Active Versus Passive Infrared Thermography for Skin Cancer Detection: A Diagnostic Accuracy Study
Simple Summary
Abstract
1. Introduction
2. Materials and Methods
2.1. Study Design and Setting
2.2. Participants
2.3. Thermographic Imaging Procedures (Index Tests)
2.3.1. Passive Thermography
2.3.2. Active Thermography
2.4. Reference Standard (Histopathology)
2.5. Image Processing and Temperature Differential Analysis
2.6. Diagnostic Classification Rules
2.7. Statistical Analysis
3. Results
3.1. Sample Characteristics
3.2. Diagnostic Performance of Active and Passive Thermography
4. Discussion
5. Conclusions
Supplementary Materials
Author Contributions
Funding
Institutional Review Board Statement
Informed Consent Statement
Data Availability Statement
Acknowledgments
Conflicts of Interest
Abbreviations
| AUC | Area Under the Curve |
| AT | Active Thermography |
| BCC | Basal Cell Carcinoma |
| CI | Confidence Interval |
| ΔT | Temperature Differential between Lesion and Adjacent Healthy Skin |
| FN | False Negative |
| FP | False Positive |
| IR | Infrared |
| IT | Infrared Thermography |
| LWIR | Long-Wave Infrared |
| PT | Passive Thermography |
| ROC | Receiver Operating Characteristic |
| SCC | Squamous Cell Carcinoma |
| TN | True Negative |
| TP | True Positive |
| VEGF | Vascular Endothelial Growth Factor |
References
- Instituto Nacional de Câncer. Estimativa 2023: Incidência de Câncer no Brasil [Estimate 2023: Cancer Incidence in Brazil]. Ministério da Saúde. Available online: https://www.inca.gov.br/sites/ufu.sti.inca.local/files/media/document/estimativa-2023.pdf (accessed on 11 October 2025).
- Schadendorf, M.D.; Van Akkooi, A.C.J.; Berking, C.; Griewank, K.G.; Gutzmer, R.; Hauschild, A.; Stang, A.; Roesch, A.; Ugurel, S. Melanoma. Lancet 2018, 392, 971–984. [Google Scholar] [CrossRef] [PubMed]
- Instituto Nacional de Câncer. Câncer de Pele Melanoma [Melanoma Skin Cancer]. Available online: https://www.gov.br/inca/pt-br/assuntos/cancer/tipos/pele-melanoma (accessed on 11 October 2025).
- Cives, M.; Mannavola, F.; Lospalluti, L.; Sergi, M.C.; Cazzato, G.; Filoni, E.; Cavallo, F.; Giudice, G.; Stucci, L.S.; Porta, C.; et al. Non-melanoma skin cancers: Biological and clinical features. Int. J. Mol. Sci. 2020, 21, 5394. [Google Scholar] [CrossRef]
- Sociedade Brasileira de Dermatologia. Câncer de Pele [Skin Cancer]. Available online: https://www.sbd.org.br/doencas/cancer-da-pele/ (accessed on 11 October 2025).
- Tognetti, L.; Fiorani, D.; Tonini, G.; Zuliani, L.; Cataldo, G.; Balistreri, A.; Cevenini, G.; Cinotii, E.; Rubegni, P. Fundamentals and Technology Advances. In Technology in Practical Dermatology; Fimiani, M., Rubegni, P., Cinotti, E., Eds.; Springer: Cham, Switzerland, 2020; pp. 3–24. [Google Scholar] [CrossRef]
- Adya, K.A. Dermoscopy: An Overview of the Principles, Procedure and Practice. In Dermoscopy—Histopathology Correlation; Ankad, B.S., Mukherjee, S.S., Nikam, B.P., Eds.; Springer: Singapore, 2021; pp. 1–24. [Google Scholar] [CrossRef]
- Argenziano, G.; Soyer, H.P.; Chimenti, S.; Talamini, R.; Corona, R.; Sera, F.; Blinder, M.; Cerroni, L.; De Rosa, G.; Ferrara, G.; et al. Dermoscopy of pigmented skin lesions: Results of a consensus meeting via the Internet. J. Am. Acad. Dermatol. 2003, 48, 679–693. [Google Scholar] [CrossRef]
- Narayanamurthy, V.; Padmapriya, P.; Noorasafrin, A.; Pooja, B.; Hema, K.; Khan, A.Y.F.; Nithyakalyani, K.; Samsuri, F. Skin cancer detection using non-invasive techniques. RSC Adv. 2018, 8, 28095–28130. [Google Scholar] [CrossRef] [PubMed]
- Gurjarpadhye, A.A.; Parekh, M.B.; Dubnika, A.; Rajadas, J.; Inayathullah, M. Infrared imaging tools for diagnostic applications in dermatology. SM J. Clin. Med. Imaging 2015, 1, 1–5. [Google Scholar] [PubMed]
- Magalhaes, C.; Vardasca, R.; Mendes, J. Recent use of medical infrared thermography in skin neoplasms. Skin Res. Technol. 2018, 24, 587–591. [Google Scholar] [CrossRef]
- Lahiri, B.B.; Bagavathiappan, S.; Jayakumar, T.; Philip, J. Medical applications of infrared thermography: A review. Infrared Phys. Technol. 2012, 55, 221–235. [Google Scholar] [CrossRef]
- Shada, A.L.; Dengel, L.T.; Petroni, G.R.; Smolkin, M.E.; Acton, S.; Slingluff, C.L., Jr. Infrared thermography of cutaneous melanoma metastases. J. Surg. Res. 2013, 182, e9–e14. [Google Scholar] [CrossRef]
- Verstockt, J.; Verspeek, S.; Thiessen, F.; Tjalma, W.A.; Brochez, L.; Steenackers, G. Skin cancer detection using infrared thermography: Measurement setup, procedure and equipment. Sensors 2022, 22, 3327. [Google Scholar] [CrossRef]
- Godoy, S.E.; Ramirez, D.A.; Myers, S.A.; von Winckel, G.; Krishna, S.; Berwick, M.; Padilla, R.S.; Sen, P.; Krishna, S. Dynamic infrared imaging for skin cancer screening. Infrared Phys. Technol. 2015, 70, 147–152. [Google Scholar] [CrossRef]
- Pandey, B.; Joshi, D.; Arora, A.S. A deep learning based experimental framework for automatic staging of pressure ulcers from thermal images. Quant. InfraRed Thermogr. J. 2024, 22, 329–349. [Google Scholar] [CrossRef]
- Verstockt, J.; Somers, R.; Thiessen, F.; Hoorens, I.; Brochez, L.; Steenackers, G. Finite element skin models as additional data for dynamic infrared thermography on skin lesions. Quant. InfraRed Thermogr. J. 2023, 22, 1–20. [Google Scholar] [CrossRef]
- Jalloul, R.; Krishnappa, C.H.; Agughasi, V.I.; Alkhatib, R. Enhancing early breast cancer detection with infrared thermography: A comparative evaluation of deep learning and machine learning models. Technologies 2025, 13, 7. [Google Scholar] [CrossRef]
- Mashekova, A.; Zhao, M.Y.; Zarikas, V.; Mukhmetov, O.; Aidossov, N.; Ng, E.Y.K.; Wei, D.; Shapatova, M. review of artificial intelligence techniques for breast cancer detection with different modalities: Mammography, ultrasound, and thermography images. Bioengineering 2025, 12, 1110. [Google Scholar] [CrossRef]
- Chantasartrassamee, P.; Ongphiphadhanakul, B.; Suvikapakornkul, R.; Binsirawanich, P.; Sriphrapradang, C. Artificial intelligence–enhanced infrared thermography as a diagnostic tool for thyroid malignancy detection. Ann. Med. 2024, 56, 2425826. [Google Scholar] [CrossRef]
- Soto, R.F.; Godoy, S.E. feasibility study on the use of infrared cameras for skin cancer detection under a proposed data degradation model. Sensors 2024, 24, 5152. [Google Scholar] [CrossRef] [PubMed]
- D’Alessandro, G.; Tavakolian, P.; Sfarra, S. A review of techniques and bio-heat transfer models supporting infrared thermal imaging for diagnosis of malignancy. Appl. Sci. 2024, 14, 1603. [Google Scholar] [CrossRef]
- Bungărdean, R.M.; Stoia, M.A.; Pop, B.; Crişan, M. Morphological aspects of basal cell carcinoma vascularization. Rom. J. Morphol. Embryol. 2023, 64, 15–23. [Google Scholar] [CrossRef] [PubMed]
- Chin, C.W.; Foss, A.J.; Stevens, A.; Lowe, J. Differences in the vascular patterns of basal and squamous cell skin carcinomas explain their differences in clinical behaviour. J. Pathol. 2003, 200, 308–313. [Google Scholar] [CrossRef]
- Bowden, J.; Brennan, P.A.; Umar, T.; Cronin, A. Expression of vascular endothelial growth factor in basal cell carcinoma and cutaneous squamous cell carcinoma of the head and neck. J. Cutan. Pathol. 2002, 29, 585–589. [Google Scholar] [CrossRef] [PubMed]
- Folkman, J.; Klagsbrun, M. Angiogenic factors. Science 1987, 235, 442–447. [Google Scholar] [CrossRef]
- Folkman, J. What is the evidence that tumors are angiogenesis dependent? J. Natl. Cancer Inst. 1990, 82, 4–7. [Google Scholar] [CrossRef]
- Wu, Z.; Bian, Y.; Chu, T.; Wang, Y.; Man, S.; Song, Y.; Wang, Z. The role of angiogenesis in melanoma: Clinical treatments and future expectations. Front. Pharmacol. 2022, 13, 1028647. [Google Scholar] [CrossRef]
- Vicnesh, J.; Salvi, M.; Hagiwara, Y.; Yee, H.Y.; Mir, H.; Barua, P.D.; Chakraborty, S.; Molinari, F.; Acharya, U.R. application of infrared thermography and artificial intelligence in healthcare: A systematic review of over a decade (2013–2024). IEEE Access 2024, 13, 5949–5973. [Google Scholar] [CrossRef]
- Thukral, R.; Aggarwal, A.K.; Arora, A.S.; Dora, T.; Sancheti, S. artificial intelligence-based prediction of oral mucositis in patients with head-and-neck cancer using thermographic imaging: A prospective observational study. Cancer Res. Stat. Treat. 2023, 6, 181–190. [Google Scholar] [CrossRef]
- Kesztyüs, D.; Bae, H.; Wilson, C.; Schön, M.P.; Kesztyüs, T. Non-invasive infrared thermography for screening, diagnosis and monitoring of skin cancer. J. Dtsch. Dermatol. Ges. 2025, 23, 7–17. [Google Scholar] [CrossRef]
- Chen, S.; Lin, K.; Chen, X.; Wang, Y.; Sun, C.; Qu, J.; Ge, X.; Wang, X.; Liu, L. Spectrally extended line-field optical coherence tomography angiography. Opto-Electron. Adv. 2025, 8, 240293. [Google Scholar] [CrossRef]
- Ge, X.; Chen, S.; Lin, K.; Ni, G.; Bo, E.; Wang, L.; Liu, L. Deblurring, artifact-free optical coherence tomography with deconvolution–random phase modulation. Opto-Electron. Sci. 2024, 3, 230020. [Google Scholar] [CrossRef]



| Category | Variable | n (%) |
|---|---|---|
| Patient characteristics | Number of patients | 64 (100%) |
| Age | ||
| 18–30 | 0 (0%) | |
| 31–40 | 5 (7.8%) | |
| 41–50 | 5 (7.8%) | |
| 51–60 | 16 (25%) | |
| >60 | 38 (59.4%) | |
| Sex | ||
| Male | 30 (46.9%) | |
| Female | 34 (53.1%) | |
| Lesion characteristics | Total lesions evaluated | 100 |
| Lesions included in accuracy analysis | 68 | |
| Number of lesions per patient, n (%) | ||
| 1 | ||
| 2 | 49 (75%) | |
| 3 | 5 (7.8%) | |
| 4 | 4 (6.25%) | |
| 5 | 4 (6.25%) | |
| 3 (4.7%) | ||
| Lesion location | ||
| Head/neck | 48 (48%) | |
| Trunk | 24 (24%) | |
| Upper limbs | 18 (18%) | |
| Lower limbs | 10 (%) | |
| Clinical diagnostic hypothesis | 51 (51%) | |
| BCC | 22 (22%) | |
| SCC | 9 (9%) | |
| Melanoma | 6 (6%) | |
| Premalignant | 5 (5%) | |
| Benign | 7 (7%) | |
| Missing | ||
| Concordance of clinical diagnosis with histopathology | 85.55% | |
| Histopathology | Included in accuracy analysis/Total | |
| Malignant lesions | 56/68 (82.3%) | |
| BCC | 38/48 (79.2%) | |
| SCC | 16/18 (88.9%) | |
| Melanoma | 2/2 (100%) | |
| Benign lesions | 12/23 (52.2%) | |
| Premalignant lesions | 0/9 (0%) | |
| Thermography acquisition | Excluded lesions due to inadequate cooling | 24 (24%) |
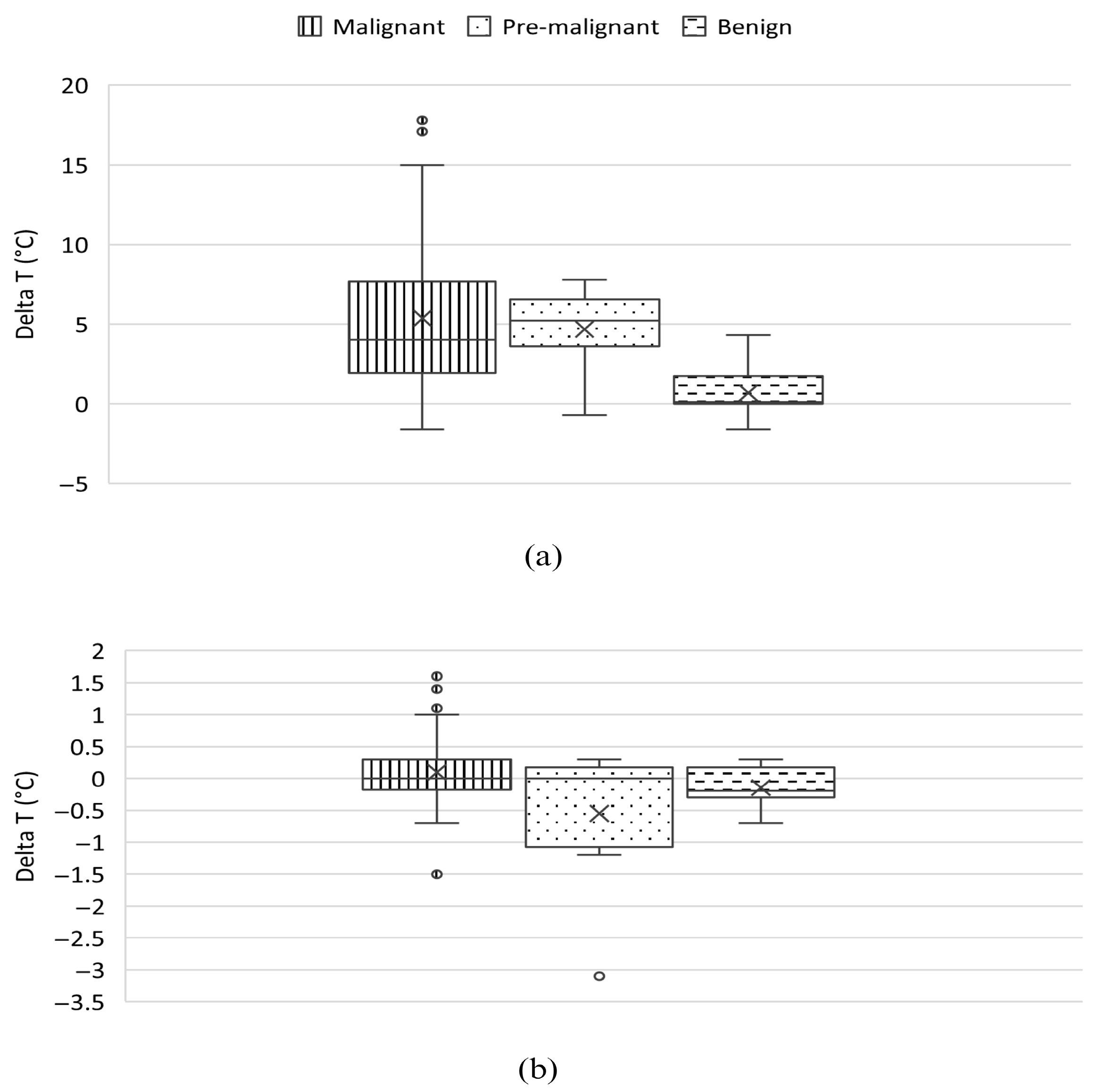
| ΔT (active), mean ± SD | 4.57 ± 4.3 | |
| ΔT (passive), mean ± SD | 0 ± 0.6 | |
| Acclimatization time | 10 min | |
| Room temperature | 24 °C |
| Technique | Malignant (Reference Standard) | Benign (Reference Standard) | Total |
|---|---|---|---|
| A. Active Thermography | |||
| Test Positive | TP = 51 | FP = 3 | 54 |
| Test Negative | FN = 5 | TN = 9 | 14 |
| Total | 56 | 12 | 68 |
| B. Passive Thermography | |||
| Test Positive | TP = 10 | FP = 0 | 10 |
| Test Negative | FN = 46 | TN = 12 | 58 |
| Total | 56 | 12 | 68 |
| Metric | Active Thermography | Passive Thermography | p-Value * | ||
|---|---|---|---|---|---|
| % (95% CI) | n/N | % (95% CI) | n/N | ||
| Sensitivity | 91.1% (80.4–97.0) | 51/56 | 17.9% (8.9–30.4) | 10/56 | <0.0001 |
| Specificity | 75.0% (42.8–94.5) | 9/12 | 100% (73.5–100) | 12/12 | 0.25 |
| Accuracy | 88.2% (78.1–94.8) | 60/68 | 32.4% (21.5–44.8) | 22/68 | - 1 |
Disclaimer/Publisher’s Note: The statements, opinions and data contained in all publications are solely those of the individual author(s) and contributor(s) and not of MDPI and/or the editor(s). MDPI and/or the editor(s) disclaim responsibility for any injury to people or property resulting from any ideas, methods, instructions or products referred to in the content. |
© 2026 by the authors. Licensee MDPI, Basel, Switzerland. This article is an open access article distributed under the terms and conditions of the Creative Commons Attribution (CC BY) license.
Share and Cite
Malheiros, F.; Silva, E.R.; Fagundes, P.N.; Faria, J.J.R.; Leite, R.D.V.; Guerra, I.; Tanaka, V.d.A.; Alvares, B.A.; Vazquez, V.d.L. Active Versus Passive Infrared Thermography for Skin Cancer Detection: A Diagnostic Accuracy Study. Cancers 2026, 18, 829. https://doi.org/10.3390/cancers18050829
Malheiros F, Silva ER, Fagundes PN, Faria JJR, Leite RDV, Guerra I, Tanaka VdA, Alvares BA, Vazquez VdL. Active Versus Passive Infrared Thermography for Skin Cancer Detection: A Diagnostic Accuracy Study. Cancers. 2026; 18(5):829. https://doi.org/10.3390/cancers18050829
Chicago/Turabian StyleMalheiros, Fernando, Evelyn Rocha Silva, Pedro Noronha Fagundes, Jose Jeronimo Rabelo Faria, Raquel Descie Veraldi Leite, Isabela Guerra, Vanessa d Andretta Tanaka, Bruno Augusto Alvares, and Vinicius de Lima Vazquez. 2026. "Active Versus Passive Infrared Thermography for Skin Cancer Detection: A Diagnostic Accuracy Study" Cancers 18, no. 5: 829. https://doi.org/10.3390/cancers18050829
APA StyleMalheiros, F., Silva, E. R., Fagundes, P. N., Faria, J. J. R., Leite, R. D. V., Guerra, I., Tanaka, V. d. A., Alvares, B. A., & Vazquez, V. d. L. (2026). Active Versus Passive Infrared Thermography for Skin Cancer Detection: A Diagnostic Accuracy Study. Cancers, 18(5), 829. https://doi.org/10.3390/cancers18050829

