Age-Related Clinicopathologic Patterns in Ewing Sarcoma (FET::ETS Family): A Comparative Analysis of Pediatric and Adult Patients
Simple Summary
Abstract
1. Introduction
2. Materials and Methods
2.1. Patient Selection
2.2. Fluorescence In Situ Hybridization (FISH)
2.3. Targeted Next Generation Sequencing
2.4. Statistical Analysis
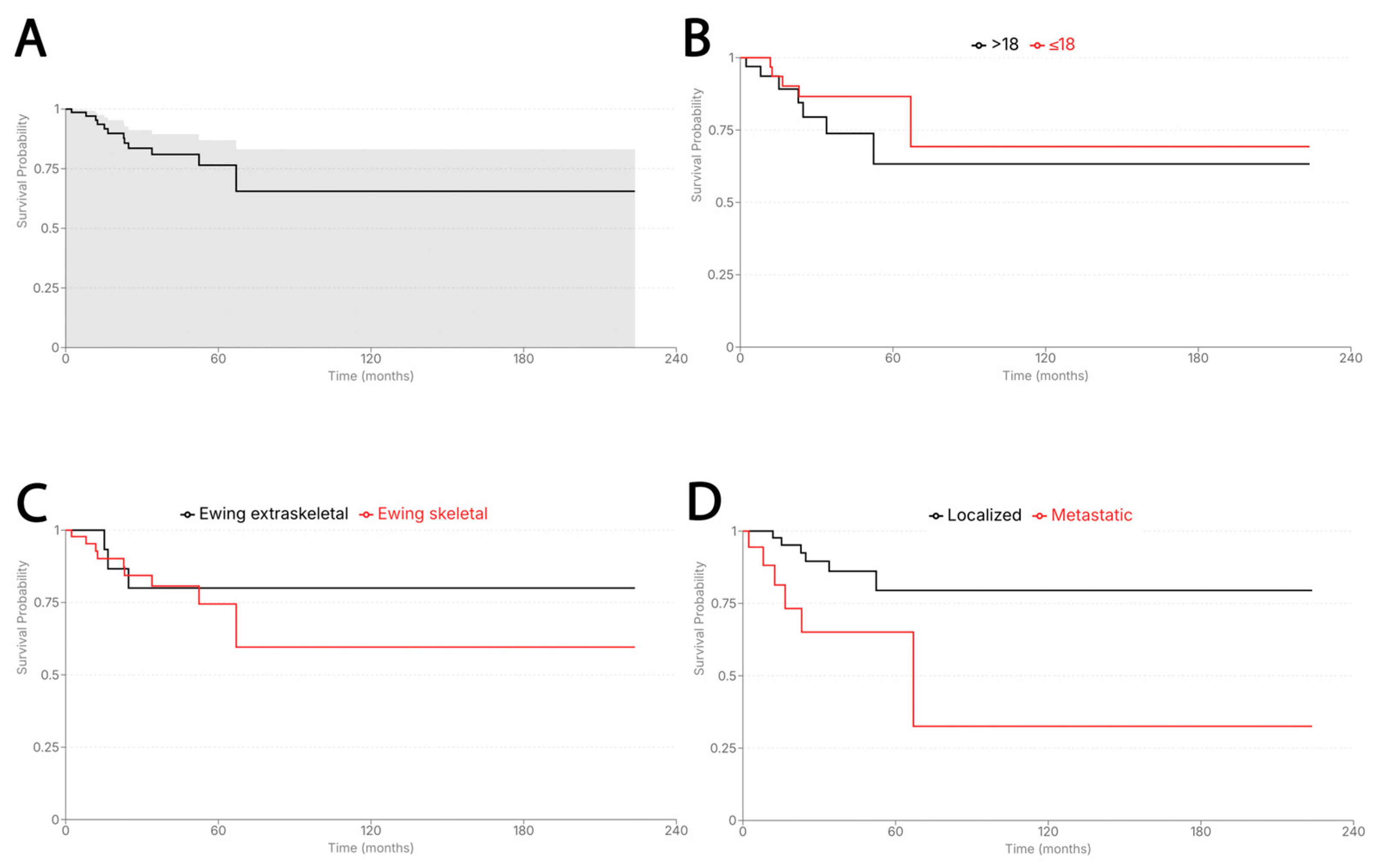
3. Results
3.1. Cohort Characteristics and Age Subgroup Analyses
3.2. Treatment and Outcome
4. Discussion
5. Conclusions
Supplementary Materials
Author Contributions
Funding
Institutional Review Board Statement
Informed Consent Statement
Data Availability Statement
Acknowledgments
Conflicts of Interest
Abbreviations
| ES | Ewing sarcoma |
| SRCS | Small round cell sarcoma |
References
- Grünewald, T.G.P.; Cidre-Aranaz, F.; Surdez, D.; Tomazou, E.M.; de Álava, E.; Kovar, H.; Sorensen, P.H.; Delattre, O.; Dirksen, U. Ewing sarcoma. Nat. Rev. Dis. Prim. 2018, 4, 5. [Google Scholar] [CrossRef] [PubMed]
- Esiashvili, N.; Goodman, M.; Marcus, R.B. Changes in incidence and survival of Ewing sarcoma patients over the past 3 decades: Surveillance epidemiology and end results data. J. Pediatr. Hematol. Oncol. 2008, 30, 425–430. [Google Scholar] [CrossRef] [PubMed]
- Duchman, K.R.; Gao, Y.; Miller, B.J. Prognostic factors for survival in patients with Ewing’s sarcoma using the surveillance, epidemiology, and end results (SEER) program database. Cancer Epidemiol. 2015, 39, 189–195. [Google Scholar] [CrossRef]
- Hsu, C.J.; Ma, Y.; Xiao, P.; Hsu, C.-C.; Wang, D.; Fok, M.N.; Peng, R.; Xu, X.; Lu, H. Overall survival comparison between pediatric and adult Ewing sarcoma of bone and adult nomogram construction: A large population-based analysis. Front. Pediatr. 2023, 11, 1103565. [Google Scholar] [CrossRef]
- WHO. Classification of Tumours Editorial Board. WHO Classification of Tumours Series: Soft Tissue and Bone Tumours, 5th ed.; International Agency for Research on Cancer: Lyon, France, 2020; Available online: https://tumourclassification.iarc.who.int/chapters/33 (accessed on 1 December 2025).
- Sbaraglia, M.; Righi, A.; Gambarotti, M.; Dei Tos, A.P. Ewing sarcoma and Ewing-like tumors. Virchows Arch. 2020, 476, 109–119. [Google Scholar] [CrossRef]
- Tsuda, Y.; Zhang, L.; Meyers, P.; Tap, W.D.; Healey, J.H.; Antonescu, C.R. The clinical heterogeneity of round cell sarcomas with EWSR1/FUS gene fusions: Impact of gene fusion type on clinical features and outcome. Genes. Chromosom. Cancer 2020, 59, 525–534. [Google Scholar] [CrossRef] [PubMed]
- Yoshida, A.; Goto, K.; Kodaira, M.; Kobayashi, E.; Kawamoto, H.; Mori, T.; Yoshimoto, S.; Endo, O.; Kodama, N.; Kushima, R.; et al. CIC-rearranged sarcomas: A study of 20 cases and comparisons with Ewing sarcomas. Am. J. Surg. Pathol. 2016, 40, 313–323. [Google Scholar] [CrossRef] [PubMed]
- Antonescu, C.R.; Owosho, A.A.; Zhang, L.; Chen, S.; Deniz, K.; Huryn, J.M.; Kao, Y.-C.; Huang, S.-C.; Singer, S.; Tap, W.; et al. Sarcomas with CIC-rearrangements are a distinct pathologic entity with aggressive outcome: A clinicopathologic and molecular study of 115 cases. Am. J. Surg. Pathol. 2017, 41, 941–949. [Google Scholar] [CrossRef]
- Kao, Y.-C.; Owosho, A.A.; Sung, Y.S.; Zhang, L.; Fujisawa, Y.; Lee, J.C.; Wexler, L.; Argani, P.; Swanson, D.; Dickson, B.C.; et al. BCOR-CCNB3 fusion positive sarcomas: A clinicopathologic and molecular analysis of 36 cases with comparison to morphologic spectrum and clinical behavior of other round cell sarcomas. Am. J. Surg. Pathol. 2018, 42, 604–615. [Google Scholar] [CrossRef]
- Yoshida, A. Ewing and Ewing-like sarcomas: A morphological guide through genetically defined entities. Pathol. Int. 2023, 73, 12–26. [Google Scholar] [CrossRef]
- Zöllner, S.K.; Amatruda, J.F.; Bauer, S.; Collaud, S.; de Álava, E.; DuBois, S.G.; Hardes, J.; Hartmann, W.; Kovar, H.; Metzler, M.; et al. Ewing sarcoma—Diagnosis, treatment, clinical challenges and future perspectives. J. Clin. Med. 2021, 10, 1685. [Google Scholar] [CrossRef]
- Zheng, Z.; Liebers, M.; Zhelyazkova, B.; Cao, Y.; Panditi, D.; Lynch, K.D.; Chen, J.; Robinson, H.E.; Shim, H.S.; Chmielecki, J.; et al. Anchored multiplex PCR for targeted next-generation sequencing. Nat. Med. 2014, 20, 1479–1484. [Google Scholar] [CrossRef]
- Machado, I.; Noguera, R.; Pellin, A.; Lopez-Guerrero, J.A.; Piqueras, M.; Navarro, S.; Llombart-Bosch, A. Molecular diagnosis of Ewing sarcoma family of tumors: A comparative analysis of 560 cases with FISH and RT-PCR. Diagn. Mol. Pathol. 2009, 18, 189–199. [Google Scholar] [CrossRef]
- Delattre, O.; Zucman, J.; Melot, T.; Garau, X.S.; Zucker, J.M.; Lenoir, G.M.; Ambros, P.F.; Sheer, D.; Turc-Carel, C.; Triche, T.J.; et al. The Ewing family of tumors—A subgroup of small-round-cell tumors defined by specific chimeric transcripts. N. Engl. J. Med. 1994, 331, 294–299. [Google Scholar] [CrossRef] [PubMed]
- Mo, J.; Tan, K.; Dong, Y.; Lu, W.; Liu, F.; Mei, Y.; Huang, H.; Zhao, K.; Lv, Z.; Ye, Y.; et al. Therapeutic targeting the oncogenic driver EWSR1::FLI1 in Ewing sarcoma through inhibition of the FACT complex. Oncogene 2023, 42, 11–25. [Google Scholar] [CrossRef] [PubMed]
- Galvan, B.; Ongena, L.; Bruyr, J.; Fettweis, G.; Lucarelli, E.; Lavergne, A.; Mariavelle, E.; O’Grady, T.M.; Hassoun, Z.E.O.; Claes, M.; et al. Subversion of mRNA degradation pathways by EWSR1::FLI1 represents a therapeutic vulnerability in Ewing sarcoma. Nat. Commun. 2025, 16, 6537. [Google Scholar] [CrossRef]
- Tirode, F.; Surdez, D.; Ma, X.; Parker, M.; Le Deley, M.C.; Bahrami, A.; Zhang, Z.; Lapouble, E.; Grossetête-Lalami, S.; Rusch, M.; et al. Genomic landscape of Ewing sarcoma defines an aggressive subtype with co-association of STAG2 and TP53 mutations. Cancer Discov. 2014, 4, 1342–1353. [Google Scholar] [CrossRef]
- Riggi, N.; Suvà, M.L.; Stamenkovic, I. Ewing’s sarcoma. N. Engl. J. Med. 2021, 384, 154–164. [Google Scholar] [CrossRef] [PubMed]
- Wong, T.; Goldsby, R.E.; Wustrack, R.; Cash, T.; Isakoff, M.S.; DuBois, S.G. Clinical features and outcomes of infants with Ewing sarcoma under 12 months of age. Pediatr. Blood Cancer 2015, 62, 1947–1951. [Google Scholar] [CrossRef]
- Worch, J.; Ranft, A.; DuBois, S.G.; Paulussen, M.; Juergens, H.; Dirksen, U. Age dependency of primary tumor sites and metastases in patients with Ewing sarcoma. Pediatr. Blood Cancer 2018, 65, e27251. [Google Scholar] [CrossRef]
- Ahmed, S.K.; Robinson, S.I.; Okuno, S.H.; Rose, P.S.; Issa Laack, N.N. Adult Ewing sarcoma: Survival and local control outcomes in 36 patients with metastatic disease. Am. J. Clin. Oncol. 2014, 37, 423–429. [Google Scholar] [CrossRef]
- Perisa, M.P.; Stanek, J.; Setty, B.A.; Nicol, K.; Yeager, N. Evaluating age-related disparity of outcomes in Ewing sarcoma patients treated at a pediatric academic medical center. J. Pediatr. Hematol. Oncol. 2021, 43, e702–e706. [Google Scholar] [CrossRef] [PubMed]
- Marina, N.; Granowetter, L.; Grier, H.E.; Womer, R.B.; Randall, R.L.; Marcus, K.J.; McIlvaine, E.; Krailo, M. Age, tumor characteristics, and treatment regimen as event predictors in Ewing: A Children’s Oncology Group report. Sarcoma 2015, 2015, 927123. [Google Scholar] [CrossRef]
- Verma, V.; Denniston, K.A.; Lin, C.J.; Lin, C. A comparison of pediatric vs. adult patients with the Ewing sarcoma family of tumors. Front. Oncol. 2017, 7, 82. [Google Scholar] [CrossRef]
- Pieper, S.; Ranft, A.; Braun-Munzinger, G.; Jürgens, H.; Paulussen, M.; Dirksen, U. Ewing’s tumors over the age of 40—A retrospective analysis of 47 patients treated according to the International Clinical Trials EICESS 92 and EURO-E.W.I.N.G. 99. Onkologie 2008, 31, 657–663. [Google Scholar] [CrossRef]
- Tural, D.; Mandel, N.M.; Dervisoglu, S.; Dincbas, F.O.; Koca, S.; Oksuz, D.C.; Kantarci, F.; Turna, H.; Selcukbiricik, F.; Hiz, M. Extraskeletal Ewing’s sarcoma family of tumors in adults: Prognostic factors and clinical outcome. Jpn. J. Clin. Oncol. 2012, 42, 420–426. [Google Scholar] [CrossRef]
- Rochefort, P.; Italiano, A.; Laurence, V.; Penel, N.; Lardy-Cléaud, A.; Mir, O.; Chevreau, C.; Bertucci, F.; Bompas, E.; Chaigneau, L.; et al. A retrospective multicentric study of Ewing sarcoma family of tumors in patients older than 50: Management and outcome. Sci. Rep. 2017, 7, 17917. [Google Scholar] [CrossRef] [PubMed]
- Applebaum, M.A.; Worch, J.; Matthay, K.K.; Goldsby, R.; Neuhaus, J.; West, D.C.; Dubois, S.G. Clinical features and outcomes in patients with extraskeletal Ewing sarcoma. Cancer 2011, 117, 3027–3032. [Google Scholar] [CrossRef]
- O’Sullivan, M.J.; Perlman, E.J.; Furman, J.; Humphrey, P.A.; Dehner, L.P.; Pfeifer, J.D. Visceral primitive peripheral neuroectodermal tumors: A clinicopathologic and molecular study. Hum. Pathol. 2001, 32, 1109–1115. [Google Scholar] [CrossRef] [PubMed]
- Wright, A.; Desai, M.; Bolan, C.W.; Badawy, M.; Guccione, J.; Korivi, B.R.; Pickhardt, P.J.; Mellnick, V.M.; Lubner, M.G.; Chen, L.; et al. Extraskeletal Ewing sarcoma from head to toe: Multimodality imaging review. Radiographics 2022, 42, 1145–1160. [Google Scholar] [CrossRef]
- Jahanseir, K.; Folpe, A.L.; Graham, R.P.; Giannini, C.; Robinson, S.I.; Sukov, W.; Fritchie, K. Ewing sarcoma in older adults: A clinicopathologic study of 50 cases occurring in patients aged ≥ 40 years, with emphasis on histologic mimics. Int. J. Surg. Pathol. 2020, 28, 352–360. [Google Scholar] [CrossRef]
- Folpe, A.L.; Goldblum, J.R.; Rubin, B.P.; Shehata, B.M.; Liu, W.; Tos, A.P.D.; Weiss, S.W. Morphologic and immunophenotypic diversity in Ewing family tumors: A study of 66 genetically confirmed cases. Am. J. Surg. Pathol. 2005, 29, 1025–1033. [Google Scholar] [CrossRef] [PubMed]
- Gu, M.; Antonescu, C.R.; Guiter, G.; Huvos, A.G.; Ladanyi, M.; Zakowski, M.F. Cytokeratin immunoreactivity in Ewing’s sarcoma: Prevalence in 50 cases confirmed by molecular diagnostic studies. Am. J. Surg. Pathol. 2000, 24, 410–416. [Google Scholar] [CrossRef] [PubMed]
- Liu, H.F.; Wang, J.X.; Zhang, D.Q.; Lan, S.H.; Chen, Q.X. Clinical features and prognostic factors in elderly Ewing sarcoma patients. Med. Sci. Monit. 2018, 24, 9370–9375. [Google Scholar] [CrossRef]
- Gupta, A.A.; Pappo, A.; Saunders, N.; Hopyan, S.; Ferguson, P.; Wunder, J.; O’Sullivan, B.; Catton, C.; Greenberg, M.; Blackstein, M. Clinical outcome of children and adults with localized Ewing sarcoma: Impact of chemotherapy dose and timing of local therapy. Cancer 2010, 116, 3189–3194. [Google Scholar] [CrossRef]
- Zhang, J.; Huang, Y.; Sun, Y.; He, A.; Zhou, Y.; Hu, H.; Yao, Y.; Shen, Z. Impact of chemotherapy cycles and intervals on outcomes of nonspinal Ewing sarcoma in adults: A real-world experience. BMC Cancer 2019, 19, 1168. [Google Scholar] [CrossRef]
- Yin, T.; Shao, M.; Sun, M.; Zhao, L.; Lao, I.W.; Yu, L.; Wang, J. Gastrointestinal Ewing sarcoma: A clinicopathological and molecular genetic analysis of 25 cases. Am. J. Surg. Pathol. 2024, 48, 275–283. [Google Scholar] [CrossRef]
- Sharma, A.E.; Wepy, C.B.; Chapel, D.B.; Maccio, L.; Irshaid, L.; Al-Ibraheemi, A.; Dickson, B.C.; Nucci, M.R.; Crum, C.P.; Fletcher, C.D.M.; et al. Ewing sarcoma of the female genital tract: Clinicopathologic analysis of 21 cases with an emphasis on the differential diagnosis of gynecologic round cell, spindle, and epithelioid neoplasms. Am. J. Surg. Pathol. 2024, 48, 972–984. [Google Scholar] [CrossRef] [PubMed]
- Wei, X.; Cheng, M.; Wang, L.; Teng, X.; Guo, D.; Xin, X.; Chen, G.; Li, S.; Li, F. Clinicopathological and molecular genetic analysis of 13 cases of primary retroperitoneal Ewing sarcoma. Ann. Diagn. Pathol. 2024, 72, 152321. [Google Scholar] [CrossRef]
- Baisakh, M.R.; Tiwari, A.; Gandhi, J.S.; Naik, S.; Sharma, S.K.; Balzer, B.L.; Sharma, S.; Peddinti, K.; Jha, S.; Sahu, P.K.; et al. Primary round cell sarcomas of the urinary bladder with EWSR1 rearrangement: A multi-institutional study of thirteen cases with a review of the literature. Hum. Pathol. 2020, 104, 84–95. [Google Scholar] [CrossRef]
- Jimenez, R.E.; Folpe, A.L.; Lapham, R.L.; Ro, J.Y.; O’Shea, P.A.; Weiss, S.W.; Amin, M.B. Primary Ewing’s sarcoma/primitive neuroectodermal tumor of the kidney: A clinicopathologic and immunohistochemical analysis of 11 cases. Am. J. Surg. Pathol. 2002, 26, 320–327. [Google Scholar] [CrossRef]
- Parham, D.M.; Roloson, G.J.; Feely, M.; Green, D.M.; Bridge, J.A.; Beckwith, J.B. Primary malignant neuroepithelial tumors of the kidney: A clinicopathologic analysis of 146 adult and pediatric cases from the National Wilms’ Tumor Study Group Pathology Center. Am. J. Surg. Pathol. 2001, 25, 133–146. [Google Scholar] [CrossRef]
- Thyavihally, Y.B.; Tongaonkar, H.B.; Gupta, S.; Kurkure, P.A.; Amare, P.; Muckaden, M.A.; Desai, S.B. Primitive neuroectodermal tumor of the kidney: A single institute series of 16 patients. Urology 2008, 71, 292–296. [Google Scholar] [CrossRef]
- Lobo, J.; He, H.; Ahmed, R.; Zein-Sabatto, B.; Winokur, T.; Wei, S.; Harada, S.; McKenney, J.K.; Myles, J.L.; Nguyen, J.K.; et al. Primary Ewing sarcoma of the kidney: Clinicopathologic and molecular study of 24 patients including a rare EWSR1::ETV4 fusion. Am. J. Surg. Pathol. 2025, 49, 1078–1089. [Google Scholar] [CrossRef]
- Karnes, R.J.; Gettman, M.T.; Anderson, P.M.; Lager, D.J.; Blute, M.L. Primitive neuroectodermal tumor (extraskeletal Ewing’s sarcoma) of the kidney with vena caval tumor thrombus. J. Urol. 2000, 164, 772. [Google Scholar] [CrossRef]
- Bernstein, M.; Kovar, H.; Paulussen, M.; Randall, R.L.; Schuck, A.; Teot, L.A.; Juergens, H. Ewing’s sarcoma family of tumors: Current management. Oncologist 2006, 11, 503–519. [Google Scholar] [CrossRef] [PubMed]
- Cotterill, S.J.; Ahrens, S.; Paulussen, M.; Jürgens, H.F.; Voûte, P.A.; Gadner, H.; Craft, A.W. Prognostic factors in Ewing’s tumor of bone: Analysis of 975 patients from the European Intergroup Cooperative Ewing’s Sarcoma Study Group. J. Clin. Oncol. 2000, 18, 3108–3114. [Google Scholar] [CrossRef]
- Hesla, A.C.; Papakonstantinou, A.; Tsagkozis, P. Current status of management and outcome for patients with Ewing sarcoma. Cancers 2021, 13, 1202. [Google Scholar] [CrossRef] [PubMed]
- Gaspar, N.; Hawkins, D.S.; Dirksen, U.; Lewis, I.J.; Ferrari, S.; Le Deley, M.C.; Kovar, H.; Grimer, R.; Whelan, J.; Claude, L.; et al. Ewing sarcoma: Current management and future approaches through collaboration. J. Clin. Oncol. 2015, 33, 3036–3046. [Google Scholar] [CrossRef]
- Umeda, K.; Miyamura, T.; Yamada, K.; Sano, H.; Hosono, A.; Sumi, M.; Okita, H.; Kamio, T.; Maeda, N.; Fujisaki, H.; et al. Prognostic and therapeutic factors influencing the clinical outcome of metastatic Ewing sarcoma family of tumors: A retrospective report from the Japan Ewing Sarcoma Study Group. Pediatr. Blood Cancer 2021, 68, e28844. [Google Scholar] [CrossRef] [PubMed]
- Cangir, A.; Vietti, T.J.; Gehan, E.A.; Burgert, E.O., Jr.; Thomas, P.; Tefft, M.; Nesbit, M.E.; Kissane, J.; Pritchard, D. Ewing’s sarcoma metastatic at diagnosis. Results and comparisons of two intergroup Ewing’s sarcoma studies. Cancer 1990, 66, 887–893. [Google Scholar] [CrossRef]
- Paulussen, M.; Ahrens, S.; Burdach, S.; Craft, A.; Dockhorn-Dworniczak, B.; Dunst, J.; Fröhlich, B.; Winkelmann, W.; Zoubek, A.; Jürgens, H. Primary metastatic (stage IV) Ewing tumor: Survival analysis of 171 patients from the EICESS studies. Ann. Oncol. 1998, 9, 275–281. [Google Scholar] [CrossRef] [PubMed]
- Gambarotti, M.; Benini, S.; Gamberi, G.; Cocchi, S.; Palmerini, E.; Sbaraglia, M.; Donati, D.; Picci, P.; Vanel, D.; Ferrari, S.; et al. CIC-DUX4 fusion-positive round-cell sarcomas of soft tissue and bone: A single-institution morphological and molecular analysis of seven cases. Histopathology 2016, 69, 624–634. [Google Scholar] [CrossRef] [PubMed]
- Machado, I.; Navarro, S.; Llombart-Bosch, A. Ewing sarcoma and the new emerging Ewing-like sarcomas: (CIC and BCOR-rearranged-sarcomas). A systematic review. Histol. Histopathol. 2016, 31, 1169–1181. [Google Scholar] [CrossRef]
- Argani, P.; Harvey, I.; Nielsen, G.P.; Takano, A.; Suurmeijer, A.J.H.; Voltaggio, L.; Zhang, L.; Sung, Y.-S.; Stenzinger, A.; Mechtersheimer, G.; et al. EWSR1/FUS-CREB fusions define a distinctive malignant epithelioid neoplasm with predilection for mesothelial-lined cavities. Mod. Pathol. 2020, 33, 2233–2243. [Google Scholar] [CrossRef]
- Kao, Y.-C.; Sung, Y.S.; Zhang, L.; Huang, S.-C.; Argani, P.; Chung, C.T.; Graf, N.S.; Wright, D.C.; Kellie, S.J.; Agaram, N.P.; et al. Recurrent BCOR internal tandem duplication and YWHAE-NUTM2B fusions in soft tissue undifferentiated round cell sarcoma of infancy: Overlapping genetic features with clear cell sarcoma of kidney. Am. J. Surg. Pathol. 2016, 40, 1009–1020. [Google Scholar] [CrossRef]
- Watson, S.; Perrin, V.; Guillemot, D.; Reynaud, S.; Coindre, J.M.; Karanian, M.; Guinebretière, J.M.; Freneaux, P.; Le Loarer, F.; Bouvet, M.; et al. Transcriptomic definition of molecular subgroups of small round cell sarcomas. J. Pathol. 2018, 245, 29–40. [Google Scholar] [CrossRef] [PubMed]
- Antonescu, C.R.; Kao, Y.-C.; Xu, B.; Fujisawa, Y.; Chung, C.; Fletcher, C.D.M.; Graf, N.; Suurmeijer, A.J.; Zin, A.; Wexler, L.H.; et al. Undifferentiated round cell sarcoma with BCOR internal tandem duplications (ITD) or YWHAE fusions: A clinicopathologic and molecular study. Mod. Pathol. 2020, 33, 1669–1677. [Google Scholar] [CrossRef] [PubMed]
- Guizard, M.; Karanian, M.; Dijoud, F.; Bouhamama, A.; Faure-Conter, C.; Hameury, F.; Tirode, F.; Corradini, N. Neonatal Soft Tissue Sarcoma with YWHAE-NUTM2B Fusion. Case Rep. Oncol. 2019, 12, 631–638. [Google Scholar] [CrossRef]








| Characteristics | n (%) |
|---|---|
| Gender | |
| Female | 43 (47.8%) |
| Male | 47 (52.2%) |
| Age | |
| Mean (SD) | 22.1 (14.2) |
| Range | 0.0–69.7 |
| Age groups (binary) | |
| ≤18 | 45 (50.0%) |
| >18 | 45 (50.0%) |
| Age groups (3-tier) | |
| Children: 0 to 18 | 17 (18.9%) |
| AYAs: 19–39 | 30 (33.3%) |
| Older adults: ≥40 | 21 (23.3%) |
| Tumor size (cm) | |
| Mean (SD) | 9.4 (5.1) |
| Range | 1.4–29.0 |
| Size category | |
| <8 cm | 39 (44.8%) |
| ≥8 cm | 48 (55.2%) |
| Anatomical region | |
| Trunk | 42 (46.7%) |
| Extremity | 27 (30.0%) |
| Limb girdle | 16 (17.8%) |
| Head and neck | 5 (5.5%) |
| Skeletal vs. extraskeletal | |
| Skeletal | 50 (55.6%) |
| Axial | 29 (58.0%) |
| Appendicular | 17 (34.0%) |
| Acral | 3 (6.0%) |
| Craniofacial | 1 (2.0%) |
| Extraskeletal | 40 (44.4%) |
| Deep muscular compartment | 14 (35.0%) |
| Subcutaneous/superficial compartment | 11 (27.5%) |
| Visceral/retroperitoneal | 11 (27.5%) |
| Head and neck | 4 (10.0%) |
| Pathological/molecular category | |
| Ewing family (FET::ETS fusion) | 76 (84.4%) |
| Ewing-like (alternative or no fusions) | 14 (15.6%) |
| Stage at diagnosis | |
| Localized | 62 (68.9%) |
| Metastatic | 24 (26.7%) |
| Unknown | 4 (4.4%) |
| Total | 90 |
| Variable | Children (n = 41) | AYAs (n = 26) | Older Adults (n = 9) | Total (n = 76) | p Value |
|---|---|---|---|---|---|
| Gender | 0.410 | ||||
| Female | 19 (46.3%) | 15 (57.7%) | 3 (33.3%) | 37 (48.7%) | |
| Male | 22 (53.7%) | 11 (42.3%) | 6 (66.7%) | 39 (51.3%) | |
| Tumor size | 0.219 | ||||
| <8 cm | 21 (53.8%) | 11 (44.0%) | 2 (22.2%) | 34 (46.6%) | |
| ≥8 cm | 18 (46.2%) | 14 (56.0%) | 7 (77.8%) | 39 (53.4%) | |
| Unknown | 2 | 1 | 0 | 3 | |
| Primary site | 0.016 * | ||||
| Skeletal | 30 (73.2%) | 16 (61.5%) | 2 (22.2%) | 48 (63.2%) | |
| Extraskeletal | 11 (26.8%) | 10 (38.5%) | 7 (77.8%) | 28 (36.8%) | |
| Baseline stage at diagnosis | 0.506 | ||||
| Localized | 29 (72.5%) | 20 (83.3%) | 6 (66.7%) | 55 (75.3%) | |
| Metastatic | 11 (27.5%) | 4 (16.7%) | 3 (33.3%) | 18 (24.7%) | |
| Unknown | 1 | 2 | 0 | 3 | |
| Post-baseline progression | 0.603 | ||||
| Yes | 11 (26.8%) | 10 (38.5%) | 3 (33.3%) | 24 (31.6%) | |
| No | 30 (73.2%) | 16 (61.5%) | 6 (66.7%) | 52 (68.4%) | |
| Neoadjuvant chemotherapy | 0.029 * | ||||
| Yes | 35 (89.7%) | 15 (62.5%) | 6 (66.7%) | 56 (77.8%) | |
| No | 4 (10.3%) | 9 (37.5%) | 3 (33.3%) | 16 (22.2%) | |
| Unknown | 2 | 2 | 0 | 4 | |
| Adjuvant chemotherapy | 0.318 | ||||
| Yes | 29 (74.4%) | 14 (58.3%) | 5 (55.6%) | 48 (66.7%) | |
| No | 10 (25.6%) | 10 (41.7%) | 4 (44.4%) | 24 (33.3%) | |
| Unknown | 2 | 2 | 0 | 4 | |
| Definitive surgery | 0.294 | ||||
| Yes | 25 (64.1%) | 19 (82.6%) | 6 (66.7%) | 50 (70.4%) | |
| No | 14 (35.9%) | 4 (17.4%) | 3 (33.3%) | 21 (29.6%) | |
| Unknown | 2 | 3 | 0 | 5 | |
| Radiation | 0.702 | ||||
| Yes | 22/39 (56.4%) | 10/22 (45.5%) | 5/9 (55.6%) | 37 (52.9%) | |
| No | 17/39 (43.6%) | 12/22 (54.5%) | 4/9 (44.4%) | 33 (47.1%) | |
| Unknown | 2 | 4 | 0 | 6 | |
| Status last contact | 0.131 | ||||
| No evidence of disease | 22/38 (57.9%) | 8/24 (33.3%) | 3/9 (33.3%) | 33/71 (46.5%) | |
| Stable disease | 9/38 (23.7%) | 6/24 (25.0%) | 4/9 (44.5%) | 19/71 (26.8%) | |
| Progressive disease | 2/38 (5.2%) | 3/24 (12.5%) | 2/9 (22.2%) | 7/71 (9.8%) | |
| Dead | 5/38 (13.2%) | 7/24 (29.2%) | 0/9 (0%) | 12/71 (16.9%) | |
| Unknown | 3 | 2 | 0 | 5 |
Disclaimer/Publisher’s Note: The statements, opinions and data contained in all publications are solely those of the individual author(s) and contributor(s) and not of MDPI and/or the editor(s). MDPI and/or the editor(s) disclaim responsibility for any injury to people or property resulting from any ideas, methods, instructions or products referred to in the content. |
© 2025 by the authors. Licensee MDPI, Basel, Switzerland. This article is an open access article distributed under the terms and conditions of the Creative Commons Attribution (CC BY) license.
Share and Cite
Ali, R.H.; Mohammed, E.M.A.; Ahmed, A.A.; Alsaber, A.R.; Al-Otaibi, H.S.; Abdulmoneim, S.A.K.; Hassan, A.; Almousawi, F.; Khalifa, N.; Ali, A.A.; et al. Age-Related Clinicopathologic Patterns in Ewing Sarcoma (FET::ETS Family): A Comparative Analysis of Pediatric and Adult Patients. Cancers 2026, 18, 133. https://doi.org/10.3390/cancers18010133
Ali RH, Mohammed EMA, Ahmed AA, Alsaber AR, Al-Otaibi HS, Abdulmoneim SAK, Hassan A, Almousawi F, Khalifa N, Ali AA, et al. Age-Related Clinicopathologic Patterns in Ewing Sarcoma (FET::ETS Family): A Comparative Analysis of Pediatric and Adult Patients. Cancers. 2026; 18(1):133. https://doi.org/10.3390/cancers18010133
Chicago/Turabian StyleAli, Rola H., Eiman M. A. Mohammed, Amir A. Ahmed, Ahmad R. Alsaber, Hind S. Al-Otaibi, Samer A. K. Abdulmoneim, Abdulaziz Hassan, Fatemah Almousawi, Nisreen Khalifa, Abdullah A. Ali, and et al. 2026. "Age-Related Clinicopathologic Patterns in Ewing Sarcoma (FET::ETS Family): A Comparative Analysis of Pediatric and Adult Patients" Cancers 18, no. 1: 133. https://doi.org/10.3390/cancers18010133
APA StyleAli, R. H., Mohammed, E. M. A., Ahmed, A. A., Alsaber, A. R., Al-Otaibi, H. S., Abdulmoneim, S. A. K., Hassan, A., Almousawi, F., Khalifa, N., Ali, A. A., Bahzad, S., Alenezi, F. G., AlNassar, M., & AlJassim, A. (2026). Age-Related Clinicopathologic Patterns in Ewing Sarcoma (FET::ETS Family): A Comparative Analysis of Pediatric and Adult Patients. Cancers, 18(1), 133. https://doi.org/10.3390/cancers18010133

