCV) | 100.00% | |
| Mean Corpuscular Hemoglobin (MCH) | 100.00% | |
| Mean Corpuscular Hemoglobin Concentration (MCHC) | 100.00% | |
| Red Blood Cell Distribution Width—Coefficient of Variation (RDWCV) | 100.00% | |
| Red Blood Cell Distribution Width—Standard Deviation (RDWSD) | 100.00% | |
| Platelet (PLT) | 100.00% | |
| Mean Platelet Volume (MPV) | 98.76% | |
| Plateletcrit (PCT) | 98.76% | |
| Platelet Distribution Width (PDW) | 98.76% | |
| Neutrophil-to-Lymphocyte Ratio (NL) | 100.00% | |
| Liver/Renal Function | Total Bilirubin (TBIL) | 100.00% |
| Direct Bilirubin (DBIL) | 100.00% | |
| Indirect Bilirubin (IBIL) | 100.00% | |
| Alkaline Phosphatase (ALP) | 100.00% | |
| Alanine Aminotransferase (ALT) | 100.00% | |
| Aspartate Aminotransferase (AST) | 100.00% | |
| AST/ALT Ratio (ASTM) | 100.00% | |
| Lactate Dehydrogenase (LDH) | 100.00% | |
| Gamma-Glutamyl Transferase (GGT) | 100.00% | |
| Total Protein (TP) | 100.00% | |
| Albumin (ALB) | 100.00% | |
| Globulin (GELO) | 100.00% | |
| Albumin/Globulin Ratio (A/G) | 100.00% | |
| Non-Esterified Fatty Acids (NEFA) | 100.00% | |
| Prealbumin (PA) | 100.00% | |
| Glutamate Dehydrogenase (GLDH) | 100.00% | |
| Cystatin C (CYSC) | 97.52% | |
| Glycated Albumin (GA) | 90.06% | |
| Urea (UREA) | 100.00% | |
| Creatinine (CRE) | 100.00% | |
| Uric Acid (UA) | 100.00% | |
| Glucose (GLU) | 97.83% | |
| Calcium (CA) | 100.00% | |
| Phosphorus (P) | 100.00% | |
| Magnesium (MG) | 100.00% | |
| Potassium (K) | 100.00% | |
| Sodium (NA) | 100.00% | |
| Chloride (CL) | 100.00% | |
| Total Carbon Dioxide (TCO2) | 100.00% | |
| Tumor Markers | Squamous Cell Carcinoma Antigen (SCCA) | 95.96% |
| Carbohydrate Antigen 19-9 (CA19-9) | 100.00% | |
| Carbohydrate Antigen 125 (CA125) | 100.00% | |
| Alpha-Fetoprotein (AFP) | 98.45% | |
| Carcinoembryonic Antigen (CEA) | 100.00% | |
| Neuron-Specific Enolase (NSE) | 94.41% | |
| Human Chorionic Gonadotropin Beta-subunit (HCG-B) | 87.89% | |
| Human Epididymis Protein 4 (HE4) | 99.38% | |
| Coagulation Profile | Prothrombin Time (PT) | 91.30% |
| Fibrinogen (FIB) | 91.30% | |
| Activated Partial Thromboplastin Time (APTT) | 91.30% | |
| Thrombin Time (TT) | 91.30% | |
| International Normalized Ratio (INR) | 91.30% | |
| D-Dimer (DDI) | 90.68% | |
| Fibrinogen/Fibrin Degradation Products (FDP) | 90.68% |
| Category | Method/Model |
|---|---|
| Feature selection methods | ANOVA F-value selection (F score) |
| ANOVA T-value selection (T score) | |
| Double Input Symmetrical Relevance (DISR) | |
| Fisher score | |
| Interaction Capping (ICAP) | |
| Joint Mutual Information (JMI) | |
| Laplacian score | |
| Logistic Loss-based l_2,1-Norm Minimization (LL l21) | |
| Least Square Loss-based l_2,1-Norm Minimization (LS l21) | |
| Multi-Cluster Feature Selection (MCFS) | |
| Non-negative Discriminative Feature Selection (NFDS) | |
| Relief-F algorithm (reliefF) | |
| Trace ratio criterion (Trace ratio) | |
| Unsupervised Discriminative Feature Selection (UDFS) | |
| Machine learning models | Adaptive Boosting classifier (AdaBoost) |
| Balanced Random Forest (Balanced RF) | |
| Categorical Boosting classifier (CatBoost) | |
| Decision Tree (DT) | |
| Extremely randomized trees (Extra Trees) | |
| Gradient-Boosting Machine (Gradient-Boosting) | |
| K-Nearest Neighboring classifier (KNN) | |
| Light Gradient-Boosting Machine (LGBM) | |
| Logistic Regression (LR) | |
| Random Forest (RF) | |
| Support Vector Machine (SVM) | |
| eXtreme Gradient-Boosting machine (XGBoost) |
| Characteristics | Platinum-Sensitive (231) | Platinum-Resistant (91) | p |
|---|---|---|---|
| Demographics | |||
| Age (years) | 55.00 (47.00–63.00) | 61.00 (52.00–65.00) | <0.001 |
| BMI (kg/m2) | 23.23 (21.56–25.24) | 23.44 (21.83, 25.04) | 0.916 |
| Histology, n (%) | 0.423 | ||
| High-grade Serous | 177 (79.4%) | 75 (83.3%) | |
| Others | 46 (20.6%) | 15 (16.7%) | |
| NAC, n (%) | 0.189 | ||
| Yes | 76 (32.9%) | 37 (40.7%) | |
| No | 155 (67.1%) | 54 (59.3%) | |
| Clinical Outcome | |||
| Median PFI (months) | 38.50 (32.00-NR) | 3.00 (2.40–3.80) | <0.001 |
| Laboratory Markers | |||
| NL | 3.57 (2.42–5.09) | 4.43 (3.11–5.80) | 0.003 |
| GRAN (%) | 70.80 (64.10–75.00) | 74.00 (68.40–75.00) | 0.003 |
| GRAN # (×109/L) | 4.60 (3.60–6.30) | 5.10 (4.40–6.30) | 0.007 |
| LYM (%) | 20.00 (20.00–26.60) | 20.00 (20.00–22.20) | 0.008 |
| FIB (g/L) | 4.00 (3.52–4.00) | 4.00 (3.93–4.00) | 0.009 |
| FDP (μg/mL) | 5.00 (5.00–5.00) | 5.00 (5.00–5.00) | 0.010 |
| UREA (mmol/L) | 4.08 (3.33–5.00) | 4.51 (3.41–5.61) | 0.024 |
| WBC (×109/L) | 6.60 (5.50–8.40) | 7.10 (6.20–8.60) | 0.034 |
| AUC | Accuracy | Sensitivity | Specificity | PPV | NPV | |
|---|---|---|---|---|---|---|
| PDS | 0.755 (0.641–0.870) | 0.795 (0.643–0.946) | 0.674 (0.552–0.795) | 0.829 (0.616–1.000) | 0.657 (0.326–0.988) | 0.879 (0.835–0.923) |
| NAC | 0.761 (0.659–0.864) | 0.720 (0.626–0.815) | 0.831 (0.662–1.000) | 0.678 (0.498–0.858) | 0.572 (0.372–0.771) | 0.891 (0.806–0.977) |
Disclaimer/Publisher’s Note: The statements, opinions and data contained in all publications are solely those of the individual author(s) and contributor(s) and not of MDPI and/or the editor(s). MDPI and/or the editor(s) disclaim responsibility for any injury to people or property resulting from any ideas, methods, instructions or products referred to in the content. |
© 2026 by the authors. Licensee MDPI, Basel, Switzerland. This article is an open access article distributed under the terms and conditions of the Creative Commons Attribution (CC BY) license.
Share and Cite
Peng, X.; Zhang, Y.; Zhu, C.; Chen, W.; Wu, X.; Zhong, F.; Guo, Q.; Liu, L. Ensemble Machine Learning Predicts Platinum Resistance in Ovarian Cancer Using Laboratory Data. Cancers 2026, 18, 1190. https://doi.org/10.3390/cancers18081190
Peng X, Zhang Y, Zhu C, Chen W, Wu X, Zhong F, Guo Q, Liu L. Ensemble Machine Learning Predicts Platinum Resistance in Ovarian Cancer Using Laboratory Data. Cancers. 2026; 18(8):1190. https://doi.org/10.3390/cancers18081190
Chicago/Turabian StylePeng, Xueting, Yangyang Zhang, Chaoyu Zhu, Weijie Chen, Xiaohua Wu, Fan Zhong, Qinhao Guo, and Lei Liu. 2026. "Ensemble Machine Learning Predicts Platinum Resistance in Ovarian Cancer Using Laboratory Data" Cancers 18, no. 8: 1190. https://doi.org/10.3390/cancers18081190
APA StylePeng, X., Zhang, Y., Zhu, C., Chen, W., Wu, X., Zhong, F., Guo, Q., & Liu, L. (2026). Ensemble Machine Learning Predicts Platinum Resistance in Ovarian Cancer Using Laboratory Data. Cancers, 18(8), 1190. https://doi.org/10.3390/cancers18081190

