Impact of Class III Obesity (Morbid Obesity) on the Perioperative, Functional, and Oncological Outcomes of Robotic-Assisted Radical Prostatectomy
Simple Summary
Abstract
1. Introduction
2. Materials and Methods
2.1. Endpoints
2.2. Propensity Score Matching
2.3. Statistical Analysis
3. Results
3.1. Patient Demographics
3.2. Intraoperative Parameters
3.3. Postoperative Parameters and Complications
4. Discussion
5. Conclusions
Supplementary Materials
Author Contributions
Funding
Institutional Review Board Statement
Informed Consent Statement
Data Availability Statement
Conflicts of Interest
References
- Bray, F.; Laversanne, M.; Sung, H.; Ferlay, J.; Siegel, R.L.; Soerjomataram, I.; Jemal, A. Global Cancer Statistics 2022: GLOBOCAN Estimates of Incidence and Mortality Worldwide for 36 Cancers in 185 Countries. CA. Cancer J. Clin. 2024, 74, 229–263. [Google Scholar] [CrossRef] [PubMed]
- WHO Obesity and Overweight 2024. Available online: https://www.who.int/news-room/fact-sheets/detail/obesity-and-overweight (accessed on 15 June 2024).
- Mistry, T.; Digby, J.E.; Desai, K.M.; Randeva, H.S. Obesity and Prostate Cancer: A Role for Adipokines. Eur. Urol. 2007, 52, 46–53. [Google Scholar] [CrossRef] [PubMed]
- Oh, J.J.; Jeong, S.J.; Lee, B.K.; Jeong, C.W.; Byun, S.; Hong, S.K.; Lee, S.E. Does Obesity Affect the Accuracy of Prostate-specific Antigen (PSA) for Predicting Prostate Cancer among Men Undergoing Prostate Biopsy. BJU Int. 2013, 112, E265–E271. [Google Scholar] [CrossRef] [PubMed]
- Blecha, S.; Harth, M.; Zeman, F.; Seyfried, T.; Lubnow, M.; Burger, M.; Denzinger, S.; Pawlik, M.T. The Impact of Obesity on Pulmonary Deterioration in Patients Undergoing Robotic-Assisted Laparoscopic Prostatectomy. J. Clin. Monit. Comput. 2019, 33, 133–143. [Google Scholar] [CrossRef]
- Abufaraj, M.; Mari, A.; Mansy, K.; Sievert, K.-D. Obesity and Its Implications on Oncological Urological Surgery. Curr. Opin. Urol. 2017, 27, 446–455. [Google Scholar] [CrossRef]
- Vidal, A.C.; Oyekunle, T.; Howard, L.E.; De Hoedt, A.M.; Kane, C.J.; Terris, M.K.; Cooperberg, M.R.; Amling, C.L.; Klaassen, Z.; Freedland, S.J.; et al. Obesity, Race, and Long-term Prostate Cancer Outcomes. Cancer 2020, 126, 3733–3741. [Google Scholar] [CrossRef]
- Asmar, R.; Beebe-Dimmer, J.L.; Korgavkar, K.; Keele, G.R.; Cooney, K.A. Hypertension, Obesity and Prostate Cancer Biochemical Recurrence after Radical Prostatectomy. Prostate Cancer Prostatic Dis. 2013, 16, 62–66. [Google Scholar] [CrossRef]
- Carbin Joseph, D.D.; Dranova, S.; Harrison, H.; Papanikolou, D.; Uribe, S.; Broe, M.; Adamou, C.; Whiting, D.; Frajkoulis, G.; Moschonas, D.; et al. Functional and Oncological Outcomes of Robot-Assisted Radical Prostatectomy in Obese Men: A Matched-Pair Analysis. J. Robot. Surg. 2023, 17, 2027–2033. [Google Scholar] [CrossRef]
- Sarychev, S.; Witt, J.H.; Wagner, C.; Oelke, M.; Schuette, A.; Liakos, N.; Karagiotis, T.; Mendrek, M.; Kachanov, M.; Graefen, M.; et al. Impact of Obesity on Perioperative, Functional and Oncological Outcomes after Robotic-Assisted Radical Prostatectomy in a High-Volume Center. World J. Urol. 2022, 40, 1419–1425. [Google Scholar] [CrossRef]
- Knipper, S.; Mazzone, E.; Mistretta, F.A.; Palumbo, C.; Tian, Z.; Briganti, A.; Saad, F.; Tilki, D.; Graefen, M.; Karakiewicz, P.I. Impact of Obesity on Perioperative Outcomes at Robotic-Assisted and Open Radical Prostatectomy: Results From the National Inpatient Sample. Urology 2019, 133, 135–144. [Google Scholar] [CrossRef]
- Luo, R.; Chen, Y.; Ran, K.; Jiang, Q. Effect of Obesity on the Prognosis and Recurrence of Prostate Cancer after Radical Prostatectomy: A Meta-Analysis. Transl. Androl. Urol. 2020, 9, 2713–2722. [Google Scholar] [CrossRef] [PubMed]
- Tzenios, N.; Tazanios, M.E.; Chahine, M. The Impact of Body Mass Index on Prostate Cancer: An Updated Systematic Review and Meta-Analysis. Medicine 2022, 101, e30191. [Google Scholar] [CrossRef]
- Samora, N.L.; Wallis, C.J.D.; Huang, L.; Tallman, J.E.; Zhao, Z.; Hoffman, K.; Morgans, A.; Cooperberg, M.; Goodman, M.; Greenfield, S.; et al. Association between Body Mass Index and Localized Prostate Cancer Management and Disease-specific Quality of Life. BJUI Compass 2023, 4, 223–233. [Google Scholar] [CrossRef]
- Kim, S.J.; Park, M.U.; Chae, H.K.; Nam, W.; Kim, S.W.; Yu, H.; Kim, H.G.; Kang, G.H.; Park, J.Y. Overweight and Obesity as Risk Factors for Biochemical Recurrence of Prostate Cancer after Radical Prostatectomy. Int. J. Clin. Oncol. 2022, 27, 403–410. [Google Scholar] [CrossRef]
- Farzat, M.; Sharabaty, I.; Tanislav, C.; Alsaid, Y.; Wagenlehner, F.M. BMI Impact on Readmissions for Patients Undergoing Robot-Assisted Radical Prostatectomy: A Monocentric, Single-Surgeon Serial Analysis of 500 Cases. J. Clin. Med. 2023, 12, 3908. [Google Scholar] [CrossRef]
- Wei, Y.; Wu, Y.-P.; Lin, M.-Y.; Chen, S.-H.; Lin, Y.-Z.; Li, X.-D.; Zheng, Q.-S.; Xue, X.-Y.; Xu, N. Impact of Obesity on Long-Term Urinary Incontinence after Radical Prostatectomy: A Meta-Analysis. BioMed Res. Int. 2018, 2018, 8279523. [Google Scholar] [CrossRef]
- Han, H.; Qin, Y.; Ruan, Y.; He, J.; Cao, Z.; Wei, X.; Cao, Y. Morbid Obesity Is Adversely Associated with Perioperative Outcomes in Patients Undergoing Robot-Assisted Laparoscopic Radical Prostatectomy. Can. Urol. Assoc. J. 2020, 14, E574. [Google Scholar] [CrossRef]
- Abdul-Muhsin, H.; Giedelman, C.; Samavedi, S.; Schatloff, O.; Coelho, R.; Rocco, B.; Palmer, K.; Ebra, G.; Patel, V. Perioperative and Early Oncological Outcomes after Robot-assisted Radical Prostatectomy (RARP) in Morbidly Obese Patients: A Propensity Score-matched Study. BJU Int. 2014, 113, 84–91. [Google Scholar] [CrossRef]
- Yates, J.; Munver, R.; Sawczuk, I. Robot-Assisted Laparoscopic Radical Prostatectomy in the Morbidly Obese Patient. Prostate Cancer 2011, 2011, 618623. [Google Scholar] [CrossRef][Green Version]
- Agrawal, V.; Feng, C.; Joseph, J. Outcomes of Extraperitoneal Robot-Assisted Radical Prostatectomy in the Morbidly Obese: A Propensity Score-Matched Study. J. Endourol. 2015, 29, 677–682. [Google Scholar] [CrossRef]
- Moschovas, M.C.; Patel, V. Nerve-Sparing Robotic-Assisted Radical Prostatectomy: How I Do It after 15.000 Cases. Int. Braz. J. Urol. 2022, 48, 369–370. [Google Scholar] [CrossRef] [PubMed]
- Bhat, K.R.S.; Moschovas, M.C.; Onol, F.F.; Rogers, T.; Reddy, S.S.; Corder, C.; Roof, S.; Patel, V.R. Evidence-Based Evolution of Our Robot-Assisted Laparoscopic Prostatectomy (RALP) Technique through 13,000 Cases. J. Robot. Surg. 2021, 15, 651–660. [Google Scholar] [CrossRef] [PubMed]
- Covas Moschovas, M.; Bhat, S.; Onol, F.F.; Rogers, T.; Roof, S.; Mazzone, E.; Mottrie, A.; Patel, V. Modified Apical Dissection and Lateral Prostatic Fascia Preservation Improves Early Postoperative Functional Recovery in Robotic-Assisted Laparoscopic Radical Prostatectomy: Results from a Propensity Score–Matched Analysis. Eur. Urol. 2020, 78, 875–884. [Google Scholar] [CrossRef] [PubMed]
- Seetharam Bhat, K.R.; Moschovas, M.C.; Sandri, M.; Reddy, S.; Onol, F.F.; Noel, J.; Rogers, T.; Schatloff, O.; Coelho, R.; Ko, Y.H.; et al. Stratification of Potency Outcomes Following Robot-Assisted Laparoscopic Radical Prostatectomy Based on Age, Preoperative Potency, and Nerve Sparing. J. Endourol. 2021, 35, 1631–1638. [Google Scholar] [CrossRef]
- Goßler, C.; May, M.; Rosenhammer, B.; Breyer, J.; Stojanoski, G.; Weikert, S.; Lenart, S.; Ponholzer, A.; Dreissig, C.; Burger, M.; et al. Obesity Leads to a Higher Rate of Positive Surgical Margins in the Context of Robot-Assisted Radical Prostatectomy. Results of a Prospective Multicenter Study. Cent. Eur. J. Urol. 2020, 73, 457. [Google Scholar] [CrossRef]
- Ferro, M.; Terracciano, D.; Musi, G.; De Cobelli, O.; Vartolomei, M.D.; Damiano, R.; Cantiello, F.; Buonerba, C.; Morelli, M.; Mistretta, F.A.; et al. Increased Body Mass Index Is a Risk Factor for Poor Clinical Outcomes after Radical Prostatectomy in Men with International Society of Urological Pathology Grade Group 1 Prostate Cancer Diagnosed with Systematic Biopsies. Urol. Int. 2022, 106, 75–82. [Google Scholar] [CrossRef]
- Yang, L.; Harper, A.; Imm, K.R.; Grubb, R.L.; Kim, E.H.; Colditz, G.A.; Wolin, K.Y.; Kibel, A.S.; Sutcliffe, S. Association between Presurgical Weight Status and Urinary and Sexual Function in Prostate Cancer Patients Treated by Radical Prostatectomy: A Prospective Cohort Study. Urology 2023, 175, 137–143. [Google Scholar] [CrossRef]
- Seetharam Bhat, K.R.; Onol, F.; Rogers, T.; Ganapathi, H.P.; Moschovas, M.; Roof, S.; Patel, V.R. Can We Predict Who Will Need Lymphocele Drainage Following Robot Assisted Laparoscopic Prostatectomy (RALP)? J. Robot. Surg. 2020, 14, 439–445. [Google Scholar] [CrossRef]
- Goßler, C.; May, M.; Breyer, J.; Stojanoski, G.; Weikert, S.; Lenart, S.; Ponholzer, A.; Dreissig, C.; Burger, M.; Gilfrich, C.; et al. High BMI, Aggressive Tumours and Long Console Time Are Independent Predictive Factors for Symptomatic Lymphocele Formation after Robot-Assisted Radical Prostatectomy and Pelvic Lymph Node Dissection. Urol. Int. 2021, 105, 453–459. [Google Scholar] [CrossRef]
- Sforza, S.; Tellini, R.; Grosso, A.A.; Zaccaro, C.; Viola, L.; Di Maida, F.; Mari, A.; Carini, M.; Minervini, A.; Masieri, L. Can We Predict the Development of Symptomatic Lymphocele Following Robot-Assisted Radical Prostatectomy and Lymph Node Dissection? Results from a Tertiary Referral Centre. Scand. J. Urol. 2020, 54, 328–333. [Google Scholar] [CrossRef]
- Gloger, S.; Wagner, C.; Leyh-Bannurah, S.-R.; Siemer, S.; Arndt, M.; Stolzenburg, J.-U.; Franz, T.; Ubrig, B. High BMI and Surgical Time Are Significant Predictors of Lymphocele after Robot-Assisted Radical Prostatectomy. Cancers 2023, 15, 2611. [Google Scholar] [CrossRef] [PubMed]
- Gamal, A.; Moschovas, M.C.; Jaber, A.R.; Saikali, S.; Sandri, M.; Patel, E.; Patel, E.; Rogers, T.; Patel, V. Peritoneal Flap Following Lymph Node Dissection in Robotic Radical Prostatectomy: A Novel “Bunching” Technique. Cancers 2024, 16, 1547. [Google Scholar] [CrossRef] [PubMed]
- Schnoeller, T.; Jentzmik, F.; Rinnab, L.; Cronauer, M.V.; Damjanoski, I.; Zengerling, F.; Ghazal, A.A.; Schrader, M.; Schrader, A.J. Circulating Free Testosterone Is an Independent Predictor of Advanced Disease in Patients with Clinically Localized Prostate Cancer. World J. Urol. 2013, 31, 253–259. [Google Scholar] [CrossRef] [PubMed]



| Parameters | BMI (18.5–24.9 kg/m2) (n = 183) | BMI > 40 kg/m2 (n = 183) | P | Standardized Mean Difference After 1:1 PS Matching |
|---|---|---|---|---|
| Age | 61 | 60 | 0.8 | −0.001 |
| (years) | (54–67) | (55–65) | ||
| PSA | 5.4 | 5.7 | 0.1 | 0.088 |
| (ng/mL) | (4.1–8.2) | (4.5–8.9) | ||
| Diabetes (n, %) | 1 | |||
| No | 119 (65) | 118 (64.48) | 0.011 | |
| Yes | 64 (35) | 65 (35.52) | −0.011 | |
| Dyslipidemia (n, %) | 1 | |||
| No | 89 (48.63) | 90 (49.18) | −0.011 | |
| Yes | 94 (51.37) | 93 (50.82) | 0.011 | |
| HTN (n, %) | 0.8 | |||
| No | 38 (20.77) | 41 (22.40) | −0.04 | |
| Yes | 145 (79.23) | 142 (77.60) | 0.04 | |
| History of prostate surgery (n, %) | 1 | |||
| No | 180 (98.36) | 179 (97.81) | 0.04 | |
| Yes | 3 (1.64) | 4 (2.19) | −0.04 | |
| Preoperative | 17 | 16 | 1 | 0.001 |
| SHIM | (6–24) | (6–23) | ||
| Preoperative | 8 | 8 | 1 | 0.021 |
| AUA score | (3–15) | (3–15) | ||
| Charlson Comorbidity Index (n, %) | 1 | |||
| 0 | 9 (4.92) | 9 (4.92) | 0 | |
| 1–2 | 111 (60.66) | 111 (60.66) | 0 | |
| 3–4 | 60 (32.79) | 59 (32.24) | 0.012 | |
| >4 | 3 (1.64) | 4 (2.19) | −0.04 | |
| Biopsy ISUP grade (n, %) | 0.7 | |||
| Group 1 | 63 (34.43) | 51 (27.87) | 0.142 | |
| Group 2 | 53 (28.96) | 56 (30.60) | −0.036 | |
| Group 3 | 30 (16.39) | 31 (16.94) | −0.015 | |
| Group 4 | 25 (13.66) | 31 (16.94) | −0.091 | |
| Group 5 | 12 (6.56) | 14 (7.65) | −0.043 | |
| Clinical T stage (n, %) | 1 | |||
| T1 | 151 (82.51) | 151 (82.51) | 0 | |
| T2 | 31 (16.94) | 31 (16.94) | 0 | |
| ≥T3 | 1 (0.55) | 1 (0.55) | 0 | |
| Follow-up (years) | 5 (3–8) | 5 (2–8) | 0.9 | 0.084 |
| Parameters | BMI < 25 (n = 183) | BMI > 40 (n = 183) | p-Value |
|---|---|---|---|
| EBL (mL) EBL < 100mL (n, %) EBL > 100mL (n, %) | 100 (50–100) 142 (77.60) 41 (22.40) | 100 (100–200) 111 (60.66) 72(39.34) | 0.001 0.001 |
| Console time (minutes) | 75 (75–80) | 90 (75–90) | <0.001 |
| Catheter time (days) | 5 (4–6) | 5 (4–6) | 0.7 |
| Hospitalization (days) | 1 (1–1) | 1 (1–1) | 0.9 |
| Pathological prostate weight (grams) | 48 (41–61) | 54 (44–64) | 0.01 |
| Postoperative ISUP grade (n, %) | 0.2 | ||
| Group 1 | 46 (25.14) | 33 (18.03) | |
| Group 2 | 73 (39.89) | 66 (36.07) | |
| Group 3 | 30 (16.39) | 42 (22.95) | |
| Group 4 | 15 (8.20) | 13 (7.10) | |
| Group 5 | 19 (10.38) | 29 (15.85) | |
| Postoperative Complications | 0.1 | ||
| (Clavien–Dindo) (n, %) | |||
| <III | 43 (100) | 58 (98.31) | |
| >3 | 0 (0) | 1 (1.69) | |
| Lymph Node Dissection (n, %) | 0.44 | ||
| No | 62 (33.88) | 70 (38.25) | |
| Yes | 121 (66.10) | 113 (61.75) | |
| Pathological T stage (n, %) | 0.11 | ||
| pT2 | 117 (63.93) | 101 (55.19) | |
| ≥pT3 | 66 (36.07) | 82 (44.81) | |
| pT3a | 37 (20.22) | 63 (34.43) | 0.015 |
| Lymphocele (n, %) | 0.021 | ||
| No | 172 (93.99) | 158 (86.34) | |
| Yes | 11 (6.01) | 25 (12.66) | |
| Nerve-sparing degree (n, %) | <0.001 | ||
| None | 9 (4.92) | 9 (4.92) | |
| Partial | 103 (56.28) | 143 (78.14) | |
| Full | 71 (38.80) | 31 (16.94) | |
| PSM (n, %) | 0.3 | ||
| No | 149 (81.42) | 139 (75.96) | |
| Yes | 34 (18.58) | 44 (24.04) |
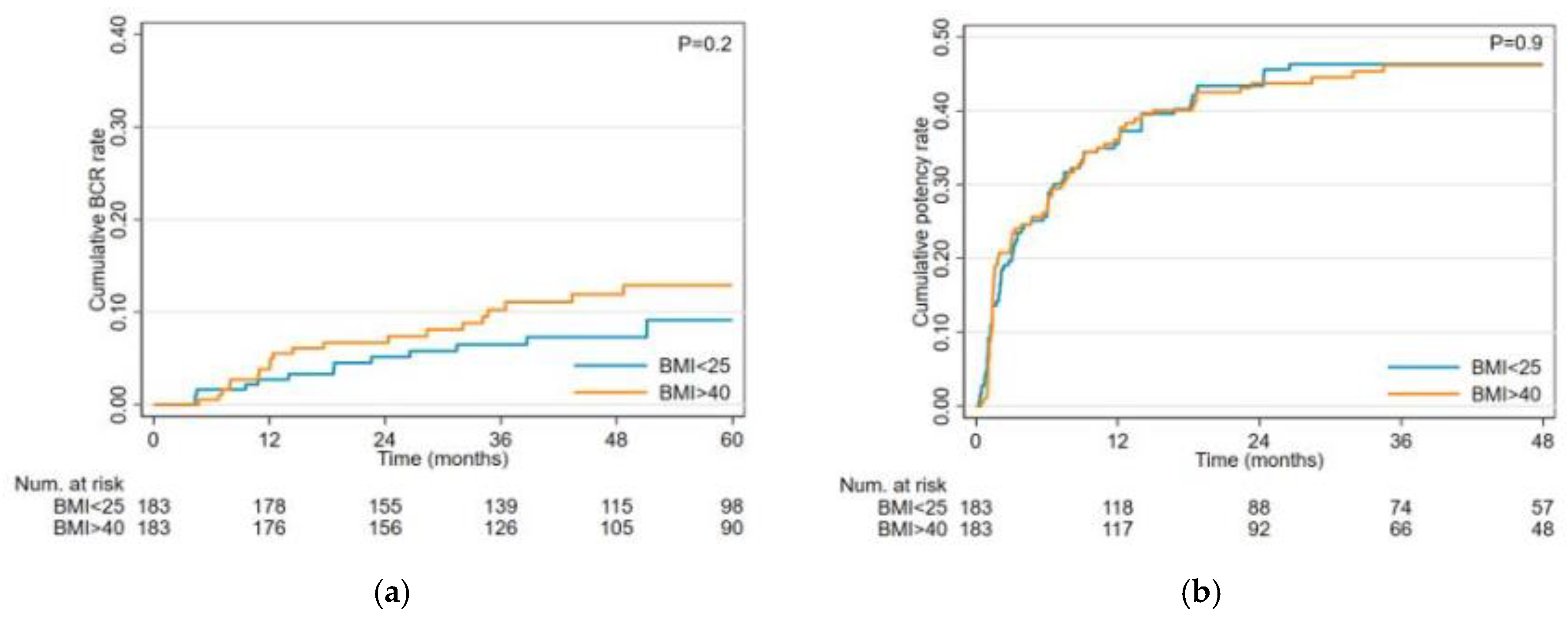
| Parameters | BMI | p | |
|---|---|---|---|
| BMI < 25 | BMI > 40 | ||
| Potency | |||
| 12 mo. cumulative rate (%) | 35.5 (29.0–43.0) | 36.0 (29.6–43.5) | 0.9 |
| 24 mo. cumulative rate (%) | 43.4 (36.5–51.0) | 43.7 (36.9–51.3) | |
| HR (95% CI) | reference | 0.97 (0.72–1.32) | |
| Continence | |||
| 12 mo. cumulative rate (%) | 84.0 (78.5–89.0) | 80.3 (74.2–85.7) | 0.9 |
| 24 mo. cumulative rate (%) | 86.0 (80.5–90.6) | 89.1 (84.0–93.1) | |
| HR (95% CI) | Reference | 1 (0.81–1.26) | |
| BCR | |||
| 12 mo. cumulative rate (%) | 3 (1.1–6.4) | 3.8 (1.8–7.8) | 0.2 |
| 24 mo. cumulative rate (%) | 5 (2.7–9.6) | 6.7 (3.8–11.4) | |
| HR (95% CI) | Reference | 1.52 (0.79–2.9) | |
Disclaimer/Publisher’s Note: The statements, opinions and data contained in all publications are solely those of the individual author(s) and contributor(s) and not of MDPI and/or the editor(s). MDPI and/or the editor(s) disclaim responsibility for any injury to people or property resulting from any ideas, methods, instructions or products referred to in the content. |
© 2025 by the authors. Licensee MDPI, Basel, Switzerland. This article is an open access article distributed under the terms and conditions of the Creative Commons Attribution (CC BY) license (https://creativecommons.org/licenses/by/4.0/).
Share and Cite
Jaber, A.R.; Saikali, S.; Moschovas, M.C.; Gamal, A.; Patel, E.; Sandri, M.; Rogers, T.; Patel, V. Impact of Class III Obesity (Morbid Obesity) on the Perioperative, Functional, and Oncological Outcomes of Robotic-Assisted Radical Prostatectomy. Cancers 2025, 17, 709. https://doi.org/10.3390/cancers17040709
Jaber AR, Saikali S, Moschovas MC, Gamal A, Patel E, Sandri M, Rogers T, Patel V. Impact of Class III Obesity (Morbid Obesity) on the Perioperative, Functional, and Oncological Outcomes of Robotic-Assisted Radical Prostatectomy. Cancers. 2025; 17(4):709. https://doi.org/10.3390/cancers17040709
Chicago/Turabian StyleJaber, Abdel Rahman, Shady Saikali, Marcio Covas Moschovas, Ahmed Gamal, Ela Patel, Marco Sandri, Travis Rogers, and Vipul Patel. 2025. "Impact of Class III Obesity (Morbid Obesity) on the Perioperative, Functional, and Oncological Outcomes of Robotic-Assisted Radical Prostatectomy" Cancers 17, no. 4: 709. https://doi.org/10.3390/cancers17040709
APA StyleJaber, A. R., Saikali, S., Moschovas, M. C., Gamal, A., Patel, E., Sandri, M., Rogers, T., & Patel, V. (2025). Impact of Class III Obesity (Morbid Obesity) on the Perioperative, Functional, and Oncological Outcomes of Robotic-Assisted Radical Prostatectomy. Cancers, 17(4), 709. https://doi.org/10.3390/cancers17040709

