SARS-CoV-2 Infection Risk and COVID-19 Prevalence and Mortality in Cancer Patients During the First Wave of COVID-19 Pandemic in a Virus Epicenter in Northern Italy
Simple Summary
Abstract
1. Introduction
2. Materials and Methods
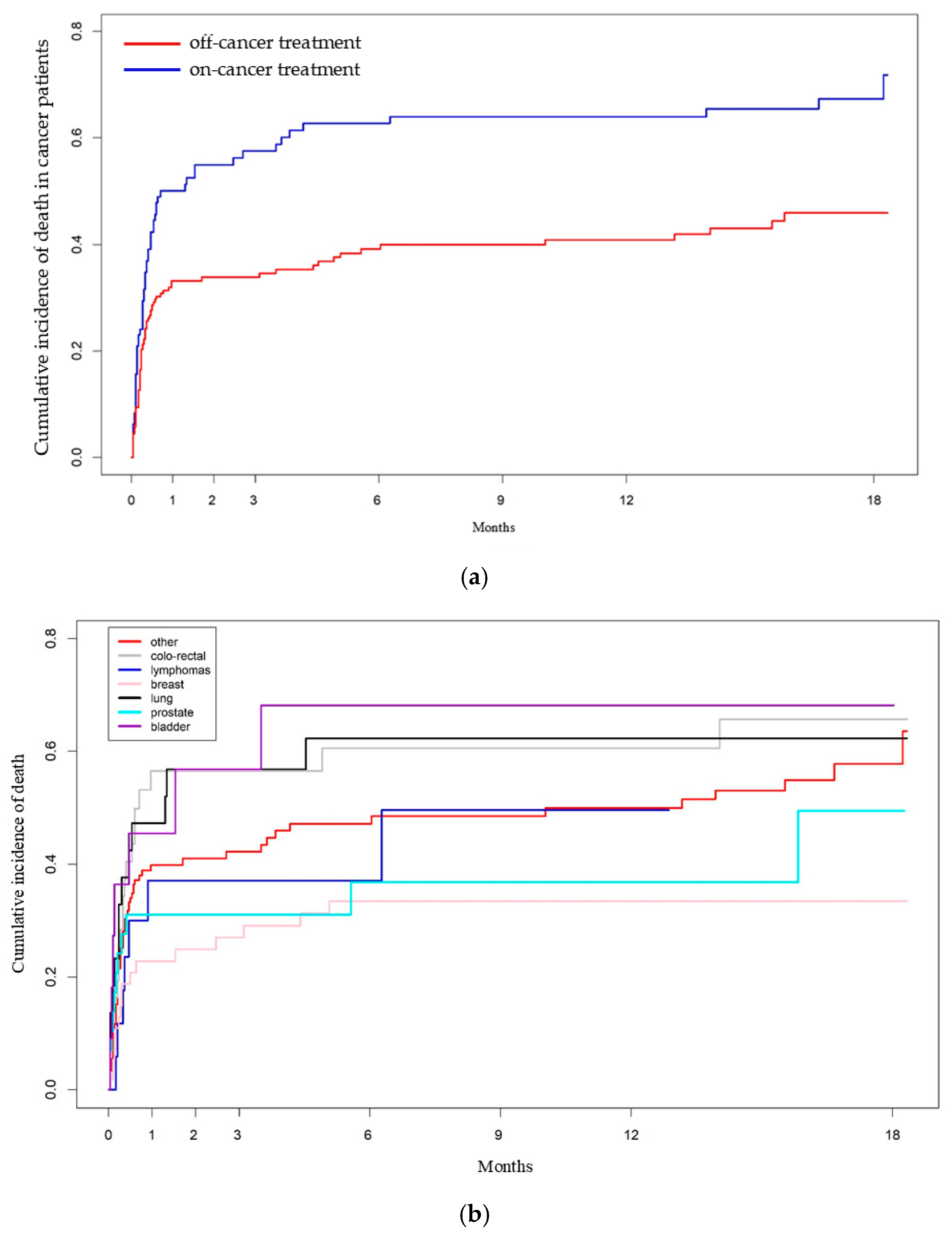
3. Results
4. Discussion
5. Conclusions
Supplementary Materials
Author Contributions
Funding
Institutional Review Board Statement
Informed Consent Statement
Data Availability Statement
Conflicts of Interest
Abbreviations
| COVID-19 | Coronavirus disease 2019 |
| AUSL | Azienda Unità Sanitaria Locale |
| HCS | Healthcare service |
| MCA | Multiple correspondence analysis |
| HCPC | Hierarchical clustering on principal components |
| BC | Breast cancer |
| CRP | C-reactive protein |
References
- Lee, L.Y.W.; Cazier, J.-B.; Angelis, V.; Arnold, R.; Bisht, V.; Campton, N.A.; Chackathayil, J.; Cheng, V.W.T.; Curley, H.M.; Fittall, M.W.T.; et al. COVID-19 mortality in patients with cancer on chemotherapy or other anticancer treatments: A prospective cohort study. Lancet 2020, 395, 1919–1926. [Google Scholar] [CrossRef] [PubMed]
- Grivas, P.; Khaki, A.R.; Wise-Draper, T.M.; French, B.; Hennessy, C.; Hsu, C.-Y.; Shyr, Y.; Li, X.; Choueiri, T.; Painter, C.; et al. Association of clinical factors and recent anticancer therapy with COVID-19 severity among patients with cancer: A report from the COVID-19 and Cancer Consortium. Ann. Oncol. 2021, 32, 787–800. [Google Scholar] [CrossRef] [PubMed]
- Zhou, J.; Lakhani, I.; Chou, O.; Leung, K.S.K.; Lee, T.T.L.; Wong, M.V.; Li, Z.; Wai, A.K.C.; Chang, C.; Wong, I.C.K.; et al. Clinical characteristics, risk factors and outcomes of cancer patients with COVID-19: A population-based study. Cancer Med. 2023, 12, 287–296. [Google Scholar] [CrossRef]
- Park, J.-M.; Koo, H.Y.; Lee, J.-R.; Lee, H.; Lee, J.Y. COVID-19 Mortality and Severity in Cancer Patients and Cancer Survivors. J. Korean Med Sci. 2024, 39, e6. [Google Scholar] [CrossRef]
- Saini, K.S.; Tagliamento, M.; Lambertini, M.; McNally, R.; Romano, M.; Leone, M.; Curigliano, G.; de Azambuja, E. Mortality in patients with cancer and coronavirus disease 2019: A systematic review and pooled analysis of 52 studies. Eur. J. Cancer 2020, 139, 43–50. [Google Scholar] [CrossRef] [PubMed]
- Williamson, E.J.; Walker, A.J.; Bhaskaran, K.; Bacon, S.; Bates, C.; Morton, C.E.; Curtis, H.J.; Mehrkar, A.; Evans, D.; Inglesby, P.; et al. Factors associated with COVID-19-related death using OpenSAFELY. Nature 2020, 584, 430–436. [Google Scholar] [CrossRef]
- Li, J.; Bai, H.; Qiao, H.; Du, C.; Yao, P.; Zhang, Y.; Cai, Y.; Jia, Y.; Wei, X.; Li, C.; et al. Causal effects of COVID-19 on cancer risk: A Mendelian randomization study. J. Med. Virol. 2023, 95, e28722. [Google Scholar] [CrossRef]
- Xiong, N.; Sun, Q. How does SARS-CoV-2 infection impact on immunity, procession and treatment of pan cancers. J. Med. Virol. 2023, 95, e28487. [Google Scholar] [CrossRef]
- Schwartz, S.M. Epidemiology of Cancer. Clin. Chem. 2024, 70, 140–149. [Google Scholar] [CrossRef]
- Fisher, R.; Pusztai, L.; Swanton, C. Cancer heterogeneity: Implications for targeted therapeutics. Br. J. Cancer 2013, 108, 479–485. [Google Scholar] [CrossRef]
- Vinceti, M.; Filippini, T.; Rothman, K.J.; Di Federico, S.; Orsini, N. The association between first and second wave COVID-19 mortality in Italy. BMC Public Health 2021, 21, 2069. [Google Scholar] [CrossRef]
- Balacchi, C.; Brandi, N.; Ciccarese, F.; Coppola, F.; Lucidi, V.; Bartalena, L.; Parmeggiani, A.; Paccapelo, A.; Golfieri, R. Comparing the first and the second waves of COVID-19 in Italy: Differences in epidemiological features and CT findings using a semi-quantitative score. Emerg. Radiol. 2021, 28, 1055–1061. [Google Scholar] [CrossRef] [PubMed]
- Bersanelli, M.; Zielli, T.; Perrone, F.; Casartelli, C.; Pratticò, F.; Rapacchi, E.; Camisa, R.; Tognetto, M.; Clemente, A.; Giannarelli, D.; et al. Clinical impact of COVID-19 in a single-center cohort of a prospective study in cancer patients receiving immunotherapy. Immunotherapy 2020, 12, 1139–1148. [Google Scholar] [CrossRef] [PubMed]
- Liang, W.; Guan, W.; Chen, R.; Wang, W.; Li, J.; Xu, K.; Li, C.; Ai, Q.; Lu, W.; Liang, H.; et al. Cancer patients in SARS-CoV-2 infection: A nationwide analysis in China. Lancet Oncol. 2020, 21, 335–337. [Google Scholar] [CrossRef]
- Guan, W.J.; Ni, Z.Y.; Hu, Y.; Liang, W.H.; Ou, C.Q.; He, J.X.; Liu, L.; Shan, H.; Lei, C.L.; Hui, D.S.C.; et al. Clinical Characteristics of Coronavirus Disease 2019 in China. N. Engl. J. Med. 2020, 382, 1708–1720. [Google Scholar] [CrossRef] [PubMed]
- Kuderer, N.M.; Choueiri, T.K.; Shah, D.P.; Shyr, Y.; Rubinstein, S.M.; Rivera, D.R.; Shete, S.; Hsu, C.-Y.; Desai, A.; de Lima Lopes, G., Jr.; et al. Clinical impact of COVID-19 on patients with cancer (CCC19): A cohort study. Lancet 2020, 395, 1907–1918. [Google Scholar] [CrossRef]
- Martin, P.; Tsourti, Z.; Ribeiro, J.; Castelo-Branco, L.; de Azambuja, E.; Gennatas, S.; Rogado, J.; Sekacheva, M.; Šušnjar, S.; Viñal, D.; et al. COVID-19 in cancer patients: Update from the joint analysis of the ESMO-CoCARE, BSMO, and PSMO international databases. ESMO Open 2023, 8, 101566. [Google Scholar] [CrossRef]
- Salvatore, M.; Hu, M.M.; Beesley, L.J.; Mondul, A.M.; Pearce, C.L.; Friese, C.R.; Fritsche, L.G.; Mukherjee, B. COVID-19 Outcomes by Cancer Status, Site, Treatment, and Vaccination. Cancer Epidemiol. Biomarkers Prev. 2023, 32, 748–759. [Google Scholar] [CrossRef]
- Hoffmann, M.; Kleine-Weber, H.; Schroeder, S.; Krüger, N.; Herrler, T.; Erichsen, S.; Schiergens, T.S.; Herrler, G.; Wu, N.-H.; Nitsche, A.; et al. SARS-CoV-2 cell entry depends on ACE2 and TMPRSS2 and is blocked by a clinically proven protease inhibitor. Cell 2020, 181, 271–280.e278. [Google Scholar] [CrossRef]
- Lasagna, A.; Zuccaro, V.; Ferraris, E.; Corbella, M.; Bruno, R.; Pedrazzoli, P. COVID-19 and breast cancer: May the microbiome be the issue? Futur. Oncol. 2020, 17, 123–126. [Google Scholar] [CrossRef]
- Potter, A.L.; Vaddaraju, V.; Venkateswaran, S.; Mansur, A.; Bajaj, S.S.; Kiang, M.V.; Jena, A.B.; Yang, C.-F.J. Deaths Due to COVID-19 in Patients with cancer during Different Waves of the Pandemic in the US. JAMA Oncol. 2023, 9, 1417–1422. [Google Scholar] [CrossRef] [PubMed]
- Davis, A.P.; Boyer, M.; Lee, J.H.; Kao, S.C. COVID-19: The use of immunotherapy in metastatic lung cancer. Immunotherapy 2020, 12, 545–548. [Google Scholar] [CrossRef] [PubMed]
- Penna, C.; Mercurio, V.; Tocchetti, C.G.; Pagliaro, P. Sex-related differences in COVID-19 lethality. Br. J. Pharmacol. 2020, 177, 4375–4385. [Google Scholar] [CrossRef] [PubMed]





| Study Population | N = 40,148 (%) |
|---|---|
| Sex | |
| Female/male | 23,192 (58)/16,956 (42) |
| Age | |
| Mean (SD) | 68 years (15.6) |
| Any referral to local health services | |
| Yes (NHS users)/No (non-NHS users) | 18,103 (45)/22,045 (55) |
| COVID-19 diagnosis | |
| NHS users | 474/18,103 (2.5; 95% CI, 2.0–2.4) |
| Non-NHS users | 494/22,045 (2.2; 95% CI, 2.4–2.9) |
| Most common cancer subtypes | |
| Breast cancer | 6844 (17) |
| Skin cancer (non-melanoma) | 5951 (15) |
| Skin cancer (melanoma) | 3235 (8) |
| Prostate cancer | 3155 (8) |
| Colo-rectal cancer | 2843 (7) |
| Thyroid cancer | 1916 (5) |
| Bladder cancer | 1590 (4) |
| Lymphoma | 1427 (4) |
| Endometrial cancer | 1037 (3) |
| Kidney cancer | 980 (2) |
| Lung cancer | 677 (2) |
| Leukemia | 401 (1) |
| Pancreatic cancer | 155 (0.4) |
| Other subtypes | 7425 (18) |
| Missing/unknown | 2512 (6.2) |
| Cancer Subtype | HR | Lower CI | Upper CI | p-Value |
|---|---|---|---|---|
| Other | 1.166 | 0.9041 | 1.504 | 0.2364 |
| Colorectal | 1.273 | 0.851 | 1.903 | 0.24038 |
| Lymphoma | 2.046 | 1.4488 | 2.89 | <0.001 |
| Lung | 5.024 | 3.4261 | 7.367 | <0.001 |
| Prostate | 1.525 | 1.0654 | 2.183 | 0.02112 |
| Bladder | 1.929 | 1.2419 | 2.996 | 0.00345 |
| Variables | HR | Lower | Upper | p-Value |
|---|---|---|---|---|
| “On-cancer treatment” status | 1.45 | 0.80 | 2.61 | 0.22204 |
| Other cancer subtypes | 1.54 | 0.89 | 2.67 | 0.1272 |
| Colorectal | 2.60 | 1.28 | 5.27 | 0.00826 |
| Lymphomas | 2.39 | 0.74 | 7.68 | 0.14414 |
| Lung | 1.00 | 0.38 | 2.63 | 0.99296 |
| Prostate | 1.22 | 0.48 | 3.10 | 0.67269 |
| Bladder | 4.35 | 1.53 | 12.36 | 0.00587 |
| Low neutrophils * | 0.40 | 0.14 | 1.11 | 0.07808 |
| Normal neutrophils * | 0.88 | 0.57 | 1.35 | 0.56614 |
| Low lymphocytes * | 4.36 | 1.24 | 15.33 | 0.02182 |
| Normal lymphocytes * | 2.81 | 0.84 | 9.36 | 0.09258 |
| Low platelets * | 2.12 | 1.03 | 4.38 | 0.04232 |
| Normal platelets * | 1.41 | 0.79 | 2.51 | 0.24595 |
| Low CRP * | 0.53 | 0.08 | 3.75 | 0.52668 |
| Normal CRP * | 0.00 | 0.00 | 0.00 | <0.0001 |
| Clinico-pathological stage | 0.36 | 0.19 | 0.68 | 0.00164 |
Disclaimer/Publisher’s Note: The statements, opinions and data contained in all publications are solely those of the individual author(s) and contributor(s) and not of MDPI and/or the editor(s). MDPI and/or the editor(s) disclaim responsibility for any injury to people or property resulting from any ideas, methods, instructions or products referred to in the content. |
© 2025 by the authors. Licensee MDPI, Basel, Switzerland. This article is an open access article distributed under the terms and conditions of the Creative Commons Attribution (CC BY) license (https://creativecommons.org/licenses/by/4.0/).
Share and Cite
Corianò, M.; Isella, L.; Tommasi, C.; Pellegrino, B.; Michiara, M.; Boggiani, D.; Pucci, F.; Leonetti, A.; Bizzoco, S.; Affanni, P.; et al. SARS-CoV-2 Infection Risk and COVID-19 Prevalence and Mortality in Cancer Patients During the First Wave of COVID-19 Pandemic in a Virus Epicenter in Northern Italy. Cancers 2025, 17, 1536. https://doi.org/10.3390/cancers17091536
Corianò M, Isella L, Tommasi C, Pellegrino B, Michiara M, Boggiani D, Pucci F, Leonetti A, Bizzoco S, Affanni P, et al. SARS-CoV-2 Infection Risk and COVID-19 Prevalence and Mortality in Cancer Patients During the First Wave of COVID-19 Pandemic in a Virus Epicenter in Northern Italy. Cancers. 2025; 17(9):1536. https://doi.org/10.3390/cancers17091536
Chicago/Turabian StyleCorianò, Matilde, Luca Isella, Chiara Tommasi, Benedetta Pellegrino, Maria Michiara, Daniela Boggiani, Francesca Pucci, Alessandro Leonetti, Sabrina Bizzoco, Paola Affanni, and et al. 2025. "SARS-CoV-2 Infection Risk and COVID-19 Prevalence and Mortality in Cancer Patients During the First Wave of COVID-19 Pandemic in a Virus Epicenter in Northern Italy" Cancers 17, no. 9: 1536. https://doi.org/10.3390/cancers17091536
APA StyleCorianò, M., Isella, L., Tommasi, C., Pellegrino, B., Michiara, M., Boggiani, D., Pucci, F., Leonetti, A., Bizzoco, S., Affanni, P., Veronesi, L., Rapacchi, E., Serra, O., Sgargi, P., Maglietta, G., & Musolino, A. (2025). SARS-CoV-2 Infection Risk and COVID-19 Prevalence and Mortality in Cancer Patients During the First Wave of COVID-19 Pandemic in a Virus Epicenter in Northern Italy. Cancers, 17(9), 1536. https://doi.org/10.3390/cancers17091536

