Decoding Surgical Complexity: Measuring the Impact of Operative Difficulty on Quality Outcomes Following Hepatectomy for Liver Cancer over Two Decades
Simple Summary
Abstract
1. Introduction
2. Methods and Material
2.1. Ethics and Consent
2.2. Participants
2.3. Operative Approach
2.4. Statistical Analysis
3. Results
3.1. PCA and Development of an Operative Difficulty Grade
- Low = score < 0.59
- Moderate = 0.59 ≤ score ≤ 5.15
- High = score > 5.15.
| Component | |
|---|---|
| Time of operation (minutes) | 0.718 |
| Total time of hepatic inflow occlusion (minutes) | 0.311 |
| Estimated blood loss (mL) | 0.890 |
| Number of units packed red blood cells transfused intra-operatively | 0.837 |

3.2. Outcomes Stratified by Operative Difficulty
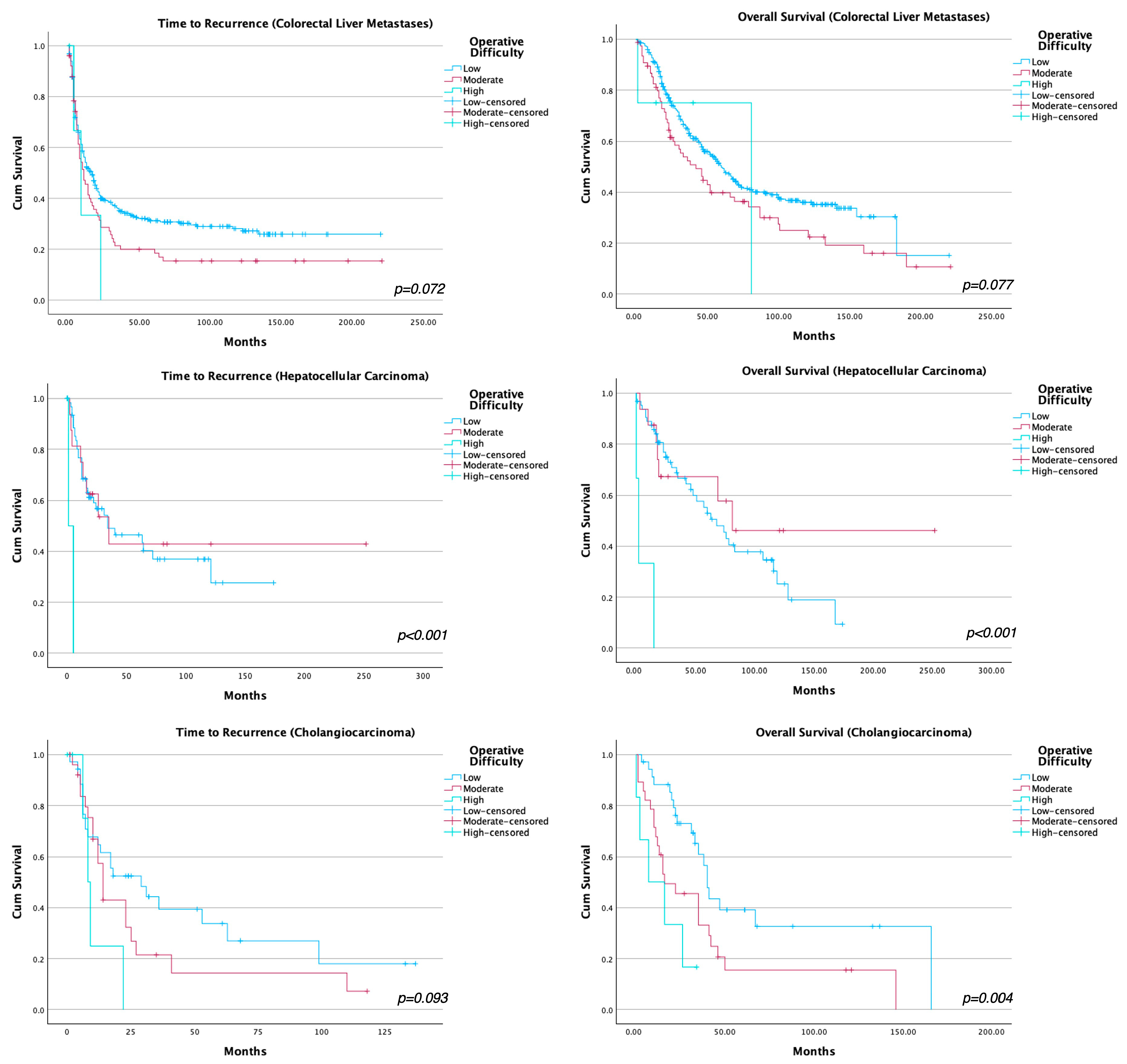
3.3. Long-Term Outcomes Stratified by Operative Difficulty
4. Discussion
5. Conclusions
Supplementary Materials
Author Contributions
Funding
Institutional Review Board Statement
Informed Consent Statement
Data Availability Statement
Conflicts of Interest
References
- Bray, F.; Laversanne, M.; Sung, H.; Ferlay, J.; Siegel, R.L.; Soerjomataram, I.; Jemal, A. Global cancer statistics 2022: GLOBOCAN estimates of incidence and mortality worldwide for 36 cancers in 185 countries. CA Cancer J. Clin. 2024, 74, 229–263. [Google Scholar] [CrossRef] [PubMed]
- Wang, Z.G.; He, Z.Y.; Chen, Y.Y.; Gao, H.; Du, X.L. Incidence and survival outcomes of secondary liver cancer: A Surveillance Epidemiology and End Results database analysis. Transl. Cancer Res. 2021, 10, 1273–1283. [Google Scholar] [CrossRef] [PubMed]
- Dimitroulis, D.; Tsaparas, P.; Valsami, S.; Mantas, D.; Spartalis, E.; Markakis, C.; Kouraklis, G. Indications, limitations and maneuvers to enable extended hepatectomy: Current trends. World J. Gastroenterol. 2014, 20, 7887–7893. [Google Scholar] [CrossRef] [PubMed]
- Lee, M.K.; Gao, F.; Strasberg, S.M. Completion of a Liver Surgery Complexity Score and Classification Based on an International Survey of Experts. J. Am. Coll. Surg. 2016, 223, 332–342. [Google Scholar] [CrossRef]
- Kawaguchi, Y.; Fuks, D.; Kokudo, N.; Gayet, B. Difficulty of Laparoscopic Liver Resection: Proposal for a New Classification. Ann. Surg. 2018, 267, 13–17. [Google Scholar] [CrossRef]
- Strasberg, S.M.; Belghiti, J.; Clavien, P.A.; Gadzijev, E.; Garden, J.O.; Lau, W.Y.; Makuuchi, M.; Strong, R.W. The Brisbane 2000 Terminology of Liver Anatomy and Resections. HPB 2000, 2, 333–339. [Google Scholar] [CrossRef]
- Pothet, C.; Drumez, E.; Joosten, A.; Genin, M.; Hobeika, C.; Mabrut, J.Y.; Gregoire, E.; Regimbeau, J.M.; Bonal, M.; Farges, O.; et al. Predicting Intraoperative Difficulty of Open Liver Resections: The DIFF-scOR Study, An Analysis of 1393 Consecutive Hepatectomies From a French Multicenter Cohort. Ann. Surg. 2021, 274, 805–813. [Google Scholar] [CrossRef]
- Ban, D.; Kudo, A.; Ito, H.; Mitsunori, Y.; Matsumura, S.; Aihara, A.; Ochiai, T.; Tanaka, S.; Tanabe, M.; Itano, O.; et al. The difficulty of laparoscopic liver resection. Updates Surg. 2015, 67, 123–128. [Google Scholar] [CrossRef]
- Halls, M.C.; Berardi, G.; Cipriani, F.; Barkhatov, L.; Lainas, P.; Harris, S.; D’Hondt, M.; Rotellar, F.; Dagher, I.; Aldrighetti, L.; et al. Development and validation of a difficulty score to predict intraoperative complications during laparoscopic liver resection. Br. J. Surg. 2018, 105, 1182–1191. [Google Scholar] [CrossRef]
- Hasegawa, Y.; Wakabayashi, G.; Nitta, H.; Takahara, T.; Katagiri, H.; Umemura, A.; Makabe, K.; Sasaki, A. A novel model for prediction of pure laparoscopic liver resection surgical difficulty. Surg. Endosc. 2017, 31, 5356–5363. [Google Scholar] [CrossRef]
- Patel, M.; Glover, A.R.; Hugh, T.J. Navigating Complexity in Liver Resection: A Narrative Review of Factors Influencing Intraoperative Difficulty. J. Laparoendosc. Adv. Surg. Tech. A 2025, 35, 519–530. [Google Scholar] [CrossRef]
- Dash, K.; Goodacre, S.; Sutton, L. Composite Outcomes in Clinical Prediction Modeling: Are We Trying to Predict Apples and Oranges? Ann. Emerg. Med. 2022, 80, 12–19. [Google Scholar] [CrossRef] [PubMed]
- Farges, O.; Vibert, E.; Cosse, C.; Pruvot, F.R.; Le Treut, Y.P.; Scatton, O.; Laurent, C.; Mabrut, J.Y.; Regimbeau, J.M.; Adham, M.; et al. “Surgeons’ intuition” versus “prognostic models”: Predicting the risk of liver resections. Ann. Surg. 2014, 260, 923–928; discussion 928–930. [Google Scholar] [CrossRef]
- Muangkaew, P.; Cho, J.Y.; Han, H.S.; Yoon, Y.S.; Choi, Y.; Jang, J.Y.; Choi, H.; Jang, J.S.; Kwon, S.U. Defining Surgical Difficulty According to the Perceived Complexity of Liver Resection: Validation of a Complexity Classification in Patients with Hepatocellular Carcinoma. Ann. Surg. Oncol. 2016, 23, 2602–2609. [Google Scholar] [CrossRef] [PubMed]
- Lv, X.; Zhang, L.; Yu, X.; Yu, H. The difficulty grade of laparoscopic hepatectomy for hepatocellular carcinoma correlates with long-term outcomes. Updates Surg. 2023, 75, 881–888. [Google Scholar] [CrossRef]
- Lin, H.; Bai, Y.; Yin, M.; Chen, Z.; Yu, S. External validation of different difficulty scoring systems of laparoscopic liver resection for hepatocellular carcinoma. Surg. Endosc. 2022, 36, 3732–3749. [Google Scholar] [CrossRef]
- Yang, J.; Yang, Z.; Jia, G.; Xi, Y.; Xu, Y.; Li, P.; Han, B.; Hu, X.; Sun, C. Clinical Practicality Study of the Difficulty Scoring Systems DSS-B and DSS-ER in Laparoscopic Liver Resection. J. Laparoendosc. Adv. Surg. Tech. A 2019, 29, 12–18. [Google Scholar] [CrossRef]
- Ruzzenente, A.; Bagante, F.; Poletto, E.; Campagnaro, T.; Conci, S.; De Bellis, M.; Pedrazzani, C.; Guglielmi, A. A machine learning analysis of difficulty scoring systems for laparoscopic liver surgery. Surg. Endosc. 2022, 36, 8869–8880. [Google Scholar] [CrossRef]
- Dindo, D.; Demartines, N.; Clavien, P.A. Classification of surgical complications: A new proposal with evaluation in a cohort of 6336 patients and results of a survey. Ann. Surg. 2004, 240, 205–213. [Google Scholar] [CrossRef]
- Rahbari, N.N.; Garden, O.J.; Padbury, R.; Brooke-Smith, M.; Crawford, M.; Adam, R.; Koch, M.; Makuuchi, M.; Dematteo, R.P.; Christophi, C.; et al. Posthepatectomy liver failure: A definition and grading by the International Study Group of Liver Surgery (ISGLS). Surgery 2011, 149, 713–724. [Google Scholar] [CrossRef]
- Koch, M.; Garden, O.J.; Padbury, R.; Rahbari, N.N.; Adam, R.; Capussotti, L.; Fan, S.T.; Yokoyama, Y.; Crawford, M.; Makuuchi, M.; et al. Bile leakage after hepatobiliary and pancreatic surgery: A definition and grading of severity by the International Study Group of Liver Surgery. Surgery 2011, 149, 680–688. [Google Scholar] [CrossRef] [PubMed]
- Gorgec, B.; Benedetti Cacciaguerra, A.; Pawlik, T.M.; Aldrighetti, L.A.; Alseidi, A.A.; Cillo, U.; Kokudo, N.; Geller, D.A.; Wakabayashi, G.; Asbun, H.J.; et al. An International Expert Delphi Consensus on Defining Textbook Outcome in Liver Surgery (TOLS). Ann. Surg. 2023, 277, 821–828. [Google Scholar] [CrossRef] [PubMed]
- Lee, L.; Tan, S.X.Y.; Solomon, M.; Karunaratne, S.; Brown, K.G.; Steffens, D.; Koh, C. When is surgery futile? A systematic review of conflicting definitions and patterns in surgical care for advanced gastrointestinal cancer. Eur. J. Surg. Oncol. 2025, 51, 110399. [Google Scholar] [CrossRef] [PubMed]
- Jolliffe, I.T.; Cadima, J. Principal component analysis: A review and recent developments. Philos. Trans. A Math. Phys. Eng. Sci. 2016, 374, 20150202. [Google Scholar] [CrossRef]
- Kaiser, H.F. The Application of Electronic Computers to Factor Analysis. Educ. Psychol. Meas. 1960, 20, 141–151. [Google Scholar] [CrossRef]
- Banfield, J.D.; Raftery, A.E. Model-Based Gaussian and Non-Gaussian Clustering. Biometrics 1993, 49, 803–821. [Google Scholar] [CrossRef]
- Moraru, L.; Moldovanu, S.; Dimitrievici, L.T.; Dey, N.; Ashour, A.S.; Shi, F.; Fong, S.J.; Khan, S.; Biswas, A. Gaussian mixture model for texture characterization with application to brain DTI images. J. Adv. Res. 2019, 16, 15–23. [Google Scholar] [CrossRef]
- Kaiser, H.F. An index of factorial simplicity. Psychometrika 1974, 39, 31–36. [Google Scholar] [CrossRef]
- Berner, E.S.; Graber, M.L. Overconfidence as a cause of diagnostic error in medicine. Am. J. Med. 2008, 121, S2–S3. [Google Scholar] [CrossRef]
- Kim, S.H.; Lee, J.G.; Kwon, S.Y.; Lim, J.H.; Kim, W.O.; Kim, K.S. Is close monitoring in the intensive care unit necessary after elective liver resection? J. Korean Surg. Soc. 2012, 83, 155–161. [Google Scholar] [CrossRef]
- Merath, K.; Cerullo, M.; Farooq, A.; Canner, J.K.; He, J.; Tsilimigras, D.I.; Mehta, R.; Paredes, A.Z.; Sahara, K.; Dillhoff, M.; et al. Routine Intensive Care Unit Admission Following Liver Resection: What Is the Value Proposition? J. Gastrointest. Surg. 2020, 24, 2491–2499. [Google Scholar] [CrossRef] [PubMed]
- Collaborative, S.T. Critical care usage after major gastrointestinal and liver surgery: A prospective, multicentre observational study. Br. J. Anaesth. 2019, 122, 42–50. [Google Scholar] [CrossRef] [PubMed]
- Udwadia, F.R.; Zhu, J.; Khan, H.M.; Das, S. Futility considerations in surgical ethics. Ann. Med. Surg. 2023, 85, 1–5. [Google Scholar] [CrossRef] [PubMed]
- Altaf, A.; Khalil, M.; Akabane, M.; Rashid, Z.; Kawashima, J.; Zindani, S.; Ruzzenente, A.; Ratti, F.; Marques, H.; Cauchy, F.; et al. Up-front resection for hepatocellular carcinoma: Assessing futility in the preoperative setting. Eur. J. Surg. Oncol. 2025, 51, 109594. [Google Scholar] [CrossRef]
- Li, C.; Shen, J.Y.; Zhang, X.Y.; Peng, W.; Wen, T.F.; Yang, J.Y.; Yan, L.N. Predictors of Futile Liver Resection for Patients with Barcelona Clinic Liver Cancer Stage B/C Hepatocellular Carcinoma. J. Gastrointest. Surg. 2018, 22, 496–502. [Google Scholar] [CrossRef]
- Chua, D.W.; Koh, Y.X.; Liew, Y.X.; Chan, C.Y.; Lee, S.Y.; Cheow, P.C.; Chow, P.K.; Chung, A.Y.; Ooi, L.L.; Goh, B.K. Pre-operative predictors of early recurrence/mortality including the role of inflammatory indices in patients undergoing partial hepatectomy for spontaneously ruptured hepatocellular carcinoma. J. Surg. Oncol. 2018, 118, 1227–1236. [Google Scholar] [CrossRef]
- Guo, Y.; Linn, Y.L.; Koh, Y.X.; Tan, E.K.; Teo, J.Y.; Cheow, P.C.; Jeyaraj, P.R.; Chow, P.K.H.; Ooi, L.; Chung, A.Y.F.; et al. Preoperative Predictors of Early Recurrence After Liver Resection for Multifocal Hepatocellular Carcinoma. J. Gastrointest. Surg. 2023, 27, 1106–1112. [Google Scholar] [CrossRef]
- Nam, K.; Hwang, D.W.; Shim, J.H.; Song, T.J.; Lee, S.S.; Seo, D.W.; Lee, S.K.; Kim, M.H.; Kim, K.H.; Hwang, S.; et al. Novel Preoperative Nomogram for Prediction of Futile Resection in Patients Undergoing Exploration for Potentially Resectable Intrahepatic Cholangiocarcinoma. Sci. Rep. 2017, 7, 42954. [Google Scholar] [CrossRef]
- Fromer, M.W.; Scoggins, C.R.; Egger, M.E.; Philips, P.; McMasters, K.M.; Martin, R.C.G., II. Preventing Futile Liver Resection: A Risk-Based Approach to Surgical Selection in Major Hepatectomy for Colorectal Cancer. Ann. Surg. Oncol. 2022, 29, 905–912. [Google Scholar] [CrossRef]
- Sweigert, P.J.; Ramia, J.M.; Villodre, C.; Carbonell-Morote, S.; De-la-Plaza, R.; Serradilla, M.; Pawlik, T.M. Textbook Outcomes in Liver Surgery: A Systematic Review. J. Gastrointest. Surg. 2023, 27, 1277–1289. [Google Scholar] [CrossRef]
- Dawood, Z.S.; Khalil, M.; Waqar, U.; Banani, I.; Alidina, Z.; Pawlik, T.M. Use of textbook outcome as a quality metric in hepatopancreaticobiliary surgery: A systematic review and meta-analysis. J. Gastrointest. Surg. 2025, 29, 102005. [Google Scholar] [CrossRef]
- Enzinger, A.C.; Zhang, B.; Schrag, D.; Prigerson, H.G. Outcomes of Prognostic Disclosure: Associations With Prognostic Understanding, Distress, and Relationship With Physician Among Patients With Advanced Cancer. J. Clin. Oncol. 2015, 33, 3809–3816. [Google Scholar] [CrossRef] [PubMed]
- Pagani, M.; De Vincenti, R.; Cecchi, C.; Apollinari, A.; Pesi, B.; Leo, F.; Giannessi, S.; Fedi, M. Hepatic Resection in Patients with Colo-Rectal Liver Metastases: Surgical Outcomes and Prognostic Factors of Single-Center Experience. J. Clin. Med. 2023, 12, 2170. [Google Scholar] [CrossRef] [PubMed]
- Hsu, Y.J.; Chern, Y.J.; Wu, Z.E.; Yu, Y.L.; Liao, C.K.; Tsai, W.S.; You, J.F.; Lee, C.W. The oncologic outcome and prognostic factors for solitary colorectal liver metastasis after liver resection. J. Gastrointest. Surg. 2024, 28, 267–275. [Google Scholar] [CrossRef] [PubMed]
- Cheng, K.C.; Yip, A.S. Prognostic factors of survival and a new scoring system for liver resection of colorectal liver metastasis. World J. Hepatol. 2022, 14, 209–223. [Google Scholar] [CrossRef]
- Conticchio, M.; Uldry, E.; Hubner, M.; Digklia, A.; Fraga, M.; Sempoux, C.; Raisaro, J.L.; Fuks, D. Prognostic Factors in Colorectal Liver Metastases: An Exhaustive Review of the Literature and Future Prospectives. Cancers 2025, 17, 2539. [Google Scholar] [CrossRef]
- John, S.K.; Robinson, S.M.; Rehman, S.; Harrison, B.; Vallance, A.; French, J.J.; Jaques, B.C.; Charnley, R.M.; Manas, D.M.; White, S.A. Prognostic factors and survival after resection of colorectal liver metastasis in the era of preoperative chemotherapy: An 11-year single-centre study. Dig. Surg. 2013, 30, 293–301. [Google Scholar] [CrossRef]
- Holowko, W.; Triantafyllidis, I.; Neuberg, M.; Tabchouri, N.; Beaussier, M.; Bennamoun, M.; Sarran, A.; Lefevre, M.; Louvet, C.; Gayet, B.; et al. Does the difficulty grade of laparoscopic liver resection for colorectal liver metastases correlate with long-term outcomes? Eur. J. Surg. Oncol. 2020, 46, 1620–1627. [Google Scholar] [CrossRef]

| Total n = 699 (%) | |
|---|---|
| Age (mean, SD) | 64.8 (11.4) |
| Gender | |
| Male | 398 (56.9) |
| Female | 301 (43.1) |
| Diagnosis | |
| Colorectal liver metastases | 423 (60.5) |
| Hepatocellular carcinoma | 83 (11.9) |
| Cholangiocarcinoma | 69 (9.9) |
| Gallbladder carcinoma | 45 (6.4) |
| Neuroendocrine tumour | 23 (3.3) |
| Other liver metastases | 54 (7.7) |
| Other malignant | 2 (0.30) |
| ASA | |
| 1 | 277 (39.6) |
| 2 | 267 (38.2) |
| 3 | 145 (20.7) |
| 4 | 10 (1.4) |
| Cardiac disease | 226 (32.3) |
| Hypertension | 137 (19.6) |
| Ischaemic heart disease | 48 (6.9) |
| Atrial fibrillation | 30 (4.3) |
| Congestive heart failure | 1 (0.1) |
| Previous abdominal surgery | 169 (24.2) |
| Chronic obstructive pulmonary disease (COPD) | 13 (1.9) |
| Renal disease | 24 (3.4) |
| Chronic kidney disease (CKD) stage ≥3 | 11 (1.6) |
| Single kidney | 5 (0.7) |
| Other cancers | 93 (13.3) |
| Hepatitis B/C | 46 (6.6) |
| Chronic liver disease | 33 (4.7) |
| Child-Pugh ≥ B | 5 (0.7) |
| Liver cirrhotic intraoperatively | 44 (6.3) |
| Current smoker | 111 (15.9) |
| EtOH ≥100 g/week | 171 (24.5) |
| Previous venous thrombo-emoblism (VTE) | 26 (3.7) |
| Diabetes | 107 (15.3) |
| Non-insulin dependent diabetes | 73 (10.4) |
| Insulin dependent diabetes | 34 (4.9) |
| Elevated tumour markers | 418 (59.8) |
| Neoadjuvant chemotherapy | 355 (50.8) |
| Previous liver resection | 75 (10.7) |
| Open resection | 623 (89.1) |
| Laparoscopic resection | 76 (10.9) |
| Major resection | 425 (60.8) |
| Minor resection | 274 (39.2) |
| Associated biliary anastomosis | 46 (6.6) |
| Associated vascular reconstruction | 29 (4.1) |
| Total n = 699 (%) | |
|---|---|
| Operation length (mean, SD) | 199.4 (117.8) |
| Whether hepatic inflow occlusion occurred | 545 (78.0) |
| Hepatic inflow occlusion time (mins) (mean, SD) | 15.9 (12.9) |
| Estimated blood loss (mL) (median, IQR) | 200 (350) |
| Whether was transfused intra-operatively | 90 (12.9) |
| Number of units transfused intra-operatively (median, IQR) | 0 (0) |
| Diameter of largest tumour—14 missing (Median, IQR) | 38 (43) |
| Textbook oncological outcomes achieved | 483 (69.1) |
| Intra-operative adverse event ≥grade 2 | 9 (1.3) |
| Complication Clavien-Dindo ≥3a | 88 (12.6) |
| Mortality within 90 days or within hospital | 20 (2.9) |
| Bile leak ≥ grade B | 26 (3.7) |
| Postoperative liver failure ≥grade B | 26 (3.7) |
| 90-day re-admission for complication Clavien-Dindo ≥3a | 5 (0.7) |
| R1 or R2 resection margin | 142 (20.3) |
| Return to OR | 15 (2.1) |
| Postoperative bleeding | 14 (2) |
| Postoperative bleeding requiring surgical or radiological intervention | 2 (0.3) |
| Cardiac complications | 44 (6.3) |
| Respiratory complications | 39 (5.6) |
| Post operative ileus | 19 (2.7) |
| Wound infections | 89 (12.7) |
| Sepsis | 14 (2.0) |
| Venous thromboembolism | 32 (4.6) |
| Non-futile resection | 390 (55.8) |
| Length of postoperative stay in hospital (days) (median, IQR) | 8 (5) |
| Operative Difficulty Group | Rate of TOO | Rate of Futile Resection |
|---|---|---|
| Low (n = 540) | 76.9% | 42.0% |
| Moderate (n = 143) | 46.9% | 48.3% |
| High (n = 16) | 6.3% | 81.3% |
| p < 0.001 | p = 0.004 |
| Univariate Analysis | Multivariate Analysis | |||
|---|---|---|---|---|
| OR (95% CI) | p | OR (95% CI) | p | |
| Operative difficulty score | 0.24 (0.17–0.34) | <0.001 | 0.66 (0.58–0.75) | <0.001 |
| Operation extent | <0.001 | 0.013 | ||
| Minor | Reference | Reference | ||
| Major | 0.36 (0.26–0.51) | 0.60 (0.40–0.90) | ||
| Histopathology | 0.025 | 0.636 | ||
| HCC | Reference | Reference | ||
| Cholangiocarcinoma | 0.50 (0.26–0.96) | 0.81 (0.38–1.74) | ||
| Gallbladder cancer | 0.87 (0.41–1.88) | 0.53 (0.22–1.24) | ||
| Neuroendocrine tumour | 1.10 (0.51–3.00) | 1.03 (0.30–3.59) | ||
| CRLM | 1.26 (0.76–2.09) | 1.06 (0.59–1.88) | ||
| Other metastases | 1.25 (0.59–2.66) | 0.83 (0.36–1.92) | ||
| Year of operation | 0.466 | 0.166 | ||
| 1999–2003 | Reference | Reference | ||
| 2004–2008 | 1.30 (0.72–2.36) | 1.10 (0.57–2.12) | ||
| 2009–2013 | 1.41 (0.77–2.56) | 0.96 (0.49–1.89) | ||
| 2014–2018 | 0.957 (0.525–1.75) | 0.60 (0.30–1.17) | ||
| 2019–2023 | 1.25 (0.64–2.42) | 0.94 (0.44–2.00) | ||
| Elevate preoperative tumour markers | 0.74 (0.53–1.02) | 0.071 | 0.70 (0.48–1.02) | 0.064 |
| Previous abdominal surgery | 0.73 (0.51–1.06) | 0.094 | 0.78 (0.52–1.18) | 0.244 |
| Diabetes | 0.74 (0.49–1.15) | 0.178 | 0.83 (0.51–1.37) | 0.465 |
| Child-Pugh ≥ B | 0.30 (0.04–1.79) | 0.183 | 0.28 (0.04–1.83) | 0.184 |
| Cirrhosis | 0.89 (0.43–1.94) | 0.757 | ||
| Previous liver resection | 0.72 (0.44–1.20) | 0.203 | ||
| Hypertension | 0.79 (0.53–1.18) | 0.243 | ||
| Dyspnoea | 1.81 (0.57–8.00) | 0.362 | ||
| Chronic kidney disease | 2.03 (0.52–13.40) | 0.367 | ||
| Neoadjuvant chemotherapy | 0.89 (0.65–1.23) | 0.481 | ||
| Chronic obstructive pulmonary disease | 0.71 (0.23–2.38) | 0.553 | ||
| Ischaemic heart disease | 1.22 (0.65–2.44) | 0.554 | ||
| Age | 1.00 (0.99–1.02) | 0.803 | ||
| Male | Reference | 0.870 | ||
| Female | 0.97 (0.70–1.35) | |||
| Excessive alcohol consumption (≥100 g/week) | 1.03 (0.71–1.51) | 0.873 | ||
| Active smoker | 0.97 (0.63–1.51) | 0.876 | ||
| Median (95% CI) | p-Value | |
|---|---|---|
| Colorectal liver metastases (n = 423) | ||
| Time to recurrence | ||
| Low (n = 343) | 17 (13.1–20.9) | 0.072 |
| Moderate (n = 76) | 11 (6.1–15.9) | |
| High (n = 4) | 9 (1.0–17.0) | |
| Overall survival | ||
| Low (n = 343) | 60 (50.6–69.4) | 0.077 |
| Moderate (n = 76) | 42 (24.5–59.5) | |
| High (n = 4) | * | |
| Hepatocellular carcinoma (n = 83) | ||
| Time to recurrence | ||
| Low (n = 64) | 34 (0.0–74.1) | <0.001 |
| Moderate (n = 16) | 35 (7.9–62.1) | |
| High (n = 3) | * | |
| Overall survival | ||
| Low (n = 64) | 68 (46.1–89.5) | <0.001 |
| Moderate (n = 16) | * | |
| High (n = 3) | 2 (0.0–5.2) | |
| Cholangiocarcinoma (n = 69) | ||
| Time to recurrence | ||
| Low (n = 35) | 29 (7.1–50.9) | 0.093 |
| Moderate (n = 28) | 14 (11.1–16.9) | |
| High (n = 6) | 8 (5.1–10.9) | |
| Overall survival | ||
| Low (n = 35) | 40 (35.6–44.4) | 0.004 |
| Moderate (n = 28) | 16 (1.1–30.9) | |
| High (n = 6) | 7 (0–23.8) | |
Disclaimer/Publisher’s Note: The statements, opinions and data contained in all publications are solely those of the individual author(s) and contributor(s) and not of MDPI and/or the editor(s). MDPI and/or the editor(s) disclaim responsibility for any injury to people or property resulting from any ideas, methods, instructions or products referred to in the content. |
© 2026 by the authors. Licensee MDPI, Basel, Switzerland. This article is an open access article distributed under the terms and conditions of the Creative Commons Attribution (CC BY) license.
Share and Cite
Patel, M.; Daniel, J.B.; Bhimani, N.; Glover, A.R.; Hugh, T.J. Decoding Surgical Complexity: Measuring the Impact of Operative Difficulty on Quality Outcomes Following Hepatectomy for Liver Cancer over Two Decades. Cancers 2026, 18, 407. https://doi.org/10.3390/cancers18030407
Patel M, Daniel JB, Bhimani N, Glover AR, Hugh TJ. Decoding Surgical Complexity: Measuring the Impact of Operative Difficulty on Quality Outcomes Following Hepatectomy for Liver Cancer over Two Decades. Cancers. 2026; 18(3):407. https://doi.org/10.3390/cancers18030407
Chicago/Turabian StylePatel, Meet, Jonathan Ben Daniel, Nazim Bhimani, Anthony R. Glover, and Thomas J. Hugh. 2026. "Decoding Surgical Complexity: Measuring the Impact of Operative Difficulty on Quality Outcomes Following Hepatectomy for Liver Cancer over Two Decades" Cancers 18, no. 3: 407. https://doi.org/10.3390/cancers18030407
APA StylePatel, M., Daniel, J. B., Bhimani, N., Glover, A. R., & Hugh, T. J. (2026). Decoding Surgical Complexity: Measuring the Impact of Operative Difficulty on Quality Outcomes Following Hepatectomy for Liver Cancer over Two Decades. Cancers, 18(3), 407. https://doi.org/10.3390/cancers18030407

