Correlation Between Body Mass Index and Immunotherapy Response in Advanced NSCLC
Simple Summary
Abstract
1. Introduction
2. Materials and Methods
2.1. Study Population
2.2. BMI Evaluation
2.3. Study Design
2.4. Exclusion Criteria
2.5. Statistical Analysis
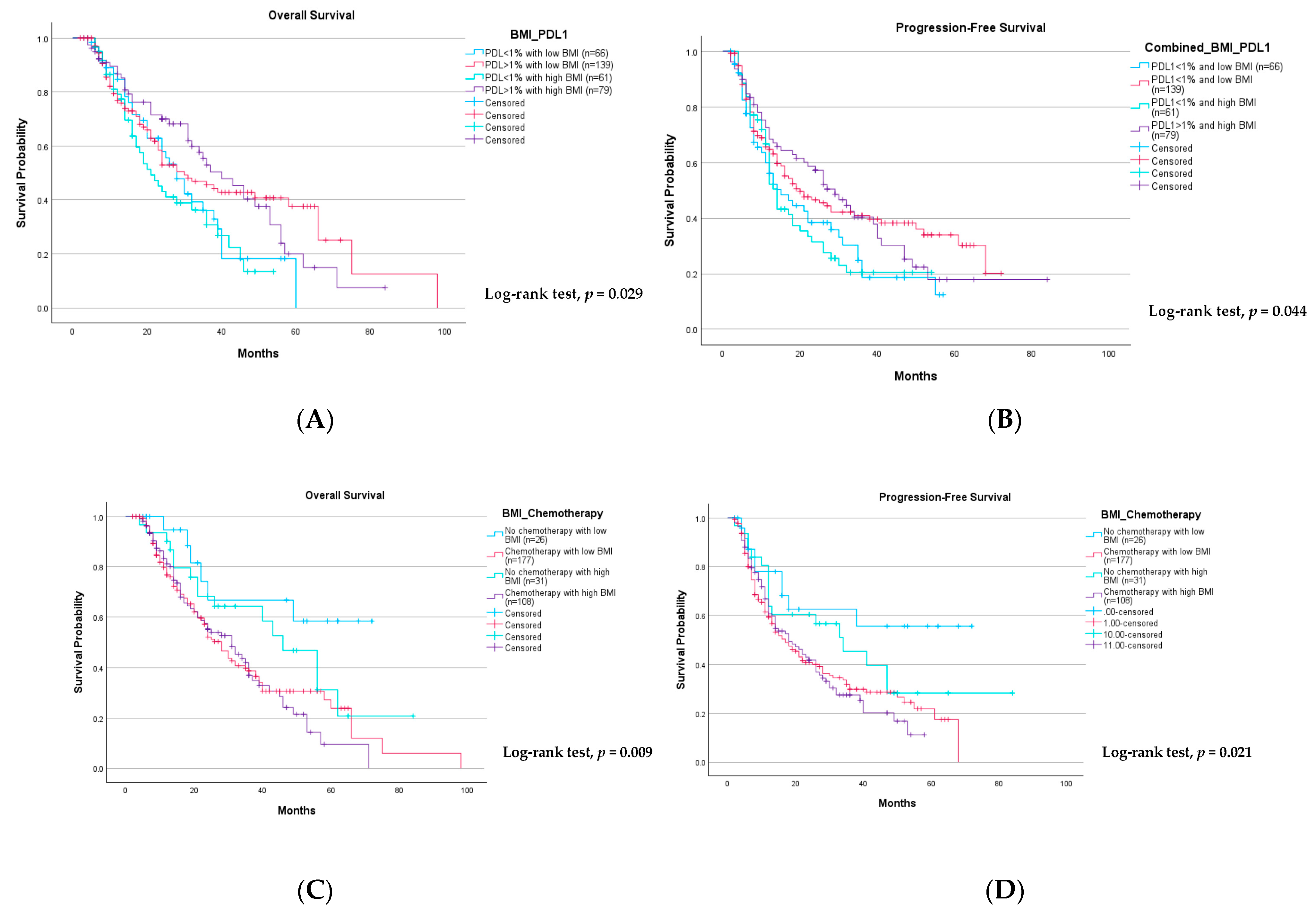
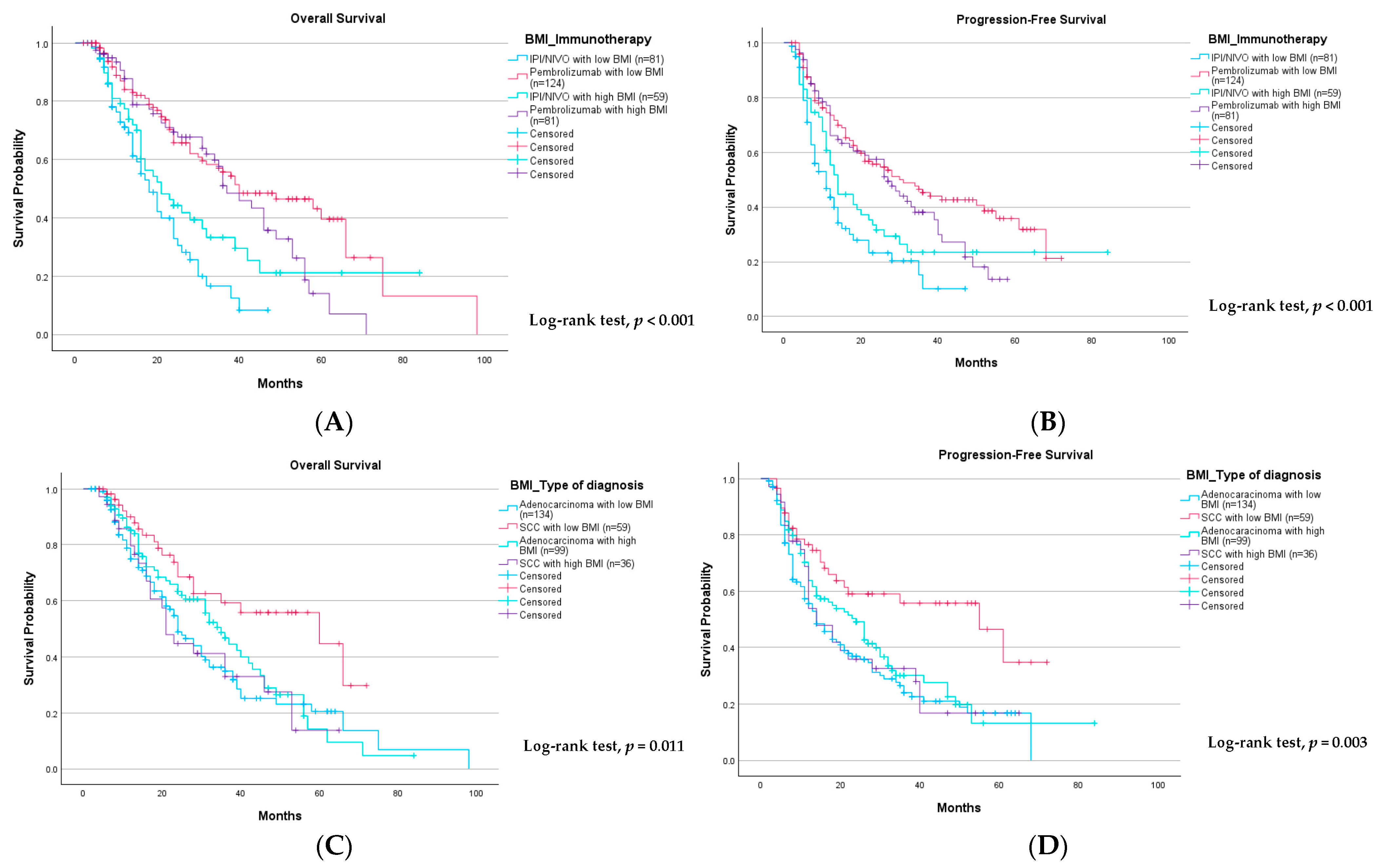
3. Results
4. Discussion
5. Conclusions
Supplementary Materials
Author Contributions
Funding
Institutional Review Board Statement
Informed Consent Statement
Data Availability Statement
Acknowledgments
Conflicts of Interest
References
- Garon, E.B.; Rizvi, N.A.; Hui, R.; Leighl, N.; Balmanoukian, A.S.; Eder, J.P.; Patnaik, A.; Aggarwal, C.; Gubens, M.; Horn, L.; et al. Pembrolizumab for the treatment of non–small-cell lung cancer. N. Engl. J. Med. 2015, 372, 2018–2028. [Google Scholar] [PubMed]
- Herbst, R.S.; Morgensztern, D.; Boshoff, C. The biology and management of non-small cell lung cancer. Nature 2018, 553, 446–454. [Google Scholar] [PubMed]
- Rittmeyer, A.; Barlesi, F.; Waterkamp, D.; Park, K.; Ciardiello, F.; von Pawel, J.; Gadgeel, S.M.; Hida, T.; Kowalski, D.M.; Dols, M.C.; et al. Atezolizumab versus docetaxel in patients with previously treated non-small-cell lung cancer (OAK): A phase 3, open-label, multicentre randomised controlled trial. Lancet 2017, 389, 255–265. [Google Scholar] [CrossRef] [PubMed]
- Andrews, L.P.; Yano, H.; Vignali, D.A. Inhibitory receptors and ligands beyond PD-1, PD-L1 and CTLA-4: Breakthroughs or backups. Nat. Immunol. 2019, 20, 1425–1434. [Google Scholar]
- Mok, T.S.K.; Wu, Y.-L.; Kudaba, I.; Kowalski, D.M.; Cho, B.C.; Turna, H.Z.; Castro, G., Jr.; Srimuninnimit, V.; Laktionov, K.K.; Bondarenko, I.; et al. Pembrolizumab versus chemotherapy for previously untreated, PD-L1-expressing, locally advanced or metastatic non-small-cell lung cancer (KEYNOTE-042): A randomised, open-label, controlled, phase 3 trial. Lancet 2019, 393, 1819–1830. [Google Scholar] [CrossRef]
- Jia, Y.; Liu, L.; Shan, B. Future of immune checkpoint inhibitors: Focus on tumor immune microenvironment. Ann. Transl. Med. 2020, 8, 1095. [Google Scholar] [CrossRef]
- Hendry, S.A.; Farnsworth, R.H.; Solomon, B.; Achen, M.G.; Stacker, S.A.; Fox, S.B. The role of the tumor vasculature in the host immune response: Implications for therapeutic strategies targeting the tumor microenvironment. Front. Immunol. 2016, 7, 621. [Google Scholar]
- Reck, M.; Rodríguez-Abreu, D.; Robinson, A.G.; Hui, R.; Csőszi, T.; Fülöp, A.; Gottfried, M.; Peled, N.; Tafreshi, A.; Cuffe, S. Pembrolizumab versus chemotherapy for PD-L1–positive non–small-cell lung cancer. N. Engl. J. Med. 2016, 375, 1823–1833. [Google Scholar]
- Hellmann, M.D.; Ciuleanu, T.-E.; Pluzanski, A.; Lee, J.S.; Otterson, G.A.; Audigier-Valette, C.; Minenza, E.; Linardou, H.; Burgers, S.; Salman, P.; et al. Nivolumab plus ipilimumab in lung cancer with a high tumor mutational burden. N. Engl. J. Med. 2018, 378, 2093–2104. [Google Scholar]
- Mezquita, L.; Auclin, E.; Ferrara, R.; Charrier, M.; Remon, J.; Planchard, D.; Ponce, S.; Ares, L.P.; Leroy, L.; Audigier-Valette, C.; et al. Association of the lung immune prognostic index with immune checkpoint inhibitor outcomes in patients with advanced non–small cell lung cancer. JAMA Oncol. 2018, 4, 351–357. [Google Scholar]
- Zer, A.; Sung, M.R.; Walia, P.; Khoja, L.; Maganti, M.; Labbe, C.; Shepherd, F.A.; Bradbury, P.A.; Feld, R.; Liu, G.; et al. Correlation of neutrophil to lymphocyte ratio and absolute neutrophil count with outcomes with PD-1 axis inhibitors in patients with advanced non–Small-Cell lung cancer. Clin. Lung Cancer 2018, 19, 426–434.e1. [Google Scholar] [PubMed]
- Puska, P.; Nishida, C.; Porter, D. Obesity and Overweight; World Health Organization: Geneva, Switzerland, 2003; Volume 2. [Google Scholar]
- De Pergola, G.; Silvestris, F. Obesity as a major risk factor for cancer. J. Obes. 2013, 2013, 291546. [Google Scholar] [PubMed]
- Cortellini, A.; Bersanelli, M.; Buti, S.; Cannita, K.; Santini, D.; Perrone, F.; Giusti, R.; Tiseo, M.; Michiara, M.; Di Marino, P.; et al. A multicenter study of body mass index in cancer patients treated with anti-PD-1/PD-L1 immune checkpoint inhibitors: When overweight becomes favorable. J. Immunother. Cancer 2019, 7, 57. [Google Scholar] [CrossRef] [PubMed]
- Donnelly, D.; Bajaj, S.; Yu, J.; Hsu, M.; Balar, A.; Pavlick, A.; Weber, J.; Osman, I.; Zhong, J. The complex relationship between body mass index and response to immune checkpoint inhibition in metastatic melanoma patients. J. Immunother. Cancer 2019, 7, 222. [Google Scholar]
- Ichihara, E.; Harada, D.; Inoue, K.; Sato, K.; Hosokawa, S.; Kishino, D.; Watanabe, K.; Ochi, N.; Oda, N.; Hara, N.; et al. The impact of body mass index on the efficacy of anti-PD-1/PD-L1 antibodies in patients with non-small cell lung cancer. Lung Cancer 2020, 139, 140–145. [Google Scholar]
- Kichenadasse, G.; Miners, J.O.; Mangoni, A.A.; Rowland, A.; Hopkins, A.M.; Sorich, M.J. Association between body mass index and overall survival with immune checkpoint inhibitor therapy for advanced non–small cell lung cancer. JAMA Oncol. 2020, 6, 512–518. [Google Scholar]
- Zhang, T.; Li, S.; Chang, J.; Qin, Y.; Li, C. Impact of BMI on the survival outcomes of non-small cell lung cancer patients treated with immune checkpoint inhibitors: A meta-analysis. BMC Cancer 2023, 23, 1023. [Google Scholar]
- Jain, A.; Zhang, S.; Shanley, R.M.; Fujioka, N.; Kratzke, R.A.; Patel, M.R.; Kulkarni, A.A. Nonlinear association between body mass index and overall survival in advanced NSCLC patients treated with immune checkpoint blockade. Cancer Immunol. Immunother. 2023, 72, 1225–1232. [Google Scholar]
- Kessous, R.; Wainstock, T.; Sheiner, E. Pre-pregnancy obesity and childhood malignancies: A population-based cohort study. Pediatr. Blood Cancer 2020, 67, e28269. [Google Scholar]
- Eisenhauer, E.A.; Therasse, P.; Bogaerts, J.; Schwartz, L.H.; Sargent, D.; Ford, R.; Dancey, J.; Arbuck, S.; Gwyther, S.; Mooney, M.; et al. New response evaluation criteria in solid tumours: Revised RECIST guideline (version 1.1). Eur. J. Cancer 2009, 45, 228–247. [Google Scholar]
- McQuade, J.L.; Daniel, C.R.; Hess, K.R.; Mak, C.; Wang, D.Y.; Rai, R.R.; Park, J.J.; Haydu, L.E.; Spencer, C.; Wongchenko, M.; et al. Association of body-mass index and outcomes in patients with metastatic melanoma treated with targeted therapy, immunotherapy, or chemotherapy: A retrospective, multicohort analysis. Lancet Oncol. 2018, 19, 310–322. [Google Scholar] [CrossRef] [PubMed]
- Mullen, M.; Gonzalez-Perez, R.R. Leptin-induced JAK/STAT signaling and cancer growth. Vaccines 2016, 4, 26. [Google Scholar] [CrossRef] [PubMed]
- Wang, Z.; Aguilar, E.G.; Luna, J.I.; Dunai, C.; Khuat, L.T.; Le, C.T.; Mirsoian, A.; Minnar, C.M.; Stoffel, K.M.; Sturgill, I.R.; et al. Paradoxical effects of obesity on T cell function during tumor progression and PD-1 checkpoint blockade. Nat. Med. 2019, 25, 141–151. [Google Scholar] [CrossRef] [PubMed]
- Han, S.-J.; Zaretsky, A.G.; Andrade-Oliveira, V.; Collins, N.; Dzutsev, A.; Shaik, J.; da Fonseca, D.M.; Harrison, O.J.; Tamoutounour, S.; Byrd, A.L.; et al. White adipose tissue is a reservoir for memory T cells and promotes protective memory responses to infection. Immunity 2017, 47, 1154–1168.e6. [Google Scholar] [CrossRef]
- Boi, S.K.; Orlandella, R.M.; Gibson, J.T.; Turbitt, W.J.; Wald, G.; Thomas, L.; Rosean, C.B.; Norris, K.E.; Bing, M.; Bertrand, L.; et al. Obesity diminishes response to PD-1-based immunotherapies in renal cancer. J. Immunother. Cancer 2020, 8, e000725. [Google Scholar] [CrossRef]
- Kohli, K.; Pillarisetty, V.G. Dendritic cells in the tumor microenvironment. In Tumor Microenvironment. Advances in Experimental Medicine and Biology; Springer: Cham, Switzerland, 2020; pp. 29–38. [Google Scholar]
- Cortellini, A.; Ricciuti, B.; Vaz, V.R.; Soldato, D.; Alessi, J.V.; Dall’olio, F.G.; Banna, G.L.; Muthuramalingam, S.; Chan, S.; Majem, M.; et al. Prognostic effect of body mass index in patients with advanced NSCLC treated with chemoimmunotherapy combinations. J. Immunother. Cancer 2022, 10, e004374. [Google Scholar] [CrossRef]
- Kloten, V.; Lampignano, R.; Krahn, T.; Schlange, T. Circulating tumor cell PD-L1 expression as biomarker for therapeutic efficacy of immune checkpoint inhibition in NSCLC. Cells 2019, 8, 809. [Google Scholar] [CrossRef]
- Cortellini, A.; Ricciuti, B.; Tiseo, M.; Bria, E.; Banna, G.L.; Aerts, J.G.; Barbieri, F.; Giusti, R.; Cortinovis, D.L.; Migliorino, M.R.; et al. Baseline BMI and BMI variation during first line pembrolizumab in NSCLC patients with a PD-L1 expression≥ 50%: A multicenter study with external validation. J. Immunother. Cancer 2020, 8, e001403. [Google Scholar] [CrossRef]
- Buchbinder, E.I.; Desai, A. CTLA-4 and PD-1 pathways: Similarities, differences, and implications of their inhibition. Am. J. Clin. Oncol. 2016, 39, 98–106. [Google Scholar] [CrossRef]
- Caan, B.J.; Feliciano, E.M.C.; Kroenke, C.H. The importance of body composition in explaining the overweight paradox in cancer—Counterpoint. Cancer Res. 2018, 78, 1906–1912. [Google Scholar] [CrossRef]



| Characteristics | Overall (%) | Underweight (%) | Normal Weight (%) | Overweight (%) | Obese (%) | p-Value |
|---|---|---|---|---|---|---|
| N = 346 | N = 44 | N = 157 | N = 101 | N = 44 | ||
| Age (years) | ||||||
| Median (IQR) | 67.0 (62.0; 74.0) | 64.5 (58.3; 74.8) | 67.0 (62.0; 74.0) | 69.0 (64.0; 75.0) | 65.0 (60.0; 73.0) | 0.114 |
| Range | 37–87 | 38–86 | 37–83 | 39–87 | 47–82 | |
| <70 | 199 (57.51) | 28 (63.64) | 90 (57.32) | 54 (53.47) | 27 (61.36) | |
| >70 | 147 (42.49) | 16 (36.36) | 67 (42.68) | 47 (46.53) | 17 (38.64) | |
| Gender, N (%) | ||||||
| Female | 109 (31.5) | 19 (43.18) | 49 (31.2) | 26 (25.7) | 15 (34.1) | 0.214 |
| Male | 237 (68.5) | 25 (56.8) | 108 (68.8) | 75 (74.3) | 29 (65.9) | |
| Histology, N (%) | ||||||
| Adenocarcinoma | 233 (67.3) | 28 (63.6) | 106 (67.5) | 70 (69.3) | 29 (65.9) | 0.383 |
| Squamous cell | 96 (27.7) | 12 (27.3) | 43 (27.4) | 29 (28.7) | 12 (27.3) | |
| carcinoma | ||||||
| Adenosquamous | 8 (2.3) | 2 (4.5) | 3 (1.9) | 0 (0) | 3 (6.8) | |
| Other | 9 (2.6) | 2 (4.5) | 5 (3.2) | 2 (2.0) | 0 (0) | |
| Smoking status, N (%) | ||||||
| Never | 45 (13.0) | 6 (13.6) | 17 (10.9) | 15 (14.9) | 7 (15.9) | 0.438 |
| Current | 174 (50.4) | 24 (54.5) | 84 (53.8) | 51 (50.5) | 15 (34.1) | |
| Past | 124 (35.9) | 14 (31.8) | 54 (34.6) | 35 (34.7) | 21 (47.7) | |
| Unknown | 2 (0.6) | 0 (0) | 1 (0.6) | 0 (0) | 1 (2.3 | |
| ECOG, N (%) | ||||||
| 0 | 72 (20.9) | 9 (20.5) | 34 (21.7) | 20 (20.0) | 9 (20.5) | 0.869 |
| 1 | 200 (58.0) | 23 (52.3) | 89 (56.7) | 63 (63.0) | 25 (56.8) | |
| 2+ | 73 (21.2) | 12 (27.3) | 34 (21.7) | 17 (17.0) | 10 (22.7) | |
| Type of Immunotherapy, N (%) | ||||||
| Pembrolizumab | 205 (59.2) | 18 (40.9) | 102 (65.0) | 60 (59.4) | 25 (56.8) | 0.039 |
| Ipilimumab and | 141 (40.8) | 26 (59.1) | 55 (35.0) | 41 (40.6) | 19 (43.2) | |
| Nivolumab | ||||||
| Chemotherapy, N (%) | ||||||
| No | 58 (16.76) | 4 (9.3) | 20 (12.8) | 27 (27.0) | 7 (15.9) | 0.012 |
| Yes | 285 (82.37) | 39 (90.7) | 136 (87.2) | 73 (73.0) | 37 (84.1) | |
| Unknown | 3 (0.86) | |||||
| Type of chemotherapy, N (%) | ||||||
| Carboplatin-based | 269 (94.7) | 38 (97.4) | 128 (94.8) | 68 (93.2) | 35 (94.6) | 0.816 |
| Cisplatin-based | 15 (5.3) | 1 (2.6) | 7 (5.2) | 5 (6.8) | 2 (5.4) | |
| Contra-lateral lung metastasis, N (%) | ||||||
| No | 173 (50.0) | 21 (47.7) | 86 (54.8) | 46 (45.5) | 20 (45.5) | 0.442 |
| Yes | 173 (50.0) | 23 (52.3) | 71 (45.2) | 55 (54.5) | 24 (54.5) | |
| Lymph node metastasis, N (%) | ||||||
| No | 147 (42.5) | 21 (47.7) | 65 (41.4) | 42 (41.6) | 19 (43.2) | 0.894 |
| Yes | 199 (57.5) | 23 (52.3) | 92 (58.6) | 59 (58.4) | 25 (56.8) | |
| Pleural metastasis, N (%) | ||||||
| No | 281 (81.2) | 35 (79.5) | 125 (79.6) | 81 (80.2) | 40 (90.9) | 0.373 |
| Yes | 65 (18.8) | 9 (20.5) | 32 (20.4) | 20 (19.8) | 4 (9.1) | |
| Pericardial metastasis, N (%) | ||||||
| No | 337 (97.4) | 44 (100.0) | 155 (98.7) | 96 (95.0) | 42 (95.5) | 0.163 |
| Yes | 9 (2.6) | 0 (0) | 2 (1.3) | 5 (5.0) | 2 (4.5) | |
| Brain metastasis, N (%) | ||||||
| No | 285 (82.4) | 37 (84.1) | 130 (82.8) | 84 (83.2) | 34 (77.3) | 0.815 |
| Yes | 61 (17.6) | 7 (15.9) | 27 (17.2) | 17 (16.8) | 10 (22.7) | |
| Bone metastasis, N (%) | ||||||
| No | 240 (69.4) | 29 (65.9) | 118 (75.2) | 64 (63.4) | 29 (65.9) | 0.196 |
| Yes | 106 (30.6) | 15 (34.1) | 39 (24.8) | 37 (36.6) | 15 (34.1) | |
| Adrenal metastasis, N (%) | ||||||
| No | 299 (86.4) | 38 (86.4) | 133 (84.7) | 91 (90.1) | 37 (84.1) | 0.624 |
| Yes | 47 (13.6) | 6 (13.6) | 24 (15.3) | 10 (9.9) | 7 (15.9) | |
| Liver metastasis, N (%) | ||||||
| No | 303 (87.6) | 38 (86.4) | 137 (87.3) | 89 (88.1) | 39 (88.6) | 0.986 |
| Yes | 43 (12.4) | 6 (13.6) | 20 (12.7) | 12 (11.9) | 5 (11.4) | |
| Spleen metastasis, N (%) | ||||||
| No | 343 (99.1) | 44 (100.0) | 155 (98.7) | 100 (99.0) | 44 (100.0) | 0.780 |
| Yes | 3 (0.9) | 0 (0) | 2 (1.3) | 1 (1.0) | 0 (0) | |
| PD-L1 expression, N (%) | ||||||
| <1% | 127 (36.7) | 12 (27.3) | 54 (34.4) | 39 (38.6) | 22 (50.0) | 0.315 |
| 1–49% | 90 (26.0) | 16 (36.4) | 42 (26.8) | 24 (23.8) | 8 (18.2) | |
| >50% | 129 (37.3) | 16 (36.4) | 61 (38.9) | 38 (37.6) | 14 (31.8) | |
| Tumor mutational burden | ||||||
| Median (range) | 7.0 (0.95–75) | 5.90 (0.95–27.16) | 8.61 (1.0–41.10) | 6.60 (0.95–75.0) | 7.85 (1.0–19.0) | 0.132 |
| Unknow | 127 (36.7) | 11 (25.0) | 57 (36.3) | 41 (40.6) | 18 (40.9) | |
| FGFR molecular status, N (%) | ||||||
| Wild type | 334 (96.5) | 42 (95.5) | 151 (96.2) | 97 (96.0) | 44 (100.0) | 0.601 |
| Mutant | 12 (3.5) | 2 (4.5) | 6 (3.8) | 4 (4.0) | 0 (0) | |
| KRAS molecular status, N (%) | ||||||
| Wild type | 281 (81.2) | 31 (70.5) | 132 (84.1) | 81 (80.2) | 37 (84.1) | 0.213 |
| Mutant | 65 (18.8) | 13 (29.5) | 25 (15.9) | 20 (19.8) | 7 (15.9) | |
| STK-11 molecular status, N (%) | ||||||
| Wild type | 322 (93.1) | 42 (95.5) | 141 (89.8) | 97 (96.0) | 42 (95.5) | 0.192 |
| Mutant | 24 (6.9) | 2 (4.5) | 16 (10.2) | 4 (4.0) | 2 (4.5) | |
| TP-53 molecular status, N (%) | ||||||
| Wild type | 268 (77.5) | 38 (86.4) | 121 (77.1) | 74 (73.3) | 35 (79.5) | 0.371 |
| Mutant | 78 (22.5) | 6 (13.6) | 36 (22.9) | 27 (26.7) | 9 (20.5) |
| Variable | Adjusted HR for PFS; CI 95% | p-Value for PFS | Adjusted HR for OS; CI 95% | p-Value for OS |
|---|---|---|---|---|
| Body mass index | ||||
| Normal weight | 1 | 1 | ||
| Underweight | 0.89; 0.65–1.22 | 0.467 | 0.90; 0.65–1.24 | 0.515 |
| Overweight | 0.94; 0.75–1.18 0.86 | 0.587 | 0.87; 0.68–1.12 | 0.280 |
| Obese | 0.67–1.11 | 0.239 | 0.86; 0.65–1.13 | 0.265 |
| Histology | ||||
| Adenocarcinoma | 1 | 1 | ||
| Squamous cell | 1.57; 1.02–2.43 | 0.042 | 1.23; 0.79–1.92 | 0.353 |
| carcinoma | ||||
| Adeno-squamous | 1.19; 0.74–1.90 | 0.474 | 1.11; 0.69–1.80 | 0.651 |
| Other | 0.95; 0.38–2.38 | 0.916 | 1.17; 0.46–2.94 | 0.747 |
| Gender | ||||
| Female | 1 | 1 | ||
| Male | 1.25; 0.90–1.73 | 0.181 | 1.20; 0.84–1.71 | 0.308 |
| Age | ||||
| <70 | 1 | 1 | ||
| >70 | 0.91; 0.68–1.22 | 0.517 | 1.06; 0.77–1.47 | 0.718 |
| Smoking status | ||||
| Never | 1 | |||
| Current | 1.23; 0.92–1.64 | 0.161 | 1.30; 0.95–1.79 | 0.107 |
| Past | 0.98; 0.80–1.21 | 0.874 | 0.96; 0.76–1.20 | 0.704 |
| ECOG | ||||
| 0–1 | 1 | 1 | ||
| 2+ | 1.77; 1.24–2.54 | 0.002 | 1.80; 1.21–2.68 | 0.004 |
| Chemotherapy | ||||
| No | 1 | 1 | ||
| Yes | 1.81; 1.14–2.88 | 0.013 | 2.23; 1.33–3.75 | 0.002 |
| Type of Immunotherapy | ||||
| Ipilimumab and | 1 | 1 | ||
| Nivolumab | ||||
| Pembrolizumab | 0.72; 0.51–1.02 | 0.066 | 0.64; 0.43–0.94 | 0.022 |
| PD-L1 expression | ||||
| <1% | 1 | 1 | ||
| 1–49% | 1.17; 0.94–1.45 | 0.160 | 1.09; 0.85–1.39 | 0.510 |
| >50% | 0.97; 0.78–1.20 | 0.777 | 0.99; 0.78–1.25 | 0.921 |
| Contra-lateral lung metastasis | ||||
| No | 1 | 1 | ||
| Yes | 1.28; 0.95–1.71 | 0.10 | 1.45; 1.04–2.01 | 0.027 |
| Lymph node metastasis | ||||
| No | 1 | 1 | ||
| Yes | 0.76; 0.57–1.02 | 0.071 | 0.78; 0.56–1.08 | 0.135 |
| Brain metastasis | ||||
| No | 1 | 1 | ||
| Yes | 0.99; 0.68–1.43 | 0.951 | 0.98; 0.65–1.48 | 0.927 |
| Liver metastasis | ||||
| No | 1 | 1 | ||
| Yes | 1.95; 1.32–2.88 | <0.001 | 1.99; 1.28–3.08 | 0.002 |
Disclaimer/Publisher’s Note: The statements, opinions and data contained in all publications are solely those of the individual author(s) and contributor(s) and not of MDPI and/or the editor(s). MDPI and/or the editor(s) disclaim responsibility for any injury to people or property resulting from any ideas, methods, instructions or products referred to in the content. |
© 2025 by the authors. Licensee MDPI, Basel, Switzerland. This article is an open access article distributed under the terms and conditions of the Creative Commons Attribution (CC BY) license (https://creativecommons.org/licenses/by/4.0/).
Share and Cite
Shalata, W.; Gothelf, I.; Dudnik, Y.; Cohen, A.Y.; Abu Jama, A.; Liba, T.; Dan, O.; Tourkey, L.; Shalata, S.; Agbarya, A.; et al. Correlation Between Body Mass Index and Immunotherapy Response in Advanced NSCLC. Cancers 2025, 17, 1149. https://doi.org/10.3390/cancers17071149
Shalata W, Gothelf I, Dudnik Y, Cohen AY, Abu Jama A, Liba T, Dan O, Tourkey L, Shalata S, Agbarya A, et al. Correlation Between Body Mass Index and Immunotherapy Response in Advanced NSCLC. Cancers. 2025; 17(7):1149. https://doi.org/10.3390/cancers17071149
Chicago/Turabian StyleShalata, Walid, Itamar Gothelf, Yulia Dudnik, Ahron Yehonatan Cohen, Ashraf Abu Jama, Tom Liba, Ofir Dan, Lena Tourkey, Sondos Shalata, Abed Agbarya, and et al. 2025. "Correlation Between Body Mass Index and Immunotherapy Response in Advanced NSCLC" Cancers 17, no. 7: 1149. https://doi.org/10.3390/cancers17071149
APA StyleShalata, W., Gothelf, I., Dudnik, Y., Cohen, A. Y., Abu Jama, A., Liba, T., Dan, O., Tourkey, L., Shalata, S., Agbarya, A., Meirovitz, A., & Yakobson, A. (2025). Correlation Between Body Mass Index and Immunotherapy Response in Advanced NSCLC. Cancers, 17(7), 1149. https://doi.org/10.3390/cancers17071149

