Assessment of the PD-1/PD-L1/PD-L2 Immune Checkpoints Pathway in Endometrial Cancer and Its Clinical Significance
Simple Summary
Abstract
1. Introduction
2. Materials and Methods
2.1. Patients and the Control Group
2.2. Material
2.3. Flow Cytometry Analysis
2.4. ELISA
2.5. Nucleic Acid Extraction and cDNA Synthesis
2.6. Quantitative PCR
2.7. Statistical Analysis
3. Results
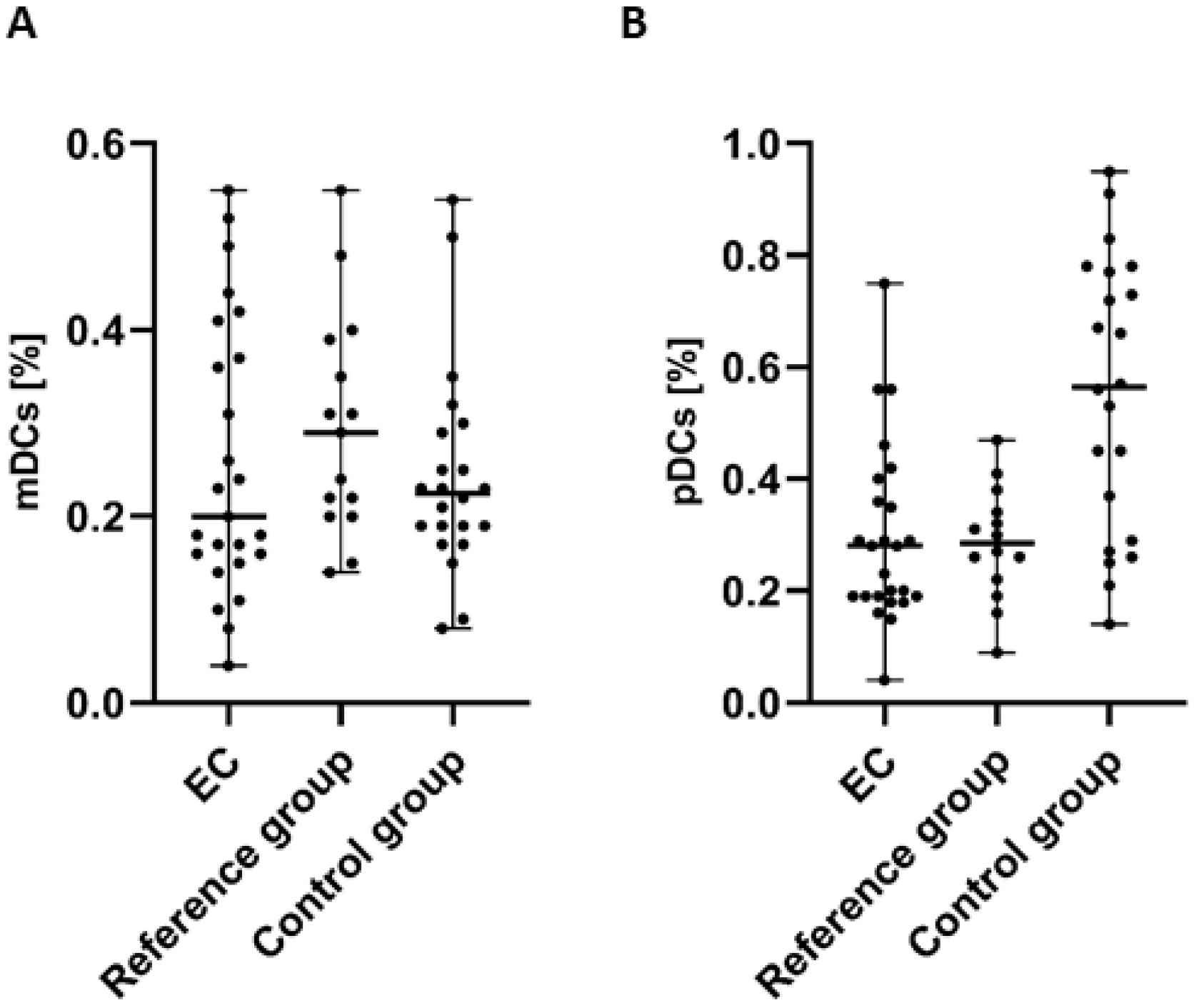
3.1. Percentage of Myeloid (BDCA-1+CD19−) and Plasmacytoid (BDCA-2+CD123+) Dendritic Cells Within PBMCs of EC Patients
3.2. Percentage of Myeloid BDCA-1+CD19− DCs with PD-L1 or PD-L2 Expression in Endometrial Cancer Patients
3.3. Percentage of Plasmacytoid BDCA-2+CD123+ DCs with PD-L1 or PD-L2 Expression in Endometrial Cancer Patients
3.4. Relationship Between Clinical Data of EC Patients and Percentage of PB Myeloid DCs with PD-L1/PD-L2 Expression
3.5. Percentage of MO (CD45+CD14+ Cells) and MO with PD-L1 and PD-L2 Epression in Endometrial Cancer Patients
3.6. Concentration of the Soluble Form of PD-1 (sPD-1), PD-L1 (sPD-L1), PD-L2 (sPD-L2) in Plasma of Endometrial Cancer Patients, the Control Group, and the Reference Group
3.7. Relationship Between the Concentration of sPD-1, sPD-L1, sPD-L2 in Plasma and Different FIGO Stages and Histological Differentiation (Grading) of Endometrial Cancer
3.7.1. Assessment of the Relationship Between sPD-L1 Level in Plasma and Different FIGO Stages of EC Patients
3.7.2. Assessment of the Relationship Between sPD-1 Level in Plasma and Different FIGO Stages of EC Patients
3.8. Expression Levels of PD-L1 and PD-L2 Genes in Endometrial Cancer and the Reference Group Tissues
3.9. Assessment of the Relationship Between Clinical Data of EC Patients and PD-L1/PD-L2 Gene Expression Level in Tissue Samples
4. Discussion
5. Conclusions
Author Contributions
Funding
Institutional Review Board Statement
Informed Consent Statement
Data Availability Statement
Acknowledgments
Conflicts of Interest
Abbreviations
| EC | Endometrial cancer | 
| BMI | Body Mass Index | 
| WHO | World Health Organization | 
| ASR | Age-standardized rate | 
| PCOS | Polycystic Ovary Syndrome | 
| TME | Tumor microenvironment | 
| DCs | Dendritic cells | 
| IL-10 | Interleukin-10 | 
| IL-6 | Interleukin-6 | 
| IL-1β | Interleukin-1 beta | 
| Treg | Regulatory T cell | 
| mDCs | Myeloid dendritic cells | 
| TNF-α | Tumor necrosis factor alpha | 
| pDCs | Plasmacytoid dendritic cells | 
| ICPs | Immune checkpoints | 
| ICIs | Immune checkpoint inhibitors | 
| PD-1 | Programmed cell death protein 1 | 
| PD-L1 | Programmed death-ligand 1 | 
| PD-L2 | Programmed death-ligand 2 | 
| FIGO | The International Federation of Gynecology and Obstetrics | 
| PB | Peripheral blood | 
| TT | Tumor tissue | 
| mABs | Monoclonal antibodies | 
| FMO | Fluorescence Minus One | 
| sPD-1 | Soluble form of PD-1 | 
| sPD-L1 | Soluble form of PD-L1 | 
| sPD-L2 | Soluble form of PD-L2 | 
| qPCR | Quantitative polymerase chain reaction | 
| APC | Antigen-presenting cell | 
| IHC | Immunohistochemistry | 
| IF | Immunofluorescence | 
| FDA | U.S. Food and Drug Administration | 
| PBMC | Peripheral Blood Mononuclear Cell | 
References
- Cancer Today (IARC). Available online: https://gco.iarc.who.int/today/ (accessed on 19 May 2025).
- Zaim, S.N.M.; Nafi, S.N.M.; Zawawi, N.; Adnan, W.F.W. Clinical and histopathological evaluation of patients with endometrial cancer in a University Hospital: Seven-year experience. Malays. J. Pathol. 2024, 46, 413–421. [Google Scholar] [PubMed]
- Włodarczyk, K.; Kuryło, W.; Pawłowska-Łachut, A.; Skiba, W.; Suszczyk, D.; Pieniądz, P.; Majewska, M.; Boniewska-Bernacka, E.; Wertel, I. circRNAs in Endometrial Cancer—A Promising Biomarker: State of the Art. Int. J. Mol. Sci. 2024, 25, 6387. [Google Scholar] [CrossRef] [PubMed]
- Koskas, M.; Amant, F.; Mirza, M.R.; Creutzberg, C.L. Cancer of the corpus uteri: 2021 update. Int. J. Gynaecol. Obstet. 2021, 155, 45–60. [Google Scholar] [CrossRef]
- Cancer Tomorrow (IARC). Available online: https://gco.iarc.fr/tomorrow/ (accessed on 19 May 2025).
- Navarria, I.; Usel, M.; Rapiti, E.; Neyroud-Caspar, I.; Pelte, M.F.; Bouchardy, C.; Petignat, P. Young patients with endometrial cancer: How many could be eligible for fertility-sparing treatment? Gyneco. Oncol. 2009, 114, 448–451. [Google Scholar] [CrossRef]
- Zhang, K.; Wang, T.; Liu, Z.; He, J.; Sun, X.; Zhong, W.; Zhao, F.; Li, X.; Li, S.; Zhu, H.; et al. Clinical characteristics and radiation therapy modality of younger patients with early-stage endometrial cancer, a multicenter study in China’s real world. BMC Cancer 2024, 24, 360. [Google Scholar] [CrossRef]
- Yang, L.; Yuan, Y.; Zhu, R.; Zhang, X. Time trend of global uterine cancer burden: An age-period-cohort analysis from 1990 to 2019 and predictions in a 25-year period. BMC Women’s Health 2023, 23, 384. [Google Scholar] [CrossRef]
- Gupta, N.; Pandey, A.; Dimri, K.; Sehgal, A.; Bhagat, R.; Suraj; Gurbir, G. Endometrial cancer risk factors, treatment, and survival outcomes as per the European Society for Medical Oncology (ESMO)—European Society of Gynaecological Oncology (ESGO)—European Society for Radiotherapy and Oncology (ESTRO) risk groups and International Federation of Gynecology and Obstetrics (FIGO) staging: An experience from developing world. J. Cancer Res. Ther. 2023, 19, 701–707. [Google Scholar] [CrossRef]
- Rodolakis, A.; Scambia, G.; Planchamp, F.; Acien, M.; Di Spiezio Sardo, A.; Farrugia, M.; Grynberg, M.; Pakiz, M.; Pavlakis, K.; Vermeulen, N.; et al. ESGO/ESHRE/ESGE Guidelines for the fertility-sparing treatment of patients with endometrial carcinoma. Int. J. Gynecol. Cancer 2023, 33, 208–222. [Google Scholar] [CrossRef]
- Katagiri, R.; Iwasaki, M.; Abe, S.K.; Islam, M.R.; Rahman, M.S.; Saito, E.; Merritt, M.A.; Choi, J.-Y.; Shin, A.; Sawada, N.; et al. Reproductive Factors and Endometrial Cancer Risk Among Women. JAMA Netw. Open 2023, 6, e2332296. [Google Scholar] [CrossRef]
- Liu, J.; Nie, S.; Wu, Z.; Jiang, Y.; Wan, Y.; Li, S.; Meng, H.; Zhou, S.; Cheng, W. Exploration of a novel prognostic risk signatures and immune checkpoint molecules in endometrial carcinoma microenvironment. Genomics 2020, 112, 3117–3134. [Google Scholar] [CrossRef] [PubMed]
- Atılgan, A.O.; Tepeoğlu, M.; Özen, Ö.; Reyhan, A.N.H.; Ayhan, A. The expression of programmed death-ligand 1 and programmed death-ligand 2 in endometrial carcinosarcoma: Correlation with mismatch repair protein expression status, tumor-infiltrating lymphocyte infiltration, and clinical outcomes. Ann. Diagn. Pathol. 2023, 65, 152137. [Google Scholar] [CrossRef]
- Mo, Z.; Liu, J.; Zhang, Q.; Chen, Z.; Mei, J.; Liu, L.; Yang, S.; Li, H.; Zhou, L.; You, Z. Expression of PD-1, PD-L1 and PD-L2 is associated with differentiation status and histological type of endometrial cancer. Oncol. Lett. 2016, 12, 944–950. [Google Scholar] [CrossRef]
- Mamat Yusof, M.N.; Chew, K.T.; Kampan, N.; Abd Aziz, N.H.; Md Zin, R.R.; Tan, G.C.; Shafiee, M.N. PD-L1 Expression in Endometrial Cancer and Its Association with Clinicopathological Features: A Systematic Review and Meta-Analysis. Cancers 2022, 14, 3911. [Google Scholar] [CrossRef]
- Beenen, A.C.; Sauerer, T.; Schaft, N.; Dörrie, J. Beyond Cancer: Regulation and Function of PD-L1 in Health and Immune-Related Diseases. Int. J. Mol. Sci. 2022, 23, 8599. [Google Scholar] [CrossRef]
- Blemings-Derrick, J.; Zinovkin, D.A.; Pranjol, M.Z.I. Potential Roles of Infiltrated Immune Cells in the Tumour Microenvironment of Endometrial Cancer. In Gynecological Cancers: An Interdisciplinary Approach; Rezaei, N., Ed.; Interdisciplinary Cancer Research; Springer: Cham, Switzerland, 2022; Volume 17. [Google Scholar] [CrossRef]
- Gutkin, D.W. Tumor Infiltration by Immune Cells: Pathologic Evaluation and a Clinical Significance. In The Tumor Immunoenvironment; Shurin, M.R., Umansky, V., Malyguine, A., Eds.; Springer: Dordrecht, The Netherlands, 2013. [Google Scholar] [CrossRef]
- Mamat Yusof, M.N.; Chew, K.T.; Hafizz, A.M.H.A.; Abd Azman, S.H.; Ab Razak, W.S.; Hamizan, M.R.; Kampan, N.C.; Shafiee, M.N. Efficacy and Safety of PD-1/PD-L1 Inhibitor as Single-Agent Immunotherapy in Endometrial Cancer: A Systematic Review and Meta-Analysis. Cancers 2023, 15, 4032. [Google Scholar] [CrossRef]
- Mamat Yusof, M.N.; Chew, K.T.; Kampan, N.C.; Hafizz, A.M.H.A.; Shafiee, M.N. Gene expression and soluble protein level of PD-1 and its ligands (PD-L1 and PD-L2) in endometrial cancer. PLoS ONE 2025, 20, e0312765. [Google Scholar] [CrossRef]
- Marinelli, O.; Annibali, D.; Aguzzi, C.; Tuyaerts, S.; Amant, F.; Morelli, M.B.; Santoni, G.; Amantini, C.; Maggi, F. The Controversial Role of PD-1 and Its Ligands in Gynecological Malignancies. Front. Oncol. 2019, 9, 1073. [Google Scholar] [CrossRef]
- Xu, D.; Dong, P.; Xiong, Y.; Chen, R.; Konno, Y.; Ihira, K.; Yue, J.; Watari, H. PD-L1 Is a Tumor Suppressor in Aggressive Endometrial Cancer Cells and Its Expression Is Regulated by miR-216a and lncRNA MEG3. Front. Cell Dev. Biol. 2020, 8, 598205. [Google Scholar] [CrossRef] [PubMed]
- Wang, Y.; Du, J.; Gao, Z.; Sun, H.; Mei, M.; Wang, Y.; Ren, Y.; Zhou, X. Evolving landscape of PD-L2: Bring new light to checkpoint immunotherapy. Br. J. Cancer 2023, 128, 1196–1207. [Google Scholar] [CrossRef] [PubMed]
- Marinelli, O.; Annibali, D.; Morelli, M.B.; Zeppa, L.; Tuyaerts, S.; Aguzzi, C.; Amantini, C.; Maggi, F.; Ferretti, B.; Santoni, G.; et al. Biological Function of PD-L2 and Correlation with Overall Survival in Type II Endometrial Cancer. Front. Oncol. 2020, 10, 538064. [Google Scholar] [CrossRef] [PubMed]
- Chen, Y.; You, S.; Li, J.; Zhang, Y.; Kokaraki, G.; Epstein, E.; Carlson, J.; Huang, W.-K.; Haglund, F. Follicular Helper T-Cell-Based Classification of Endometrial Cancer Promotes Precise Checkpoint Immunotherapy and Provides Prognostic Stratification. Front. Immunol. 2022, 12, 788959. [Google Scholar] [CrossRef]
- Bartoletti, M.; Montico, M.; Lorusso, D.; Mazzeo, R.; Oaknin, A.; Musacchio, L.; Scambia, G.; Puglisi, F.; Pignata, S. Incorporation of anti-PD1 or anti PD-L1 agents to platinum-based chemotherapy for the primary treatment of advanced or recurrent endometrial cancer. A meta-analysis. Cancer Treat. Rev. 2024, 125, 102701. [Google Scholar] [CrossRef]
- Mirza, M.R.; Chase, D.M.; Slomovitz, B.M.; dePont Christensen, R.; Novák, Z.; Black, D.; Gilbert, L.; Sharma, S.; Valabrega, G.; Landrum, L.M.; et al. Dostarlimab for Primary Advanced or Recurrent Endometrial Cancer. N. Engl. J. Med. 2023, 388, 2145–2158. [Google Scholar] [CrossRef]
- Powell, M.A.; Bjørge, L.; Willmott, L.; Novák, Z.; Black, D.; Gilbert, L.; Sharma, S.; Valabrega, G.; Landrum, L.M.; Gropp-Meier, M.; et al. Overall survival in patients with endometrial cancer treated with dostarlimab plus carboplatin-paclitaxel in the randomized ENGOT-EN6/GOG-3031/RUBY trial. Ann. Oncol. 2024, 35, 728–738. [Google Scholar] [CrossRef] [PubMed]
- U.S. Food and Drug Administration. FDA Approves Dostarlimab-Gxly with Chemotherapy for Endometrial Cancer. FDA 31 July 2023. Available online: https://www.fda.gov/drugs/drug-approvals-and-databases/fda-approves-dostarlimab-gxly-chemotherapy-endometrial-cancer (accessed on 22 May 2025).
- U.S. Food and Drug Administration. FDA Grants Accelerated Approval to Dostarlimab-Gxly for dMMR Advanced Solid Tumors. FDA 8 September 2024. Available online: https://www.fda.gov/drugs/resources-information-approved-drugs/fda-grants-accelerated-approval-dostarlimab-gxly-dmmr-advanced-solid-tumors (accessed on 22 May 2025).
- Stewart, C.E.; Chase, D. Dostarlimab for the Treatment of Endometrial Cancer: A Review. Touch. Rev. Oncol. Haematol. 2024, 20, 9–11. [Google Scholar] [CrossRef] [PubMed]
- Wertel, I.; Polak, G.; Bednarek, W.; Barczyński, B.; Roliński, J.; Kotarski, J. Dendritic Cell Subsets in the Peritoneal Fluid and Peripheral Blood of Women Suffering from Ovarian Cancer. Cytom. B Clin. Cytom. 2008, 74, 251–258. [Google Scholar] [CrossRef]
- Pietrzak, A.; Janowski, K.; Chodorowska, G.; Michalak-Stoma, A.; Roliński, J.; Zalewska, A.; Jastrzebska, I.; Tabarkiewicz, J.; Paszkowski, T.; Kapeć, E.; et al. Plasma Interleukin-18 and Dendritic Cells in Males with Psoriasis Vulgaris. Mediat. Inflamm. 2007, 2007, 61254. [Google Scholar] [CrossRef]
- Crosbie, E.J.; Kitson, S.J.; McAlpine, J.N.; Mukhopadhyay, A.; Powell, M.E.; Singh, N. Endometrial cancer. Lancet 2022, 399, 1412–1428. [Google Scholar] [CrossRef] [PubMed]
- Kim, Y.; Aiob, A.; Kim, H.; Suh, D.H.; Kim, K.; Kim, Y.B.; NO, J.H. Clinical Implication of PD-L1 Expression in Patients with Endometrial Cancer. Biomedicines 2023, 11, 2691. [Google Scholar] [CrossRef]
- Rousset-Rouviere, S.; Rochigneux, P.; Chrétien, A.S.; Fattori, S.; Gorvel, L.; Provansal, M.; Lambaudie, E.; Olive, D.; Sabatier, E. Endometrial Carcinoma: Immune Microenvironment and Emerging Treatments in Immuno-Oncology. Biomedicines 2021, 9, 632. [Google Scholar] [CrossRef]
- Yong, X.; Mu, D.; Ni, H.; Wang, X.; Zhang, T.; Chang, X.; He, S.; Zhou, D. Regulation of the CD8+ T Cell and PDL1/PD1 Axis in Gastric Cancer: Unraveling the Molecular Landscape. Crit. Rev. Oncol. Hematol. 2025, 212, 104750. [Google Scholar] [CrossRef]
- Wada, M.; Yamagami, W. Immunotherapy for endometrial cancer. Int. J. Clin. Oncol. 2025, 30, 449–456. [Google Scholar] [CrossRef] [PubMed]
- Saglam, O.; Conejo-Garcia, J. PD-1/PD-L1 immune checkpoint inhibitors in advanced cervical cancer. Integr. Cancer Sci. Ther. 2018, 5, 10–15761. [Google Scholar] [CrossRef]
- Sulaiman, R.; De, P.; Aske, J.C.; Lin, X.; Dale, A.; Koirala, N.; Gaster, K.; Espaillat, L.R.; Starks, D.; Dey, N. Tumor-TME Bipartite Landscape of PD-1/PD-L1 in Endometrial Cancers. Int. J. Mol. Sci. 2023, 24, 11079. [Google Scholar] [CrossRef]
- Wahba, M.G.; Soliman, S.S.; Salama, M.E.; Nasr, S.S.; Elshreef, Z.A.E.A. PD-L1 Immunohistochemical Expression in Endometrial Carcinoma: Egyptian Cross-Sectional Study. Asian Pac. J. Cancer Prev. 2024, 25, 1441–1450. [Google Scholar] [CrossRef]
- Jin, M.; Fang, J.; Peng, J.; Wang, X.; Xing, P.; Jia, K.; Hu, J.; Wang, D.; Ding, Y.; Wang, X.; et al. PD-1/PD-L1 immune checkpoint blockade in breast cancer: Research insights and sensitization strategies. Mol. Cancer 2024, 23, 266. [Google Scholar] [CrossRef]
- Gómez-Banoy, N.; Ortiz, E.J.; Jiang, C.S.; Dagher, C.; Sevilla, C.; Girshman, J.; Pagano, A.M.; Plodkowski, A.J.; Zammarrelli, W.A.; Mueller, J.J.; et al. Body Mass Index and Adiposity Influence Responses to Immune Checkpoint Inhibition in Endometrial Cancer. J. Clin. Investig. 2024, 134, e180516. [Google Scholar] [CrossRef] [PubMed]
- Derbyshire, A.E.; MacKintosh, M.L.; Pritchard, C.M.; Pontula, A.; Ammori, B.J.; Syed, A.A.; Beeken, R.J.; Crosbie, E.J. Women’s Risk Perceptions and Willingness to Engage in Risk-Reducing Interventions for the Prevention of Obesity-Related Endometrial Cancer. Int. J. Women’s Health 2022, 14, 57–66. [Google Scholar] [CrossRef] [PubMed]
- Kitson, S.J.; Evans, D.G.; Crosbie, E.J. Identifying High-Risk Women for Endometrial Cancer Prevention Strategies: Proposal of an Endometrial Cancer Risk Prediction Model. Cancer Prev. Res. 2017, 10, 1–13. [Google Scholar] [CrossRef]
- Pérez-Martín, A.R.; Castro-Eguiluz, D.; Cetina-Pérez, L.; Velasco-Torres, Y.; Bahena-González, A.; Montes-Servín, E.; González-Ibarra, E.; Espinosa-Romero, R.; Gallardo-Rincón, D. A Impact of metabolic syndrome on the risk of endometrial cancer and the role of lifestyle in prevention. Bosn. J. Basic Med. Sci. 2022, 22, 499–510. [Google Scholar] [CrossRef]
- Liu, W.; Ma, J.; Zhang, J.; Cao, J.; Hu, X.; Huang, Y.; Wang, R.; Wu, J.; Di, W.; Qian, K.; et al. Identification and validation of serum metabolite biomarkers for endometrial cancer diagnosis. EMBO Mol. Med. 2024, 16, 988–1003. [Google Scholar] [CrossRef] [PubMed]
- Kolehmainen, A.; Pasanen, A.; Tuomi, T.; Koivisto-Korander, R.; Bützow, R.; Loukovaara, M. Clinical factors as prognostic variables among molecular subgroups of endometrial cancer. PLoS ONE 2020, 15, e0242733. [Google Scholar] [CrossRef] [PubMed]
- Dyck, L.; Prendeville, H.; Raverdeau, M.; Wilk, M.M.; Loftus, R.M.; Douglas, A.; McCormack, J.; Moran, B.; Wilkinson, M.; Mills, E.L.; et al. Suppressive Effects of the Obese Tumor Microenvironment on CD8 T Cell Infiltration and Effector Function. J. Exp. Med. 2022, 219, e20210042. [Google Scholar] [CrossRef]
- Khalifa, R.; Elsese, N.; El-Desouky, K.; Shaair, H.; Helal, D. Immune checkpoint proteins (PD-L1 and CTLA-4) in endometrial carcinoma: Prognostic role and correlation with CD4+/CD8+ tumor infiltrating lymphocytes (TILs) ratio. J. Immunoass. Immunochem. 2022, 43, 192–212. [Google Scholar] [CrossRef] [PubMed]
- Naik, A.; Monjazeb, A.M.; Decock, J. The Obesity Paradox in Cancer, Tumor Immunology, and Immunotherapy: Potential Therapeutic Implications in Triple Negative Breast Cancer. Front. Immunol. 2019, 10, 1940. [Google Scholar] [CrossRef]











| The Clinical Features | Endometrial Cancer Patients (n = 78) | 
|---|---|
| Age (median), years (range) | 65 (37–82) | 
| Age of menarche (means, range) | 14 (9–18) | 
| Age of menopause (means, range) | 51.5 (37–58) | 
| FIGO Stages, n (%) | |
| Early (IA-IB) | 55 (85%) | 
| Advanced (III) | 10 (15%) | 
| Grade of Cancer, n (%) | |
| G1 | 23 (30%) | 
| G2 | 51 (66%) | 
| G3 | 3 (4%) | 
| Body Mass Index (BMI) (median, range) | 30.3 (19.3–51.4) | 
| BMI category, n (%) | |
| Normal | 7 (9%) | 
| Overweight | 29 (36%) | 
| Obese | 44 (55%) | 
| Healthy group (n = 32) | |
| Age (median), years (range) | 32 (25–45) | 
| Reference group (n = 15) | |
| Age (median), years (range) | 48 (31–78) | 
| Disclaimer/Publisher’s Note: The statements, opinions and data contained in all publications are solely those of the individual author(s) and contributor(s) and not of MDPI and/or the editor(s). MDPI and/or the editor(s) disclaim responsibility for any injury to people or property resulting from any ideas, methods, instructions or products referred to in the content. | 
© 2025 by the authors. Licensee MDPI, Basel, Switzerland. This article is an open access article distributed under the terms and conditions of the Creative Commons Attribution (CC BY) license (https://creativecommons.org/licenses/by/4.0/).
Share and Cite
Włodarczyk-Ciekańska, K.; Kwiatkowska-Makuch, A.; Pawłowska-Łachut, A.; Skiba, W.; Suszczyk, D.; Kotarski, J.; Pieniądz-Feculak, P.; Pańczyszyn, A.; Ignatowicz, A.; Tarkowski, R.; et al. Assessment of the PD-1/PD-L1/PD-L2 Immune Checkpoints Pathway in Endometrial Cancer and Its Clinical Significance. Cancers 2025, 17, 3485. https://doi.org/10.3390/cancers17213485
Włodarczyk-Ciekańska K, Kwiatkowska-Makuch A, Pawłowska-Łachut A, Skiba W, Suszczyk D, Kotarski J, Pieniądz-Feculak P, Pańczyszyn A, Ignatowicz A, Tarkowski R, et al. Assessment of the PD-1/PD-L1/PD-L2 Immune Checkpoints Pathway in Endometrial Cancer and Its Clinical Significance. Cancers. 2025; 17(21):3485. https://doi.org/10.3390/cancers17213485
Chicago/Turabian StyleWłodarczyk-Ciekańska, Karolina, Agnieszka Kwiatkowska-Makuch, Anna Pawłowska-Łachut, Wiktoria Skiba, Dorota Suszczyk, Jan Kotarski, Paulina Pieniądz-Feculak, Anna Pańczyszyn, Anna Ignatowicz, Rafał Tarkowski, and et al. 2025. "Assessment of the PD-1/PD-L1/PD-L2 Immune Checkpoints Pathway in Endometrial Cancer and Its Clinical Significance" Cancers 17, no. 21: 3485. https://doi.org/10.3390/cancers17213485
APA StyleWłodarczyk-Ciekańska, K., Kwiatkowska-Makuch, A., Pawłowska-Łachut, A., Skiba, W., Suszczyk, D., Kotarski, J., Pieniądz-Feculak, P., Pańczyszyn, A., Ignatowicz, A., Tarkowski, R., & Wertel, I. (2025). Assessment of the PD-1/PD-L1/PD-L2 Immune Checkpoints Pathway in Endometrial Cancer and Its Clinical Significance. Cancers, 17(21), 3485. https://doi.org/10.3390/cancers17213485
 
        



 
       