Subtype Characterization of Ovarian Cancer Cell Lines Using Machine Learning and Network Analysis: A Pilot Study
Simple Summary
Abstract
1. Introduction
2. Related Work
3. Materials and Methods
3.1. Experimental Design
3.2. Total RNA Extraction and RNA Sequencing
3.3. Feature Selection
3.4. Gene Co-Expression Similarity Network
- Calculate the Pearson pairwise correlation coefficient ρ between each pair of subjects Pi and Pj, where i and j range from 1 to N.
- ρ[i,j] represents the correlation coefficient between subjects Pi and Pj.
- Create a correlation matrix (CM) of size N × N, where N is the number of subjects in the study.
- Each element CM[i,j] of the matrix represents the ρ value between subjects Pi and Pj.
- Choose a predefined threshold value T to determine the strength of the correlation required for constructing the similarity network.
- A threshold above 0.5 is considered strong, but the specific value can be adjusted based on the desired criteria [48,49]. Typically, a correlation threshold of ≥0.5 can be applied to define significant connections between genes or samples. This value was chosen based on its common usage in gene co-expression network studies, where moderate correlation cutoffs effectively balance network sparsity and biological interpretability. Prior work has demonstrated that such thresholds capture stable co-expression patterns reflective of shared regulatory or functional relationships while minimizing false-positive edges arising from random noise [50,51]. The selection of an appropriate correlation threshold is critical in co-expression network construction. Best practices recommend choosing a threshold that maintains sufficient network connectivity while minimizing spurious associations, often determined empirically through sensitivity testing or guided by prior studies reporting biologically stable network structures.
- Create a significance matrix (SM) based on the correlation values in CM using the formula:
- SM is an adjacency matrix, where each element SM[i,j] determines whether an edge should be present between subjects Pi and Pj in the final network.
- Based on the values in the SM matrix, it generates the similarity network.
- For each pair of subjects (Pi,Pj) where SM[i,j] > T (indicating a significant correlation), create an edge connecting Pi and Pj in the network.
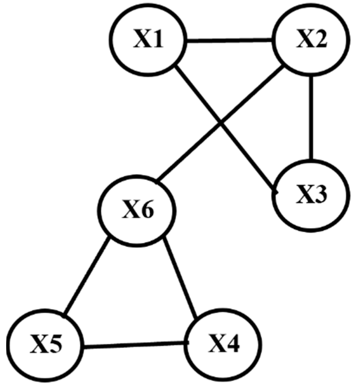
3.5. Illustrative Example
4. Results
4.1. Identification of Discriminative mRNAs Using Feature Selection
4.2. Model Training and Validation Performance
4.3. Similarity Network Representation
5. Discussion, Limitations, and Future Directions
6. Conclusions
Supplementary Materials
Author Contributions
Funding
Institutional Review Board Statement
Informed Consent Statement
Data Availability Statement
Conflicts of Interest
References
- Tavares, V.; Marques, I.S.; Melo, I.G.D.; Assis, J.; Pereira, D.; Medeiros, R. Paradigm shift: A comprehensive review of ovarian cancer management in an era of advancements. Int. J. Mol. Sci. 2024, 25, 1845. [Google Scholar] [CrossRef]
- Siegel, R.L.; Giaquinto, A.N.; Jemal, A. Cancer statistics, 2024. CA Cancer J. Clin. 2024, 74, 12–49. [Google Scholar] [CrossRef]
- Sung, H.; Ferlay, J.; Siegel, R.L.; Laversanne, M.; Soerjomataram, I.; Jemal, A.; Bray, F. Global canncbicer statistics 2020: GLOBOCAN estimates of incidence and mortality worldwide for 36 cancers in 185 countries. CA Cancer J. Clin. 2021, 71, 209–249. [Google Scholar]
- Prat, J. Ovarian carcinomas: Five distinct diseases with different origins, genetic alterations, and clinicopathological features. Virchows Arch. 2012, 460, 237–249. [Google Scholar] [CrossRef] [PubMed]
- Kurman, R.J.; Shih, I.M. The origin and pathogenesis of epithelial ovarian cancer: A proposed unifying theory. Am. J. Surg. Pathol. 2010, 34, 433–443. [Google Scholar] [CrossRef] [PubMed]
- Cancer Genome Atlas Research Network. Integrated genomic analyses of ovarian carcinoma. Nature 2011, 474, 609. [Google Scholar] [CrossRef]
- Köbel, M.; Kalloger, S.E.; Huntsman, D.G.; Santos, J.L.; Swenerton, K.D.; Seidman, J.D.; Gilks, C.B. Differences in tumor type in low-stage versus high-stage ovarian carcinomas. Int. J. Gynecol. Pathol. 2010, 29, 203–211. [Google Scholar] [CrossRef] [PubMed]
- Hollis, R.L.; Gourley, C. Genetic and molecular changes in ovarian cancer. Cancer Biol. Med. 2016, 13, 236–247. [Google Scholar] [CrossRef]
- Lisio, M.A.; Fu, L.; Goyeneche, A.; Gao, Z.H.; Telleria, C. High-grade serous ovarian cancer: Basic sciences, clinical and therapeutic standpoints. Int. J. Mol. Sci. 2019, 20, 952. [Google Scholar] [CrossRef]
- Tothill, R.W.; Tinker, A.V.; George, J.; Brown, R.; Fox, S.B.; Lade, S.; Johnson, D.S.; Trivett, M.K.; Etemadmoghadam, D.; Locandro, B.; et al. Novel molecular subtypes of serous and endometrioid ovarian cancer linked to clinical outcome. Clin. Cancer Res. 2008, 14, 5198–5208. [Google Scholar] [CrossRef]
- Lalremmawia, H.; Tiwary, B.K. Identification of molecular biomarkers for ovarian cancer using computational approaches. Carcinogenesis 2019, 40, 742–748. [Google Scholar] [CrossRef]
- Ghandi, M.; Huang, F.W.; Jané-Valbuena, J.; Kryukov, G.V.; Lo, C.C.; McDonald, E.R., III; Barretina, J.; Gelfand, E.T.; Bielski, C.M.; Li, H.; et al. Next-generation characterization of the cancer cell line encyclopedia. Nature 2019, 569, 503–508. [Google Scholar] [CrossRef]
- Sohn, M.-H.; Kim, S.I.; Shin, J.-Y.; Kim, H.S.; Chung, H.H.; Kim, J.-W.; Lee, M.; Seo, J.-S. Classification of high-grade serous ovarian carcinoma by epithelial-to-mesenchymal transition signature and homologous recombination repair genes. Genes 2021, 12, 1103. [Google Scholar] [CrossRef] [PubMed]
- Mabuchi, S.; Sugiyama, T.; Kimura, T. Clear cell carcinoma of the ovary: Molecular insights and future therapeutic perspectives. J. Gynecol. Oncol. 2016, 27, e31. [Google Scholar] [CrossRef]
- Wiegand, K.C.; Shah, S.P.; Al-Agha, O.M.; Zhao, Y.; Tse, K.; Zeng, T.; Senz, J.; McConechy, M.K.; Anglesio, M.S.; Kalloger, S.E.; et al. ARID1A mutations in endometriosis-associated ovarian carcinomas. N. Engl. J. Med. 2010, 363, 1532–1543. [Google Scholar] [CrossRef] [PubMed]
- Murali, R.; Davidson, B.; Fadare, O.; Carlson, J.A.; Crum, C.P.; Gilks, C.B.; Irving, J.A.; Malpica, A.; Matias-Guiu, X.; McCluggage, W.G.; et al. High-grade Endometrial Carcinomas: Morphologic and Immunohistochemical Features, Diagnostic Challenges and Recommendations. Int. J. Gynecol. Pathol. 2019, 38 (Suppl. 1), S40–S63. [Google Scholar] [CrossRef]
- Kasavi, C. Gene co-expression network analysis revealed novel biomarkers for ovarian cancer. Front. Genet. 2022, 13, 971845. [Google Scholar] [CrossRef]
- Carey, K.M.; Young, C.D.; Clark, A.J.; Dammer, E.B.; Singh, R.; Lillard, J.W., Jr. Subtype-specific analysis of gene co-expression networks and immune cell profiling reveals high grade serous ovarian cancer subtype linkage to variable immune microenvironment. J. Ovarian Res. 2024, 17, 240. [Google Scholar] [CrossRef]
- Zhao, Z.; Xing, L.; Cheng, Q.; Wu, Z.; Xue, F.; Peng, Y.; Zhang, Y.; Lv, G.; Zhang, Y.; Zhang, C. Comprehensive analysis of consensus molecular subtypes for ovarian cancer from bulk to single-cell perspectives. J. Biol. Chem. 2024, 300, 107710. [Google Scholar] [CrossRef] [PubMed]
- Liou, K.; Wang, J.P. Integrating genetic and gene expression data in network-based stratification analysis of cancers. BMC Bioinform. 2025, 26, 126. [Google Scholar] [CrossRef]
- Thelagathoti, R.K.; Chandel, D.S.; Tom, W.A.; Jiang, C.; Krzyzanowski, G.; Olou, A.; Fernando, M.R. Machine Learning-Based Ensemble Feature Selection and Nested Cross-Validation for miRNA Biomarker Discovery in Usher Syndrome. Bioengineering 2025, 12, 497. [Google Scholar] [CrossRef]
- Menyhárt, O.; Győrffy, B. Multi-omics approaches in cancer research with applications in tumor subtyping, prognosis, and diagnosis. Comput. Struct. Biotechnol. J. 2021, 19, 949–960. [Google Scholar] [CrossRef] [PubMed]
- Staartjes, V.E.; Kernbach, J.M.; Stumpo, V.; van Niftrik, C.H.B.; Serra, C.; Regli, L. Foundations of Feature Selection in Clinical Prediction Modeling. Acta Neurochir. Suppl. 2022, 134, 51–57. [Google Scholar] [CrossRef]
- Roberts, A.G.; Catchpoole, D.R.; Kennedy, P.J. Variance-based feature selection for classification of cancer subtypes using gene expression data. In Proceedings of the 2018 International Joint Conference on Neural Networks (IJCNN), Rio de Janeiro, Brazil, 8–13 July 2018; pp. 1–8. [Google Scholar]
- Lee, D.D.; Seung, H.S. Learning the parts of objects by non-negative matrix factorization. Nature 1999, 401, 788–791. [Google Scholar] [CrossRef] [PubMed]
- Tan, H.; Wang, G.; Wang, W.; Zhang, Z. Feature selection based on distance correlation: A filter algorithm. J. Appl. Stat. 2020, 49, 411–426. [Google Scholar] [CrossRef]
- Brunet, J.P.; Tamayo, P.; Golub, T.R.; Mesirov, J.P. Metagenes and molecular pattern discovery using matrix factorization. Proc. Natl. Acad. Sci. USA 2004, 101, 4164–4169. [Google Scholar] [CrossRef] [PubMed]
- Greener, J.G.; Kandathil, S.M.; Moffat, L.; Jones, D.T. A guide to machine learning for biologists. Nat. Rev. Mol. Cell Biol. 2022, 23, 40–55. [Google Scholar] [CrossRef]
- Swanson, K.; Wu, E.; Zhang, A.; Alizadeh, A.A.; Zou, J. From patterns to patients: Advances in clinical machine learning for cancer diagnosis, prognosis, and treatment. Cell 2023, 186, 1772–1791. [Google Scholar] [CrossRef]
- Zhang, W.; Ota, T.; Shridhar, V.; Chien, J.; Wu, B.; Kuang, R. Network-based survival analysis reveals subnetwork signatures for predicting outcomes of ovarian cancer treatment. PLoS Comput. Biol. 2013, 9, e1002975. [Google Scholar] [CrossRef]
- HHollis, R.L.; Thomson, J.P.; Stanley, B.; Churchman, M.; Meynert, A.M.; Rye, T.; Bartos, C.; Iida, Y.; Croy, I.; Mackean, M.; et al. Molecular stratification of endometrioid ovarian carcinoma predicts clinical outcome. Nat. Commun. 2020, 11, 4995. [Google Scholar] [CrossRef]
- Li, F.; Gao, L.; Wang, P.; Hu, Y. Identifying cancer specific driver modules using a network-based method. Molecules 2018, 23, 1114. [Google Scholar] [CrossRef] [PubMed]
- Hofree, M.; Shen, J.P.; Carter, H.; Gross, A.; Ideker, T. Network-based stratification of tumor mutations. Nat. Methods 2013, 10, 1108–1115. [Google Scholar] [CrossRef] [PubMed]
- Verhaak, R.G.; Tamayo, P.; Yang, J.-Y.; Hubbard, D.; Zhang, H.; Creighton, C.J.; Fereday, S.; Lawrence, M.; Carter, S.L.; Mermel, C.H.; et al. Prognostically relevant gene signatures of high-grade serous ovarian carcinoma. J. Clin. Investig. 2012, 123, 517–525. [Google Scholar] [CrossRef]
- Domcke, S.; Sinha, R.; Levine, D.A.; Sander, C.; Schultz, N. Evaluating cell lines as tumour models by comparison of genomic profiles. Nat. Commun. 2013, 4, 2126. [Google Scholar] [CrossRef] [PubMed]
- Libbrecht, M.W.; Noble, W.S. Machine learning applications in genetics and genomics. Nat. Rev. Genet. 2015, 16, 321–332. [Google Scholar] [CrossRef]
- Kourou, K.; Exarchos, T.P.; Exarchos, K.P.; Karamouzis, M.V.; Fotiadis, D.I. Machine learning applications in cancer prognosis and prediction. Comput. Struct. Biotechnol. J. 2015, 13, 8–17. [Google Scholar] [CrossRef]
- National Center for Biotechnology Information (NCBI). BioProject: PRJEB18066. NCBI. Available online: https://www.ncbi.nlm.nih.gov/bioproject/PRJEB18066 (accessed on 25 September 2025).
- Bushnell, B. BBMap: A Fast, Accurate, Splice-Aware Aligner; LBL Publications: Berkeley, CA, USA, 2014. [Google Scholar]
- Dobin, A.; Davis, C.A.; Schlesinger, F.; Drenkow, J.; Zaleski, C.; Jha, S.; Batut, P.; Chaisson, M.; Gingeras, T.R. STAR: Ultrafast universal RNA-seq aligner. Bioinformatics 2013, 29, 15–21. [Google Scholar] [CrossRef]
- Patro, R.; Duggal, G.; Love, M.I.; Irizarry, R.A.; Kingsford, C. Salmon provides fast and bias-aware quantification of transcript expression. Nat. Methods 2017, 14, 417–419. [Google Scholar] [CrossRef]
- Bolón-Canedo, V.; Sánchez-Maroño, N.; Alonso-Betanzos, A. Feature selection for high-dimensional data. Prog. Artif. Intell. 2016, 5, 65–75. [Google Scholar] [CrossRef]
- Ali, M.U.; Zafar, A.; Kallu, K.D.; Masood, H.; Mannan, M.M.N.; Ibrahim, M.M.; Kim, S.; Khan, M.A. Correlation-Filter-Based Channel and Feature Selection Framework for Hybrid EEG-fNIRS BCI Applications. IEEE J. Biomed. Health Inform. 2024, 28, 3361–3370. [Google Scholar] [CrossRef]
- Chandrashekar, G.; Sahin, F. A survey on feature selection methods. Comput. Electr. Eng. 2014, 40, 16–28. [Google Scholar] [CrossRef]
- Guyon, I.; Weston, J.; Barnhill, S.; Vapnik, V. Gene selection for cancer classification using support vector machines. Mach. Learn. 2002, 46, 389–422. [Google Scholar] [CrossRef]
- Tibshirani, R. Regression shrinkage and selection via the lasso. J. R. Stat. Soc. Ser. B Stat. Methodol. 1996, 58, 267–288. [Google Scholar] [CrossRef]
- Wu, T.T.; Chen, Y.F.; Hastie, T.; Sobel, E.; Lange, K. Genome-wide association analysis by lasso penalized logistic regression. Bioinformatics 2009, 25, 714–721. [Google Scholar] [CrossRef]
- Thelagathoti, R.K.; Tom, W.A.; Jiang, C.; Chandel, D.S.; Krzyzanowski, G.; Olou, A.; Fernando, R.M. A Network Analysis Approach to Detect and Differentiate Usher Syndrome Types Using miRNA Expression Profiles: A Pilot Study. BioMedInformatics 2024, 4, 2271–2286. [Google Scholar] [CrossRef]
- Thelagathoti, R.K.; Chaudhary, P.; Knarr, B.; Schenkelberg, M.; Ali, H.H.; Dinkel, D. Exploring infant physical activity using a population-based network analysis approach. Analytics 2023, 3, 14–29. [Google Scholar] [CrossRef]
- Lee, H.K.; Hsu, A.K.; Sajdak, J.; Qin, J.; Pavlidis, P. Coexpression analysis of human genes across many microarray data sets. Genome Res. 2004, 14, 1085–1094. [Google Scholar] [CrossRef]
- Van Dam, S.; Vosa, U.; van der Graaf, A.; Franke, L.; de Magalhaes, J.P. Gene co-expression analysis for functional classification and gene–disease predictions. Brief. Bioinform. 2018, 19, 575–592. [Google Scholar] [CrossRef]
- Wallace, D.C. Mitochondria and cancer. Nat. Rev. Cancer 2012, 12, 685–698. [Google Scholar] [CrossRef]
- Gaude, E.; Frezza, C. Tissue-specific and convergent metabolic transformation of cancer correlates with metastatic potential and patient survival. Nat. Commun. 2016, 7, 13041. [Google Scholar] [CrossRef]
- Pelletier, J.; Thomas, G.; Volarević, S. Ribosome biogenesis in cancer: New players and therapeutic avenues. Nat. Rev. Cancer 2018, 18, 51–63. [Google Scholar] [CrossRef] [PubMed]
- Ruggero, D. Revisiting the nucleolus: From marker to dynamic integrator of cancer signaling. Sci. Signal. 2012, 5, pe38. [Google Scholar] [CrossRef]
- Dvinge, H.; Bradley, R.K. Widespread intron retention diversifies most cancer transcriptomes. Genome Med. 2015, 7, 45. [Google Scholar] [CrossRef]
- Sveen, A.; Kilpinen, S.; Ruusulehto, A.; Lothe, R.A.; Skotheim, R.I. Aberrant RNA splicing in cancer; expression changes and driver mutations of splicing factor genes. Oncogene 2016, 35, 2413–2427. [Google Scholar] [CrossRef]
- Zhou, Y.; Jiang, Z.; Cao, L.; Yang, J. The role of various collagen types in tumor biology: A review. Front. Oncol. 2025, 15, 1549797. [Google Scholar] [CrossRef]
- Lu, P.; Weaver, V.M.; Werb, Z. The extracellular matrix: A dynamic niche in cancer progression. J. Cell Biol. 2012, 196, 395–406. [Google Scholar] [CrossRef]
- de la Cruz Concepcion, B.; Bartolo-Garcia, L.D.; Tizapa-Mendez, M.D.; Martinez-Velez, M.; Valerio-Diego, J.J.; Illades-Aguiar, B.; Salmeron-Barcenas, E.G.; Ortiz-Ortiz, J.; Torres-Rojas, F.; Mendoza-Catalan, M.A.; et al. EMMPRIN is an emerging protein capable of regulating cancer hallmarks. Eur. Rev. Med. Pharmacol. Sci. 2022, 26, 6700–6724. [Google Scholar]
- Yin, X.; Fang, S.; Wang, M.; Wang, Q.; Fang, R.; Chen, J. EFEMP1 promotes ovarian cancer cell growth, invasion and metastasis via activated the AKT pathway. Oncotarget 2016, 7, 47938. [Google Scholar] [CrossRef]
- Human Protein Atlas. PRUNE2 Expression in Ovarian Cancer. 2025. Available online: https://www.proteinatlas.org/ENSG00000106772-776 (accessed on 25 July 2025).
- Fraser, M.; Leung, B.; Jahani-Asl, A.; Yan, X.; Thompson, W.E.; Tsang, B.K. Chemoresistance in human ovarian cancer: The role of apoptotic regulators. Reprod. Biol. Endocrinol. 2003, 1, 66. [Google Scholar] [CrossRef] [PubMed]
- Karam, A.; Dorigo, O. MMPs in ovarian cancer as therapeutic targets. Anti-Cancer Agents Med. Chem. 2012, 12, 764–772. [Google Scholar] [CrossRef] [PubMed]
- Zaid, T.M.; Yeung, T.-L.; Thompson, M.S.; Leung, C.S.; Harding, T.; Co, N.-N.; Schmandt, R.S.; Kwan, S.-Y.; Rodriguez-Aguay, C.; Lopez-Berestein, G.; et al. Identification of FGFR4 as a potential therapeutic target for advanced-stage, high-grade serous ovarian cancer. Clin. Cancer Res. 2013, 19, 809–820. [Google Scholar] [CrossRef] [PubMed]
- Vyas, S.; Zaganjor, E.; Haigis, M.C. Mitochondria and cancer. Cell 2016, 166, 555–566. [Google Scholar] [CrossRef]
- Zong, W.X.; Rabinowitz, J.D.; White, E. Mitochondria and cancer. Mol. Cell 2016, 61, 667–676. [Google Scholar] [CrossRef]
- Chawla, N.V.; Bowyer, K.W.; Hall, L.O.; Kegelmeyer, W.P. SMOTE: Synthetic minority over-sampling technique. J. Artif. Intell. Res. 2002, 16, 321–357. [Google Scholar] [CrossRef]
- Rosso, R.; Turinetto, M.; Borella, F.; Chopin, N.; Meeus, P.; Lainè, A.; Ray-Coquard, I.; Le Saux, O.; Ferraioli, D. Ovarian clear cell carcinoma: Open questions on the management and treatment algorithm. Oncologist 2025, 30, oyae325. [Google Scholar] [CrossRef]
- Hamilton, T.C.; Young, R.C.; McKoy, W.M.; Grotzinger, K.R.; Green, J.A.; Chu, E.W.; Whang-Peng, J.; Rogan, A.M.; Green, W.R.; Ozols, R.F. Characterization of a human ovarian carcinoma cell line (NIH: OVCAR-3) with androgen and estrogen receptors. Cancer Res. 1983, 43, 5379–5389. [Google Scholar]
- Bénard, J.; Da Silva, J.; De Blois, M.C.; Boyer, P.; Duvillard, P.; Chiric, E.; Riou, G. Characterization of a human ovarian adenocarcinoma line, IGROV1, in tissue culture and in nude mice. Cancer Res. 1985, 45, 4970–4979. [Google Scholar]
- Thelagathoti, R.K.; Jiang, C.; Chandel, D.S.; Tom, W.A.; Sarmiento, C.; Krzyzanowski, G.; Olou, A.; Fernando, M.R. Detecting optimal biomarkers in ovarian cancer cells from high-dimensional mRNA expression data using machine learning. Comput. Methods Programs Biomed. 2025. submitted. [Google Scholar]
- Yoshihara, M.; Kajiyama, H.; Yokoi, A.; Sugiyama, M.; Koya, Y.; Yamakita, Y.; Liu, W.; Nakamura, K.; Moriyama, Y.; Yasui, H.; et al. Ovarian cancer-associated mesothelial cells induce acquired platinum-resistance in peritoneal metastasis via the FN1/Akt signaling pathway. Int. J. Cancer 2020, 146, 2268–2280. [Google Scholar] [CrossRef] [PubMed]
- Yang, T.; Qiu, H.; Bao, W.; Li, B.; Lu, C.; Du, G.; Luo, X.; Wang, L.; Wan, X. Epigenetic inactivation of EFEMP1 is associated with tumor suppressive function in endometrial carcinoma. PLoS ONE 2013, 8, e67458. [Google Scholar] [CrossRef][Green Version]
- Barnes, B.M.; Nelson, L.; Tighe, A.; Burghel, G.J.; Lin, I.-H.; Desai, S.; McGrail, J.C.; Morgan, R.D.; Taylor, S.S. Distinct transcriptional programs stratify ovarian cancer cell lines into the five major histological subtypes. Genome Med. 2021, 13, 140. [Google Scholar] [CrossRef]
- McCabe, A.; Zaheed, O.; McDade, S.S.; Dean, K. Investigating the suitability of in vitro cell lines as models for the major subtypes of epithelial ovarian cancer. Front. Cell Dev. Biol. 2023, 11, 1104514. [Google Scholar] [CrossRef]
- Shih, I.M.; Wang, Y.; Wang, T.L. The origin of ovarian cancer species and precancerous landscape. Am. J. Pathol. 2021, 191, 26–39. [Google Scholar] [CrossRef]
- Lord, C.J.; Ashworth, A. BRCAness revisited. Nat. Rev. Cancer 2016, 16, 110–120. [Google Scholar] [CrossRef] [PubMed]
- Chen, J.; Weiss, W.A. Alternative splicing in cancer: Implications for biology and therapy. Oncogene 2015, 34, 1–14. [Google Scholar] [CrossRef] [PubMed]
- Bhat, M.; Robichaud, N.; Hulea, L.; Sonenberg, N.; Pelletier, J.; Topisirovic, I. Targeting the translation machinery in cancer. Nat. Rev. Drug Discov. 2015, 14, 261–278. [Google Scholar] [CrossRef]
- Ascenzi, P.; Di Masi, A.; Sciorati, C.; Clementi, E. Peroxynitrite—An ugly biofactor? Biofactors 2010, 36, 264–273. [Google Scholar] [CrossRef]
- Ortega, A.L.; Mena, S.; Estrela, J.M. Glutathione in cancer cell death. Cancers 2011, 3, 1285–1310. [Google Scholar] [CrossRef] [PubMed]
- Hanahan, D.; Weinberg, R.A. Hallmarks of cancer: The next generation. Cell 2011, 144, 646–674. [Google Scholar] [CrossRef]
- Ricklin, D.; Hajishengallis, G.; Yang, K.; Lambris, J.D. Complement: A key system for immune surveillance and homeostasis. Nat. Immunol. 2010, 11, 785–797. [Google Scholar] [CrossRef]
- Leng, L.; Metz, C.N.; Fang, Y.; Xu, J.; Donnelly, S.; Baugh, J.; Delohery, T.; Chen, Y.; Mitchell, R.A.; Bucala, R. MIF signal transduction initiated by binding to CD74. J. Exp. Med. 2003, 197, 1467–1476. [Google Scholar] [CrossRef] [PubMed]
- Hamanishi, J.; Mandai, M.; Ikeda, T.; Minami, M.; Kawaguchi, A.; Murayama, T.; Kanai, M.; Mori, Y.; Matsumoto, S.; Chikuma, S.; et al. Safety and antitumor activity of anti–PD-1 antibody, nivolumab, in patients with platinum-resistant ovarian cancer. J. Clin. Oncol. 2015, 33, 4015–4022. [Google Scholar] [CrossRef] [PubMed]
- Banerjee, S.; Kaye, S.B. New strategies in the treatment of ovarian cancer: Current clinical perspectives and future potential. Clin. Cancer Res. 2013, 19, 961–968. [Google Scholar] [CrossRef]
- Ridley, A.J. Rho GTPases and cell migration. J. Cell Sci. 2001, 114, 2713–2722. [Google Scholar] [CrossRef]
- Worzfeld, T.; Pogge von Strandmann, E.; Huber, M.; Adhikary, T.; Wagner, U.; Reinartz, S.; Müller, R. The unique molecular and cellular microenvironment of ovarian cancer. Front. Oncol. 2017, 7, 24. [Google Scholar] [CrossRef]
- Godwin, A.K.; Meister, A.; O’Dwyer, P.J.; Huang, C.S.; Hamilton, T.C.; Anderson, M.E. High resistance to cisplatin in human ovarian cancer cell lines is associated with marked increase of glutathione synthesis. Proc. Natl. Acad. Sci. USA 1992, 89, 3070–3074. [Google Scholar] [CrossRef] [PubMed]






| X1 | X2 | X3 | X4 | X5 | X6 | |
|---|---|---|---|---|---|---|
| X1 | 1.0 | 0.8 | 0.9 | 0.4 | 0.6 | 0.3 |
| X2 | 0.8 | 1.0 | 0.7 | 0.5 | 0.4 | 0.8 |
| X3 | 0.9 | 0.7 | 1.0 | 0.2 | 0.6 | 0.4 |
| X4 | 0.4 | 0.5 | 0.2 | 1.0 | 0.9 | 0.8 |
| X5 | 0.6 | 0.4 | 0.6 | 0.9 | 1.0 | 0.7 |
| X6 | 0.3 | 0.8 | 0.4 | 0.8 | 0.7 | 1.0 |
| X1 | X2 | X3 | X4 | X5 | X6 | |
|---|---|---|---|---|---|---|
| X1 | 0 | 1 | 1 | 0 | 0 | 0 |
| X2 | 1 | 0 | 1 | 0 | 0 | 0 |
| X3 | 1 | 1 | 0 | 0 | 0 | 0 |
| X4 | 0 | 0 | 0 | 0 | 1 | 1 |
| X5 | 0 | 0 | 0 | 1 | 0 | 1 |
| X6 | 0 | 1 | 0 | 1 | 1 | 0 |
| Model | Accuracy | Sensitivity | Specificity | F1 Score | AUC |
|---|---|---|---|---|---|
| Logistic regression | 1.00 ± 0.00 (1.00, 1.00) | 1.00 ± 0.00 (1.00, 1.00) | 1.00 ± 0.00 (1.00, 1.00) | 1.00 ± 0.00 (1.00, 1.00) | 1.00 ± 0.00 (1.00, 1.00) |
| Random forest | 1.00 ± 0.00 (1.00, 1.00) | 1.00 ± 0.00 (1.00, 1.00) | 1.00 ± 0.00 (1.00, 1.00) | 1.00 ± 0.00 (1.00, 1.00) | 1.00 ± 0.00 (1.00, 1.00) |
| XGBoost | 0.86 ± 0.20 (0.68, 1.00) | 0.81 ± 0.32 (0.53, 1.00) | 0.90 ± 0.22 (0.70, 1.00) | 0.84 ± 0.26 (0.61, 1.00) | 0.86 ± 0.20 (0.68, 1.00) |
| AdaBoost | 0.97 ± 0.06 (0.92, 1.00) | 1.00 ± 0.00 (1.00, 1.00) | 0.90 ± 0.22 (0.70, 1.00) | 0.98 ± 0.04 (0.95, 1.00) | 0.95 ± 0.11 (0.85, 1.00) |
| Decision tree | 0.91 ± 0.13 (0.80, 1.00) | 0.92 ± 0.18 (0.76, 1.00) | 0.93 ± 0.15 (0.80, 1.00) | 0.93 ± 0.11 (0.83, 1.00) | 0.93 ± 0.10 (0.84, 1.00) |
| SVM | 0.91 ± 0.13 (0.80, 1.00) | 1.00 ± 0.00 (1.00, 1.00) | 0.77 ± 0.32 (0.48, 1.00) | 0.94 ± 0.09 (0.86, 1.00) | 0.98 ± 0.04 (0.95, 1.00) |
| Model | Accuracy | Sensitivity | Specificity | F1 Score | AUC |
|---|---|---|---|---|---|
| Logistic regression | 1.00 ± 0.00 (1.00, 1.00) | 1.00 ± 0.00 (1.00, 1.00) | 1.00 ± 0.00 (1.00, 1.00) | 1.00 ± 0.00 (1.00, 1.00) | 1.00 ± 0.00 (1.00, 1.00) |
| Random forest | 1.00 ± 0.00 (1.00, 1.00) | 1.00 ± 0.00 (1.00, 1.00) | 1.00 ± 0.00 (1.00, 1.00) | 1.00 ± 0.00 (1.00, 1.00) | 1.00 ± 0.00 (1.00, 1.00) |
| XGBoost | 0.91 ± 0.13 (0.80, 1.00) | 0.86 ± 0.22 (0.67, 1.00) | 1.00 ± 0.00 (1.00, 1.00) | 0.91 ± 0.14 (0.78, 1.00) | 0.93 ± 0.11 (0.83, 1.00) |
| AdaBoost | 0.97 ± 0.06 (0.92, 1.00) | 1.00 ± 0.00 (1.00, 1.00) | 0.90 ± 0.22 (0.70, 1.00) | 0.98 ± 0.04 (0.95, 1.00) | 0.95 ± 0.11 (0.85, 1.00) |
| Decision tree | 0.97 ± 0.06 (0.92, 1.00) | 1.00 ± 0.00 (1.00, 1.00) | 0.93 ± 0.15 (0.80, 1.00) | 0.98 ± 0.05 (0.93, 1.00) | 0.97 ± 0.07 (0.90, 1.00) |
| SVM | 0.83 ± 0.12 (0.72, 0.93) | 1.00 ± 0.00 (1.00, 1.00) | 0.60 ± 0.28 (0.36, 0.84) | 0.88 ± 0.08 (0.80, 0.95) | 1.00 ± 0.00 (1.00, 1.00) |
Disclaimer/Publisher’s Note: The statements, opinions and data contained in all publications are solely those of the individual author(s) and contributor(s) and not of MDPI and/or the editor(s). MDPI and/or the editor(s) disclaim responsibility for any injury to people or property resulting from any ideas, methods, instructions or products referred to in the content. |
© 2025 by the authors. Licensee MDPI, Basel, Switzerland. This article is an open access article distributed under the terms and conditions of the Creative Commons Attribution (CC BY) license (https://creativecommons.org/licenses/by/4.0/).
Share and Cite
Thelagathoti, R.K.; Chandel, D.S.; Jiang, C.; Tom, W.A.; Krzyzanowski, G.; Olou, A.; Fernando, M.R. Subtype Characterization of Ovarian Cancer Cell Lines Using Machine Learning and Network Analysis: A Pilot Study. Cancers 2025, 17, 3509. https://doi.org/10.3390/cancers17213509
Thelagathoti RK, Chandel DS, Jiang C, Tom WA, Krzyzanowski G, Olou A, Fernando MR. Subtype Characterization of Ovarian Cancer Cell Lines Using Machine Learning and Network Analysis: A Pilot Study. Cancers. 2025; 17(21):3509. https://doi.org/10.3390/cancers17213509
Chicago/Turabian StyleThelagathoti, Rama Krishna, Dinesh S. Chandel, Chao Jiang, Wesley A. Tom, Gary Krzyzanowski, Appolinaire Olou, and M. Rohan Fernando. 2025. "Subtype Characterization of Ovarian Cancer Cell Lines Using Machine Learning and Network Analysis: A Pilot Study" Cancers 17, no. 21: 3509. https://doi.org/10.3390/cancers17213509
APA StyleThelagathoti, R. K., Chandel, D. S., Jiang, C., Tom, W. A., Krzyzanowski, G., Olou, A., & Fernando, M. R. (2025). Subtype Characterization of Ovarian Cancer Cell Lines Using Machine Learning and Network Analysis: A Pilot Study. Cancers, 17(21), 3509. https://doi.org/10.3390/cancers17213509

