Outcomes with Single Tremelimumab Regular Interval Durvalumab (STRIDE) for Unresectable Hepatocellular Carcinoma in the US Veterans Administration
Simple Summary
Abstract
1. Introduction
2. Materials and Methods
2.1. Data Source and Ethics
2.2. Study Population
2.3. Covariates
2.4. Outcomes
2.5. Statistical Analyses
3. Results
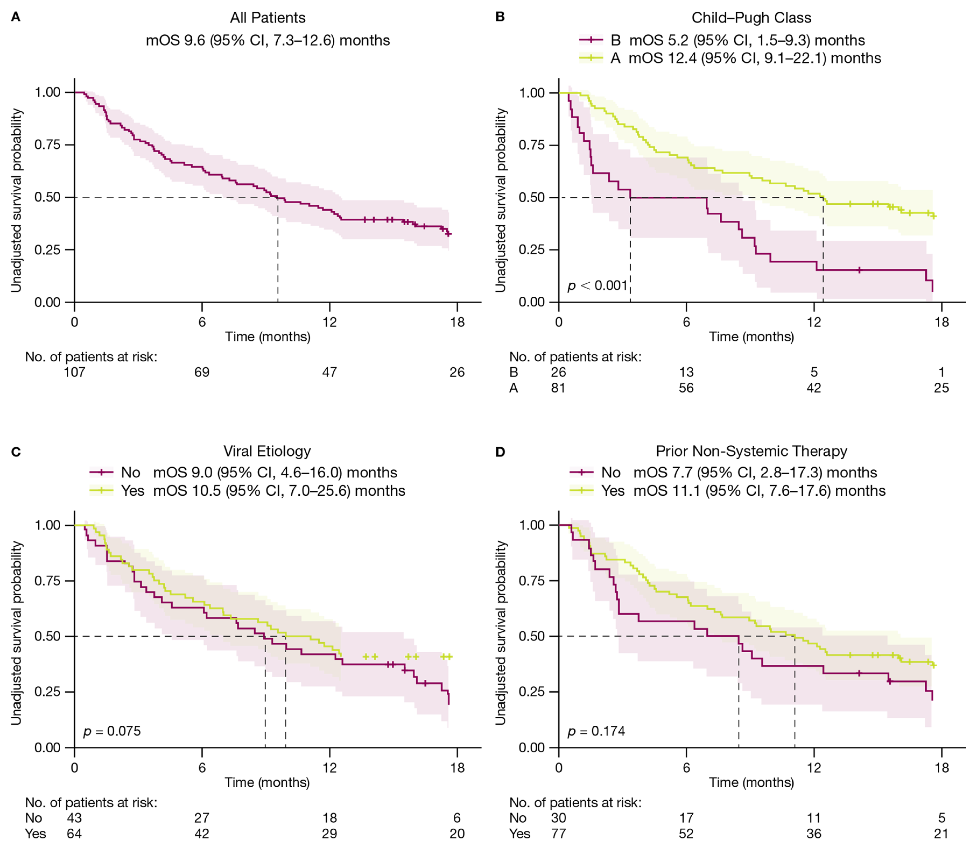
3.1. Demographics and Outcomes in Overall Population, and Sensitivity Analysis
3.2. Demographics and Outcomes by Child–Pugh Class
3.3. Demographics and Outcomes by Etiology of Liver Disease
3.4. Demographics and Outcomes by Prior Receipt of Non-Systemic Therapies
3.5. Exploration of Differential Outcomes for Patients Likely to Have Been Excluded from the HIMALAYA Study
4. Discussion
5. Conclusions
Supplementary Materials
Author Contributions
Funding
Institutional Review Board Statement
Informed Consent Statement
Data Availability Statement
Acknowledgments
Conflicts of Interest
References
- Bray, F.; Laversanne, M.; Sung, H.; Ferlay, J.; Siegel, R.L.; Soerjomataram, I.; Jemal, A. Global cancer statistics 2022: GLOBOCAN estimates of incidence and mortality worldwide for 36 cancers in 185 countries. CA Cancer J. Clin. 2024, 74, 229–263. [Google Scholar] [CrossRef]
- Yang, J.D.; Hainaut, P.; Gores, G.J.; Amadou, A.; Plymoth, A.; Roberts, L.R. A global view of hepatocellular carcinoma: Trends, risk, prevention and management. Nat. Rev. Gastroenterol. Hepatol. 2019, 16, 589–604. [Google Scholar] [CrossRef] [PubMed]
- Singal, A.G.; Llovet, J.M.; Yarchoan, M.; Mehta, N.; Heimbach, J.K.; Dawson, L.A.; Jou, J.H.; Kulik, L.M.; Agopian, V.G.; Marrero, J.A.; et al. AASLD practice guidance on prevention, diagnosis, and treatment of hepatocellular carcinoma. Hepatology 2023, 78, 1922–1965. [Google Scholar] [CrossRef] [PubMed]
- Abou-Alfa, G.K.; Lau, G.; Kudo, M.; Chan, S.L.; Kelley, R.K.; Furuse, J.; Sukeepaisarnjaroen, W.; Kang, Y.-K.; Van Dao, T.; De Toni, E.N.; et al. Tremelimumab plus durvalumab in unresectable hepatocellular carcinoma. NEJM Evid. 2022, 1, EVIDoa2100070. [Google Scholar] [CrossRef] [PubMed]
- Qin, S.; Chan, S.L.; Gu, S.; Bai, Y.; Ren, Z.; Lin, X.; Chen, Z.; Jia, W.; Jin, Y.; Guo, Y.; et al. Camrelizumab plus rivoceranib versus sorafenib as first-line therapy for unresectable hepatocellular carcinoma (CARES-310): A randomised, open-label, international phase 3 study. Lancet 2023, 402, 1133–1146. [Google Scholar] [CrossRef]
- Yau, T.; Galle, P.R.; Decaens, T.; Sangro, B.; Qin, S.; da Fonseca, L.G.; Karachiwala, H.; Blanc, J.F.; Park, J.W.; Gane, E.; et al. Nivolumab plus ipilimumab versus lenvatinib or sorafenib as first-line treatment for unresectable hepatocellular carcinoma (CheckMate 9DW): An open-label, randomised, phase 3 trial. Lancet 2025, 405, 1851–1864. [Google Scholar] [CrossRef]
- Finn, R.S.; Qin, S.; Ikeda, M.; Galle, P.R.; Ducreux, M.; Kim, T.Y.; Kudo, M.; Breder, V.; Merle, P.; Kaseb, A.O.; et al. Atezolizumab plus bevacizumab in unresectable hepatocellular carcinoma. N. Engl. J. Med. 2020, 382, 1894–1905. [Google Scholar] [CrossRef]
- Rimassa, L.; Chan, S.L.; Sangro, B.; Lau, G.; Kudo, M.; Reig, M.; Breder, V.; Ryu, M.-H.; Ostapenko, Y.; Sukeepaisarnjaroen, W.; et al. Five-year overall survival update from the HIMALAYA study of tremelimumab plus durvalumab in unresectable HCC. J. Hepatol. 2025, 83, 899–908. [Google Scholar] [CrossRef]
- Aly, A.; Fulcher, N.; Seal, B.; Pham, T.; Wang, Y.; Paulson, S.; He, A.R. Clinical outcomes by Child-Pugh Class in patients with advanced hepatocellular carcinoma in a community oncology setting. Hepat. Oncol. 2023, 10, HEP47. [Google Scholar] [CrossRef]
- Pfister, D.; Núñez, N.G.; Pinyol, R.; Govaere, O.; Pinter, M.; Szydlowska, M.; Gupta, R.; Qiu, M.; Deczkowska, A.; Weiner, A.; et al. NASH limits anti-tumour surveillance in immunotherapy-treated HCC. Nature 2021, 592, 450–456. [Google Scholar] [CrossRef]
- Cheng, A.-L.; Qin, S.; Ikeda, M.; Galle, P.R.; Ducreux, M.; Kim, T.-Y.; Lim, H.Y.; Kudo, M.; Breder, V.; Merle, P.; et al. Updated efficacy and safety data from IMbrave150: Atezolizumab plus bevacizumab vs. sorafenib for unresectable hepatocellular carcinoma. J. Hepatol. 2022, 76, 862–873. [Google Scholar] [CrossRef]
- Chan, L.S.; Kudo, M.; Sangro, B.; Kelley, R.K.; Furuse, J.; Park, J.-W.; Sunpaweravong, P.; Fasolo, A.; Yau, T.; Kawaoka, T.; et al. Impact of viral aetiology in the phase III HIMALAYA study of tremelimumab (T) plus durvalumab (D) in unresectable hepatocellular carcinoma (uHCC). Ann. Oncol. 2022, 33, S869–S870. [Google Scholar] [CrossRef]
- Jeschke, M.; Ludwig, J.M.; Leyh, C.; Pabst, K.M.; Weber, M.; Theysohn, J.M.; Lange, C.M.; Herrmann, K.; Schmidt, H.H.; Jochheim, L.S. Bilobar radioembolization carries the risk of radioembolization-induced liver disease in the treatment of advanced hepatocellular carcinoma: Safety and efficacy comparison to systemic therapy with atezolizumab/bevacizumab. Cancers 2023, 15, 4274. [Google Scholar] [CrossRef]
- Patel, K.R.; Menon, H.; Patel, R.R.; Huang, E.P.; Verma, V.; Escorcia, F.E. Locoregional therapies for hepatocellular carcinoma: A systematic review and meta-analysis. JAMA Netw. Open 2024, 7, e2447995. [Google Scholar] [CrossRef]
- U.S. Department of Veterans Affairs. VA Health Systems Research. Corporate Data Warehouse (CDW). Available online: https://www.hsrd.research.va.gov/for_researchers/cdw.cfm (accessed on 30 April 2025).
- Rogal, S.; Taddei, T.; Monto, A.; Yakovchenko, V.; Patton, H.; Merante, M.; Spoutz, P.; Chia, L.; Yudkevich, J.; Aytaman, A.; et al. Hepatocellular carcinoma diagnosis and management in 2021: A National Veterans Affairs Quality Improvement Project. Clin. Gastroenterol. Hepatol. 2024, 22, 324–338. [Google Scholar] [CrossRef] [PubMed]
- Kaplan, D.E.; Dai, F.; Aytaman, A.; Baytarian, M.; Fox, R.; Hunt, K.; Knott, A.; Pedrosa, M.; Pocha, C.; Mehta, R.; et al. Development and performance of an algorithm to estimate the Child-Turcotte-Pugh score from a national electronic healthcare database. Clin. Gastroenterol. Hepatol. 2015, 13, 2333–2341.e6. [Google Scholar] [CrossRef] [PubMed]
- Serper, M.; Taddei, T.H.; Mehta, R.; D’Addeo, K.; Dai, F.; Aytaman, A.; Baytarian, M.; Fox, R.; Hunt, K.; Goldberg, D.S.; et al. Association of provider specialty and multidisciplinary care with hepatocellular carcinoma treatment and mortality. Gastroenterology 2017, 152, 1954–1964. [Google Scholar] [CrossRef] [PubMed]
- Chapin, W.J.; Hwang, W.T.; Karasic, T.B.; McCarthy, A.M.; Kaplan, D.E. Comparison of nivolumab and sorafenib for first systemic therapy in patients with hepatocellular carcinoma and Child-Pugh B cirrhosis. Cancer Med. 2023, 12, 189–199. [Google Scholar] [CrossRef]
- Yau, T.; Park, J.W.; Finn, R.S.; Cheng, A.L.; Mathurin, P.; Edeline, J.; Kudo, M.; Harding, J.J.; Merle, P.; Rosmorduc, O.; et al. Nivolumab versus sorafenib in advanced hepatocellular carcinoma (CheckMate 459): A randomised, multicentre, open-label, phase 3 trial. Lancet Oncol. 2022, 23, 77–90. [Google Scholar] [CrossRef]
- Kudo, M.; Finn, R.S.; Qin, S.; Han, K.-H.; Ikeda, K.; Piscaglia, F.; Baron, A.; Park, J.-W.; Han, G.; Jassem, J.; et al. Lenvatinib versus sorafenib in first-line treatment of patients with unresectable hepatocellular carcinoma: A randomised phase 3 non-inferiority trial. Lancet 2018, 391, 1163–1173. [Google Scholar] [CrossRef]
- Miwa, C.; Ogasawara, S.; Yonemoto, T.; Yumita, S.; Okubo, T.; Nakagawa, M.; Koroki, K.; Inoue, M.; Kanogawa, N.; Nakamura, M.; et al. Durvalumab monotherapy in complex advanced hepatocellular carcinoma: A real-world study of patients ineligible for combination immunotherapy. Cancer Med. 2025, 14, e70642. [Google Scholar] [CrossRef] [PubMed]
- De Wilde, N.; Vonghia, L.; Francque, S.; De Somer, T.; Bagdadi, A.; Staub, E.; Lambrechts, J.; Bucalau, A.M.; Verset, G.; Van Steenkiste, C. Real-life multi-center retrospective analysis on nivolumab in difficult-to-treat patients with advanced hepatocellular carcinoma. World J. Hepatol. 2022, 14, 1608–1620. [Google Scholar] [CrossRef] [PubMed]
- Kim, H.; Cheon, J.; Ha, Y.; Kim, H.; Kim, C.; Kim, I.; Kim, C.; Jung, S.; Chon, H. Atezolizumab plus bevacizumab in Child-Pugh B advanced hepatocellular carcinoma patients. J. Clin. Oncol. 2022, 40, 397. [Google Scholar] [CrossRef]
- Chan, S.L.; Kudo, M.; Sangro, B.; Kelley, R.K.; Kim, J.H.; Binh, P.V.; Hong, J.Y.; Waldschmidt, D.T.; Marino, D.; Gerolami, R.; et al. Safety results from the phase IIIb SIERRA study of durvalumab (D) and tremelimumab (T) as first-line (1L) treatment (tx) for hepatocellular carcinoma (HCC) participants (pts) with a poor prognosis. Ann. Oncol. 2025, 36, S63–S64. [Google Scholar] [CrossRef]
- Kaplan, D.E.; Tan, R.; Xiang, C.; Mu, F.; Hernandez, S.; Ogale, S.; Li, J.; Lin, Y.; Shi, L.; Singal, A.G. Overall survival in real-world patients with unresectable hepatocellular carcinoma receiving atezolizumab plus bevacizumab versus sorafenib or lenvatinib as first-line therapy: Findings from the National Veterans Health Administration database. Cancers 2024, 16, 3508. [Google Scholar] [CrossRef]
- Ding, Z.; Dong, Z.; Chen, Z.; Hong, J.; Yan, L.; Li, H.; Yao, S.; Yan, Y.; Yang, Y.; Yang, C.; et al. Viral status and efficacy of immunotherapy in hepatocellular carcinoma: A systematic review with meta-analysis. Front. Immunol. 2021, 12, 733530. [Google Scholar] [CrossRef]
- Haber, P.K.; Puigvehí, M.; Castet, F.; Lourdusamy, V.; Montal, R.; Tabrizian, P.; Buckstein, M.; Kim, E.; Villanueva, A.; Schwartz, M.; et al. Evidence-based management of hepatocellular carcinoma: Systematic review and meta-analysis of randomized controlled trials (2002–2020). Gastroenterology 2021, 161, 879–898. [Google Scholar] [CrossRef]
- Zhu, A.X.; Finn, R.S.; Edeline, J.; Cattan, S.; Ogasawara, S.; Palmer, D.; Verslype, C.; Zagonel, V.; Fartoux, L.; Vogel, A.; et al. Pembrolizumab in patients with advanced hepatocellular carcinoma previously treated with sorafenib (KEYNOTE-224): A non-randomised, open-label phase 2 trial. Lancet Oncol. 2018, 19, 940–952. [Google Scholar] [CrossRef]
- Llovet, J.M.; Kelley, R.K.; Villanueva, A.; Singal, A.G.; Pikarsky, E.; Roayaie, S.; Lencioni, R.; Koike, K.; Zucman-Rossi, J.; Finn, R.S. Hepatocellular carcinoma. Nat. Rev. Dis. Primers 2021, 7, 6. [Google Scholar] [CrossRef]
- Sacco, R.; Ramai, D.; Tortora, R.; di Costanzo, G.G.; Burlone, M.E.; Pirisi, M.; Federico, P.; Daniele, B.; Silletta, M.; Gallo, P.; et al. Role of etiology in hepatocellular carcinoma patients treated with lenvatinib: A counterfactual event-based mediation analysis. Cancers 2023, 15, 381. [Google Scholar] [CrossRef]
- Lau, G.; Abou-Alfa, G.K.; Cheng, A.-L.; Sukeepaisarnjaroen, W.; Van, D.T.; Kang, Y.K.; Thungappa, S.C.; Kudo, M.; Sangro, B.; Kelley, R.K.; et al. Outcomes in the Asian subgroup of the phase III randomised HIMALAYA study of tremelimumab plus durvalumab in unresectable hepatocellular carcinoma. J. Hepatol. 2025, 82, 258–267. [Google Scholar] [CrossRef]
- Sangro, B.; Kudo, M.; Erinjeri, J.P.; Qin, S.; Ren, Z.; Chan, S.L.; Arai, Y.; Heo, J.; Mai, A.; Escobar, J.; et al. Durvalumab with or without bevacizumab with transarterial chemoembolisation in hepatocellular carcinoma (EMERALD-1): A multiregional, randomised, double-blind, placebo-controlled, phase 3 study. Lancet 2025, 405, 216–232. [Google Scholar] [CrossRef]
- Kudo, M.; Ren, Z.; Guo, Y.; Han, G.; Lin, H.; Zheng, J.; Ogasawara, S.; Kim, J.H.; Zhao, H.; Li, C.; et al. Transarterial chemoembolisation combined with lenvatinib plus pembrolizumab versus dual placebo for unresectable, non-metastatic hepatocellular carcinoma (LEAP-012): A multicentre, randomised, double-blind, phase 3 study. Lancet 2025, 405, 203–215. [Google Scholar] [CrossRef]
- Alkadimi, M.A.; Aldawoodi, T.A.; Lucero, K.T.; Fierro, M.E.; Boyle, L.D.; Mader, M.J.; Franklin, K.R.; Arora, S.P.; Nooruddin, Z. Clinical characteristics, treatment patterns, and outcomes of patients with locally advanced/metastatic hepatocellular carcinoma treated at the Veterans Health Administration. Oncologist 2024, 29, 369–376. [Google Scholar] [CrossRef]
- Kournoutas, I.; Marell, P.; Gile, J.; Peersen, A.; Shah, P.; VanDommelen, K.; Kamath, S.D.; Gupta, G.; Akce, M.; Yang, J.D.; et al. First-line atezolizumab/bevacizumab or durvalumab/tremelimumab in advanced hepatocellular carcinoma: A real world, multicenter retrospective study. Oncologist 2025, 30, oyaf286. [Google Scholar] [CrossRef]



| Overall | Child– Pugh A | Child–Pugh B | Viral Etiology | Non-Viral Etiology | Prior Non-Systemic Therapy | No Prior Non-Systemic Therapy | |
|---|---|---|---|---|---|---|---|
| Median time (days) from HCC diagnosis to STRIDE (IQR) | 423.0 (151.5–1028.5) | 518.0 (182.0–1274.0) | 187.0 (43.5–733.8) | 576.0 (165.8–1338.0) | 336.0 (63.5–717.0) | 685.0 (361.0–1377.0) | 42.5 (28.5–65.8) |
| Median number of durvalumab cycles (IQR) | 4.0 (2.0–8.0) | 4.0 (2.0–9.0) | 3.0 (1.0–4.0) | 4.0 (2.0–9.0) | 4.0 (2.0–6.0) | 4.0 (2.0–8.0) | 3.0 (1.3–5.8) |
| Median length (days) of follow-up (IQR) | 287.0 (107.5–528.5) | 373.0 (128.0–591.0) | 155.0 (44.3–278.5) | 315.5 (117.3–596.3) | 269.0 (88.5–481.0) | 333.0 (126.0–551.0) | 231.5 (77.8–466.5) |
| Overall | Child–Pugh | Viral Etiology | Prior Non-Systemic Therapies | ||||
|---|---|---|---|---|---|---|---|
| Total (n = 107) | A (n = 81) | B (n = 26) | No (n = 43) | Yes (n = 64) | No (n = 30) | Yes (n = 77) | |
| Median age, years (IQR) | 72.2 (68.0–76.1) | 72.1 (68.5–76.4) | 72.9 (66.8–76.1) | 75.4 (69.5–77.2) | 70.9 (67.3–74.1) | 71.0 (67.0–75.9) | 72.6 (68.5–76.3) |
| Male, n (%) | 107 (100.0) | 81 (100.0) | 26 (100.0) | 43 (100.0) | 64 (100.0) | 30 (100.0) | 77 (100.0) |
| Race/ethnicity, n (%) | |||||||
| White | 67 (62.6) | 48 (59.3) | 19 (73.1) | 30 (69.8) | 37 (57.8) | 20 (66.7) | 47 (61.0) |
| Black | 19 (17.8) | 16 (19.8) | 3 (11.5) | 3 (7.0) | 16 (25.0) | 8 (26.7) | 11 (14.3) |
| Hispanic | 13 (12.1) | 9 (11.1) | 4 (15.4) | 8 (18.6) | 5 (7.8) | 1 (3.3) | 12 (15.6) |
| Asian | 1 (0.9) | 1 (1.2) | 0 (0.0) | 1 (2.3) | 0 (0.0) | 0 (0.0) | 1 (1.3) |
| Other | 6 (5.6) | 6 (7.4) | 0 (0.0) | 1 (2.3) | 5 (7.8) | 1 (3.3) | 5 (6.5) |
| Tobacco use, n (%) | |||||||
| Never | 31 (29.0) | 26 (32.1) | 5 (19.2) | 16 (37.2) | 15 (23.4) | 7 (23.3) | 24 (31.2) |
| Former smoker | 35 (32.7) | 23 (28.4) | 12 (46.2) | 15 (34.9) | 20 (31.3) | 12 (40.0) | 23 (29.9) |
| Current smoker | 38 (35.5) | 29 (35.8) | 9 (34.6) | 10 (23.3) | 28 (43.8) | 9 (30.0) | 29 (37.7) |
| Median BMI, kg/m2 (IQR) | 27.2 (23.6–31.6) | 26.9 (23.5–30.4) | 29.0 (24.6–34.6) | 27.5 (26.0–31.5) | 26.6 (22.5–31.5) | 26.1 (21.9–29.8) | 27.5 (24.9–31.9) |
| Etiology, n (%) | |||||||
| ALD | 16 (15.0) | 7 (8.6) | 9 (34.6) | 16 (37.2) | 0 (0.0) | 6 (20.0) | 10 (13.0) |
| HCV | 36 (33.6) | 32 (39.5) | 4 (15.4) | 0 (0.0) | 36 (56.3) | 11 (36.7) | 25 (32.5) |
| ALD + HCV | 27 (25.2) | 21 (25.9) | 6 (23.1) | 0 (0.0) | 27 (42.2) | 5 (16.7) | 22 (28.6) |
| MASH | 25 (23.4) | 18 (22.2) | 7 (26.9) | 25 (58.1) | 0 (0.0) | 7 (23.3) | 18 (23.4) |
| HBV | 1 (0.9) | 1 (1.2) | 0 (0.0) | 0 (0.0) | 1 (1.6) | 0 (0.0) | 1 (1.3) |
| Other | 2 (1.9) | 2 (2.5) | 0 (0.0) | 2 (4.7) | 0 (0.0) | 1 (3.3) | 1 (1.3) |
| eCTP score, a n (%) | |||||||
| 5 | 48 (44.9) | 48 (59.3) | 0 (0.0) | 15 (34.9) | 33 (51.6) | 8 (26.7) | 40 (51.9) |
| 6 | 33 (30.8) | 33 (40.7) | 0 (0.0) | 12 (27.9) | 21 (32.8) | 11 (36.7) | 22 (28.6) |
| 7 | 15 (14.0) | 0 (0.0) | 15 (57.7) | 8 (18.6) | 7 (10.9) | 4 (13.3) | 11 (14.3) |
| 8 | 9 (8.4) | 0 (0.0) | 9 (34.6) | 6 (14.0) | 3 (4.7) | 6 (20.0) | 3 (3.9) |
| 9 | 2 (1.9) | 0 (0.0) | 2 (7.7) | 2 (4.7) | 0 (0.0) | 1 (3.3) | 1 (1.3) |
| mALBI grade, n (%) | |||||||
| 1 | 24 (22.4) | 24 (29.6) | 0 (0.0) | 6 (14.0) | 18 (28.1) | 3 (10.0) | 21 (27.3) |
| 2A | 20 (18.7) | 20 (24.7) | 0 (0.0) | 9 (20.9) | 11 (17.2) | 4 (13.3) | 16 (20.8) |
| 2B | 48 (44.9) | 33 (40.7) | 15 (57.7) | 17 (39.5) | 31 (48.4) | 18 (60.0) | 30 (39.0) |
| 3 | 13 (12.1) | 3 (3.7) | 10 (38.5) | 10 (23.3) | 3 (4.7) | 5 (16.7) | 8 (10.4) |
| ECOG PS > 2 at start of systemic therapy, n (%) | 3 (2.8) | 2 (2.5) | 1 (3.8) | 1 (2.3) | 2 (3.1) | 0 (0.0) | 3 (3.9) |
| BCLC Stage, n (%) | |||||||
| A | 7 (6.5) | 4 (4.9) | 3 (11.5) | 4 (9.3) | 3 (4.7) | 2 (6.7) | 5 (6.5) |
| B | 33 (30.8) | 29 (35.8) | 4 (15.4) | 18 (41.9) | 15 (23.4) | 5 (16.7) | 28 (36.4) |
| C | 66 (61.7) | 47 (58.0) | 19 (73.1) | 21 (48.8) | 45 (70.3) | 23 (76.7) | 43 (55.8) |
| D | 1 (0.9) | 1 (1.2) | 0 (0.0) | 0 (0.0) | 1 (1.6) | 0 (0.0) | 1 (1.3) |
| Baseline ascites, n (%) | |||||||
| 0 | 3 (2.8) | 3 (3.7) | 0 (0.0) | 2 (4.7) | 1 (1.6) | 2 (6.7) | 1 (1.3) |
| 1 | 95 (88.8) | 76 (93.8) | 19 (73.1) | 34 (79.1) | 61 (95.3) | 24 (80.0) | 71 (92.2) |
| 2 | 8 (7.5) | 2 (2.5) | 6 (23.1) | 6 (14.0) | 2 (3.1) | 4 (13.3) | 4 (5.2) |
| 3 | 1 (0.9) | 0 (0.0) | 1 (3.8) | 1 (2.3) | 0 (0.0) | 0 (0.0) | 1 (1.3) |
| Extrahepatic spread, n (%) | 24 (22.4) | 22 (27.2) | 2 (7.7) | 6 (14.0) | 18 (28.1) | 7 (23.3) | 17 (22.1) |
| Macrovascular invasion, n (%) | |||||||
| None | 67 (62.6) | 56 (69.1) | 11 (42.3) | 26 (60.5) | 41 (64.1) | 13 (43.3) | 54 (70.1) |
| Any | 40 (37.4) | 25 (30.9) | 15 (57.7) | 17 (39.5) | 23 (35.9) | 17 (56.7) | 23 (29.9) |
| Vp2 | 2 (1.9) | 2 (2.5) | 0 (0.0) | 1 (2.3) | 1 (1.6) | 0 (0.0) | 2 (2.6) |
| Vp3 | 13 (12.1) | 11 (13.6) | 2 (7.7) | 5 (11.6) | 8 (12.5) | 4 (13.3) | 9 (11.7) |
| Vp4 | 20 (18.7) | 9 (11.1) | 11 (42.3) | 9 (20.9) | 11 (17.2) | 10 (33.3) | 10 (13.0) |
| Not characterized | 5 (4.7) | 3 (3.7) | 2 (7.7) | 2 (4.7) | 3 (4.7) | 3 (10.0) | 2 (2.6) |
| Median AFP, ng/mL (IQR) | 110.2 (7.1–897.6) | 60.2 (6.7–604.8) | 473.4 (17.1–2067.1) | 263.3 (38.1–821.5) | 51.1 (6.6–1349.0) | 228.7 (8.7–2067.1) | 94.7 (6.8–643.4) |
| Median largest tumor, cm (IQR) | 4.00 (2.10–8.70) | 3.30 (2.00–8.50) | 4.45 (2.55–10.80) | 4.00 (2.30–8.85) | 3.75 (2.15–8.40) | 9.60 (5.20–14.73) | 2.90 (1.70–5.90) |
| Median total tumor diameter, cm (IQR) | 8.00 (3.70–16.40) | 8.10 (3.50–18.70) | 5.95 (4.53–14.95) | 8.30 (5.05–14.65) | 7.30 (3.30–18.95) | 14.90 (8.98–27.55) | 5.60 (2.60–11.30) |
| Malignant lymph nodes present, n (%) | 31 (29.0) | 27 (33.3) | 4 (15.4) | 9 (20.9) | 22 (34.4) | 9 (30.0) | 22 (28.6) |
| Local invasion, n (%) | 2 (1.9) | 2 (2.5) | 0 (0.0) | 0 (0.0) | 2 (3.1) | 0 (0.0) | 2 (2.6) |
| Number of intrahepatic tumors, n (%) | |||||||
| None in liver | 11 (10.3) | 9 (11.1) | 2 (7.7) | 3 (7.0) | 8 (12.5) | 0 (0.0) | 11 (14.3) |
| 1 | 27 (25.2) | 18 (22.2) | 9 (34.6) | 12 (27.9) | 15 (23.4) | 11 (36.7) | 16 (20.8) |
| 2 | 14 (13.1) | 10 (12.3) | 4 (15.4) | 5 (11.6) | 9 (14.1) | 2 (6.7) | 12 (15.6) |
| 3 | 9 (8.4) | 7 (8.6) | 2 (7.7) | 2 (4.7) | 7 (10.9) | 0 (0.0) | 9 (11.7) |
| 4 | 6 (5.6) | 5 (6.2) | 1 (3.8) | 4 (9.3) | 2 (3.1) | 4 (13.3) | 2 (2.6) |
| 5 | 16 (15.0) | 13 (16.0) | 3 (11.5) | 8 (18.6) | 8 (12.5) | 3 (10.0) | 13 (16.9) |
| 6 | 24 (22.4) | 19 (23.5) | 5 (19.2) | 9 (20.9) | 15 (23.4) | 10 (33.3) | 14 (18.2) |
| Infiltrative/innumerable | 0 (0.0) | 0 (0.0) | 0 (0.0) | 0 (0.0) | 0 (0.0) | 0 (0.0) | 0 (0.0) |
| Overall | Child–Pugh | Viral Etiology | Prior Non-Systemic Therapies | ||||
|---|---|---|---|---|---|---|---|
| Total (n = 107) | A (n = 81) | B (n = 26) | No (n = 43) | Yes (n = 64) | No (n = 30) | Yes (n = 77) | |
| Median cycles of durvalumab received, (IQR) | 4.0 (2.0–8.0) | 4.0 (2.0–9.0) | 3.0 (1.0–4.0) | 4.0 (2.0–6.0) | 4.0 (2.0–9.0) | 3.0 (1.3–5.8) | 4.0 (2.0–8.0) |
| Ongoing treatment at index, n (%) | 19 (17.8) | 19 (23.5) | 0 (0.0) | 5 (11.6) | 14 (21.9) | 2 (6.7) | 17 (22.1) |
| Discontinuation reason, n (%) | |||||||
| Death | 1 (0.9) | 1 (1.2) | 0 (0.0) | 0 (0.0) | 1 (1.6) | 0 (0.0) | 1 (1.3) |
| Progressive disease | 22 (20.6) | 11 (13.6) | 11 (42.3) | 9 (20.9) | 13 (20.3) | 7 (23.3) | 15 (19.5) |
| Adverse event | 43 (40.2) | 35 (43.2) | 8 (30.8) | 24 (55.8) | 19 (29.7) | 9 (30.0) | 34 (44.2) |
| Patient preference | 4 (3.7) | 4 (4.9) | 0 (0.0) | 0 (0.0) | 4 (6.3) | 0 (0.0) | 4 (5.2) |
| Other | 9 (8.4) | 7 (8.6) | 2 (7.7) | 2 (4.7) | 7 (10.9) | 7 (23.3) | 2 (2.6) |
| Median length (days) of follow-up (IQR) | 287.0 (107.5–528.5) | 373.0 (128.0–591.0) | 155.0 (44.3–278.5) | 269.0 (88.5–481.0) | 315.5 (117.3–596.3) | 231.5 (77.8–466.5) | 333.0 (126.0–551.0) |
| Death during follow-up, n (%) | 77 (72.0) | 52 (64.2) | 25 (96.2) | 36 (83.7) | 41 (64.1) | 24 (80.0) | 53 (68.8) |
| Censored, n (%) | 30 (28.0) | 29 (35.8) | 1 (3.8) | 7 (16.3) | 23 (35.9) | 6 (20.0) | 24 (31.2) |
| Overall | Child–Pugh | Viral Etiology | Prior Non-Systemic Therapies | ||||
|---|---|---|---|---|---|---|---|
| Total (n = 107) | A (n = 81) | B (n = 26) | No (n = 43) | Yes (n = 64) | No (n = 30) | Yes (n = 77) | |
| Initial treatment, n (%) | |||||||
| Resection | 8 (7.5) | 8 (9.9) | 0 (0.0) | 3 (7.0) | 5 (7.8) | 0 (0.0) | 8 (10.4) |
| Ablation | 16 (15.0) | 14 (17.3) | 2 (7.7) | 1 (2.3) | 15 (23.4) | 0 (0.0) | 16 (20.8) |
| TAE/TACE | 41 (38.3) | 30 (37.0) | 11 (42.3) | 20 (46.5) | 21 (32.8) | 0 (0.0) | 41 (53.2) |
| TARE | 12 (11.2) | 10 (12.3) | 2 (7.7) | 5 (11.6) | 7 (10.9) | 0 (0.0) | 12 (15.6) |
| Systemic (STRIDE) | 30 (28.0) | 19 (23.5) | 11 (42.3) | 14 (32.6) | 16 (25.0) | 30 (100.0) | 0 (0.0) |
| Received LRT as initial treatment, n (%) | 69 (64.5) | 54 (66.7) | 15 (57.7) | 26 (60.5) | 43 (67.2) | 0 (0.0) | 69 (89.6) |
| Initial LRT type, n (%) | |||||||
| None | 30 (28.0) | 19 (23.5) | 11 (42.3) | 14 (32.6) | 16 (25.0) | 30 (100.0) | 0 (0.0) |
| Ablation | 16 (15.0) | 14 (17.3) | 2 (7.7) | 1 (2.3) | 15 (23.4) | 0 (0.0) | 16 (20.8) |
| cTACE | 6 (5.6) | 3 (3.7) | 3 (11.5) | 2 (4.7) | 4 (6.3) | 0 (0.0) | 6 (7.8) |
| TAE | 1 (0.9) | 1 (1.2) | 0 (0.0) | 0 (0.0) | 1 (1.6) | 0 (0.0) | 1 (1.3) |
| DEB-TACE | 34 (31.8) | 26 (32.1) | 8 (30.8) | 18 (41.9) | 16 (25.0) | 0 (0.0) | 34 (44.2) |
| Y90 TARE | 12 (11.2) | 10 (12.3) | 2 (7.7) | 5 (11.6) | 7 (10.9) | 0 (0.0) | 12 (15.6) |
| Resection | 2 (1.9) | 2 (2.5) | 0 (0.0) | 0 (0.0) | 2 (3.1) | 0 (0.0) | 2 (2.6) |
| Received additional LRTs, n (%) | 44 (44.1) | 35 (43.2) | 9 (34.6) | 15 (34.9) | 29 (45.3) | 0 (0.0) | 44 (57.1) |
| Median time from STRIDE to next LRT, days (IQR) | 120.0 (33.0–145.0) | 120.5 (54.8–139.0) | 120.0 (76.5–156.5) | 33.0 (33.0–120.0) | 169.0 (139.0–193.0) | 120.0 (76.5–132.5) | 120.5 (54.8–175.0) |
| Treatments received after STRIDE, n (%) | |||||||
| Resection | 0 (0.0) | 0 (0.0) | 0 (0.0) | 0 (0.0) | 0 (0.0) | 0 (0.0) | 0 (0.0) |
| Ablation | 0 (0.0) | 0 (0.0) | 0 (0.0) | 0 (0.0) | 0 (0.0) | 0 (0.0) | 0 (0.0) |
| TAE/TACE | 1 (0.9) | 1 (1.2) | 0 (0.0) | 1 (2.3) | 0 (0.0) | 0 (0.0) | 1 (1.3) |
| TARE | 1 (0.9) | 1 (1.2) | 0 (0.0) | 0 (0.0) | 1 (1.6) | 0 (0.0) | 1 (1.3) |
| Radiation | 0 (0.0) | 0 (0.0) | 0 (0.0) | 0 (0.0) | 0 (0.0) | 0 (0.0) | 0 (0.0) |
| Sorafenib | 1 (0.9) | 1 (1.2) | 0 (0.0) | 0 (0.0) | 1 (1.6) | 0 (0.0) | 1 (1.3) |
| Lenvatinib | 2 (1.9) | 1 (1.2) | 1 (3.8) | 2 (4.7) | 0 (0.0) | 0 (0.0) | 2 (2.6) |
| Nivolumab | 0 (0.0) | 0 (0.0) | 0 (0.0) | 0 (0.0) | 0 (0.0) | 0 (0.0) | 0 (0.0) |
| Pembrolizumab | 0 (0.0) | 0 (0.0) | 0 (0.0) | 0 (0.0) | 0 (0.0) | 0 (0.0) | 0 (0.0) |
| Atezolizumab/bevacizumab | 0 (0.0) | 0 (0.0) | 0 (0.0) | 0 (0.0) | 0 (0.0) | 0 (0.0) | 0 (0.0) |
Disclaimer/Publisher’s Note: The statements, opinions and data contained in all publications are solely those of the individual author(s) and contributor(s) and not of MDPI and/or the editor(s). MDPI and/or the editor(s) disclaim responsibility for any injury to people or property resulting from any ideas, methods, instructions or products referred to in the content. |
© 2026 by the authors. Licensee MDPI, Basel, Switzerland. This article is an open access article distributed under the terms and conditions of the Creative Commons Attribution (CC BY) license.
Share and Cite
Bansal, S.; Amin, P.; Williamson, C.; Valerio, S.J.; Kaplan, D.E. Outcomes with Single Tremelimumab Regular Interval Durvalumab (STRIDE) for Unresectable Hepatocellular Carcinoma in the US Veterans Administration. Cancers 2026, 18, 1085. https://doi.org/10.3390/cancers18071085
Bansal S, Amin P, Williamson C, Valerio SJ, Kaplan DE. Outcomes with Single Tremelimumab Regular Interval Durvalumab (STRIDE) for Unresectable Hepatocellular Carcinoma in the US Veterans Administration. Cancers. 2026; 18(7):1085. https://doi.org/10.3390/cancers18071085
Chicago/Turabian StyleBansal, Shalini, Priya Amin, Courtney Williamson, Stephen J. Valerio, and David E. Kaplan. 2026. "Outcomes with Single Tremelimumab Regular Interval Durvalumab (STRIDE) for Unresectable Hepatocellular Carcinoma in the US Veterans Administration" Cancers 18, no. 7: 1085. https://doi.org/10.3390/cancers18071085
APA StyleBansal, S., Amin, P., Williamson, C., Valerio, S. J., & Kaplan, D. E. (2026). Outcomes with Single Tremelimumab Regular Interval Durvalumab (STRIDE) for Unresectable Hepatocellular Carcinoma in the US Veterans Administration. Cancers, 18(7), 1085. https://doi.org/10.3390/cancers18071085

