Interventional Radiotherapy (Brachytherapy) Combined with Systemic Treatment—The Influence of RAS Gene Mutations and Combined Therapy on the Results and Toxicity of Colorectal Cancer Liver Metastases
Simple Summary
Abstract
1. Introduction
2. Materials and Methods
2.1. Patient Selection Criteria
2.2. Cohort Characteristics and Treatments
2.3. Analysis of Mutations in the RAS Genes
2.4. Follow Up
2.5. Statistical Analysis
3. Results
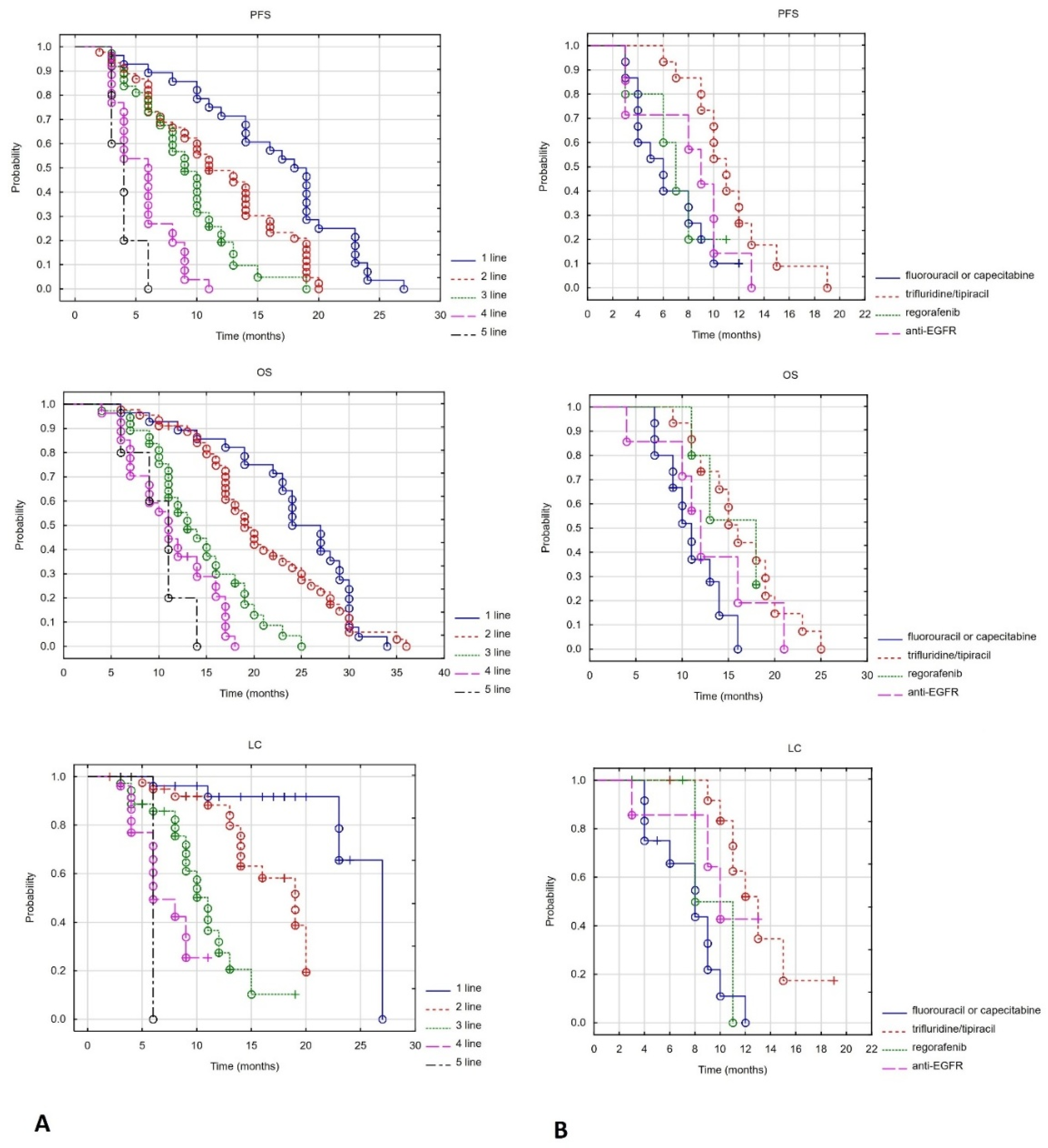
3.1. The Impact of the Line of Systemic Treatment
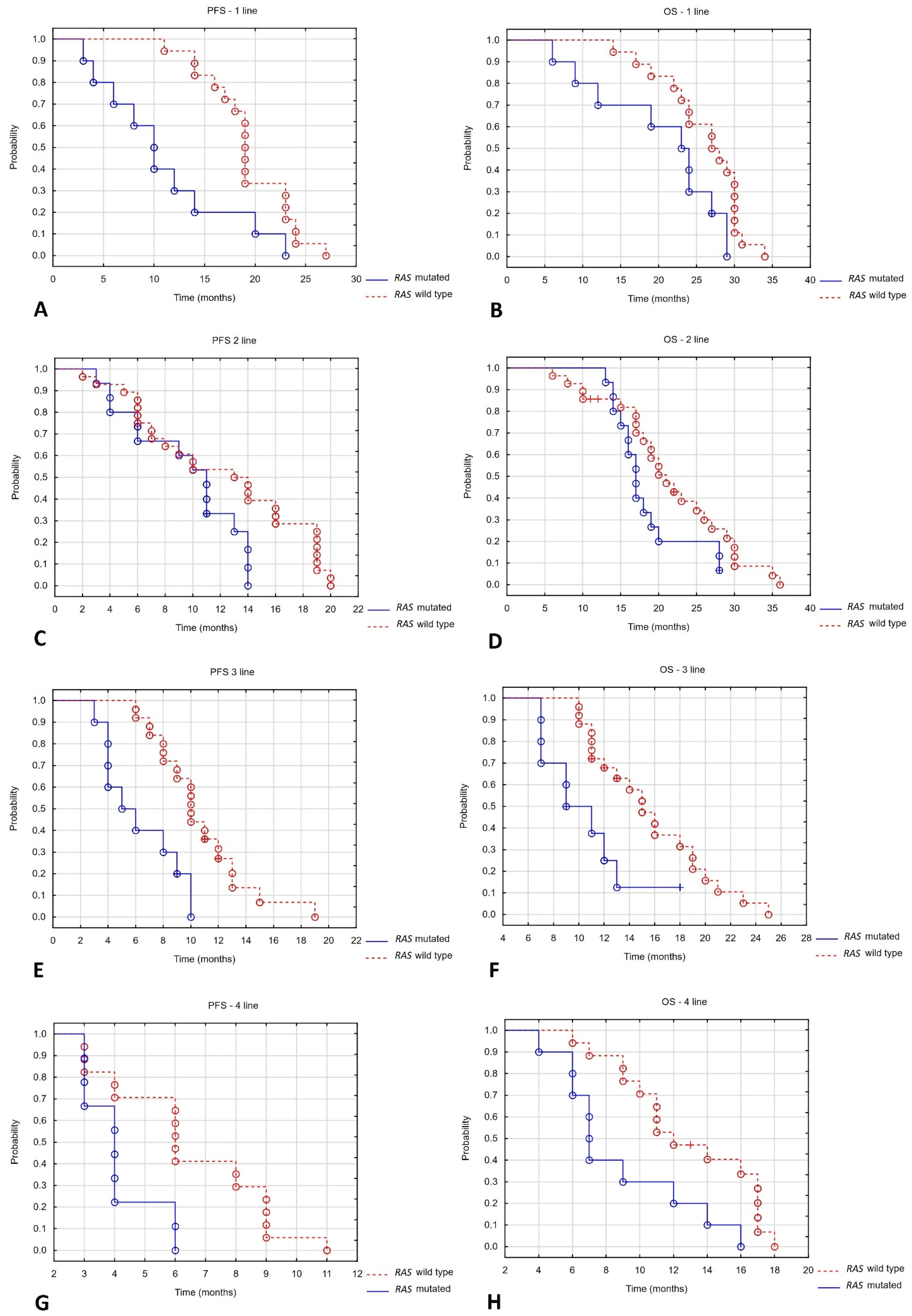
3.2. The Impact of RAS Mutation
3.3. First-Line Treatment
3.4. Second-Line Treatment
3.5. Third-Line Treatment
3.6. Fourth-Line Treatment
3.7. Tumour Volume Reduction and Response Rate According to RECIST
3.8. Toxicity Analysis
4. Discussion
5. Conclusions
Author Contributions
Funding
Institutional Review Board Statement
Informed Consent Statement
Data Availability Statement
Conflicts of Interest
References
- Adam, R.; Wicherts, D.A.; de Haas, R.J.; Ciacio, O.; Lévi, F.; Paule, B.; Ducreux, M.; Azoulay, D.; Bismuth, H.; Castaing, D. Patients With Initially Unresectable Colorectal Liver Metastases: Is There a Possibility of Cure? J. Clin. Oncol. 2009, 27, 1829–1835. [Google Scholar] [CrossRef]
- Lin, Y.-M.; Paolucci, I.; Brock, K.K.; Odisio, B.C. Image-Guided Ablation for Colorectal Liver Metastasis: Principles, Current Evidence, and the Path Forward. Cancers 2021, 13, 3926. [Google Scholar] [CrossRef] [PubMed]
- Doi, H.; Uemoto, K.; Suzuki, O.; Yamada, K.; Masai, N.; Tatsumi, D.; Shiomi, H.; Oh, R.-J. Effect of primary tumor location and tumor size on the response to radiotherapy for liver metastases from colorectal cancer. Oncol. Lett. 2017, 14, 453–460. [Google Scholar] [CrossRef]
- Flamarique, S.; Campo, M.; Asín, G.; Pellejero, S.; Viúdez, A.; Arias, F. Stereotactic body radiation therapy for liver metastasis from colorectal cancer: Size matters. Clin. Transl. Oncol. 2020, 22, 2350–2356. [Google Scholar] [CrossRef]
- Bilski, M.; Korab, K.; Stąpór-Fudzińska, M.; Ponikowska, J.; Brzozowska, A.; Sroka, Ł.; Wojtyna, E.; Sroka, S.; Szlag, M.; Cisek, P.; et al. HDR brachytherapy versus robotic-based and linac-based stereotactic ablative body radiotherapy in the treatment of liver metastases – A dosimetric comparison study of three radioablative techniques. Clin. Transl. Radiat. Oncol. 2024, 48, 100815. [Google Scholar] [CrossRef]
- Cervantes, A.; Adam, R.; Roselló, S.; Arnold, D.; Normanno, N.; Taïeb, J.; Seligmann, J.; De Baere, T.; Osterlund, P.; Yoshino, T.; et al. Metastatic colorectal cancer: ESMO Clinical Practice Guideline for diagnosis, treatment and follow-up. Ann. Oncol. 2022, 34, 10–32. [Google Scholar] [CrossRef] [PubMed]
- Morris, V.K.; Kennedy, E.B.; Baxter, N.N.; Benson, A.B.; Cercek, A.; Cho, M.; Ciombor, K.K.; Cremolini, C.; Davis, A.; Deming, D.A.; et al. Treatment of Metastatic Colorectal Cancer: ASCO Guideline. J. Clin. Oncol. 2023, 41, 678–700. [Google Scholar] [CrossRef] [PubMed]
- Davis, T.B.; Gupta, S.; Yang, M.; Pflieger, L.; Rajan, M.; Wang, H.; Thota, R.; Yeatman, T.J.; Pledger, W.J. Ras Pathway Activation and MEKi Resistance Scores Predict the Efficiency of MEKi and SRCi Combination to Induce Apoptosis in Colorectal Cancer. Cancers 2022, 14, 1451. [Google Scholar] [CrossRef]
- Cisek, P.; Bilski, M.; Ponikowska, J.; Wojtyna, E.; Fijuth, J.; Kuncman, Ł. EORTC/ESTRO defined induced oligopersistence of liver metastases from colorectal cancer-outcomes and toxicity profile of computer tomography guided high-dose-rate brachytherapy. Clin. Exp. Metastasis 2025, 42, 29. [Google Scholar] [CrossRef]
- Cisek, P.; Kordzińska-Cisek, I.; Grzybowska-Szatkowska, L. The role of brachytherapy in liver metastases from colorectal cancer. Front. Immunol. 2025, 16, 1641533. [Google Scholar] [CrossRef]
- Wieners, G.; Mohnike, K.; Peters, N.; Bischoff, J.; Kleine-Tebbe, A.; Seidensticker, R.; Seidensticker, M.; Gademann, G.; Wust, P.; Pech, M.; et al. Treatment of hepatic metastases of breast cancer with CT-guided interstitial brachytherapy—A phase II-study. Radiother. Oncol. 2011, 100, 314–319. [Google Scholar] [CrossRef]
- Ricke, J.; Wust, P.; Stohlmann, A.; Beck, A.; Cho, C.H.; Pech, M.; Wieners, G.; Spors, B.; Werk, M.; Rosner, C.; et al. CT-guided interstitial brachytherapy of liver malignancies alone or in combination with thermal ablation: Phase I–II results of a novel technique. Int. J. Radiat. Oncol. 2004, 58, 1496–1505. [Google Scholar] [CrossRef]
- Denecke, T.; Stelter, L.; Schnapauff, D.; Steffen, I.; Sinn, B.; Schott, E.; Seidensticker, R.; Puhl, G.; Gebauer, B.; Hänninen, E.L.; et al. CT-guided Interstitial Brachytherapy of Hepatocellular Carcinoma before Liver Transplantation: An Equivalent Alternative to Transarterial Chemoembolization? Eur. Radiol. 2015, 25, 2608–2616. [Google Scholar] [CrossRef]
- Geissler, P.; Spautz, S.; Hering, K.; Seiler, I.; Heinicke, F.; Sachpazidis, I.; Baltas, D.; Schäfer, S.; Moustakis, C.; Nicolay, N.H.; et al. Comparison of interstitial high-dose-rate brachytherapy and stereotactic radiotherapy in breath-hold technique for inoperable primary and secondary liver tumors. Phys. Imaging Radiat. Oncol. 2025, 35, 100811. [Google Scholar] [CrossRef]
- Walter, F.; Nierer, L.; Rottler, M.; Duque, A.S.; Weingandt, H.; Well, J.; Shpani, R.; Landry, G.; Seidensticker, M.; Streitparth, F.; et al. Comparison of liver exposure in CT-guided high-dose rate (HDR) interstitial brachytherapy versus SBRT in hepatocellular carcinoma. Radiat. Oncol. 2021, 16, 86. [Google Scholar] [CrossRef]
- Mohnike, K.; Wolf, S.; Damm, R.; Seidensticker, M.M.; Seidensticker, R.; Fischbach, F.; Peters, N.; Hass, P.; Gademann, G.; Pech, M.; et al. Radioablation of liver malignancies with interstitial high-dose-rate brachytherapy. Strahlenther. Onkol. 2016, 192, 288–296. [Google Scholar] [CrossRef]
- Dutta, D.; Kataki, K.J.; George, S.; Reddy, S.K.; Sashidharan, A.; Kannan, R.; Madhavan, R.; Nair, H.; Tatineni, T.; Holla, R. Prospective evaluation of fiducial marker placement quality and toxicity in liver CyberKnife stereotactic body radiotherapy. Radiat. Oncol. J. 2020, 38, 253–261. [Google Scholar] [CrossRef]
- Cisek, P.; Kuncman, Ł.; Jereczek-Fossa, B.A.; Wojtyna, E.; Orzechowska, M.; Sroka, S.; Kordzińska-Cisek, I.; Fijuth, J.; Bilski, M. Computed tomography guided high dose rate brachytherapy for induced oligoprogression of colorectal cancer liver metastases. Sci. Rep. 2025, 15, 22735. [Google Scholar] [CrossRef] [PubMed]
- Sütcüoğlu, O.; Yıldırım, H.Ç.; Almuradova, E.; Günenç, D.; Yalçın, Ş. RAS Mutations in Advanced Colorectal Cancer: Mechanisms, Clinical Implications, and Novel Therapeutic Approaches. Medicina 2025, 61, 1202. [Google Scholar] [CrossRef] [PubMed]
- Yang, L.; Shen, C.; Estrada-Bernal, A.; Robb, R.; Chatterjee, M.; Sebastian, N.; Webb, A.; Mo, X.; Chen, W.; Krishnan, S.; et al. Oncogenic KRAS drives radioresistance through upregulation of NRF2-53BP1-mediated non-homologous end-joining repair. Nucleic Acids Res. 2021, 49, 11067–11082. [Google Scholar] [CrossRef] [PubMed]
- Winter, I.; Reddy, C.; Balagamwala, E.; Videtic, G.; Woody, N.; Stephans, K. Comparison of SBRT for Oligometastatic Colorectal Cancer by Site: Lung vs. Liver. Int. J. Radiat. Oncol. 2021, 111, e482. [Google Scholar] [CrossRef]
- O’Cathail, S.M.; Smith, T.; Owens, R.; Zeniou, A.; Tsang, Y.; Holyoake, D.L.; Murray, L.; Harrison, M.; Hawkins, M.A. Superior outcomes of nodal metastases compared to visceral sites in oligometastatic colorectal cancer treated with stereotactic ablative radiotherapy. Radiother. Oncol. 2020, 151, 280–286. [Google Scholar] [CrossRef] [PubMed]
- Hong, T.S.; Wo, J.Y.; Borger, D.R.; Yeap, B.Y.; McDonnell, E.I.; Willers, H.; Blaszkowsky, L.S.; Kwak, E.L.; Allen, J.N.; Clark, J.W.; et al. Phase II Study of Proton-Based Stereotactic Body Radiation Therapy for Liver Metastases: Importance of Tumor Genotype. JNCI J. Natl. Cancer Inst. 2017, 109, djx031. [Google Scholar] [CrossRef] [PubMed]
- Jethwa, K.R.; Jang, S.; Mullikin, T.C.; Harmsen, W.S.; Petersen, M.M.; Olivier, K.R.; Park, S.S.; Neben-Wittich, M.A.; Hubbard, J.M.; Sandhyavenu, H.; et al. Association of tumor genomic factors and efficacy for metastasis-directed stereotactic body radiotherapy for oligometastatic colorectal cancer. Radiother. Oncol. 2020, 146, 29–36. [Google Scholar] [CrossRef]
- Wild, A.T.; Yamada, Y. Treatment Options in Oligometastatic Disease: Stereotactic Body Radiation Therapy-Focus on Colorectal Cancer. Visc. Med. 2017, 33, 54–61. [Google Scholar] [CrossRef]
- Lara, T.M.; Helou, J.; Poon, I.; Sahgal, A.; Chung, H.T.; Chu, W.; Soliman, H.; Ung, Y.; Verma, S.; Cheema, P.; et al. Multisite stereotactic body radiotherapy for metastatic non-small-cell lung cancer: Delaying the need to start or change systemic therapy? Lung Cancer 2018, 124, 219–226. [Google Scholar] [CrossRef]
- Karagiannis, E.; Strouthos, I.; Leczynski, A.; Zamboglou, N.; Ferentinos, K. Narrative Review of High-Dose-Rate Interstitial Brachytherapy in Primary or Secondary Liver Tumors. Front. Oncol. 2022, 12, 800920. [Google Scholar] [CrossRef]
- Ricke, J.; Mohnike, K.; Pech, M.; Seidensticker, M.; Rühl, R.; Wieners, G.; Gaffke, G.; Kropf, S.; Felix, R.; Wust, P. Local Response and Impact on Survival After Local Ablation of Liver Metastases From Colorectal Carcinoma by Computed Tomography–Guided High-Dose-Rate Brachytherapy. Int. J. Radiat. Oncol. 2010, 78, 479–485. [Google Scholar] [CrossRef] [PubMed]
- Collettini, F.; Lutter, A.; Schnapauff, D.; Hildebrandt, B.; Puhl, G.; Denecke, T.; Wust, P.; Gebauer, B. Unresectable Colorectal Liver Metastases: Percutaneous Ablation Using CT-Guided High-Dose-Rate Brachytherapy (CT-HDBRT). Rofo-Fortschritte Auf Dem Geb. Der Rontgenstrahlen Und Der Bild. Verfahr. 2014, 186, 606–612. [Google Scholar] [CrossRef]
- Mahadevan, A.; Blanck, O.; Lanciano, R.; Peddada, A.; Sundararaman, S.; D’ambrosio, D.; Sharma, S.; Perry, D.; Kolker, J.; Davis, J. Stereotactic Body Radiotherapy (SBRT) for liver metastasis–clinical outcomes from the international multi-institutional RSSearch® Patient Registry. Radiat. Oncol. 2018, 13, 26. [Google Scholar] [CrossRef]
- He, X.; Zhang, P.; Li, Z.; Bi, F.; Xu, F.; Wang, X.; Shen, Y.; Li, Q.; Qiu, M. Curative-intent radiotherapy in patients with oligometastatic lesions from colorectal cancer. Medicine 2018, 97, e12601. [Google Scholar] [CrossRef]
- Ji, X.; Zhao, Y.; Zhu, X.; Shen, Z.; Li, A.; Chen, C.; Chu, X. Outcomes of Stereotactic Body Radiotherapy for Metastatic Colorectal Cancer With Oligometastases, Oligoprogression, or Local Control of Dominant Tumors. Front. Oncol. 2021, 10, 595781. [Google Scholar] [CrossRef] [PubMed]
- Klement, R.; Guckenberger, M.; Alheid, H.; Allgäuer, M.; Becker, G.; Blanck, O.; Boda-Heggemann, J.; Brunner, T.; Duma, M.; Gerum, S.; et al. Stereotactic body radiotherapy for oligo-metastatic liver disease–Influence of pre-treatment chemotherapy and histology on local tumor control. Radiother. Oncol. 2017, 123, 227–233. [Google Scholar] [CrossRef]
- Stera, S.; Balermpas, P.; Chan, M.K.H.; Huttenlocher, S.; Wurster, S.; Keller, C.; Imhoff, D.; Rades, D.; Dunst, J.; Rödel, C.; et al. Breathing-motion-compensated robotic guided stereotactic body radiation therapy. Strahlenther. Onkol. 2017, 194, 143–155. [Google Scholar] [CrossRef]
- Bossi, P.; Platini, F. Radiotherapy plus EGFR inhibitors: Synergistic modalities. Cancers Head Neck 2017, 2, 2. [Google Scholar] [CrossRef] [PubMed]
- Krishnamurthy, S.; Ahmed, I.; Bhise, R.; Mohanti, B.K.; Sharma, A.; Rieckmann, T.; Paterson, C.; Bonomo, P. The dogma of Cetuximab and Radiotherapy in head and neck cancer—A dawn to dusk journey. Clin. Transl. Radiat. Oncol. 2022, 34, 75–81. [Google Scholar] [CrossRef]
- Goedegebuure, R.S.A.; de Klerk, L.K.; Bass, A.J.; Derks, S.; Thijssen, V.L.J.L. Combining Radiotherapy With Anti-angiogenic Therapy and Immunotherapy; A Therapeutic Triad for Cancer? Front. Immunol. 2019, 9, 3107. [Google Scholar] [CrossRef]
- Rothkamm, K.; Christiansen, S.; Rieckmann, T.; Horn, M.; Frenzel, T.; Brinker, A.; Schumacher, U.; Stein, A.; Petersen, C.; Burdak-Rothkamm, S. Radiosensitisation and enhanced tumour growth delay of colorectal cancer cells by sustained treatment with trifluridine/tipiracil and X-rays. Cancer Lett. 2020, 493, 179–188. [Google Scholar] [CrossRef] [PubMed]
- Gong, L.; Zhang, Y.; Liu, C.; Zhang, M.; Han, S. Application of Radiosensitizers in Cancer Radiotherapy. Int. J. Nanomed. 2021, 16, 1083–1102. [Google Scholar] [CrossRef]
- Vaugier, L.; Mirabel, X.; Martel-Lafay, I.; Racadot, S.; Carrie, C.; Vendrely, V.; Mahé, M.-A.; Senellart, H.; Raoul, J.-L.; Campion, L.; et al. Radiosensitizing Chemotherapy (Irinotecan) with Stereotactic Body Radiation Therapy for the Treatment of Inoperable Liver and/or Lung Metastases of Colorectal Cancer. Cancers 2021, 13, 248. [Google Scholar] [CrossRef]
- Palma, D.A.; Olson, R.; Harrow, S.; Gaede, S.; Louie, A.V.; Haasbeek, C.; Mulroy, L.; Lock, M.; Rodrigues, G.B.; Yaremko, B.P.; et al. Stereotactic Ablative Radiotherapy for the Comprehensive Treatment of Oligometastatic Cancers: Long-Term Results of the SABR-COMET Phase II Randomized Trial. J. Clin. Oncol. 2020, 38, 2830–2838. [Google Scholar] [CrossRef] [PubMed]
- Pericay, C.; Montes, A.F.; Orduña, V.A.; Declara, I.M.; Martínez, E.A.; Salas, N.R.; Torres, E.; Lavín, D.C.; Alonso, R.M.R.; Falcó, E.; et al. Real-World Outcomes in Patients with Metastatic Colorectal Cancer in Spain: The RWD-ACROSS Study. Cancers 2023, 15, 4603. [Google Scholar] [CrossRef]
- Elferink, M.; van Erning, F.; Sijtsma, F.; Iersel, L.V.-V.; Wumkes, M.; Roodhart, J.; Vink, G. Real-world treatment patterns and survival in patients with synchronous and metachronous metastatic colorectal cancer in the Netherlands. ESMO Real World Data Digit. Oncol. 2025, 8, 100153. [Google Scholar] [CrossRef]
- Saif, W. Anti-VEGF agents in metastatic colorectal cancer (mCRC): Are they all alike? Cancer Manag. Res. 2013, 5, 103–115. [Google Scholar] [CrossRef] [PubMed]






| Parameter | Number of Patients (Percentage)/Median (Range) | p-Value | ||||
|---|---|---|---|---|---|---|
| Line—number of patients (percent) | 1—28 (20%) | 2—45 (32%) | 3—37 (26%) | 4—27 (19%) | 5—5 (4%) | |
| Age—median (range) in years | 64 (32–80) | 66 (36–77) | 66.5 (35–81) | 66 (45–87) | 65 (54–74) | 0.951 |
| Sex | 0.440 | |||||
| -Men | 10 (36%) | 25 (56%) | 21 (57%) | 13 (48%) | 2 (40%) | |
| -Women | 18 (64%) | 20 (44%) | 16 (43%) | 14 (52%) | 3 (60%) | |
| Tumour localisation | 0.892 | |||||
| -Rectum | 18 (64%) | 20 (44%) | 18 (49%) | 11 (41%) | 2 (40%) | |
| -Sigmoid | 2 (7%) | 9 (20%) | 8 (22%) | 6 (22%) | 1 (20%) | |
| -Descending colon | 4 (14%) | 5 (11%) | 4 (11%) | 4 (15%) | 1 (20%) | |
| -Transverse colon | 1 (4%) | 4 (9%) | 2 (5%) | 0 (0%) | 0 (0%) | |
| -Ascending colon | 3 (11%) | 7 (16%) | 5 (14%) | 6 (22%) | 1 (20%) | |
| Number of tumours | 0.029 | |||||
| 1 | 9 (32%) | 17 (38%) | 11 (29%) | 3 (11%) | 2 (40%) | |
| 2 | 10 (36%) | 22 (49%) | 21 (57%) | 10 (37%) | 2 (40%) | |
| 3 | 6 (21%) | 5 (11%) | 3 (8%) | 11 (41%) | 0 (0%) | |
| 4 | 3 (11%) | 1 (2%) | 2 (5%) | 3 (11%) | 1 (20%) | |
| Volume of all metastases —median (range) in cm3 | 81.3 (1.3–1370) | 119.5 (1.5–682.4) | 126.1 (1.3–685.4) | 90.9 (10.8–1030) | 52.3 (4.5–126.2) | 0.258 |
| Metastases outside the liver | 0.219 | |||||
| -No | 21(75%) | 29 (64%) | 23 (62%) | 17 (63%) | 1 (20%) | |
| -Yes | 7 (25%) | 16 (36%) | 14 (38%) | 10 (37%) | 4 (80%) | |
| Type of metastases | 0.928 | |||||
| -Synchronic | 20 (71%) | 33 (73%) | 28 (76%) | 22 (81%) | 3 (80%) | |
| -Metachronic | 8 (29%) | 12 (27%) | 9 (24%) | 5 (19%) | 1 (20%) | |
| RAS status: | 0.944 | |||||
| -Wild type | 18 (64%) | 28 (65%) | 25 (71%) | 17 (63%) | 3 (80%) | |
| -Mutation | 10 (36%) | 15 (35%) | 10 (29%) | 10 (37%) | 1 (20%) | |
| Intention to treatment: | 0.738 | |||||
| -Repeat oligoprogression | 17 (61%) | 32 (71%) | 22 (59%) | 18 (67%) | 4 (80%) | |
| -Induced oligoprogression | 11 (39%) | 13 (29%) | 15 (41%) | 9 (33%) | 1 (20%) | |
| Line | Systemic Treatment | Number of Patients (Percent) |
|---|---|---|
| 1 | Chemotherapy | |
| XELIRI/FOLFIRI | 13 (54%) | |
| XELOX/FOLFOX | 11 (46%) | |
| Targeted therapy | ||
| Anti-EGFR | 14 (58%) | |
| Anti-VEGFR | 9 (38%) | |
| none | 1 (4%) | |
| 2 | Chemotherapy | |
| XELIRI/FOLFIRI | 21 (49%) | |
| XELOX/FOLFOX | 19 (44%) | |
| FU/X | 3 (7%) | |
| Targeted therapy | ||
| Anti-VGFR | 27 (63%) | |
| none | 16 (37%) | |
| 3 | Capecytabine/fluorouracil | 12 (32%) |
| Trifluridine/Tipiracil | 14 (38%) | |
| Regorafenib | 4 (11%) | |
| Anti-EGFR | 7 (19%) | |
| 4 | Capecytabine/FU-based | |
| rechallenge | 15 (56%) | |
| Trifluridine/Tipiracil | 4 (15%) | |
| Anti-EGFR | 3 (11%) | |
| Irinotecan | 3 (11%) | |
| 5 | Capecytabine/FU-based rechallenge | 5 (100%) |
| Location of Mutation Occurrence | Number of Patients (Percentage) |
|---|---|
| KRAS | 37 (80%) |
| Including: | |
| Exon 2 codon 12 i 13 | 34 (92%) |
| Exon 3 codon 61 | 1 (3%) |
| Exon 4 codon 117 | 2 (6%) |
| NRAS | 9 (20%) |
| Including: | |
| Exon 2 codon 12 i 13 | 4 (44%) |
| Exon 3 codon 61 | 5 (56%) |
| Treatment Line | 1st Line | 2nd Line | 3rd Line | 4th Line | 5th Line | Test/p-Value |
|---|---|---|---|---|---|---|
| 12-month PFS | 77% | 53% | 29% | 0% | 0% | 44.80/<0.001 |
| Median PFS | 17.5 m | 11 m | 8.5 m | 6 m | 4 m | |
| 12-month OS | 90% | 91% | 58% | 38% | 20% | 52.42/<0.001 |
| Median OS | 27 m | 19 m | 13 m | 11 m | 11 m | |
| 12-month LC | 92% | 89% | 32% | 24% | 0% | 41.65/<0.001 |
| Median LC | 27 m | 19 m | 11 m | 6 m | 6 m |
| Treatment Line | 1st | 2nd | 3rd | 4th | |
|---|---|---|---|---|---|
| PFS | Log-rank test/p value | Z = 2.472, p = 0.013 | Z = 1.780, p = 0.075 | Z = 2.470, p = 0.013 | Z = −2.228, p = 0.026 |
| Median RAS wt | 19 months | 13 months | 9 months | 6 months | |
| Median RAS mt | 10 months | 10.5 months | 5 months | 4 months | |
| OS | Log-rank test/p value | Z = 1.803, p = 0.071 | Z = 1.567, p = 0.117 | Z = 1.994, p = 0.046 | Z = −2.248, p = 0.024 |
| Median RAS wt | 27 months | 20 months | 15 months | 11.5 months | |
| Median RAS mt | 23 months | 17 months | 10 months | 7 months | |
| LC | Log-rank test/p value | Z = 1.372 p = 0.170 | Z = 1.521 p = 0.129 | Z = 3.076 p = 0.002 | Z = −2.51 p = 0.012 |
| Median RAS wt | 27 months | 19 months | 11 months | 9 months | |
| Median RAS mt | 23 months | 14 months | 8 months | 4 months | |
| Percentage decrease in tumour volume | Mann–Whitney U test/p value | Z = 0.314, p = 0.752 | Z = 1.071, p = 0.284 | Z = −1.923, p = 0.054 | Z = −1.946, p = 0.052 |
| Response to RECIST | Chi square test/p value | Chi2 = 2.319, p = 0.508 | Chi2 = 5.396, p = 0.145 | Chi2 = 5.736, p = 0.057 | Chi2 = 8.378, p = 0.016 |
| Type of Toxicity | Treatment Line | First-Line Chemotherapy | First-Line Targeted Therapy | Second-Line Chemotherapy | Second-Line Targeted Therapy | Third-Line Systemic Treatment | Fourth-Line Systemic Treatment |
|---|---|---|---|---|---|---|---|
| BIL | Chi2 = 12.874 | Chi2 = 1.360 | Chi2 = 4.977 | Chi2 = 3.394 | Chi2 = 2.027 | Chi2 = 2.618 | Chi2 = 0.0 |
| p = 0.116 | p = 0.503 | p = 0.289 | p = 0.494 | p = 0.362 | p = 0.855 | p = 1.0 | |
| ALT | Chi2 = 14.097 | Chi2 = 1.360 | Chi2 = 2.167 | Chi2 = 2.777 | Chi2 = 1.469 | Chi2 = 5.263 | Chi2 = 2.281 |
| p = 0.079 | p = 0.506 | p = 0.705 | p = 0.595 | p = 0.479 | p = 0.510 | p = 0.892 | |
| AST | Chi2 = 13.264 | Chi2 = 1.706 | Chi2 = 1.040 | Chi2 = 4.492 | Chi2 = 1.331 | Chi2 = 3.4 | Chi2 = 3.850 |
| p = 0.103 | p = 0.426 | p = 0.903 | p = 0.342 | p = 0.514 | p = 0.757 | p = 0.697 | |
| ALB | Chi2 = 1.687 | Chi2 = 0.090 | Chi2 = 2.0 | Chi2 = 1.333 | Chi2 = 6.741 | Chi2 = 2.916 | Chi2 = 8.0 |
| p = 0.793 | p = 0.764 | p = 0.367 | p = 0.513 | p = 0.009 | p = 0.405 | p = 0.046 | |
| PT | Chi2 = 2.029 | Chi2 = 0.010 | Chi2 = 0.933 | Chi2 = 0.130 | Chi2 = 0.035 | Chi2 = 2.179 | Chi2 = 3.428 |
| p = 0.730 | p = 0.919 | p = 0.627 | p = 0.936 | p = 0.850 | p = 0.536 | p = 0.330 |
| Type of Toxicity | Treatment Line | First-Line Chemotherapy | First-Line Targeted Therapy | Second-Line Chemotherapy | Second-Line Targeted Therapy | Third-Line Systemic Treatment | Fourth-Line Systemic Treatment |
|---|---|---|---|---|---|---|---|
| HGB | Chi2 = 19.251 | Chi2 = 1.347 | Chi2 = 1.221 | Chi2 = 3.057 | Chi2 = 6.638 | Chi2 = 4.197 | Chi2 = 1.934 |
| p = 0.082 | p = 0.717 | p = 0.976 | p = 0.801 | p = 0.084 | p = 0.897 | p = 0.992 | |
| PLT | Chi2 = 13.877 | Chi2 = 1.221 | Chi2 = 0.851 | Chi2 = 2.144 | Chi2 = 0.975 | Chi2 = 1.702 | Chi2 = 2.657 |
| p = 0.084 | p = 0.543 | p = 0.931 | p= 0.709 | p = 0.614 | p = 0.945 | p = 0.850 | |
| bleeding | Chi2 = 6.811 | Chi2 = 0.215 | Chi2 = 1.387 | Chi2 = 1.351 | Chi2 = 1.331 | Chi2 = 1.105 | Chi2 = 9.072 |
| p = 0.557 | p = 0.897 | p = 0.846 | p = 0.509 | p = 0.514 | p = 0.981 | p = 0.169 |
Disclaimer/Publisher’s Note: The statements, opinions and data contained in all publications are solely those of the individual author(s) and contributor(s) and not of MDPI and/or the editor(s). MDPI and/or the editor(s) disclaim responsibility for any injury to people or property resulting from any ideas, methods, instructions or products referred to in the content. |
© 2025 by the authors. Licensee MDPI, Basel, Switzerland. This article is an open access article distributed under the terms and conditions of the Creative Commons Attribution (CC BY) license (https://creativecommons.org/licenses/by/4.0/).
Share and Cite
Cisek, P.; Kozłowska, A.; Grzybowska-Szatkowska, L. Interventional Radiotherapy (Brachytherapy) Combined with Systemic Treatment—The Influence of RAS Gene Mutations and Combined Therapy on the Results and Toxicity of Colorectal Cancer Liver Metastases. Cancers 2025, 17, 3530. https://doi.org/10.3390/cancers17213530
Cisek P, Kozłowska A, Grzybowska-Szatkowska L. Interventional Radiotherapy (Brachytherapy) Combined with Systemic Treatment—The Influence of RAS Gene Mutations and Combined Therapy on the Results and Toxicity of Colorectal Cancer Liver Metastases. Cancers. 2025; 17(21):3530. https://doi.org/10.3390/cancers17213530
Chicago/Turabian StyleCisek, Paweł, Aleksandra Kozłowska, and Ludmiła Grzybowska-Szatkowska. 2025. "Interventional Radiotherapy (Brachytherapy) Combined with Systemic Treatment—The Influence of RAS Gene Mutations and Combined Therapy on the Results and Toxicity of Colorectal Cancer Liver Metastases" Cancers 17, no. 21: 3530. https://doi.org/10.3390/cancers17213530
APA StyleCisek, P., Kozłowska, A., & Grzybowska-Szatkowska, L. (2025). Interventional Radiotherapy (Brachytherapy) Combined with Systemic Treatment—The Influence of RAS Gene Mutations and Combined Therapy on the Results and Toxicity of Colorectal Cancer Liver Metastases. Cancers, 17(21), 3530. https://doi.org/10.3390/cancers17213530

