Simple Summary
The authors assessed the Health-Related Quality of Life (HRQoL) among survivors of follicular lymphoma and diffuse large B-cell lymphoma 5–14 years post-diagnosis. This population-based study used data from three registries specialized in hematological malignancies in France. The data collected were compared to those of a normative general French cohort. Overall, 493 survivors completed the validated questionnaires and reported lower HRQoL compared to the general French population. Older age, underweight or obesity, comorbidities, anxiety, depression, and sexual satisfaction problems found to be the main factors associated with poorer HRQoL. Findings suggest taking account these factors for guiding supportive care and engaging in specific health promotion interventions.
Abstract
Background/Objectives: Non-Hodgkin lymphoma (NHL) represents 63% of all hematological malignancies in France, with diffuse large B-cell lymphoma (DLBCL) and follicular lymphoma (FL) being the two most frequent forms. With the improvement of therapeutics, the issue of health-related quality of life (HRQoL) is becoming increasingly crucial for these patients. The aim was to compare HRQoL of NHL survivors with that of the general French population and to identify factors associated with HRQoL in NHL survivors. Methods: We conducted a population-based study among living patients from three registries of hematological malignancies, using standardized questionnaires, including the SF-12, in September 2023. The data collected were compared to those of a normative general French cohort. Results: In total, 493 patients completed the study questionnaires, yielding a response rate of 36%. The median time since diagnosis was 8 years (IQR 6–10) These NHL survivors reported lower HRQoL compared to the general French population, except in terms of bodily pain (p < 0.01). Each one-year increase in the time since diagnosis was associated with an increase in social functioning (p = 0.009). Men had better general health (p = 0.01) and less bodily pain (p = 0.007) than women. Higher income was associated with better HRQoL (p < 0.01). Underweight or obesity were associated with poorer physical functioning (p = 0.008). The presence of comorbidities, socioeconomic deprivation, anxiety, and depression were associated with poorer HRQoL (p < 0.01). Conclusions: This study provides valuable information of HRQoL values for comparison in further follow-up studies and proposes measures that could be implemented to improve the HRQoL of NHL survivors.
1. Introduction
In France, hematological malignancies represented 12% of all new cases of cancer in 2018, and 63% of them were non-Hodgkin lymphomas (NHL) [1]. Five-year net survival over the period from 1989 to 2018 was increased more than 20% in follicular lymphoma (FL) and diffuse large B-cell lymphoma (DLBCL), with 86% for FL and 61% for DLBCL in 2018 [2,3]. Improved treatment efficacy likely explains these increases. Indeed, during this period, the addition of a monoclonal antibody against CD20 (mostly rituximab) to CHOP chemotherapy (cyclophosphamide, doxorubicin, vincristine, prednisone) became the gold-standard treatment for NHL. After relapse, intensive chemotherapy with autologous stem-cell transplant is recommended [4,5,6]. However, treatment-related toxicities, such as cytopenia, neuropathies, or sexual problems, impact general health, thus affecting quality of life (QoL) [7,8,9] The issue of health-related QoL (HRQoL) is thus becoming increasingly crucial, in view of the increasing survival rates for FL and DLBCL. In fact, minimizing sequelae and enhancing HRQoL is one of the foci of the French national 10-year cancer strategy for 2021–2030 [10].
HRQoL has been investigated in several NHL clinical trials, but the results may not be applicable to the overall real-life population of NHL patients, due to the strict selection criteria applied in such studies [11]. Using data from cancer registries with a wide range of sociodemographics could be a better approach, as they are more likely to be representative of NHL survivors in that geographical area [12]. A population-based study, carried out by our group, using data from a French registry, reported that the main factors associated with poor HRQoL among NHL survivors were demographic, psychological, and economic problems, but not clinical factors [13]. However, the number of patients in this survey was small, prompting us to perform wider HRQoL investigations based on population data collected by several registries, in order to obtain an exhaustive and representative record of all cancer cases occurring in the area covered, thus limiting selection bias.
In this context, using data from the three registries specialized in hematological malignancies in France, the aim of the present study was to compare the HRQoL of NHL survivors to that of the general French population and to identify factors impacting HRQoL in NHL survivors.
2. Materials and Methods
2.1. The Study Population
We conducted a population-based study using NHL survivors diagnosed between 2010 and 2018 and identified from three cancer registries specializing in hematological malignancies, namely in Côte d’Or, Gironde and Basse-Normandie, covering 5 French administrative Departments with a total of 3,693,712 inhabitants in 2023—5% of French population. The diagnosis of NHL was made according to the third edition of the International Classification of Diseases for Oncology codes (ICD-O-3) considering FL (9690/3, 9691/3, 9695/3, 9698/3, 9597/3) and DLBCL (9678/3, 9679/3, 9680/3, 9684/3, 9688/3, 9712/3, 9735/3, 9737/3, 9738/3) [14]. Vital status was updated using the National Register of Identification of Physical Persons to exclude patients who had died before 1 September 2023. Other forms of hematological malignancies at diagnosis and patients younger than 18 years of age were not included in the study. Adults with an unavailable recent residential address, who were unable to express their consent, or who refused to participate were excluded.
2.2. Data Collection
A cross-sectional design was conducted with data collection at a specific period. In September 2023, a letter containing the information leaflet of the study, as well as the study questionnaires and a prepaid return envelope, was sent to the home of all eligible patients. Patients were informed that non-participation would not have any consequence on their follow-up care. Patients who accepted to participate in the study were invited to return the completed questionnaires to the Côte d’Or registry, which centralized all the data collection. A reminder letter was sent for patients who had not answered after two months. Returned questionnaires did not provide information on patient identity; rather, a randomly created numerical identifier was used to blindly link questionnaires to the mailing list.
2.3. Measurements
Demographic variables (age, sex, date of birth) and NHL characteristics (ICDO3 codes, date of diagnosis, Ann Arbor stage) were collected from the registries databases.
The study outcome was HRQoL, assessed by the French-language version of the 12-item Short-Form health survey (SF-12), which is a generic questionnaire used for patients with cancer and normative populations. The SF-12 questionnaire generated eight scales and two summary components (physical and mental). All scale scores ranged from 0 to 100, with higher scores representing a better level of HRQoL. The SF-12 scores for respondent patients were compared to scores matched for gender and age from a normative French population (N = 25,931) [15]. Minimal clinically important differences were determined for each scale with the following rules: ≥2 points for role physical functioning; ≥3 points for physical functioning, social functioning, bodily pain, general health, vitality, mental health and component scales; ≥4 points for role emotional functioning [16].
Other sociodemographic, clinical and psychosocial characteristics were collected by questionnaires based on risk factors for HRQoL described in the literature [13].
Anxiety and depression were assessed by the validated Hospital Anxiety and Depression Scale (HADS) questionnaire, adapted in French in 1989 by Lepine et al. [17]. In this tool, total scores ranged from 0 to 21; a score greater than 11 indicates the presence of symptoms.
Social support was assessed by the validated 6-item Social Support Questionnaire (SSQ6) adapted in French by Rascle et al. in 2005 [18]. This questionnaire measured the availability of social support, on a scale of 0 to 54 and satisfaction with that support, on a scale from 6 to 36. Higher scores represent better perceived social support.
Social deprivation was determined by the validated French EPICES [19] questionnaire (“Assessment of Precariousness and Health Inequalities for Health Examination Centers”). The score ranges from 0 to 100; a score > 30 indicates social deprivation.
Sexuality was estimated by the EORTC Sexual Health Questionnaire (EORTC SHQ-22). It is composed of 2 multi-item scales to assess sexual satisfaction and sexual pain and 11 single-symptom items, with calculated scores ranging from 0 to 100. A higher score represents a higher level of symptoms or concerns [20].
Self-esteem was assessed using the Rosenberg questionnaire, validated in French [21]. It is composed of 10 items that generate a score between 10 and 40. A score < 31 indicates low self-esteem.
Other questions concerned income, educational level, alcohol consumption, smoking status, marital status, comorbidities, and weight and height computed into body mass index (BMI), which was then categorized into 4 classes according to the WHO recommendations [22], namely underweight: <18.5 kg/m2; normal weight: 18.5–25 kg/m2; pre-obesity: 25–30 kg/m2; and obesity: ≥30 kg/m2.
2.4. Statistical Analyses
Non-respondents and respondents were compared based on available characteristics from each cancer registry (age, time since diagnosis, gender, NHL sub-type, Ann Arbor stage, treatment, administrative department). For significantly different variables, an adjustment was performed including these variables in all multivariate analyses. All characteristics of respondents are described according to NHL sub-types. Data are described as mean and standard deviation (SD) or median and interquartile (IQR) for continuous variables, and as number and percentage for categorical variables. Mann–Whitney tests were used to compare continuous variables, and the chi square test was used for categorical variables. Student t-tests were used to compare each scale of HRQoL scores of respondent patients with those of the normative French population. p-values < 0.05 were considered statistically significant.
A multivariable regression model was used to assess statistical associations between each scale of HRQoL and sociodemographic (age as a continuous variable, gender, education level, income), lifestyle (smoking, alcohol consumption, sexual satisfaction problems), clinical (Ann Arbor stage, time since diagnosis as a continuous variable, comorbidities, BMI), and psychosocial factors (anxiety, depression, self-esteem, social satisfaction, economic deprivation). Correlations were tested between candidate variables at a statistically significant threshold of 0.05. The backward elimination method was applied, and a p-value < 0.157 was used to select predictor variables in the final multivariable models [23]. Mixed models were used in the multivariable model to account for the random effect of place of residence. A p-value < 0.01 was considered statistically significant for multivariable analyses.
All analyses were performed using SAS version 9.4 (SAS Institute Inc., Cary, NC, USA) and R version 4.3.1.
3. Results
In total, 1379 patients were eligible for the study and were contacted, of whom 493 returned the questionnaires, yielding a response rate of 36% (Figure 1). Table 1 shows the comparison between non-respondents and respondents. Among respondents, the median age was 67 years (IQR 58–75), and the median time since diagnosis was 8 years (IQR 6–10). Non-respondents were significantly different from respondents in terms of time since diagnosis (p = 0.007) and administrative residence (p < 0.001).
Figure 1.
Flow chart of study.
Table 1.
Comparison of characteristics between non-respondents and respondents.
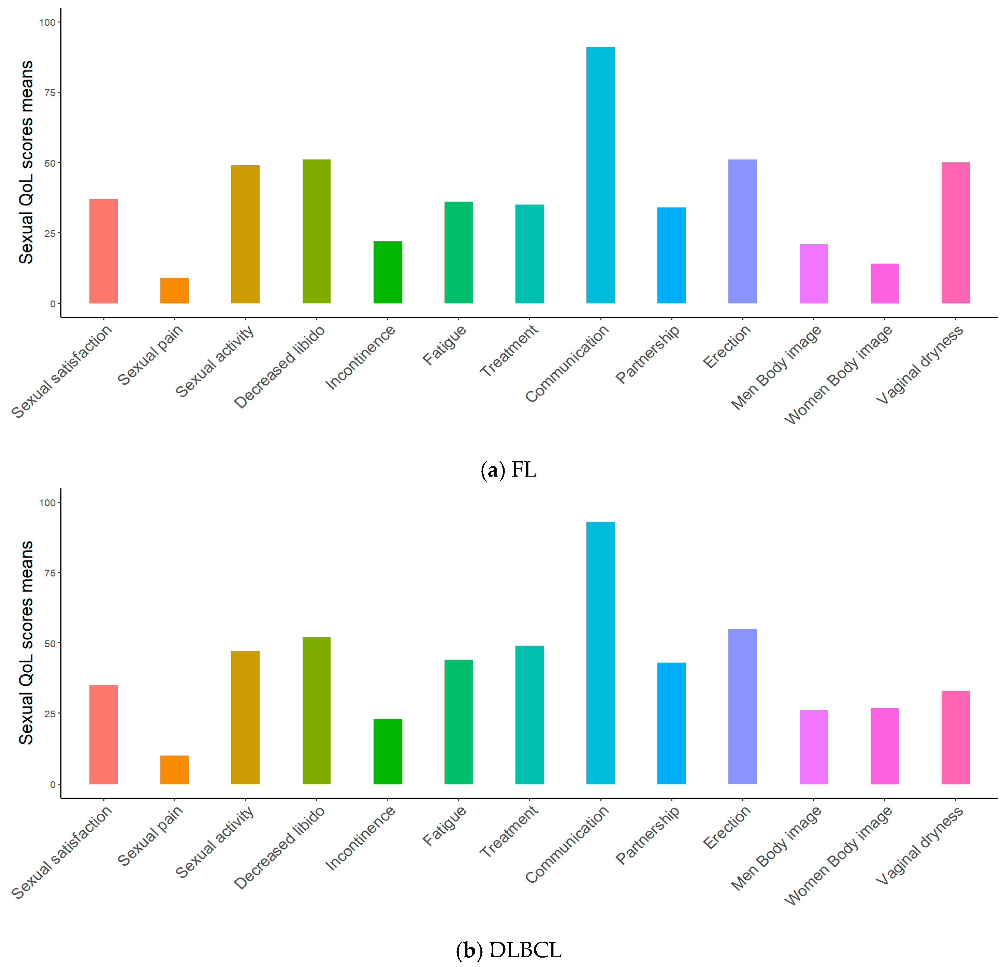
Among the characteristics of the respondents, DLBCL survivors were significantly different from FL survivors only in terms of R-CHOP chemotherapy (100% vs. 86%, p < 0.001; Table 2). Over half of respondents were men (56%), two-thirds were diagnosed with Ann Arbor stage III–IV (65%), more than half had no comorbidities (53%), income was between EUR 1500 and EUR 3000 per month in 43%, less than half had high self-esteem (48%), and the majority did not suffer from anxiety (82%) or depression (91%). Figure 2 indicates the sexual health parameters of respondents overall and according to NHL subtype. As shown in Figure 2a, for all respondents, the mean score for problems with sexual satisfaction was 37/100, while the mean score for communication problems about sexuality was 92/100. Respondents’ HRQoL scores were compared to those from the normative French population, matched for gender and age (Figure 3). All respondents had lower scores than the normative population on all subscales of HRQoL, except for bodily pain, regardless of NHL subtype (A. Overall: 71 vs. 66, p = 0.002; B. FL: 72 vs. 66, p = 0.01; C. DLBCL: 71 vs. 66, p = 0.04).
Table 2.
Demographic, clinical, psychological, and socioeconomic characteristics of the study participants (N = 493).
Figure 2.
Subscale scores of sexual health in survivors of follicular lymphoma (a) and diffuse large B-cell lymphoma (b). High scores indicate a high level of symptomatology or concern.
Figure 3.
Subscale scores of the SF-12 questionnaire in the normative population matched for age and sex with survivors of follicular lymphoma (a) and diffuse large B-cell lymphoma (b). GH: general health; PF: physical functioning; RP: role limitations/physical health; RE: role limitations/emotional problems; BP: bodily pain; MH: mental health; VT: vitality; SF: social functioning. HRQoL: health-related quality of life. Higher scores indicate better HRQoL. * Significant differences at p-value < 0.05.
Table 3 reports the factors associated with the subscales of HRQoL by multivariable analysis using a mixed model. A one-year increase in age was associated with a significant decrease in general health (β = −0.2, p = 0.0001), physical scores (β = −0.3, p = 0.009), emotional scores (β = −0.2, p = 0.006), and bodily pain (β = −0.3, p = 0.004). A one-year increase in time since diagnosis was associated with an increase in social functioning (β = 1.2, p = 0.009). Men had better general health (β = 4.2, p = 0.01) and less bodily pain (β = 6.8, p = 0.007) than women. Higher income was associated with better HRQoL (p < 0.01). An increase in problems with sexual satisfaction was associated with poorer HRQoL (p < 0.01). Underweight and obesity were both associated with poorer physical functioning (p = 0.008). The presence of comorbidities, socioeconomic deprivation, anxiety, and depression were associated with poorer HRQoL (p < 0.01).
Table 3.
Multivariable models to assess factors associated to HRQoL for each scale of the SF-12 questionnaire.
4. Discussion
In this population-based study, the HRQoL of NHL patients was evaluated extensively and compared to that of a French normative population, assessing demographic, clinical, socioeconomic, and psychological factors. We found that a longer time since diagnosis, male gender, and higher income were associated with better HRQoL in NHL patients. Conversely, older age, underweight or obesity, comorbidities, socioeconomic issues, anxiety, depression, and sexual satisfaction problems were associated with poorer HRQoL.
Comparison with the normative French population showed that the mean scores on all subscales of the SF-12 questionnaire were lower in the patient population, except for bodily pain. This trend has been reported in other studies and could be explained by the response-shift phenomenon, which is a change in the meaning of one’s self-evaluation of a target construct as a result of a change in the respondent’s internal standards of measurement, a change in the respondent’s values, or a redefinition of the target construct, being, in our study, the pain [13,14,15,16,17,18,19,20,21,22,23,24]. Indeed, patients are shown to redefine their internal standards in terms of symptoms according to their individual experience of the disease [25]. Moreover, clinically meaningful differences were observed between overall participants and the normative population for bodily pain, vitality, social functioning, and physical and emotional subscales [16,26].
Income is known to be a significant predictor of QoL, and people with higher income report better QoL. Indeed, a one-unit increase in income has been reported to increase scores on the mental health scale [27]. This was confirmed in our study, highlighting the issue of social inequalities. Targeted interventions are warranted in this domain to reinforce equity. It was also observed that men had better general health than women. Hjermstad et al. also found that women reported a lower overall health status [28], using the specific QLQC-30. These observations stress the need to take gender into account when health intervention strategies are planned for NHL survivors.
Increasing age was shown to be associated with poorer HRQoL, which is consistent with other reports [29]. Aging is characterized by physiological changes that can result in the occurrence of several diseases. Multimorbidity can result from a number of interrelated factors, such as the presence of one disease increasing the risk of developing another [30]. Aging and multimorbidity contribute to patient frailty and reduced HRQoL. However, in the present study, the multivariable analysis was adjusted for comorbidities, yet age was still found to be statistically significantly associated HRQoL, implying the need to take age into consideration in patient management.
Underweight or obesity and comorbidities were found to be associated with poorer HRQoL. Being overweight is a risk factor for many diseases, contributing to comorbidities such as coronary heart disease, heart failure, and stroke [31]. In cancer survivors, obesity has also been shown to be associated with a deterioration in HRQoL [32], and the well-established general recommendation of moderate to high levels of physical activity to maintain physical health also improves HRQoL in NHL survivors [33]. A longer time since diagnosis was associated with better social functioning. Strouse et al. [34] reported that whatever the history of treatment, with or without autologous hematopoietic cell transplantation, patients with aggressive lymphoma in remission at 3 and 6 years after diagnosis had a higher level of HRQoL [34]. Further studies using the cure model should assess whether cure is clinically meaningful. In the previous study by our group [13] that involved 157 NHL survivors, the presence of psychological factors, namely anxiety and depression, was found to be associated with poorer HRQoL. In the present study, with 493 NHL survivors, the strength of this finding is enhanced, strongly confirming the impact of psychological factors on poorer HRQoL. These results highlight the need for supportive psychological care on top of primary or specialty-related palliative care to improve HRQoL in NHL survivors [35,36]. Sexual problems are one of the most frequent consequences of cancer treatment and may persist for a long time, negatively impacting on HRQoL [8]. Here, the lack of communication about sexuality and the poorer HRQoL of overall survivors with sexual satisfaction problems was clearly highlighted. This indicates the need for caregivers to take communication about sexual concerns into account, in order to improve the HRQoL of NHL survivors.
One of the main strengths of this study is the use of multicenter data from three population-based cancer registries, covering a large population representative of NHL survivors, limiting selection bias. Other strengths are the long follow-up time since diagnosis, the adjustment for clinical factors in the multivariable analysis, the use of validated HRQoL questionnaires, and the comparison of HRQoL scores between overall survivors and the normative French population. This study provides reference HRQoL values among NHL survivors that could be used in other HRQoL studies, notably the real-life follow-up REALYSA [37] study (national study of lymphomas). Limitations of the study include, firstly, a response rate of 36%, which raises questions about the reasons why participants did not respond to the questionnaires. In elderly patients, cognitive problems, comorbidities, and poorer compliance with questionnaires may explain this rather low response rate [38], although it still yielded a highly informative and large population. Secondly, non-availability of a recent residential address contributed to the low rate of response. This is indeed one of the challenges of conducting studies from population-based data [12]. Moreover, the unavailability of R-CHOP chemotherapy duration and intensity was a limitation. Finally, the cross-sectional design of the study precludes any causal inferences between the factors identified and HRQoL. Further studies are required to investigate factors associated with HRQoL longitudinally.
5. Conclusions
At 5–14 years post-diagnosis, NHL survivors were shown to have poorer HRQoL than a French normative population, except in terms of bodily pain. Several key factors associated with poorer HRQoL in NHL survivors were identified. Moreover, our findings offer insights to physicians regarding the factors associated with HRQoL, which could be useful for guiding supportive care and engaging in specific health promotion interventions.
Author Contributions
S.K.W. (conceptualization, methodology, software, validation, formal analysis, investigation, resources, data curation, writing—original draft, writing—review and editing, visualization, project administration, funding acquisition), E.A. (software, formal analysis), S.O. (resources, writing—review and editing), K.M.A. (software, formal analysis), C.R. (writing—review and editing), A.G. (writing—review and editing), S.G. (Sophie Gauthier) (resources), S.G. (Stéphanie Girard) (resources), J.-M.P. (resources), G.D. (writing—review and editing), X.T. (writing—review and editing), A.M. (writing—review and editing), S.T.D.-Y. (conceptualization, methodology, formal analysis, writing—original draft, supervision), M.M. (conceptualization, methodology, writing—original draft, supervision, project administration, funding acquisition). All authors have read and agreed to the published version of the manuscript.
Funding
This research was supported by Santelys association and the hematological malignancy registry of the Côte d’or, which is funded by the French National Cancer Institute.
Institutional Review Board Statement
The study was conducted in accordance with the Declaration of Helsinki and approved on 5 October 2022 by the Ethics committee “Comité de Protection des Personnes Sud-Est III” under the number 2022-A01761-42.
Informed Consent Statement
Informed consent was obtained from all subjects involved in the study.
Data Availability Statement
The data underlying this article will be shared on reasonable request to the corresponding author.
Acknowledgments
We thank Fiona Ecarnot (EA3920, University of Franche-Comté, Besancon, France), and Marie Christine Bene for editorial assistance.
Conflicts of Interest
The authors declare no conflicts of interest.
References
- Defossez, G.; Le Guyader-Peyrou, S.; Uhry, Z.; Grosclaude, P.; Colonna, M.; Dantony, E.; Delafosse, P.; Molinié, F.; Woronoff, A.-S.; Bouvier, A.-M.; et al. National estimates of cancer incidence and mortality in metropolitan France between 1990 and 2018. Study based on the French network of cancer registries, Francim. Overview. September 2019. Available online: https://www.santepubliquefrance.fr/content/download/190600/2335091 (accessed on 29 April 2024).
- Monnereau, A.; Cornet, E.; Maynadié, M.; Mounier, M.; Troussard, X.; Orazio, S.; Lecoffre, C.; De Brauer, C.; Coureau, G.; Trétarre, B. Survival of people with cancer in France 1989–2018, Diffuse Large B-Cell Lymphoma; study based on Francim cancer registries. Available online: https://www.santepubliquefrance.fr/docs/survie-des-personnes-atteintes-de-cancer-en-france-metropolitaine-1989-2018-lymphome-diffus-a-grandes-cellules-b (accessed on 29 April 2024). (In French).
- Monnereau, A.; Cornet, E.; Maynadié, M.; Mounier, M.; Troussard, X.; Orazio, S.; Lecoffre, C.; De Brauer, C.; Coureau, G.; Trétarre, B. Survival of people with cancer in france 1989–2018, Follicular Lymphoma; study based on Francim cancer registries. Available online: https://www.santepubliquefrance.fr/docs/survie-des-personnes-atteintes-de-cancer-en-france-metropolitaine-1989-2018-lymphome-folliculaire (accessed on 29 April 2024). (In French).
- Hamlin, P.A.; Satram-Hoang, S.; Reyes, C.; Hoang, K.Q.; Guduru, S.R.; Skettino, S. Treatment patterns and comparative effectiveness in elderly Diffuse Large B-Cell Lymphoma patients: A surveillance, epidemiology, and end results-medicare analysis. Oncologist 2014, 19, 1249–1257. [Google Scholar] [CrossRef] [PubMed]
- Apostolidis, J.; Mokhtar, N.; Al Omari, R.; Darweesh, M.; Al Hashmi, H. Follicular lymphoma: Update on management and emerging therapies at the dawn of the new decade. Hematol. Oncol. 2020, 38, 213–222. [Google Scholar] [CrossRef] [PubMed]
- Cerny, T.; Gillessen, S. Advances in the treatment of non-Hodgkin’s lymphoma. Ann. Oncol. 2002, 13, 211–216. [Google Scholar] [CrossRef] [PubMed]
- Doorduijn, J.; Buijt, I.; Holt, B.; Steijaert, M.; Uyl-de Groot, C.; Sonneveld, P. Self-reported quality of life in elderly patients with aggressive non-Hodgkin’s lymphoma treated with CHOP chemotherapy. Eur. J. Haematol. 2005, 75, 116–123. [Google Scholar] [CrossRef]
- Kim, I.R.; Kim, S.H.; Ok, O.N.; Kim, S.H.; Lee, S.; Choi, E.; Kim, S.J.; Yoon, D.K.; Lee, M.H. Sexual problems in male vs. female non-Hodgkin lymphoma survivors: Prevalence, correlates, and associations with health-related quality of life. Ann. Hematol. 2017, 96, 739–747. [Google Scholar] [CrossRef]
- Kim, B.-J.; Park, H.-R.; Roh, H.J.; Jeong, D.S.; Kim, B.S.; Park, K.-W.; Cho, S.C.; So, Y.T.; Oh, S.Y.; Kim, S.J. Chemotherapy-related polyneuropathy may deteriorate quality of life in patients with B-cell lymphoma. Qual. Life Res. 2010, 19, 1097–1103. [Google Scholar] [CrossRef]
- 2021–2030 France Ten-Year Cancer-Control Strategy 2021–2025 Roadmap Progress for All, Hope for the Future. Available online: https://sante.gouv.fr/IMG/pdf/2021-2030_france_ten-year_cancer-control_strategy_2021-2025_roadmap.pdf (accessed on 29 April 2024).
- Jerkeman, M.; Kaasa, S.; Hjermstad, M.; Kvaløy, S.; Cavallin-Stahl, E. Health-related quality of life and its potential prognostic implications in patients with aggressive lymphoma: A Nordic Lymphoma Group Trial. Med. Oncol. 2001, 18, 85–94. [Google Scholar] [CrossRef]
- Arora, N.K.; Hamilton, A.S.; Potosky, A.L.; Rowland, J.H.; Aziz, N.M.; Bellizzi, K.M.; Klabunde, C.N.; McLaughlin, W.; Stevens, J. Population-based survivorship research using cancer registries: A study of non-Hodgkin’s lymphoma survivors. J. Cancer Surviv. 2007, 1, 49–63. [Google Scholar] [CrossRef]
- Wasse, S.K.; Mounier, M.; Assogba, E.; Rossi, C.; Adnet, J.; Gauthier, S.; Girard, S.; Atsou, K.M.; Dabakuyo-Yonli, T.S.; Manadie, M. Factors affecting Health-Related Quality of Life among survivors of Non-Hodgkin Lymphoma: A Population-based study. Cancers 2023, 15, 3885. [Google Scholar] [CrossRef]
- Fritz, A.; Percy, C.; Jack, A.; Shanmugaratnam, K.; Sobin, L.; Parkin, D.M.; Whelan, S. International Classification of Diseases for Oncology, 3rd ed.; WHO: Geneva, Switzerland, 2000. [Google Scholar]
- Health Status in France in 2003 Perceived Health, Declared Morbidity and Health Care Utilization Using the Decennial Health Survey. Available online: https://www.bnsp.insee.fr/ark:/12148/bc6p07004w4.pdf (accessed on 29 April 2024). (In French).
- Ware, J.E.; Kosinski, M.A.; Dewey, J.E. How to Score Version 2 of the SF-36 Health Survey; Lincoln; Quality Metric Inc.: Johnston, RI, USA, 2000. [Google Scholar]
- Lepine, J.P.; Godchau, M.; Brun, P. Anxiety and depression in inpatients. Lancet 1985, 2, 1425–1426. [Google Scholar] [CrossRef]
- Rascle, N.; Bruchon-Schweitzer, M.; Sarason, I.G. Short form of Sarason’s Social Support Questionnaire: French adaptation and validation. Psychol. Rep. 2005, 97, 195–202. [Google Scholar] [CrossRef] [PubMed]
- Sass, C.; Moulin, J.J.; Gueguen, R.; Abric, L.; Dauphinot, V.; Dupre, C.; Giordanella, J.P.; Girard, F.; Guenot, C.; Labbe, E.; et al. The Epices score: An individual score of deprivation. Score construction and measurement of relationships with health data, in a population of 197389. Bull. Epidemiol. Hebd. 2006, 14, 93–96. [Google Scholar]
- Oberguggenberger, A.S.; Nagele, E.; Inwald, E.C.; Tomaszewski, K.; Lanceley, A.; Nordin, A.; Creutzberg, C.L.; Kuljanic, K.; Kardamakis, D.; Schmalz, C.; et al. Phase 1–3 of the cross-cultural development of an EORTC questionnaire for the assessment of sexual health in cancer patients: The EORTC SHQ-22. Cancer Med. 2018, 7, 635–645. [Google Scholar] [CrossRef] [PubMed]
- Vallieres, E.F.; Vallerand, R.J. French Canadian translation and validation of the Rosenberg self-esteem scale. Int. J. Psychol. 1990, 25, 305–316. [Google Scholar] [CrossRef]
- World Health Organization. Obesity: Preventing and Managing the Global Epidemic. Report of a WHO Consultation. 2000. Available online: https://apps.who.int/iris/handle/10665/42330 (accessed on 29 April 2024).
- Heinze, G.; Dunkler, D. Five myths about variable selection. Transpl. Int. 2017, 30, 6–10. [Google Scholar] [CrossRef]
- Mols, F.; Aaronson, N.K.; Vingerhoets, A.J.J.M.; Coebergh, J.-W.W.; Vreugdenhil, G.; Lybeert, M.L.M.; Van de Poll-Franse, L.V. Quality of life among long-term non-Hodgkin lymphoma survivors: A population-based study. Cancer 2007, 109, 1659–1667. [Google Scholar] [CrossRef]
- Schwartz, C.E.; Bode, R.; Repucci, N.; Becker, J.; Sprangers, M.A.; Fayers, P.M. The clinical significance of adaptation to changing health: A meta-analysis of response shift. Qual. Life Res. 2006, 15, 1533–1550. [Google Scholar] [CrossRef]
- McHorney, C.A.; Ware, J.E., Jr.; Raczek, A.E. The MOS 36-Item Short-Form Health Survey (SF-36): II.Psychometric and clinical tests of validity in measuring physical and mental health constructs. Med. Care. 1993, 31, 247–263. [Google Scholar] [CrossRef]
- Larnyo, E.; Dai, B.; Nutakor, J.A.; Ampon-Wireko, S.; Larnyo, A.; Appiah, R. Examining the impact of socioeconomic status, demographic characteristics, lifestyle and other risk factors on adults’ cognitive functioning in developing countries: An analysis of five selected WHO SAGE Wave 1 Countries. Int. J. Equity Health 2022, 21, 31. [Google Scholar] [CrossRef]
- Hjermstad, M.J.; Fayers, P.M.; Bjordal, K.; Kaasa, S. Using reference data on quality of life—The importance of adjusting for age and gender, exemplified by the EORTC QLQ-C30 (+3). Eur. J. Cancer 1998, 34, 1381–1389. [Google Scholar] [CrossRef]
- Esbensen, B.A.; Osterlind, K.; Roer, O.; Hallberg, I.R. Quality of life of elderly persons with newly diagnosed cancer. Eur. J. Cancer Care 2004, 13, 443–453. [Google Scholar] [CrossRef] [PubMed][Green Version]
- Divo, M.J.; Martinez, C.H.; Mannino, D.M. Ageing and the epidemiology of multimorbidity. Eur. Respir. J. 2014, 44, 1055–1068. [Google Scholar] [CrossRef] [PubMed]
- Pi-Sunyer, F.X. Comorbidities of overweight and obesity: Current evidence and research issues. Med. Sci. Sports Exerc. 1999, 31, S602–S608. [Google Scholar] [CrossRef] [PubMed]
- Leach, M.J.; Barber, G.; Monacella, S.; Jamieson, P.; Trinh, T.; Vo, N.; Schmidt, U.; Byrne, A.; Ristevski, E. Physical activity, obesity, and quality of life among rural Australian cancer survivors: A cross-sectional study. Support Care Cancer 2023, 31, 222. [Google Scholar] [CrossRef]
- Vlooswijk, C.; Oerlemans, S.; Ezendam, N.P.M.; Schep, G.; Slot, S.; Thong, M.S.; Visser, P.A.J.; Beijer, S. Physical activity is associated with Health Related Quality of Life in lymphoma survivors regardless of body mass index; results from the Profiles registry. Nutr. Cancer 2022, 74, 158–167. [Google Scholar] [CrossRef]
- Strouse, C.S.; Larson, M.C.; Ehlers, S.L.; Yost, K.J.; Maurer, M.J.; Ansell, S.M.; Inwards, D.J.; Johnston, P.B.; Micallef, I.N.; Link, B.K. Long-term Health-Related Quality of Life of autologous hematopoietic cell transplantation patients and nontransplant patients with aggressive lymphoma: A prospective cohort analysis. JCO Oncol. Pract. 2022, 18, e1069–e1080. [Google Scholar] [CrossRef]
- Odejide, O.O. Strategies for introducing palliative care in the management of relapsed or refractory aggressive lymphomas. Hematol. Am. Soc. Hematol. Educ. Program 2020, 2020, 148–153. [Google Scholar] [CrossRef]
- Kleisiaris, C.; Maniou, M.; Karavasileiadou, S.; Constantin, T.; Konstantinidis, T.; Papathanasiou, V.; Tsaras, C.; Almegewly, W.H.; Androulakis Alshehri, H.H. Psychological distress and concerns of in-home older people living with cancer and their impact on supportive care needs: An observational survey. Curr. Oncol. 2023, 30, 9569–9583. [Google Scholar] [CrossRef]
- Ghesquières, H.; Rossi, C.; Cherblanc, F.; Le Guyader-Peyrou, S.; Bijou, F.; Sujobert, P.; Fabbro-perray, P.; Bernier, A.; Belot, A.; Chartier, L.; et al. A French multicentric prospective prognostic cohort with epidemiological, clinical, biological and treatment information to improve knowledge on lymphoma patients: Study protocol of the “REal world dAta in LYmphoma and survival in adults” (REALYSA) cohort. BMC Public Health 2021, 21, 432. [Google Scholar] [CrossRef]
- Di Maio, M.; Perrone, F. Quality of Life in elderly patients with cancer. Health Qual. Life Outcomes 2003, 1, 44. [Google Scholar] [CrossRef]
Disclaimer/Publisher’s Note: The statements, opinions and data contained in all publications are solely those of the individual author(s) and contributor(s) and not of MDPI and/or the editor(s). MDPI and/or the editor(s) disclaim responsibility for any injury to people or property resulting from any ideas, methods, instructions or products referred to in the content. |
© 2025 by the authors. Licensee MDPI, Basel, Switzerland. This article is an open access article distributed under the terms and conditions of the Creative Commons Attribution (CC BY) license (https://creativecommons.org/licenses/by/4.0/).


