Optimizing Cabozantinib Dosing in Unresectable Hepatocellular Carcinoma of 7-on/7-off Regimen
Simple Summary
Abstract
1. Introduction
2. Materials and Methods
2.1. Patients
2.2. Simulation of Plasma Concentration
2.3. Treatment Protocol
2.4. Assessments of Hepatic Functional Reserve and Therapeutic Response
2.5. Statistical Analysis
3. Results
3.1. Patient Characteristics
3.2. Simulation of Plasma Concentration
3.3. Therapeutic Efficacy
3.4. Therapeutic Details
3.5. Adverse Events
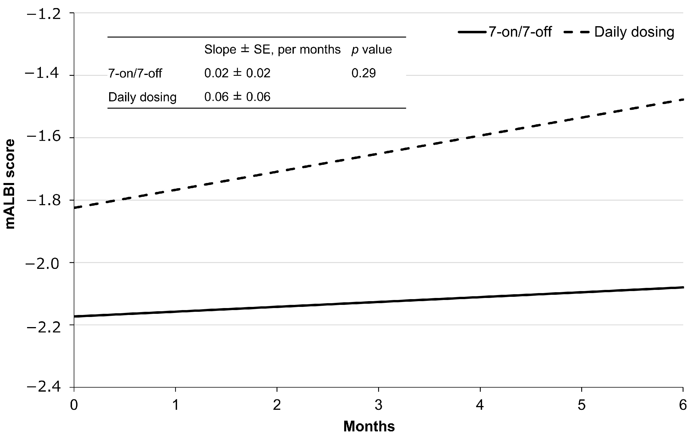
3.6. Effect on the Hepatic Functional Reserve
4. Discussion
5. Conclusions
Author Contributions
Funding
Institutional Review Board Statement
Informed Consent Statement
Data Availability Statement
Conflicts of Interest
References
- Sung, H.; Ferlay, J.; Siegel, R.L.; Laversanne, M.; Soerjomataram, I.; Jemal, A.; Bray, F. Global Cancer Statistics 2020: GLOBOCAN estimates of incidence and mortality worldwide for 36 cancers in 185 countries. CA Cancer J. Clin. 2021, 71, 209–249. [Google Scholar] [CrossRef] [PubMed]
- Ducreux, M.; Abou-Alfa, G.K.; Bekaii-Saab, T.; Berlin, J.; Cervantes, A.; de Baere, T.; Eng, C.; Galle, P.; Gill, S.; Gruenberger, T.; et al. The management of hepatocellular carcinoma. Current expert opinion and recommendations derived from the 24th ESMO/World Congress on Gastrointestinal Cancer, Barcelona, 2022. ESMO Open 2023, 8, 101567. [Google Scholar] [CrossRef] [PubMed]
- Gordan, J.D.; Kennedy, E.B.; Abou-Alfa, G.K.; Beal, E.; Finn, R.S.; Gade, T.P.; Goff, L.; Gupta, S.; Guy, J.; Hoang, H.T.; et al. Systemic therapy for advanced hepatocellular carcinoma: ASCO guideline update. J. Clin. Oncol. 2024, 42, 1830–1850. [Google Scholar] [CrossRef] [PubMed]
- Yakes, F.M.; Chen, J.; Tan, J.; Yamaguchi, K.; Shi, Y.; Yu, P.; Qian, F.; Chu, F.; Bentzien, F.; Cancilla, B.; et al. Cabozantinib (XL184), a novel MET and VEGFR2 inhibitor, simultaneously suppresses metastasis, angiogenesis, and tumor growth. Mol. Cancer Ther. 2011, 10, 2298–2308. [Google Scholar] [CrossRef]
- Abou-Alfa, G.K.; Meyer, T.; Cheng, A.L.; El-Khoueiry, A.B.; Rimassa, L.; Ryoo, B.Y.; Cicin, I.; Merle, P.; Chen, Y.; Park, J.W.; et al. Cabozantinib in patients with advanced and progressing hepatocellular carcinoma. N. Engl. J. Med. 2018, 379, 54–63. [Google Scholar] [CrossRef]
- Kudo, M.; Tsuchiya, K.; Kato, N.; Hagihara, A.; Numata, K.; Aikata, H.; Inaba, Y.; Kondo, S.; Motomura, K.; Furuse, J.; et al. Cabozantinib in Japanese patients with advanced hepatocellular carcinoma: A phase 2 multicenter study. J. Gastroenterol. 2021, 56, 181–190. [Google Scholar] [CrossRef]
- Tomonari, T.; Tani, J.; Ogawa, C.; Deguchi, A.; Senoh, T.; Moriya, A.; Shibata, H.; Fukuno, H.; Tanaka, H.; Tanaka, T.; et al. Multicenter retrospective study of initial treatment outcome and feasibility of initiating dose reduction of cabozantinib in unresectable hepatocellular carcinoma. Hepatol. Res. 2023, 53, 172–178. [Google Scholar] [CrossRef]
- Okubo, H.; Ando, H.; Nakamura, S.; Takasaki, Y.; Ito, K.; Fukuo, Y.; Ikejima, K.; Isayama, H. Real world data of cabozantinib in patients with hepatocellular carcinoma: Focusing on dose setting and modification. Cancer Med. 2024, 13, e70222. [Google Scholar] [CrossRef]
- Lacy, S.A.; Miles, D.R.; Nguyen, L.T. Clinical pharmacokinetics and pharmacodynamics of cabozantinib. Clin. Pharmacokinet. 2017, 56, 477–491. [Google Scholar] [CrossRef]
- Shumaker, R.; Aluri, J.; Fan, J.; Martinez, G.; Ren, M.; Chen, K. Evaluation of the effects of formulation and food on the pharmacokinetics of lenvatinib (E7080) in healthy volunteers. Int. J. Clin. Pharmacol. Ther. 2014, 52, 284–291. [Google Scholar] [CrossRef]
- Rey, J.B.; Launay-Vacher, V.; Tournigand, C. Regorafenib as a single-agent in the treatment of patients with gastrointestinal tumors: An overview for pharmacists. Target. Oncol. 2015, 10, 199–213. [Google Scholar] [CrossRef] [PubMed]
- Gong, L.; Giacomini, M.M.; Giacomini, C.; Maitland, M.L.; Altman, R.B.; Klein, T.E. PharmGKB summary: Sorafenib pathways. Pharmacogenet. Genom. 2017, 27, 240–246. [Google Scholar] [CrossRef] [PubMed]
- Cerbone, L.; Combarel, D.; Geraud, A.; Auclin, E.; Foulon, S.; Alves Costa Silva, C.; Colomba, E.; Carril, L.; Derosa, L.; Flippot, R.; et al. Association of cabozantinib pharmacokinetics, progression and toxicity in metastatic renal cell carcinoma patients: Results from a pharmacokinetics/pharmacodynamics study. ESMO Open 2021, 6, 100312. [Google Scholar] [CrossRef] [PubMed]
- Nguyen, L.; Chapel, S.; Tran, B.D.; Lacy, S. Cabozantinib exposure-response analyses of efficacy and safety in patients with advanced hepatocellular carcinoma. J. Pharmacokinet. Pharmacodyn. 2019, 46, 577–589. [Google Scholar] [CrossRef]
- Bruix, J.; Sherman, M. Practice Guidelines Committee AeAftSoLD. Management of hepatocellular carcinoma. Hepatology 2005, 42, 1208–1236. [Google Scholar] [CrossRef]
- Di Martino, M.; Marin, D.; Guerrisi, A.; Baski, M.; Galati, F.; Rossi, M.; Brozzetti, S.; Masciangelo, R.; Passariello, R.; Catalano, C. Intraindividual comparison of gadoxetate disodium-enhanced MR imaging and 64-section multidetector CT in the Detection of hepatocellular carcinoma in patients with cirrhosis. Radiology 2010, 256, 806–816. [Google Scholar] [CrossRef]
- Sano, K.; Ichikawa, T.; Motosugi, U.; Sou, H.; Muhi, A.M.; Matsuda, M.; Nakano, M.; Sakamoto, M.; Nakazawa, T.; Asakawa, M.; et al. Imaging study of early hepatocellular carcinoma: Usefulness of gadoxetic acid-enhanced MR imaging. Radiology 2011, 261, 834–844. [Google Scholar] [CrossRef]
- Pugh, R.N.; Murray-Lyon, I.M.; Dawson, J.L.; Pietroni, M.C.; Williams, R. Transection of the oesophagus for bleeding oesophageal varices. Br. J. Surg. 1973, 60, 646–649. [Google Scholar] [CrossRef]
- Llovet, J.M.; Villanueva, A.; Marrero, J.A.; Schwartz, M.; Meyer, T.; Galle, P.R.; Lencioni, R.; Greten, T.F.; Kudo, M.; Mandrekar, S.J.; et al. Trial design and endpoints in hepatocellular carcinoma: AASLD consensus conference. Hepatology 2021, 73, 158–191. [Google Scholar] [CrossRef]
- Oken, M.M.; Creech, R.H.; Tormey, D.C.; Horton, J.; Davis, T.E.; McFadden, E.T.; Carbone, P.P. Toxicity and response criteria of the Eastern Cooperative Oncology Group. Am. J. Clin. Oncol. 1982, 5, 649–655. [Google Scholar] [CrossRef]
- National Cancer Institute. Common Terminology Criteria for Adverse Events (CTCAE) v5.0. 2017. Available online: https://ctep.cancer.gov/protocolDevelopment/electronic_applications/ctc.htm#ctc_50 (accessed on 1 February 2025).
- Hiraoka, A.; Michitaka, K.; Kumada, T.; Izumi, N.; Kadoya, M.; Kokudo, N.; Kubo, S.; Matsuyama, Y.; Nakashima, O.; Sakamoto, M.; et al. Validation and potential of albumin-bilirubin grade and prognostication in a nationwide survey of 46,681 hepatocellular carcinoma patients in Japan: The need for a more detailed evaluation of hepatic function. Liver Cancer 2017, 6, 325–336. [Google Scholar] [CrossRef] [PubMed]
- Eisenhauer, E.A.; Therasse, P.; Bogaerts, J.; Schwartz, L.H.; Sargent, D.; Ford, R.; Dancey, J.; Arbuck, S.; Gwyther, S.; Mooney, M.; et al. New response evaluation criteria in solid tumours: Revised RECIST guideline (version 1.1). Eur. J. Cancer 2009, 45, 228–247. [Google Scholar] [CrossRef] [PubMed]
- Lencioni, R.; Llovet, J.M. Modified RECIST (mRECIST) assessment for hepatocellular carcinoma. Semin. Liver Dis. 2010, 30, 52–60. [Google Scholar] [CrossRef] [PubMed]
- Kanda, Y. Investigation of the freely available easy-to-use software ‘EZR’ for medical statistics. Bone Marrow Transplant. 2013, 48, 452–458. [Google Scholar] [CrossRef] [PubMed]
- Kuzuya, T.; Kawabe, N.; Ariga, M.; Ohno, E.; Funasaka, K.; Nagasaka, M.; Nakagawa, Y.; Miyahara, R.; Shibata, T.; Takahara, T.; et al. Clinical outcomes of cabozantinib in patients previously treated with atezolizumab/bevacizumab for advanced hepatocellular carcinoma: Importance of good liver function and good performance status. Cancers 2023, 15, 2952. [Google Scholar] [CrossRef] [PubMed]
- Tomonari, T.; Sato, Y.; Tanaka, H.; Tanaka, T.; Fujino, Y.; Mitsui, Y.; Hirao, A.; Taniguchi, T.; Okamoto, K.; Sogabe, M.; et al. Potential use of lenvatinib for patients with unresectable hepatocellular carcinoma including after treatment with sorafenib: Real-world evidence and. Oncotarget 2020, 11, 2531–2542. [Google Scholar] [CrossRef]
- Nakagawa, M.; Inoue, M.; Ogasawara, S.; Maruta, S.; Okubo, T.; Itokawa, N.; Iino, Y.; Obu, M.; Haga, Y.; Seki, A.; et al. Clinical effects and emerging issues of atezolizumab plus bevacizumab in patients with advanced hepatocellular carcinoma from Japanese real-world practice. Cancer 2023, 129, 590–599. [Google Scholar] [CrossRef]
- Kurzrock, R.; Sherman, S.I.; Ball, D.W.; Forastiere, A.A.; Cohen, R.B.; Mehra, R.; Pfister, D.G.; Cohen, E.E.; Janisch, L.; Nauling, F.; et al. Activity of XL184 (Cabozantinib), an oral tyrosine kinase inhibitor, in patients with medullary thyroid cancer. J. Clin. Oncol. 2011, 29, 2660–2666. [Google Scholar] [CrossRef]
- Demirtas, C.O.; D’Alessio, A.; Rimassa, L.; Sharma, R.; Pinato, D.J. ALBI grade: Evidence for an improved model for liver functional estimation in patients with hepatocellular carcinoma. JHEP Rep. 2021, 3, 100347. [Google Scholar] [CrossRef]
- Uchikawa, S.; Kawaoka, T.; Ando, Y.; Yamaoka, K.; Kosaka, Y.; Suehiro, Y.; Fujii, Y.; Morio, K.; Nakahara, T.; Murakami, E.; et al. Trends in hepatic functional reserve of patients with hepatocellular carcinoma treated with tyrosine kinase inhibitors. Oncology 2020, 98, 727–733. [Google Scholar] [CrossRef]
- Gerendash, B.S.; Creel, P.A. Practical management of adverse events associated with cabozantinib treatment in patients with renal-cell carcinoma. Oncol. Targets Ther. 2017, 10, 5053–5064. [Google Scholar] [CrossRef]





| Variable | Total (n = 35) | 7-on/7-off (n = 12) | Daily Dosing (n = 23) | p Value | |||
|---|---|---|---|---|---|---|---|
| Age, years | 67.2 | (63.8–75.0) | 74.8 | (70.0–82.4) | 66.6 | (62.8.0–72.5) | 0.07 |
| Male sex | 32 | (91.4) | 10 | (83.3) | 22 | (95.7) | 0.27 |
| BMI, kg/m2 | 23.3 | (20.2–26.0) | 22.7 | (20.7–25.4) | 23.8 | (20.0–26.5) | 0.61 |
| Etiology, HBV/HCV/Non-Viral | 5/15/15 | 2/3/7 | 3/12/8 | 0.29 | |||
| ECOG PS, 0 | 31 | (88.6) | 10 | (83.3) | 21 | (91.3) | 0.48 |
| Treatment line 2nd/3rd/4th/5th | 15/12/7/1 | 7/3/2/0 | 8/9/5/1 | 0.55 | |||
| Prior treatment, LEN/Atez + Bev or Dur + Tre | 15/20 | 7/5 | 8/15 | 0.18 | |||
| mALBI grade 1/2a/2b/3 | 15/12/7/1 | 7/3/2/0 | 8/9/5/1 | 0.55 | |||
| BCLC stage C | 28 | (80.0) | 9 | (75.0) | 19 | (82.6) | 0.67 |
| Tumor size, cm | 6.9 | (3.5–8.6) | 7.6 | (5.8–13.1) | 7.4 | (6.0–9.7) | 0.57 |
| Tumor number, multiple | 29 | (82.9) | 9 | (75.0) | 20 | (87.0) | 0.39 |
| Macrovascular invasion | 13 | (37.1) | 6 | (50.0) | 7 | (30.4) | 0.29 |
| Extrahepatic spread | 18 | (51.4) | 5 | (41.7) | 13 | (56.5) | 0.49 |
| AFP, ≥400 ng/mL | 12 | (34.3) | 3 | (25.0) | 9 | (39.1) | 0.48 |
| DCP, ≥400 mAU/mL | 24 | (68.6) | 5 | (50.0) | 18 | (78.3) | 0.13 |
| RECIST ver. 1.1 | mRECIST | |||||||||||||
|---|---|---|---|---|---|---|---|---|---|---|---|---|---|---|
| Total (n = 35) | 7-on/7-off (n = 12) | Daily Dosing (n = 23) | p Value | Total (n = 35) | 7-on/7-off (n = 12) | Daily Dosing (n = 23) | p Value | |||||||
| CR | 0 | (0.0) | 0 | (0.0) | 0 | (0.0) | 0 | (0.0) | 0 | (0.0) | 0 | (0.0) | ||
| PR | 2 | (5.7) | 2 | (16.7) | 0 | (0.0) | 7 | (20.0) | 4 | (33.3) | 3 | (13.0) | ||
| SD | 19 | (54.2) | 7 | (58.3) | 12 | (52.2) | 14 | (40.0) | 5 | (41.7) | 9 | (39.2) | ||
| PD | 11 | (31.4) | 3 | (25.0) | 8 | (34.8) | 11 | (31.4) | 3 | (25.0) | 8 | (34.8) | ||
| NE | 3 | (8.6) | 0 | (0.0) | 3 | (13.00) | 3 | (8.6) | 0 | (0.0) | 3 | (13.00) | ||
| ORR | 5.7% | 16.7% | 0.0% | 0.04 * | 20.0% | 33.3% | 13.0% | 0.16 | ||||||
| DCR | 59.9% | 75.0% | 52.2% | 0.19 | 60.0% | 75.0% | 52.2% | 0.19 | ||||||
| Total (n = 35) | 7-on/7-off (n = 12) | Daily Dosing (n = 23) | p Value | |
|---|---|---|---|---|
| Initial dose of cabozantinib, 20 mg/40 mg/60 mg, n | 10/19/6 | 3/9/0 | 7/10/6 | 0.08 |
| Median duration of drug exposure, days (range) | 72 (39–120) | 122 (90–192) | 42 (29–87) | <0.01 * |
| Median relative dose intensity, % (range) | 0.33 (0.30–0.48) | 0.27 (0.22–0.30) | 0.44 (0.33–0.65) | <0.01 * |
| Median duration of dose reduction, days (range) | 39 (18–103) | 100 (73–145) | 23 (15–48) | <0.01 * |
| AE-related dose reductions, n (%) | 18 (51.4) | 7 (58.3) | 11 (47.8) | 0.73 |
| AE-related dose discontinuation, n (%) | 17 (48.6) | 4 (33.3) | 13 (56.5) | 0.29 |
| Reason for discontinuation, AE/PD, n | 18/15 | 5/6 | 13/9 | 0.54 |
| Transition to posttreatment after cabozantinib, n (%) | 8 (24.2) | 4 (36.4) | 4 (18.2) | 0.39 |
| Outcome, survival, n (%) | 12 (34.3) | 7 (58.3) | 5 (21.7) | 0.06 |
| Observation period, months | 6.4 (4.2–11.6) | 11.5 (6.9–20.8) | 5.4 (3.8–8.6) | 0.01 * |
| Any Grade | Grade ≥ 3 | |||||||
|---|---|---|---|---|---|---|---|---|
| Total (n = 35) | 7-on/7-off (n = 12) | Daily Dosing (n = 23) | p Value | Total (n = 35) | 7-on/7-off (n = 12) | Daily Dosing (n = 23) | p Value | |
| Any cause | 32 (91.4) | 9 (75.0) | 23 (100.0) | 0.03 * | 10 (28.6) | 2 (16.7) | 8 (34.8) | 0.43 |
| Anorexia | 12 (34.3) | 4 (33.3) | 8 (34.8) | 1.00 | 4 (11.4) | 1 (8.3) | 3 (13.0) | 1.00 |
| Fatigue | 11 (31.4) | 4 (33.3) | 7 (30.4) | 1.00 | 3 (8.6) | 1 (8.3) | 2 (8.3) | 1.00 |
| Proteinuria | 7 (20.0) | 2 (16.7) | 5 (21.7) | 1.00 | 2 (5.7) | 1 (8.3) | 1 (4.3) | 1.00 |
| Diarrhea or colitis | 5 (14.3) | 0 | 5 (21.7) | 0.14 | 0 | 0 | 0 | |
| Edema | 4 (11.4) | 1 (8.3) | 3 (13.0) | 1.00 | 0 | 0 | 0 | |
| Increased transaminase | 3 (8.6) | 1 (8.3) | 2 (8.7) | 1.00 | 2 (5.7) | 0 | 2 (8.7) | 0.54 |
| Pruritus or rash | 3 (8.6) | 2 (16.7) | 1 (4.3) | 0.27 | 0 | 0 | 0 | |
| Palmar-plantar erythrodysesthesia syndrome | 2 (5.7) | 0 | 2 (8.7) | 0.54 | 1 (2.9) | 0 | 1 (4.3) | 1.00 |
| Hypertension | 2 (5.7) | 0 | 2 (8.7) | 0.54 | 0 | 0 | 0 | |
| Pneumonia | 1 (2.9) | 0 | 1 (4.3) | 1.00 | 1 (2.9) | 0 | 1 (4.3) | 1.00 |
| Adrenal insufficiency | 1 (2.9) | 0 | 1 (4.3) | 1.00 | 0 | 0 | 0 | |
| Pyrexia | 1 (2.9) | 0 | 1 (4.3) | 1.00 | 0 | 0 | 0 | |
Disclaimer/Publisher’s Note: The statements, opinions and data contained in all publications are solely those of the individual author(s) and contributor(s) and not of MDPI and/or the editor(s). MDPI and/or the editor(s) disclaim responsibility for any injury to people or property resulting from any ideas, methods, instructions or products referred to in the content. |
© 2025 by the authors. Licensee MDPI, Basel, Switzerland. This article is an open access article distributed under the terms and conditions of the Creative Commons Attribution (CC BY) license (https://creativecommons.org/licenses/by/4.0/).
Share and Cite
Fujiwara, Y.; Kuroda, H.; Abe, T.; Endo, K.; Oikawa, T.; Tsuruoka, M.; Ninomiya, M.; Fujita, M.; Abe, K.; Katsumi, T.; et al. Optimizing Cabozantinib Dosing in Unresectable Hepatocellular Carcinoma of 7-on/7-off Regimen. Cancers 2025, 17, 1288. https://doi.org/10.3390/cancers17081288
Fujiwara Y, Kuroda H, Abe T, Endo K, Oikawa T, Tsuruoka M, Ninomiya M, Fujita M, Abe K, Katsumi T, et al. Optimizing Cabozantinib Dosing in Unresectable Hepatocellular Carcinoma of 7-on/7-off Regimen. Cancers. 2025; 17(8):1288. https://doi.org/10.3390/cancers17081288
Chicago/Turabian StyleFujiwara, Yudai, Hidekatsu Kuroda, Tamami Abe, Kei Endo, Takayoshi Oikawa, Mio Tsuruoka, Masashi Ninomiya, Masashi Fujita, Kazumichi Abe, Tomohiro Katsumi, and et al. 2025. "Optimizing Cabozantinib Dosing in Unresectable Hepatocellular Carcinoma of 7-on/7-off Regimen" Cancers 17, no. 8: 1288. https://doi.org/10.3390/cancers17081288
APA StyleFujiwara, Y., Kuroda, H., Abe, T., Endo, K., Oikawa, T., Tsuruoka, M., Ninomiya, M., Fujita, M., Abe, K., Katsumi, T., Minami, S., Sato, W., Igarashi, G., Iino, C., Tanabe, N., Numao, H., Kimura, O., Nakaya, I., Ito, A., ... Matsumoto, T. (2025). Optimizing Cabozantinib Dosing in Unresectable Hepatocellular Carcinoma of 7-on/7-off Regimen. Cancers, 17(8), 1288. https://doi.org/10.3390/cancers17081288

