Sex-Based Differences in Outcomes for Glioblastoma Patients Treated with Hypofractionated Chemoradiotherapy
Simple Summary
Abstract
1. Introduction
2. Methods
2.1. Study Cohort
2.2. Treatment
2.3. Statistical Analyses
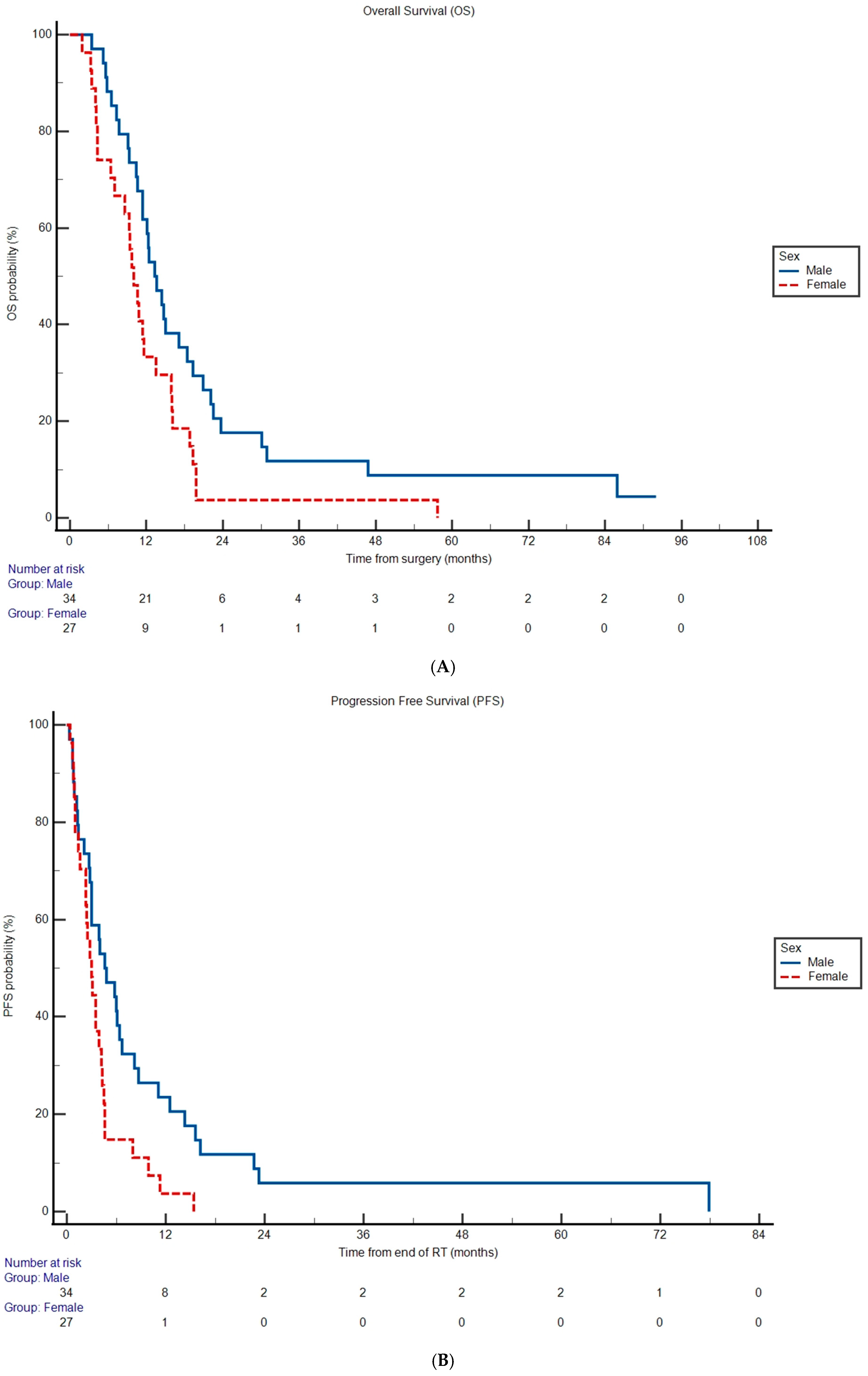
3. Results
3.1. Composite Demographics
3.2. Univariate Analysis
3.3. Multivariate Cox Proportional Hazard Analysis
3.4. Chi-Squared Analysis for Covariate Association with Sex
4. Discussion
5. Conclusions
Supplementary Materials
Author Contributions
Funding
Institutional Review Board Statement
Informed Consent Statement
Data Availability Statement
Conflicts of Interest
Abbreviations
| GBM | glioblastoma | 
| hyRT | hypofractionated radiotherapy | 
| cvRT | conventionally fractionated radiotherapy | 
| cGy | centi-Gray | 
| TMZ | temozolomide | 
| OS | overall survival | 
| PFS | progression-free survival | 
| EOR | extent of resection | 
| MGMT | methylguanine-DNA methyltransferase | 
| KPS | Karnofsky Performance Scale | 
| NCDB | National Cancer Database | 
| RTOG | Radiation Therapy Oncology Group | 
| SEER | Surveillance, Epidemiology, and End Results | 
| MRI | Magnetic Resonance Imaging | 
| BED | Biologically Effective Dose | 
References
- Thakkar, J.P.; Dolecek, T.A.; Horbinski, C.; Ostrom, Q.T.; Lightner, D.D.; Barnholtz-Sloan, J.S.; Villano, J.L. Epidemiologic and Molecular Prognostic Review of Glioblastoma. Cancer Epidemiol. Biomark. Prev. 2014, 23, 1985–1996. [Google Scholar] [CrossRef]
- Paszat, L.; Laperriere, N.; Groome, P.; Schulze, K.; Mackillop, W.; Holowaty, E. A population-based study of glioblastoma multiforme. Int. J. Radiat. Oncol. 2001, 51, 100–107. [Google Scholar] [CrossRef]
- Laperriere, N.; Weller, M.; Stupp, R.; Perry, J.R.; Brandes, A.A.; Wick, W.; Bent, M.J.v.D. Optimal management of elderly patients with glioblastoma. Cancer Treat. Rev. 2013, 39, 350–357. [Google Scholar] [CrossRef]
- Brandes, A.A.; Franceschi, E.; Tosoni, A.; Benevento, F.; Scopece, L.; Mazzocchi, V.; Bacci, A.; Agati, R.; Calbucci, F.; Ermani, M. Temozolomide concomitant and adjuvant to radiotherapy in elderly patients with glioblastoma. Cancer 2009, 115, 3512–3518. [Google Scholar] [CrossRef]
- Keime-Guibert, F.; Chinot, O.; Taillandier, L.; Cartalat-Carel, S.; Frenay, M.; Kantor, G.; Guillamo, J.-S.; Jadaud, E.; Colin, P.; Bondiau, P.-Y.; et al. Radiotherapy for Glioblastoma in the Elderly. N. Engl. J. Med. 2007, 356, 1527–1535. [Google Scholar] [CrossRef]
- Malmström, A.; Grønberg, B.H.; Marosi, C.; Stupp, R.; Frappaz, D.; Schultz, H.; Abacioglu, U.; Tavelin, B.; Lhermitte, B.; E Hegi, M.; et al. Temozolomide versus standard 6-week radiotherapy versus hypofractionated radiotherapy in patients older than 60 years with glioblastoma: The Nordic randomised, phase 3 trial. Lancet Oncol. 2012, 13, 916–926. [Google Scholar] [CrossRef] [PubMed]
- Perry, J.R.; Laperriere, N.; O’cAllaghan, C.J.; Brandes, A.A.; Menten, J.; Phillips, C.; Fay, M.; Nishikawa, R.; Cairncross, J.G.; Roa, W.; et al. Short-Course Radiation plus Temozolomide in Elderly Patients with Glioblastoma. N. Engl. J. Med. 2017, 376, 1027–1037. [Google Scholar] [CrossRef] [PubMed]
- Gittleman, H.; Cioffi, G.; Chunduru, P.; Molinaro, A.M.; Berger, M.S.; E Sloan, A.; Barnholtz-Sloan, J.S. An independently validated nomogram for isocitrate dehydrogenase-wild-type glioblastoma patient survival. Neuro-Oncol. Adv. 2019, 1. [Google Scholar] [CrossRef] [PubMed]
- Malay, S.; Somasundaram, E.; Patil, N.; Buerki, R.; Sloan, A.; Barnholtz-Sloan, J.S. Treatment and surgical factors associated with longer-term glioblastoma survival: A National Cancer Database study. Neuro-Oncol. Adv. 2020, 2, 1–10. [Google Scholar] [CrossRef]
- Xie, J.; Yang, S.; Liu, X.; Zhao, Y. Effect of marital status on survival in glioblastoma multiforme by demographics, education, economic factors, and insurance status. Cancer Med. 2018, 7, 3722–3742. [Google Scholar] [CrossRef]
- Yusuf, M.B.; Gaskins, J.; Amsbaugh, M.J.; Woo, S.; Burton, E. Survival impact of prolonged postoperative radiation therapy for patients with glioblastoma treated with combined-modality therapy. Neuro-Oncol. Pract. 2018, 6, 112–123. [Google Scholar] [CrossRef]
- Hsu, E.J.; Thomas, J.; Timmerman, R.D.; Wardak, Z.; Dan, T.D.; Patel, T.R.; Sanford, N.N.; Vo, D.T. Socioeconomic and demographic determinants of radiation treatment and outcomes in glioblastoma patients. Front. Neurol. 2022, 13, 1024138. [Google Scholar] [CrossRef]
- Patil, N.; Somasundaram, E.; Waite, K.A.; Lathia, J.D.; Machtay, M.; Gilbert, M.R.; Connor, J.R.; Rubin, J.B.; Berens, M.E.; Buerki, R.A.; et al. Independently validated sex-specific nomograms for predicting survival in patients with newly diagnosed glioblastoma: NRG Oncology RTOG 0525 and 0825. J. Neuro-Oncol. 2021, 155, 363–372. [Google Scholar] [CrossRef]
- Gilbert, M.R.; Wang, M.; Aldape, K.D.; Stupp, R.; Hegi, M.E.; Jaeckle, K.A.; Armstrong, T.S.; Wefel, J.S.; Won, M.; Blumenthal, D.T.; et al. Dose-Dense Temozolomide for Newly Diagnosed Glioblastoma: A Randomized Phase III Clinical Trial. J. Clin. Oncol. 2013, 31, 4085–4091. [Google Scholar] [CrossRef]
- Gilbert, M.R.; Dignam, J.J.; Armstrong, T.S.; Wefel, J.S.; Blumenthal, D.T.; Vogelbaum, M.A.; Colman, H.; Chakravarti, A.; Pugh, S.; Won, M.; et al. A Randomized Trial of Bevacizumab for Newly Diagnosed Glioblastoma. N. Engl. J. Med. 2014, 370, 699–708. [Google Scholar] [CrossRef]
- Ostrom, Q.T.; Rubin, J.B.; Lathia, J.D.; E Berens, M.; Barnholtz-Sloan, J.S. Females have the survival advantage in glioblastoma. Neuro-Oncology 2018, 20, 576–577. [Google Scholar] [CrossRef]
- Putz, F.; Knippen, S.; Lahmer, G.; Fietkau, R.; Semrau, S. A Model to Predict the Feasibility of Concurrent Chemoradiotherapy With Temozolomide in Glioblastoma Multiforme Patients Over Age 65. Am. J. Clin. Oncol. 2017, 40, 523–529. [Google Scholar] [CrossRef] [PubMed]
- Income by Zip Code Tabulation Area-Census Bureau Maps. Available online: https://data.census.gov/map?q=Income+by+Zip+code+tabulation+area&layer=VT_2022_860_Z2_PY_D1&loc=43.3751,-113.1138,z2.6270 (accessed on 19 September 2025).
- Clark, T.G.; Bradburn, M.J.; Love, S.B.; Altman, D.G. Survival Analysis Part I: Basic concepts and first analyses. Br. J. Cancer 2003, 89, 232–238. [Google Scholar] [CrossRef]
- Klein, J.P.; Moeschberger, M.L. Survival Analysis: Techniques for Censored and Truncated Data, 2nd ed.; Springer: New York, NY, USA, 2003; Volume 9, pp. 302–308. [Google Scholar]
- Bradburn, M.J.; Clark, T.G.; Love, S.B.; Altman, D.G. Survival Analysis Part II: Multivariate data analysis—An introduction to concepts and methods. Br. J. Cancer 2003, 89, 431–436. [Google Scholar] [CrossRef] [PubMed]
- Bauman, G.S.; Gaspar, L.E.; Fisher, B.J.; Halperin, E.C.; Macdonald, D.R.; Cairncross, J.G. A prospective study of short-course radiotherapy in poor prognosis glioblastoma multiforme. Int. J. Radiat. Oncol. 1994, 29, 835–839. [Google Scholar] [CrossRef] [PubMed]
- Chandra, A.; Young, J.S.; Ore, C.D.; Dayani, F.; Lau, D.; Wadhwa, H.; Rick, J.W.; Nguyen, A.T.; McDermott, M.W.; Berger, M.S.; et al. Insurance type impacts the economic burden and survival of patients with newly diagnosed glioblastoma. J. Neurosurg. 2020, 133, 89–99. [Google Scholar] [CrossRef]
- Curry, W.T.; Barker, F.G. Racial, ethnic and socioeconomic disparities in the treatment of brain tumors. J. Neuro-Oncol. 2009, 93, 25–39. [Google Scholar] [CrossRef]
- Mukherjee, D.; Patil, C.G.; Todnem, N.; Ugiliweneza, B.; Nuño, M.; Kinsman, M.; Lad, S.P.; Boakye, M. Racial disparities in medicaid patients after brain tumor surgery. J. Clin. Neurosci. 2013, 20, 57–61. [Google Scholar] [CrossRef] [PubMed]
- Pilz, L.R.; Manegold, C.; Schmid-Bindert, G. Statistical considerations and endpoints for clinical lung cancer studies: Can progression free survival (PFS) substitute overall survival (OS) as a valid endpoint in clinical trials for advanced non-small-cell lung cancer? Transl. Lung Cancer Res. 2012, 1, 26–35. [Google Scholar] [CrossRef] [PubMed]
- Carrano, A.; Juarez, J.J.; Incontri, D.; Ibarra, A.; Cazares, H.G. Sex-Specific Differences in Glioblastoma. Cells 2021, 10, 1783. [Google Scholar] [CrossRef] [PubMed]
- Schiffgens, S.; Wilkens, L.; Brandes, A.A.; Meier, T.; Franceschi, E.; Ermani, M.; Hartmann, C.; Sandalcioglu, I.E.; Dumitru, C.A. Sex-specific clinicopathological significance of novel (Frizzled-7) and established (MGMT, IDH1) biomarkers in glioblastoma. Oncotarget 2016, 7, 55169–55180. [Google Scholar] [CrossRef]
- Liu, M.; Hurn, P.D.; E Roselli, C.; Alkayed, N.J. Role of P450 Aromatase in Sex-Specific Astrocytic Cell Death. J. Cereb. Blood Flow Metab. 2007, 27, 135–141. [Google Scholar] [CrossRef]
- Bayik, D.; Zhou, Y.; Park, C.; Hong, C.; Vail, D.; Silver, D.J.; Lauko, A.; Roversi, G.; Watson, D.C.; Lo, A.; et al. Myeloid-Derived Suppressor Cell Subsets Drive Glioblastoma Growth in a Sex-Specific Manner. Cancer Discov. 2020, 10, 1210–1225. [Google Scholar] [CrossRef]
- Alban, T.J.; Bayik, D.; Otvos, B.; Rabljenovic, A.; Leng, L.; Jia-Shiun, L.; Roversi, G.; Lauko, A.; Momin, A.A.; Mohammadi, A.M.; et al. Glioblastoma Myeloid-Derived Suppressor Cell Subsets Express Differential Macrophage Migration Inhibitory Factor Receptor Profiles That Can Be Targeted to Reduce Immune Suppression. Front. Immunol. 2020, 11, 1191. [Google Scholar] [CrossRef]
- Beckham, T.H.; Rooney, M.K.; McAleer, M.F.; Ghia, A.J.; Tom, M.C.; Perni, S.; McGovern, S.; Grosshans, D.; Chung, C.; Wang, C.; et al. Hypofractionated radiotherapy for glioblastoma: A large institutional retrospective assessment of 2 approaches. Neuro-Oncol. Prac. 2024, 11, 266–274. [Google Scholar] [CrossRef]
- Perlow, H.K.; Yaney, A.; Yang, M.; Klamer, B.; Matsui, J.; Raval, R.R.; Blakaj, D.M.; Arnett, A.; Beyer, S.; Elder, J.B.; et al. Dose-escalated accelerated hypofractionation for elderly or frail patients with a newly diagnosed glioblastoma. J. Neuro-Oncol. 2022, 156, 399–406. [Google Scholar] [CrossRef]
- Bilello, M.; Akbari, H.; Da, X.; Pisapia, J.M.; Mohan, S.; Wolf, R.L.; O’rOurke, D.M.; Martinez-Lage, M.; Davatzikos, C. Population-based MRI atlases of spatial distribution are specific to patient and tumor characteristics in glioblastoma. NeuroImage Clin. 2016, 12, 34–40. [Google Scholar] [CrossRef]
- Chang, S.M.; Barker, F.G. Marital status, treatment, and survival in patients with glioblastoma multiforme. Cancer 2005, 104, 1975–1984. [Google Scholar] [CrossRef]
- Chen, Z.-H.; Yang, K.-B.; Zhang, Y.-Z.; Wu, C.-F.; Wen, D.-W.; Lv, J.-W.; Zhu, G.-L.; Du, X.-J.; Chen, L.; Zhou, G.-Q.; et al. Assessment of Modifiable Factors for the Association of Marital Status With Cancer-Specific Survival. JAMA Netw. Open 2021, 4, e2111813. [Google Scholar] [CrossRef] [PubMed]
- Aizer, A.A.; Chen, M.-H.; McCarthy, E.P.; Mendu, M.L.; Koo, S.; Wilhite, T.J.; Graham, P.L.; Choueiri, T.K.; Hoffman, K.E.; Martin, N.E.; et al. Marital Status and Survival in Patients With Cancer. J. Clin. Oncol. 2013, 31, 3869–3876. [Google Scholar] [CrossRef] [PubMed]
- Lee, J.W.; Kirkpatrick, J.P.; McSherry, F.; Herndon, J.E.; Lipp, E.S.; Desjardins, A.; Randazzo, D.M.; Friedman, H.S.; Ashley, D.M.; Peters, K.B.; et al. Adjuvant Radiation in Older Patients With Glioblastoma: A Retrospective Single Institution Analysis. Front. Oncol. 2021, 11, 631618. [Google Scholar] [CrossRef] [PubMed]
- Dohopolski, M.; Schmitt, L.G.; Vis J., de; Mostardeiro, T.R.; Anand, S.; Youssef, M.; Noch, E.; Maher, E.; Sun, M.; Patel, T.; et al. Comparative Outcomes of Standard Radiation Therapy and 5-Fraction Adaptive Stereotactic Radiation Therapy in Newly Diagnosed Glioblastoma: A Propensity Score–Matched Analysis. Adv. Radiat. Oncol. 2025, 10, 101813. [Google Scholar] [CrossRef]

| Clinical and Demographic Characteristics | Number (%) | 
|---|---|
| 61 (100%) | |
| Age [median 71.0 years Interquartile Range 9.5 years] | |
| <65 years | 9 (14.8%) | 
| ≥65 years | 52 (85.2%) | 
| Sex | |
| Male | 34 (55.7%) | 
| Female | 27 (44.3%) | 
| Extent of Resection | |
| Subtotal Resection | 35 (57.4%) | 
| Gross Total Resection | 26 (42.6%) | 
| Multifocal | |
| No | 55 (90.2%) | 
| Yes | 6 (9.8%) | 
| MGMT Status | |
| Unmethylated | 42 (68.9%) | 
| Methylated | 19 (31.1%) | 
| KPS | |
| <70 | 17 (27.9%) | 
| ≥70 | 44 (72.1%) | 
| Comorbidity Score | |
| ≤6 | 45 (73.8%) | 
| >6 | 16 (26.2%) | 
| Insurance | |
| Government | 27 (44.3%) | 
| Private | 34 (55.7%) | 
| Zip code Income | |
| Low | 27 (44.3%) | 
| Middle/High | 34 (55.7%) | 
| Marital Status | |
| Single/Divorced/Widowed | 21 (34.4%) | 
| Married/Domestic Partner | 40 (65.6%) | 
| Race | |
| White | 42 (68.9%) | 
| Non-White | 19 (31.1%) | 
| Covariates | OS | PFS | ||
|---|---|---|---|---|
| HR (95% CI) | p | HR (95% CI) | p | |
| Age | ||||
| continuous | 1.00 (0.974–1.03) | 0.999 | 0.999 (0.973–1.03) | 0.957 | 
| Age (dichotomous) | ||||
| <65 years | reference | 0.805 | reference | 0.545 | 
| ≥65 years | 1.10 (0.526–2.29) | 1.24 (0.616–2.50) | ||
| Sex | ||||
| Male | reference | 0.0224 | reference | 0.0134 | 
| Female | 1.92 (1.10–3.37) | 2.07 (1.16–3.69) | ||
| Extent of Resection | ||||
| Subtotal Resection | reference | 0.338 | reference | 0.185 | 
| Gross Total Resection | 0.776 (0.462–1.30) | 0.704 (0.418–1.18) | ||
| Multifocal | ||||
| No | reference | 0.657 | reference | 0.476 | 
| Yes | 1.23 (0.490–3.10) | 1.42 (0.539–3.76) | ||
| MGMT Status | ||||
| Methylated | reference | 0.00570 | reference | 0.00100 | 
| Unmethylated | 2.11 (1.24–3.59) | 2.50 (1.45–4.32) | ||
| KPS | ||||
| <70 | reference | 0.244 | reference | 0.836 | 
| ≥70 | 0.685 (0.362–1.29) | 0.940 (0.521–1.69) | ||
| Comorbidity Score | ||||
| ≤6 | reference | 0.474 | reference | 0.701 | 
| >6 | 1.25 (0.677–2.31) | 1.12 (0.619–2.04) | ||
| Insurance | ||||
| Private | reference | 0.835 | reference | 0.385 | 
| Government | 1.06 (0.624–1.79) | 1.27 (0.743–2.16) | ||
| Zip Code Income | ||||
| Middle/High | reference | 0.863 | reference | 0.827 | 
| Low | 0.954 (0.558–1.63) | 1.06 (0.626–1.80) | ||
| Marital Status | ||||
| Married/Domestic Partner | reference | 0.705 | reference | 0.719 | 
| Single/Divorced/Widowed | 1.11 (0.641–1.93) | 1.11 (0.635–1.93) | ||
| Race | ||||
| White | reference | 0.931 | reference | 0.530 | 
| Non-White | 1.03 (0.588–1.70) | 0.839 (0.485–1.45) | ||
| Covariates | Sex | Covariates | Sex | ||||||
|---|---|---|---|---|---|---|---|---|---|
| Total | Male | Female | Total | Male | Female | ||||
| 61 | 34 (55.7%) | 27 (44.3%) | 61 | 34 (55.7%) | 27 (44.3%) | ||||
| MGMT Status | pX2 | Comorbidity Score | pX2 | ||||||
| Unmethylated | 42 (68.9%) | 23 (67.6%) | 19 (70.4%) | 0.821 | ≤6 | 45 (73.8%) | 25 (73.5%) | 20 (74.1%) | 0.962 | 
| Methylated | 19 (31.1%) | 11 (32.4%) | 8 (29.6%) | >6 | 16 (26.2%) | 9 (26.5%) | 7 (25.9%) | ||
| Extent of Resection | Insurance Status | ||||||||
| Subtotal Resection | 35 (57.4%) | 20 (58.8%) | 15 (55.6%) | 0.799 | Government | 27 (44.3%) | 12 (35.3%) | 15 (55.6%) | 0.117 | 
| Gross Total Resection | 26 (42.6%) | 14 (41.2%) | 12 (44.4%) | Private | 34 (55.7%) | 22 (64.7%) | 12 (44.4%) | ||
| Multifocal | ZipCodeIncome | ||||||||
| No | 55 (90.2%) | 29 (85.3%) | 26 (96.3%) | 0.155 | Low | 27 (44.3%) | 17 (50.0%) | 10 (37.0%) | 0.315 | 
| Yes | 6 (9.8%) | 5 (14.7%) | 1 (3.7%) | Middle/High | 34 (55.7%) | 17 (50.0%) | 17 (63.0%) | ||
| Age | MaritalStatus | ||||||||
| <65 years | 9 (14.8%) | 7 (20.6%) | 2 (7.4%) | 0.152 | Single/Divorced/Widowed | 21 (34.4%) | 4 (11.8%) | 17 (63.0%) | 0.000100 | 
| ≥65 years | 52 (85.2%) | 27 (79.4%) | 25 (92.6%) | Married/DomesticPartner | 40 (65.6%) | 30 (88.2%) | 10 (37.0%) | ||
| KPS | Race | ||||||||
| <70 | 17 (27.9%) | 10 (29.4%) | 7 (25.9%) | 0.765 | White | 42 (68.9%) | 26 (76.5%) | 16 (59.3%) | 0.153 | 
| ≥70 | 44 (72.1%) | 24 (70.6%) | 20 (74.1%) | Non-White | 19 (31.1%) | 8 (23.5%) | 11 (40.7%) | ||
| Disclaimer/Publisher’s Note: The statements, opinions and data contained in all publications are solely those of the individual author(s) and contributor(s) and not of MDPI and/or the editor(s). MDPI and/or the editor(s) disclaim responsibility for any injury to people or property resulting from any ideas, methods, instructions or products referred to in the content. | 
© 2025 by the authors. Licensee MDPI, Basel, Switzerland. This article is an open access article distributed under the terms and conditions of the Creative Commons Attribution (CC BY) license (https://creativecommons.org/licenses/by/4.0/).
Share and Cite
Padilla, O.; Tazhibi, M.; McQuillan, N.; Buss, E.J.; Sisti, M.B.; Bruce, J.N.; McKhann, G.M.; Cheng, S.K.; Wang, T.J.C. Sex-Based Differences in Outcomes for Glioblastoma Patients Treated with Hypofractionated Chemoradiotherapy. Cancers 2025, 17, 3486. https://doi.org/10.3390/cancers17213486
Padilla O, Tazhibi M, McQuillan N, Buss EJ, Sisti MB, Bruce JN, McKhann GM, Cheng SK, Wang TJC. Sex-Based Differences in Outcomes for Glioblastoma Patients Treated with Hypofractionated Chemoradiotherapy. Cancers. 2025; 17(21):3486. https://doi.org/10.3390/cancers17213486
Chicago/Turabian StylePadilla, Oscar, Masih Tazhibi, Nicholas McQuillan, Elizabeth J. Buss, Michael B. Sisti, Jeffrey N. Bruce, Guy M. McKhann, Simon K. Cheng, and Tony J. C. Wang. 2025. "Sex-Based Differences in Outcomes for Glioblastoma Patients Treated with Hypofractionated Chemoradiotherapy" Cancers 17, no. 21: 3486. https://doi.org/10.3390/cancers17213486
APA StylePadilla, O., Tazhibi, M., McQuillan, N., Buss, E. J., Sisti, M. B., Bruce, J. N., McKhann, G. M., Cheng, S. K., & Wang, T. J. C. (2025). Sex-Based Differences in Outcomes for Glioblastoma Patients Treated with Hypofractionated Chemoradiotherapy. Cancers, 17(21), 3486. https://doi.org/10.3390/cancers17213486
 
        
 
                                                
 
       