Prognostic Role of Circulating DNA in Biliary Tract Cancers: A Systematic Review and Meta-Analysis
Simple Summary
Abstract
1. Introduction
2. Materials and Methods
2.1. Search Strategy
2.2. Inclusion and Exclusion Criteria
2.3. Data Extraction and Quality Assessment
2.4. Statistical Analysis
3. Results
3.1. Search Results
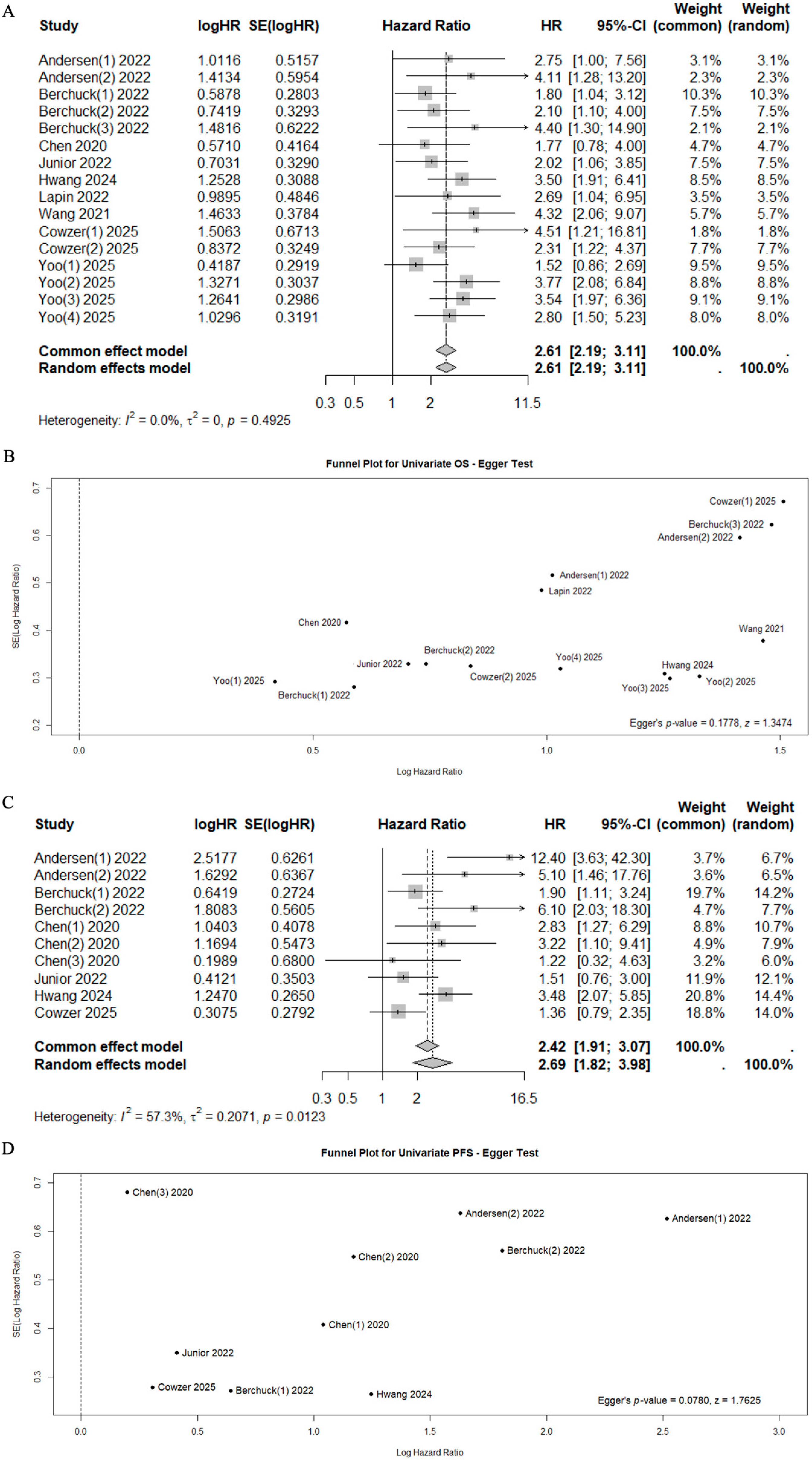
3.2. Impact of ctDNA/cfDNA Status on Overall Survival
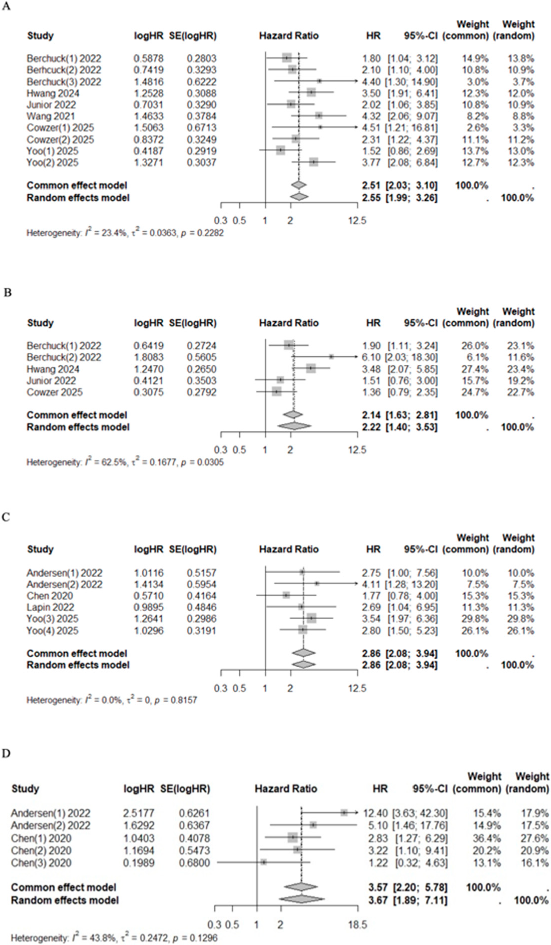
3.3. Subgroup Analysis on ctDNA Time of Sample Collection
3.4. Subgroup Analysis of Variant Allele Frequency
3.5. CfDNA/ctDNA to Assess Response to Treatment and Recurrence
3.6. Recurrence and ctDNA/cfDNA
4. Discussion
5. Conclusions
Supplementary Materials
Author Contributions
Funding
Data Availability Statement
Conflicts of Interest
References
- Valle, J.W.; Kelley, R.K.; Nervi, B.; Oh, D.-Y.; Zhu, A.X. Biliary Tract Cancer. Lancet 2021, 397, 428–444. [Google Scholar] [CrossRef]
- Vogel, A.; Bridgewater, J.; Edeline, J.; Kelley, R.K.; Klümpen, H.J.; Malka, D.; Primrose, J.N.; Rimassa, L.; Stenzinger, A.; Valle, J.W.; et al. Biliary Tract Cancer: ESMO Clinical Practice Guideline for Diagnosis, Treatment and Follow-Up☆. Ann. Oncol. 2023, 34, 127–140. [Google Scholar] [CrossRef]
- Banales, J.M.; Marin, J.J.G.; Lamarca, A.; Rodrigues, P.M.; Khan, S.A.; Roberts, L.R.; Cardinale, V.; Carpino, G.; Andersen, J.B.; Braconi, C.; et al. Cholangiocarcinoma 2020: The next Horizon in Mechanisms and Management. Nat. Rev. Gastroenterol. Hepatol. 2020, 17, 557–588. [Google Scholar] [CrossRef] [PubMed]
- Razumilava, N.; Gores, G.J. Cholangiocarcinoma. Lancet 2014, 383, 2168–2179. [Google Scholar] [CrossRef]
- Shaib, Y.H.; Davila, J.A.; McGlynn, K.; El-Serag, H.B. Rising Incidence of Intrahepatic Cholangiocarcinoma in the United States: A True Increase? J. Hepatol. 2004, 40, 472–477. [Google Scholar] [CrossRef]
- Marcano-Bonilla, L.; Mohamed, E.A.; Mounajjed, T.; Roberts, L.R. Biliary Tract Cancers: Epidemiology, Molecular Pathogenesis and Genetic Risk Associations. Chin. Clin. Oncol. 2016, 5, 61. [Google Scholar] [CrossRef]
- Shroff, R.T.; Kennedy, E.B.; Bachini, M.; Bekaii-Saab, T.; Crane, C.; Edeline, J.; El-Khoueiry, A.; Feng, M.; Katz, M.H.G.; Primrose, J.; et al. Adjuvant Therapy for Resected Biliary Tract Cancer: ASCO Clinical Practice Guideline. J. Clin. Oncol. 2019, 37, 1015–1027. [Google Scholar] [CrossRef] [PubMed]
- Primrose, J.N.; Fox, R.P.; Palmer, D.H.; Malik, H.Z.; Prasad, R.; Mirza, D.; Anthony, A.; Corrie, P.; Falk, S.; Finch-Jones, M.; et al. Capecitabine Compared with Observation in Resected Biliary Tract Cancer (BILCAP): A Randomised, Controlled, Multicentre, Phase 3 Study. Lancet Oncol. 2019, 20, 663–673. [Google Scholar] [CrossRef] [PubMed]
- Forner, A.; Vidili, G.; Rengo, M.; Bujanda, L.; Ponz-Sarvisé, M.; Lamarca, A. Clinical Presentation, Diagnosis and Staging of Cholangiocarcinoma. Liver Int. 2019, 39, 98–107. [Google Scholar] [CrossRef]
- Lamarca, A.; Edeline, J.; McNamara, M.G.; Hubner, R.A.; Nagino, M.; Bridgewater, J.; Primrose, J.; Valle, J.W. Current Standards and Future Perspectives in Adjuvant Treatment for Biliary Tract Cancers. Cancer Treat. Rev. 2020, 84, 101936. [Google Scholar] [CrossRef]
- Bridgewater, J.; Fletcher, P.; Palmer, D.H.; Malik, H.Z.; Prasad, R.; Mirza, D.; Anthony, A.; Corrie, P.; Falk, S.; Finch-Jones, M.; et al. Long-Term Outcomes and Exploratory Analyses of the Randomized Phase III BILCAP Study. J. Clin. Oncol. 2022, 40, 2048–2057. [Google Scholar] [CrossRef]
- Gambardella, V.; Tarazona, N.; Cejalvo, J.M.; Lombardi, P.; Huerta, M.; Roselló, S.; Fleitas, T.; Roda, D.; Cervantes, A. Personalized Medicine: Recent Progress in Cancer Therapy. Cancers 2020, 12, 1009. [Google Scholar] [CrossRef] [PubMed]
- Dao, J.; Conway, P.J.; Subramani, B.; Meyyappan, D.; Russell, S.; Mahadevan, D. Using CfDNA and CtDNA as Oncologic Markers: A Path to Clinical Validation. Int. J. Mol. Sci. 2023, 24, 13219. [Google Scholar] [CrossRef] [PubMed]
- Batool, S.M.; Yekula, A.; Khanna, P.; Hsia, T.; Gamblin, A.S.; Ekanayake, E.; Escobedo, A.K.; You, D.G.; Castro, C.M.; Im, H.; et al. The Liquid Biopsy Consortium: Challenges and Opportunities for Early Cancer Detection and Monitoring. Cell Rep. Med. 2023, 4, 101198. [Google Scholar] [CrossRef] [PubMed]
- Poulet, G.; Massias, J.; Taly, V. Liquid Biopsy: General Concepts. Acta Cytol. 2019, 63, 449–455. [Google Scholar] [CrossRef]
- Corcoran, R.B.; Chabner, B.A. Application of Cell-Free DNA Analysis to Cancer Treatment. N. Engl. J. Med. 2018, 379, 1754–1765. [Google Scholar] [CrossRef]
- Nikanjam, M.; Kato, S.; Kurzrock, R. Liquid Biopsy: Current Technology and Clinical Applications. J. Hematol. Oncol. 2022, 15, 131. [Google Scholar] [CrossRef]
- Rizzo, A.; Ricci, A.D.; Tavolari, S.; Brandi, G. Circulating Tumor DNA in Biliary Tract Cancer: Current Evidence and Future Perspectives. Cancer Genom.—Proteom. 2020, 17, 441–452. [Google Scholar] [CrossRef]
- Zill, O.A.; Greene, C.; Sebisanovic, D.; Siew, L.M.; Leng, J.; Vu, M.; Hendifar, A.E.; Wang, Z.; Atreya, C.E.; Kelley, R.K.; et al. Cell-Free DNA Next-Generation Sequencing in Pancreatobiliary Carcinomas. Cancer Discov. 2015, 5, 1040–1048. [Google Scholar] [CrossRef]
- Lee, J.H.; Saw, R.P.; Thompson, J.F.; Lo, S.; Spillane, A.J.; Shannon, K.F.; Stretch, J.R.; Howle, J.; Menzies, A.M.; Carlino, M.S.; et al. Pre-Operative CtDNA Predicts Survival in High-Risk Stage III Cutaneous Melanoma Patients. Ann. Oncol. 2019, 30, 815–822. [Google Scholar] [CrossRef]
- Diehl, F.; Schmidt, K.; Choti, M.A.; Romans, K.; Goodman, S.; Li, M.; Thornton, K.; Agrawal, N.; Sokoll, L.; Szabo, S.A.; et al. Circulating Mutant DNA to Assess Tumor Dynamics. Nat. Med. 2008, 14, 985–990. [Google Scholar] [CrossRef] [PubMed]
- Guven, D.C.; Sahin, T.K.; Yildirim, H.C.; Aktepe, O.H.; Dizdar, O.; Yalcin, S. A Systematic Review and Meta-Analysis of the Association between Circulating Tumor DNA (CtDNA) and Prognosis in Pancreatic Cancer. Crit. Rev. Oncol. Hematol. 2021, 168, 103528. [Google Scholar] [CrossRef]
- Reece, M.; Saluja, H.; Hollington, P.; Karapetis, C.S.; Vatandoust, S.; Young, G.P.; Symonds, E.L. The Use of Circulating Tumor DNA to Monitor and Predict Response to Treatment in Colorectal Cancer. Front. Genet. 2019, 10, 1118. [Google Scholar] [CrossRef]
- Li, S.; Lai, H.; Liu, J.; Liu, Y.; Jin, L.; Li, Y.; Liu, F.; Gong, Y.; Guan, Y.; Yi, X.; et al. Circulating Tumor DNA Predicts the Response and Prognosis in Patients With Early Breast Cancer Receiving Neoadjuvant Chemotherapy. JCO Precis. Oncol. 2020, 4, 244–257. [Google Scholar] [CrossRef] [PubMed]
- Zhu, G.-Q.; Liu, W.-R.; Tang, Z.; Qu, W.-F.; Fang, Y.; Jiang, X.-F.; Song, S.-S.; Wang, H.; Tao, C.-Y.; Zhou, P.-Y.; et al. Serial Circulating Tumor DNA to Predict Early Recurrence in Patients with Hepatocellular Carcinoma: A Prospective Study. Mol. Oncol. 2022, 16, 549–561. [Google Scholar] [CrossRef] [PubMed]
- Fu, Y.; Yang, Z.; Hu, Z.; Yang, Z.; Pan, Y.; Chen, J.; Wang, J.; Hu, D.; Zhou, Z.; Xu, L.; et al. Preoperative Serum CtDNA Predicts Early Hepatocellular Carcinoma Recurrence and Response to Systemic Therapies. Hepatol. Int. 2022, 16, 868–878. [Google Scholar] [CrossRef]
- Goyal, L.; Saha, S.K.; Liu, L.Y.; Siravegna, G.; Leshchiner, I.; Ahronian, L.G.; Lennerz, J.K.; Vu, P.; Deshpande, V.; Kambadakone, A.; et al. Polyclonal Secondary FGFR2 Mutations Drive Acquired Resistance to FGFR Inhibition in Patients with FGFR2 Fusion-Positive Cholangiocarcinoma. Cancer Discov. 2017, 7, 252–263. [Google Scholar] [CrossRef]
- Hovelson, D.H.; Liu, C.-J.; Wang, Y.; Kang, Q.; Henderson, J.; Gursky, A.; Brockman, S.; Ramnath, N.; Krauss, J.C.; Talpaz, M.; et al. Rapid, Ultra Low Coverage Copy Number Profiling of Cell-Free DNA as a Precision Oncology Screening Strategy. Oncotarget 2017, 8, 89848. [Google Scholar] [CrossRef]
- Mody, K.; Kasi, P.M.; Yang, J.; Surapaneni, P.K.; Bekaii-Saab, T.; Ahn, D.H.; Mahipal, A.; Sonbol, M.B.; Starr, J.S.; Roberts, A.; et al. Circulating Tumor DNA Profiling of Advanced Biliary Tract Cancers. JCO Precis. Oncol. 2019, 3, 1–9. [Google Scholar] [CrossRef]
- Valle, J.W.; Lamarca, A.; Goyal, L.; Barriuso, J.; Zhu, A.X. New Horizons for Precision Medicine in Biliary Tract Cancers. Cancer Discov. 2017, 7, 943–962. [Google Scholar] [CrossRef]
- Javle, M.; Bekaii-Saab, T.; Jain, A.; Wang, Y.; Kelley, R.K.; Wang, K.; Kang, H.C.; Catenacci, D.; Ali, S.; Krishnan, S.; et al. Biliary Cancer: Utility of next-Generation Sequencing for Clinical Management. Cancer 2016, 122, 3838–3847. [Google Scholar] [CrossRef]
- Bettegowda, C.; Sausen, M.; Leary, R.J.; Kinde, I.; Wang, Y.; Agrawal, N.; Bartlett, B.R.; Wang, H.; Luber, B.; Alani, R.M.; et al. Detection of Circulating Tumor DNA in Early- and Late-Stage Human Malignancies. Sci. Transl. Med. 2014, 6, 224ra24. [Google Scholar] [CrossRef] [PubMed]
- Ghidini, M.; Pizzo, C.; Botticelli, A.; Hahne, J.C.; Passalacqua, R.; Tomasello, G.; Petrelli, F. Biliary Tract Cancer: Current Challenges and Future Prospects. Cancer Manag. Res. 2019, 11, 379–388. [Google Scholar] [CrossRef] [PubMed]
- Page, M.J.; McKenzie, J.E.; Bossuyt, P.M.; Boutron, I.; Hoffmann, T.C.; Mulrow, C.D.; Shamseer, L.; Tetzlaff, J.M.; Akl, E.A.; Brennan, S.E.; et al. The PRISMA 2020 Statement: An Updated Guideline for Reporting Systematic Reviews. BMJ 2021, 372, n71. [Google Scholar] [CrossRef]
- Kohl, C.; Mcintosh, E.J.; Unger, S.; Haddaway, N.R.; Kecke, S.; Schiemann, J.; Wilhelm, R. Correction to: Online Tools Supporting the Conduct and Reporting of Systematic Reviews and Systematic Maps: A Case Study on CADIMA and Review of Existing Tools. Environ. Evid. 2018, 7, 8. [Google Scholar] [CrossRef]
- Stang, A. Critical Evaluation of the Newcastle-Ottawa Scale for the Assessment of the Quality of Nonrandomized Studies in Meta-Analyses. Eur. J. Epidemiol. 2010, 25, 603–605. [Google Scholar] [CrossRef]
- Riley, R.D.; Higgins, J.P.T.; Deeks, J.J. Interpretation of Random Effects Meta-Analyses. BMJ 2011, 342, d549. [Google Scholar] [CrossRef] [PubMed]
- Kim, K.-H.; Yi, H.-S.; Lee, H.; Bae, G.-E.; Yeo, M.-K. Targeting the Sequences of Circulating Tumor DNA of Cholangiocarcinomas and Its Applications and Limitations in Clinical Practice. Int. J. Mol. Sci. 2023, 24, 7512. [Google Scholar] [CrossRef]
- Yu, J.; He, A.R.; Ouf, M.; Mehta, R.; Anaya, D.A.; Denbo, J.; Bridges, C.; Tin, A.; Aushev, V.N.; Palsuledesai, C.C.; et al. Detecting Early Recurrence With Circulating Tumor DNA in Stage I-III Biliary Tract Cancer After Curative Resection. JCO Precis. Oncol. 2025, 9, e2400443. [Google Scholar] [CrossRef]
- Wang, X.; Fu, X.-H.; Qian, Z.-L.; Zhao, T.; Duan, A.-Q.; Ruan, X.; Zhu, B.; Yin, L.; Zhang, Y.-J.; Yu, W.-L. Non-Invasive Detection of Biliary Tract Cancer by Low-Coverage Whole Genome Sequencing from Plasma Cell-Free DNA: A Prospective Cohort Study. Transl. Oncol. 2021, 14, 100908. [Google Scholar] [CrossRef]
- Cowzer, D.; Darmofal, M.; Seier, K.; Thummalapalli, R.; Walch, H.; El Dika, I.; Khalil, D.N.; Park, W.; Dhyani, A.; Yaqubie, A.; et al. Clinical Utility and Prognostic Implications of Circulating Cell-Free DNA in Biliary Tract Cancer. JCO Precis. Oncol. 2025, 9, e2500355. [Google Scholar] [CrossRef]
- Yoo, C.; Jeong, H.; Jeong, J.H.; Kim, K.; Lee, S.; Ryoo, B.Y.; Hwang, D.W.; Lee, J.H.; Moon, D.B.; Kim, K.H.; et al. Circulating Tumor DNA Status and Dynamics Predict Recurrence in Patients with Resected Extrahepatic Cholangiocarcinoma. J. Hepatol. 2025, 82, 861–870. [Google Scholar] [CrossRef]
- Lapin, M.; Huang, H.J.; Chagani, S.; Javle, M.; Shroff, R.T.; Pant, S.; Gouda, M.A.; Raina, A.; Madwani, K.; Holley, V.R.; et al. Monitoring of Dynamic Changes and Clonal Evolution in Circulating Tumor DNA From Patients With IDH-Mutated Cholangiocarcinoma Treated With Isocitrate Dehydrogenase Inhibitors. JCO Precis. Oncol. 2022, 6, e2100197. [Google Scholar] [CrossRef]
- Uson Junior, P.L.S.; Majeed, U.; Yin, J.; Botrus, G.; Sonbol, M.B.; Ahn, D.H.; Starr, J.S.; Jones, J.C.; Babiker, H.; Inabinett, S.R.; et al. Cell-Free Tumor DNA Dominant Clone Allele Frequency Is Associated With Poor Outcomes in Advanced Biliary Cancers Treated With Platinum-Based Chemotherapy. JCO Precis. Oncol. 2022, 6, e2100274. [Google Scholar] [CrossRef]
- Ettrich, T.J.; Schwerdel, D.; Dolnik, A.; Beuter, F.; Blätte, T.J.; Schmidt, S.A.; Stanescu-Siegmund, N.; Steinacker, J.; Marienfeld, R.; Kleger, A.; et al. Genotyping of Circulating Tumor DNA in Cholangiocarcinoma Reveals Diagnostic and Prognostic Information. Sci. Rep. 2019, 9, 13261. [Google Scholar] [CrossRef]
- Andersen, L.B.; Mahler, M.S.K.; Andersen, R.F.; Jensen, L.H.; Raunkilde, L. The Clinical Impact of Methylated Homeobox A9 CtDNA in Patients with Non-Resectable Biliary Tract Cancer Treated with Erlotinib and Bevacizumab. Cancers 2022, 14, 4598. [Google Scholar] [CrossRef] [PubMed]
- Chen, X.; Wu, X.; Wu, H.; Gu, Y.; Shao, Y.; Shao, Q.; Zhu, F.; Li, X.; Qian, X.; Hu, J.; et al. Camrelizumab plus Gemcitabine and Oxaliplatin (GEMOX) in Patients with Advanced Biliary Tract Cancer: A Single-Arm, Open-Label, Phase II Trial. J. Immunother. Cancer 2020, 8, e001240. [Google Scholar] [CrossRef]
- Hwang, S.; Woo, S.; Kang, B.; Kang, H.; Kim, J.S.; Lee, S.H.; Kwon, C.l.; Kyung, D.S.; Kim, H.-P.; Kim, G.; et al. Concordance of CtDNA and Tissue Genomic Profiling in Advanced Biliary Tract Cancer. J. Hepatol. 2024, 82, 649–657. [Google Scholar] [CrossRef] [PubMed]
- Berchuck, J.E.; Facchinetti, F.; DiToro, D.F.; Baiev, I.; Majeed, U.; Reyes, S.; Chen, C.; Zhang, K.; Sharman, R.; Uson Junior, P.L.S.; et al. The Clinical Landscape of Cell-Free DNA Alterations in 1671 Patients with Advanced Biliary Tract Cancer. Ann. Oncol. 2022, 33, 1269–1283. [Google Scholar] [CrossRef]
- Aoki, T.; Sakamoto, Y.; Kohno, Y.; Akamatsu, N.; Kaneko, J.; Sugawara, Y.; Hasegawa, K.; Makuuchi, M.; Kokudo, N. Hepatopancreaticoduodenectomy for Biliary Cancer: Strategies for Near-Zero Operative Mortality and Acceptable Long-Term Outcome. Ann. Surg. 2018, 267, 332–337. [Google Scholar] [CrossRef] [PubMed]
- Andersen, R.F.; Jakobsen, A. Screening for Circulating RAS/RAF Mutations by Multiplex Digital PCR. Clin. Chim. Acta 2016, 458, 138–143. [Google Scholar] [CrossRef]
- Winter, H.; Kaisaki, P.J.; Harvey, J.; Giacopuzzi, E.; Ferla, M.P.; Pentony, M.M.; Knight, S.J.L.; Sharma, R.A.; Taylor, J.C.; McCullagh, J.S.O. Identification of Circulating Genomic and Metabolic Biomarkers in Intrahepatic Cholangiocarcinoma. Cancers 2019, 11, 1895. [Google Scholar] [CrossRef] [PubMed]
- Dawson, S.J.; Tsui, D.W.; Murtaza, M.; Biggs, H.; Rueda, O.M.; Chin, S.F.; Dunning, M.J.; Gale, D.; Forshew, T.; Mahler-Araujo, B.; et al. Analysis of Circulating Tumor DNA to Monitor Metastatic Breast Cancer. N. Engl. J. Med. 2025, 368, 1199–1209. [Google Scholar] [CrossRef] [PubMed]
- Wang, D.-S.; Yang, H.; Liu, X.-Y.; Chen, Z.-G.; Wang, Y.; Fong, W.P.; Hu, M.-T.; Zheng, Y.-C.; Zheng, Y.; Li, B.-K.; et al. Dynamic Monitoring of Circulating Tumor DNA to Predict Prognosis and Efficacy of Adjuvant Chemotherapy after Resection of Colorectal Liver Metastases. Theranostics 2021, 11, 7018–7028. [Google Scholar] [CrossRef] [PubMed]
- Bridgewater, J.; Galle, P.R.; Khan, S.A.; Llovet, J.M.; Park, J.-W.; Patel, T.; Pawlik, T.M.; Gores, G.J. Guidelines for the Diagnosis and Management of Intrahepatic Cholangiocarcinoma. J. Hepatol. 2014, 60, 1268–1289. [Google Scholar] [CrossRef]
- Banales, J.M.; Cardinale, V.; Carpino, G.; Marzioni, M.; Andersen, J.B.; Invernizzi, P.; Lind, G.E.; Folseraas, T.; Forbes, S.J.; Fouassier, L.; et al. Cholangiocarcinoma: Current Knowledge and Future Perspectives Consensus Statement from the European Network for the Study of Cholangiocarcinoma (ENS-CCA). Nat. Rev. Gastroenterol. Hepatol. 2016, 13, 261–280. [Google Scholar] [CrossRef]
- Huguet, J.M.; Lobo, M.; Labrador, J.M.; Boix, C.; Albert, C.; Ferrer-Barceló, L.; Durá, A.B.; Suárez, P.; Iranzo, I.; Gil-Raga, M.; et al. Diagnostic-Therapeutic Management of Bile Duct Cancer. World J. Clin. Cases 2019, 7, 1732–1752. [Google Scholar] [CrossRef]
- Mencel, J.; Feber, A.; Begum, R.; Carter, P.; Smalley, M.; Bourmpaki, E.; Shur, J.; Zar, S.; Kohoutova, D.; Popat, S.; et al. Liquid Biopsy for Diagnosis in Patients with Suspected Pancreatic and Biliary Tract Cancers: PREVAIL CtDNA Pilot Trial. J. Clin. Oncol. 2022, 40, 522. [Google Scholar] [CrossRef]
- Wintachai, P.; Lim, J.Q.; Techasen, A.; Lert-Itthiporn, W.; Kongpetch, S.; Loilome, W.; Chindaprasirt, J.; Titapun, A.; Namwat, N.; Khuntikeo, N.; et al. Diagnostic and Prognostic Value of Circulating Cell-Free DNA for Cholangiocarcinoma. Diagnostics 2021, 11, 999. [Google Scholar] [CrossRef]
- Xiao, X.; Zhou, J.; Fang, M.; Ji, J.; Huang, C.; Du, F.; Ai, W.; Wang, Y.; Gao, Z.; Qiu, Z.; et al. Quantitative Detections of TP53 Gene Mutations Improve the Diagnosis and Prognostic Prediction of Biliary Tract Cancers Using Droplet Digital PCR. J. Clin. Lab. Anal. 2022, 36, e24103. [Google Scholar] [CrossRef]
- Lamarca, A.; Kapacee, Z.; Breeze, M.; Bell, C.; Belcher, D.; Staiger, H.; Taylor, C.; McNamara, M.G.; Hubner, R.A.; Valle, J.W. Molecular Profiling in Daily Clinical Practice: Practicalities in Advanced Cholangiocarcinoma and Other Biliary Tract Cancers. J. Clin. Med. 2020, 9, 2854. [Google Scholar] [CrossRef]
- Okamura, R.; Kurzrock, R.; Mallory, R.J.; Fanta, P.T.; Burgoyne, A.M.; Clary, B.M.; Kato, S.; Sicklick, J.K. Comprehensive Genomic Landscape and Precision Therapeutic Approach in Biliary Tract Cancers. Int. J. Cancer 2021, 148, 702–712. [Google Scholar] [CrossRef] [PubMed]
- Liu, H.; Yang, H.; Chen, X. Prognostic Value of Circulating Tumour DNA in Asian Patients with Hepatocellular Carcinoma: A Systematic Review and Meta-Analysis. Evid.-Based Complement. Altern. Med. 2022, 2022, 8019652. [Google Scholar] [CrossRef]
- Pairawan, S.; Hess, K.R.; Janku, F.; Sanchez, N.S.; Mills Shaw, K.R.; Eng, C.; Damodaran, S.; Javle, M.; Kaseb, A.O.; Hong, D.S.; et al. Cell-Free Circulating Tumor DNA Variant Allele Frequency Associates with Survival in Metastatic Cancer. Clin. Cancer Res. 2020, 26, 1924–1931. [Google Scholar] [CrossRef] [PubMed]
- Chidharla, A.; Rapoport, E.; Agarwal, K.; Madala, S.; Linares, B.; Sun, W.; Chakrabarti, S.; Kasi, A. Circulating Tumor DNA as a Minimal Residual Disease Assessment and Recurrence Risk in Patients Undergoing Curative-Intent Resection with or without Adjuvant Chemotherapy in Colorectal Cancer: A Systematic Review and Meta-Analysis. Int. J. Mol. Sci. 2023, 24, 10230. [Google Scholar] [CrossRef]
- Mi, J.; Wang, R.; Han, X.; Ma, R.; Li, H. Circulating Tumor DNA Predicts Recurrence and Assesses Prognosis in Operable Gastric Cancer: A Systematic Review and Meta-Analysis. Medicine 2023, 102, e36228. [Google Scholar] [CrossRef] [PubMed]
- Nader-Marta, G.; Monteforte, M.; Agostinetto, E.; Cinquini, M.; Martins-Branco, D.; Langouo, M.; Llombart-Cusac, A.; Cortés, J.; Ignatiadis, M.; Torri, V.; et al. Circulating Tumor DNA for Predicting Recurrence in Patients with Operable Breast Cancer: A Systematic Review and Meta-Analysis☆. ESMO Open 2024, 9, 102390. [Google Scholar] [CrossRef]
- Benson, A.B.; Abrams, T.A.; Ben-Josef, E.; Bloomston, P.M.; Botha, J.F.; Clary, B.M.; Covey, A.; Curley, S.A.; D’Angelica, M.I.; Davila, R.; et al. Hepatobiliary Cancers. J. Natl. Compr. Cancer Netw. J. Natl. Compr. Canc Netw. 2009, 7, 350–391. [Google Scholar] [CrossRef]
- Lamarca, A.; McNamara, M.G.; Hubner, R.; Valle, J.W. Role of CtDNA to Predict Risk of Recurrence Following Potentially Curative Resection of Biliary Tract and Pancreatic Malignancies. J. Clin. Oncol. 2025, 39, 336. [Google Scholar] [CrossRef]






| Study ID | Country | Year | Patients | Pt. with LB | Liquid Biopsy | Age | Treatment |
|---|---|---|---|---|---|---|---|
| n | n | Median (Range) | |||||
| Ettrich 2019 [45] | Germany | NR | 24 | 23 | ctDNA | 66.7 ± 12.2 * | CT = 23 |
| Chen 2020 [47] | China | 2018–2019 | 37 | 30 | ctDNA | 64.0 (41.0–74.0) | CT = 37 |
| Wang 2021 [40] | China | 2019–2020 | 47 § | 47 § | cfDNA | 59.0 (50.0–63.0) | TN = 47 |
| Berchuck 2022 [49] | USA | 2015–2019 | 1671 | 1671 | cfDNA | 65.0 (56.0–72.0) | TN = 105 ** CT = 86 ** TT = 29 ** |
| Lapin 2022 [43] | USA | 2015–2017 | 31 | 31 | ctDNA | 60.0 (35.0–77.0) | TT = 31 |
| Junior 2022 [44] | USA | 2016–2020 | 67 | 67 | ctDNA | 67.0 (27.0–90.0) | CT = 67 |
| Andersen 2022 [46] | Denmark | 2012–2017 | 39 | 39 | ctDNA | 62.0 (25.0–80.0) | CT = 39 |
| Kim 2023 [38] | Korea | 2018–2020 | 20 § | 20 § | ctDNA | 66.8 (35.0–79.0) | TN = 6 AT = 14 |
| Hwang 2024 [48] | Korea | 2019–2022 | 139 | 102 | ctDNA | 66.0 (59.0–71.0) | CT = 137 CT + IT = 2 |
| Yu 2025 [39] | USA | 2019–2023 | 56 § | 56 § | ctDNA | 64.0 (57.0–71.0) | AT = 43 TN = 13 |
| Cowzer 2025 [41] | USA | 2014–2022 | 170 (50 §) | 60 | cfDNA | 64.7 (56.5–72.4) | CT = 120 TN = 50 |
| Yoo 2025 [42] | Korea | 2017–2020 | 101 § | 89 § | ctDNA | 67.0 (47.0–76.0) | AT = 101 |
| Tumor | ctDNA/cfDNA | |||||||
|---|---|---|---|---|---|---|---|---|
| Study ID | ICC | ECC | GBC | Other | Source | Collection | Isolation | Detection |
| Ettrich 2019 [45] | 13 | 10 | 0 | 0 | Plasma | Pre- and post-treatment | QIAamp Circulating Nucleic Acid Kit (Qiagen, Hilden, Germany) | NR |
| Chen 2020 [47] | 30 | 0 | NR | Post-treatment | NR | Sequencing (not specified) | ||
| Wang 2021 [40] | 5 § | 16 § | 8 § | 0 | Plasma | Treatment-naïve | QIAseq cfDNA Extraction Kit (Qiagen, Hilden, Germany) | Low coverage WGS (Illumina, San Diego, CA, USA) |
| Berchuck 2022 [49] | 1526 | 145 | 0 | Plasma | Pre-treatment | NR | Target NGS (Guardant 360, Redwood City, CA, USA) | |
| Lapin 2022 [43] | 31 | 0 | 0 | Plasma | Pre- and post-treatment | QIAamp Circulating Nucleic Acid Kit (Qiagen, Valencia, CA, USA) | ddPCR and NGS (Guardant Health, Redwood City, CA, USA) | |
| Junior 2022 [44] | 54 | 7 | 6 | 0 | Plasma | Pre-treatment | NR | Target NGS (Guardant 360, Redwood City, CA, USA) |
| Andersen 2022 [46] | 23 | 6 | 1 | 9 | Plasma | Post-treatment | QIAsymphony DSP (Qiagen, Hilden, Germany) | ddPCR (Thermo Fisher Scientific, Waltham, MA, USA) |
| Kim 2023 [38] | 14 § | 4 § | 0 | 2 | Plasma | Pre- and post-treatment (surgery) | QIAamp MinElute Midi Kits (Qiagen, Hilden, Germany) | Target NGS (Illumina, San Diego, CA, USA) |
| Hwang 2024 [48] | 50 | 27 | 25 | 0 | Plasma | Pre-treatment | Maxwell® RSC34 cfDNA Plasma Kit (Promega, Madison, WI, USA) | Target NGS (Illumina, San Diego, CA, USA) |
| Yu 2025 [39] | 24 § | 12 § | 8 § | 0 | Plasma | Pre- and post-treatment | QIAamp Circulating Nucleic Acid Kit (Qiagen, Valencia, CA, USA) | PCR-based NGS |
| Cowzer 2025 [41] | 121 | 29 | 20 | 0 | Plasma | Pre- treatment | NR | NGS (Illumina, San Diego, CA, USA) |
| Yoo 2025 [42] | 0 | 101 § | 0 | 0 | Plasma | Pre- and post-treatment | NR | Target NGS (Illumina, San Diego, CA, USA) |
| Study ID | No. Pt | Population | Marker ctDNA+ | Endpoint | Univariate HR (95%CI) | Multivariate HR (95%CI) |
|---|---|---|---|---|---|---|
| Chen 2020 [47] | 30 | Overall | ctDNA presence | PFS | 2.83 (1.27–6.28), p = 0.007 | NA |
| 30 | OS | 1.77 (0.78–3.99), p = 0.16 | NA | |||
| 17 | Responders | PFS | 3.22 (1.10–9.40), p = 0.02 | NA | ||
| 13 | Non responders | PFS | 1.22 (0.32–4.60), p = 0.77 | NA | ||
| Wang 2021 [40] | 28 § | Overall | CNV > 4 aberrations | OS | 4.32 (2.06–9.08) p = 0.033 | NA |
| Berchuck 2022 [49] | 105 | Treatment naïve | VAF ≥ 9% | OS | 1.80 (1.0–3.0) p = 0.041 | NA |
| 86 | First line CT | PFS | 1.90 (1.10–3.20) p = 0.035 | NA | ||
| 86 | OS | 2.10 (1.10–4.00) p = 0.03 | NA | |||
| 29 | TT | PFS | 6.10 (2.10–18.90) p = 0.0012 | NA | ||
| 29 | OS | 4.40 (1.30–14.90) p = 0.019 | NA | |||
| Junior 2022 [44] | 66 | Overall | DCAF ≥ 3% | OS | 2.02 (1.06–3.85), p = 0.03 | NA |
| 66 | PFS | 1.51 (0.76–3.00), p = 0.24 | NA | |||
| 66 | DCAF ≥ 10% | OS | 3.47 (1.43–8.39), p = 0.002 | 13.07 (1.2–142.32), p = 0.035 | ||
| 66 | PFS | 8.33 (2.24–31.03), p < 0.001 | NA | |||
| Lapin 2022 [43] | 31 | Overall | VAF IDH increasing | OS | 2.69 (1.04–6.95), p = 0.03 | NA |
| Andersen 2022 [46] | 33 | First CT cycle | Met-HOXA9 above median | PFS | 12.4 (3.63–42.25), p < 0.001 | NA |
| 33 | OS | 2.75 (1.00–7.55), p = 0.04 | NA | |||
| 33 | Second CT cycle | PFS | 5.1 (1.46–17.71), p = 0.0047 | NA | ||
| 33 | OS | 4.11 (1.28–13.21), p = 0.0105 | NA | |||
| Hwang 2024 [48] | 101 | Overall | VAF > 3.9% | OS | 3.5 (1.94–6.51), p < 0.0001 | 3.49 (1.72–7.08), p = 0.0005 |
| 101 | PFS | 3.48 (2.07–5.85), p < 0.0001 | 3.57 (1.93–6.60), p < 0.0001 | |||
| Yu 2025 [39] | 30 § | Before AT | ctDNA detected | RFS | 26.00 (2.6–265.0), p < 0.0001 | NA |
| 42 § | After AT | RFS | 20.00 (2.6–153.0), p < 0.0001 | NA | ||
| Cowzer 2025 [41] | 50 § | Treatment naive | ctDNA detected | OS | 4.51 (1.21–16.81), p = 0.117 | NA |
| 60 | Before CT | VAF ≥ 1.4% | OS | 2.31 (1.22–4.36), p = 0.007 | NA | |
| PFS | 1.36 (0.79–2.36), p = 0.26 | NA | ||||
| Yoo 2025 [42] | 89 § | Before AT (MRD window) | ctDNA detected | DFS | 1.80 (1.06–3.07), p = 0.029 | NA |
| OS | 1.52 (0.86–2.70), p = 0.148 | NA | ||||
| 89 § | Any time post-surgery | DFS | 3.81 (2.22–6.54), p < 0.001 | NA | ||
| OS | 3.77 (2.08–6.84), p < 0.001 | NA | ||||
| 88 § | 12 weeks after AT | DFS | 7.72 (4.09–14.56), p < 0.001 | NA | ||
| OS | 3.54 (1.97–6.35), p < 0.001 | NA | ||||
| 77 § | 24 weeks after AT | DFS | 5.24 (2.75–9.97), p < 0.001 | NA | ||
| OS | 2.80 (1.50–5.24), p = 0.001 | NA |
| Study | Population | OS (Median, mo.) | 1-Year OS (%) | PFS (Median, mo.) | 1-Year PFS (%) | ||||
|---|---|---|---|---|---|---|---|---|---|
| ctDNA+ | ctDNA− | ctDNA+ | ctDNA− | ctDNA+ | ctDNA− | ctDNA+ | ctDNA− | ||
| Chen 2020 [47] | Overall | 9.10 | 13.00 | 53.16 | 29.50 | 4.30 | 7.30 | 6.10 | 23.60 |
| Responders | / | / | / | / | 5.00 | 8.40 | 14.50 | 29.70 | |
| Non responders | / | / | / | / | 4.10 | 4.20 | NR | NR | |
| Wang 2021 [40] | Overall § | 7.79 | NR | 50.00 | 89.00 | / | / | / | / |
| Andersen 2022 [46] | Overall | 4.50 | 5.65 | NR | 5.85 | 1.85 | 2.72 | NR | NR |
| First cycle | 2.49 | 5.20 | NR | 3.40 | 0.64 | 2.46 | NR | NR | |
| Berchuck 2022 [49] | Naïve | 8.20 | 20.10 | 32.10 | 65.40 | / | / | / | / |
| Chemotherapy | 7.70 | 19.90 | 28.35 | 60.71 | 2.60 | 7.60 | 18.46 | 25.67 | |
| Targeted therapy | 10.50 | 15.30 | 25.88 | 70.97 | 3.20 | 7.90 | NR | 20.13 | |
| Junior 2022 [44] | Overall | 10.80 | 18.80 | 38.70 | 73.80 | 4.60 | 7.70 | 23.27 | 38.71 |
| Lapin 2022 [43] | Overall | 9.30 | 33.10 | 42.90 | 80.50 | / | / | / | / |
| Hwang 2024 [48] | Overall | 10.20 | 20.10 | 33.60 | 87.83 | 4.90 | 16.40 | 14.90 | 61.10 |
| Cowzer 2025 [41] | Naïve | 38.70 | 39.00 | 60.00 | 100.00 | / | / | / | / |
| Advanced disease before CT | 14.05 | 32.04 | 51.00 | 78.50 | 4.47 | 11.84 | 15.90 | 43.00 | |
| Yoo 2025 [42] | Before AT (MRD window) | 32.10 | 38.60 | 76.20 | 97.00 | / | / | / | / |
| Any time post-surgery | 27.40 | NR | 86.20 | 95.00 | / | / | / | / | |
| 12 weeks after AT | 19.20 | 48.50 | 73.50 | 98.50 | / | / | / | / | |
| 24 weeks after AT | 29.32 | 49.70 | 89.20 | 96.60 | / | / | / | / | |
| Study ID | Population | Median VAF % | VAF | OS | PFS | VAF | OS | PFS |
|---|---|---|---|---|---|---|---|---|
| IQR | % | Median mo., IQR | % | Median mo., IQR | ||||
| Junior 2022 [44] | Overall | 3.0 (0–97) | >3.0 | 10.80 (15.00–18.90) | 4.70 | <3.0 | 18.80 (15.00-NA) | 7.70 |
| Berchuck 2022 [49] | TN | No data | >9.0 | 8.20 | / | <9.0 | 20.10 | / |
| CT | No data | >9.0 | 7.70 | 2.60 | <9.0 | 19.90 | 7.60 | |
| TT | No data | >9.0 | 10.50 | 3.20 | <9.0 | 15.30 | 7.90 | |
| Lapin 2022 [43] | Overall | 2.2 (0–12.9) | Increasing VAF | 9.30 (2.10–16.40) | / | Decreasing VAF | 33.10 (13.00–53.20) | / |
| Hwang 2024 [48] | Overall | 3.9 | >3.9 | 10.20 | 4.90 | <3.9 | 20.10 | 16.40 |
| Cowzer 2025 [41] | Advanced disease before CT | 1.2 (0.1–3.8) | ≥1.4 | 14.05 (5.39–19.97) | 4.47 (2.17–6.48) | <1.4 | 32.04 (13.82–39.93) | 11.84 (5.39–18.42) |
| Study ID | Quartile 1 | Quartile 2 | Quartile 3 | Quartile 4 | ||||
|---|---|---|---|---|---|---|---|---|
| VAF Range (%) | OS (Median, mo.) | VAF Range (%) | OS (Median, mo.) | VAF Range (%) | OS (mo.) | VAF Range (%) | OS (Median, mo.) | |
| Berchuck 2022 [49] | 0.0 -0.7 | 23.20 | 0.8–3.2 | 16.80 | 3.3–9.0 | 18.30 | 9.1–92.0 | 8.20 |
| Junior 2022 [44] | 0.0–0.6 | 22.20 | 0.6–3.0 | 18.80 | 3.0–10.0 | 14.60 | >10.0 | 7.00 |
| Hwang 2024 [48] | 0.0–0.8 | NR | 0.9–3.9 | 20.10 | 4.0–20.7 | 9.30 | 20.8–87.1 | 11.80 |
| Study ID | Therapy | OS (Months) | HR (95%CI) | PFS (Months) | HR (95%CI) | ||
|---|---|---|---|---|---|---|---|
| VAF+ | VAF− | VAF+ | VAF− | ||||
| Junior 2022 [44] | CT | 10.80 | 18.80 | 2.02 (1.06–3.85) | 4.70 | 7.70 | 1.51 (0.24–3.00) |
| Berchuck 2022 [49] | CT | 7.70 | 19.90 | 2.10 (1.10–4.00) | 2.60 | 7.60 | 1.90 (1.10–3.20) |
| TT | 10.50 | 15.30 | 4.40 (1.30–14.90) | 3.20 | 7.90 | 6.10 (2.10–18.90) | |
| Lapin 2022 [43] | TT | 9.30 | 33.10 | 2.69 (1.04–6.95) | / | / | |
| Hwang 2024 [48] | CT | 10.20 | 20.10 | 3.50 (1.94–6.51) | 4.90 | 16.40 | 3.48 (2.07–5.85) |
| Cowzer 2025 [41] | CT | 14.05 | 32.04 | 2.31 (1.22–4.36) | 4.47 | 11.84 | 1.36 (0.79–2.36) |
Disclaimer/Publisher’s Note: The statements, opinions and data contained in all publications are solely those of the individual author(s) and contributor(s) and not of MDPI and/or the editor(s). MDPI and/or the editor(s) disclaim responsibility for any injury to people or property resulting from any ideas, methods, instructions or products referred to in the content. |
© 2025 by the authors. Licensee MDPI, Basel, Switzerland. This article is an open access article distributed under the terms and conditions of the Creative Commons Attribution (CC BY) license (https://creativecommons.org/licenses/by/4.0/).
Share and Cite
Boggio, S.; Alaimo, L.; Poletto, E.; Quinzii, A.; Scoccati, G.; De Bellis, M.; Conci, S.; Campagnaro, T.; Ruzzenente, A. Prognostic Role of Circulating DNA in Biliary Tract Cancers: A Systematic Review and Meta-Analysis. Cancers 2025, 17, 3451. https://doi.org/10.3390/cancers17213451
Boggio S, Alaimo L, Poletto E, Quinzii A, Scoccati G, De Bellis M, Conci S, Campagnaro T, Ruzzenente A. Prognostic Role of Circulating DNA in Biliary Tract Cancers: A Systematic Review and Meta-Analysis. Cancers. 2025; 17(21):3451. https://doi.org/10.3390/cancers17213451
Chicago/Turabian StyleBoggio, Sara, Laura Alaimo, Edoardo Poletto, Alberto Quinzii, Giada Scoccati, Mario De Bellis, Simone Conci, Tommaso Campagnaro, and Andrea Ruzzenente. 2025. "Prognostic Role of Circulating DNA in Biliary Tract Cancers: A Systematic Review and Meta-Analysis" Cancers 17, no. 21: 3451. https://doi.org/10.3390/cancers17213451
APA StyleBoggio, S., Alaimo, L., Poletto, E., Quinzii, A., Scoccati, G., De Bellis, M., Conci, S., Campagnaro, T., & Ruzzenente, A. (2025). Prognostic Role of Circulating DNA in Biliary Tract Cancers: A Systematic Review and Meta-Analysis. Cancers, 17(21), 3451. https://doi.org/10.3390/cancers17213451

