Survival Outcomes and Prognostic Factors in Metastatic Unresectable Appendiceal Adenocarcinoma Treated with Palliative Systemic Chemotherapy: A 10-Year Retrospective Analysis from Australia
Simple Summary
Abstract
1. Introduction
2. Materials and Methods
2.1. Study Participants and Procedures
2.2. Outcome Measurements
2.3. Statistical Analysis
3. Results
3.1. Baseline Characteristics
3.2. Molecular Biomarker Assessment
3.3. Treatment Information
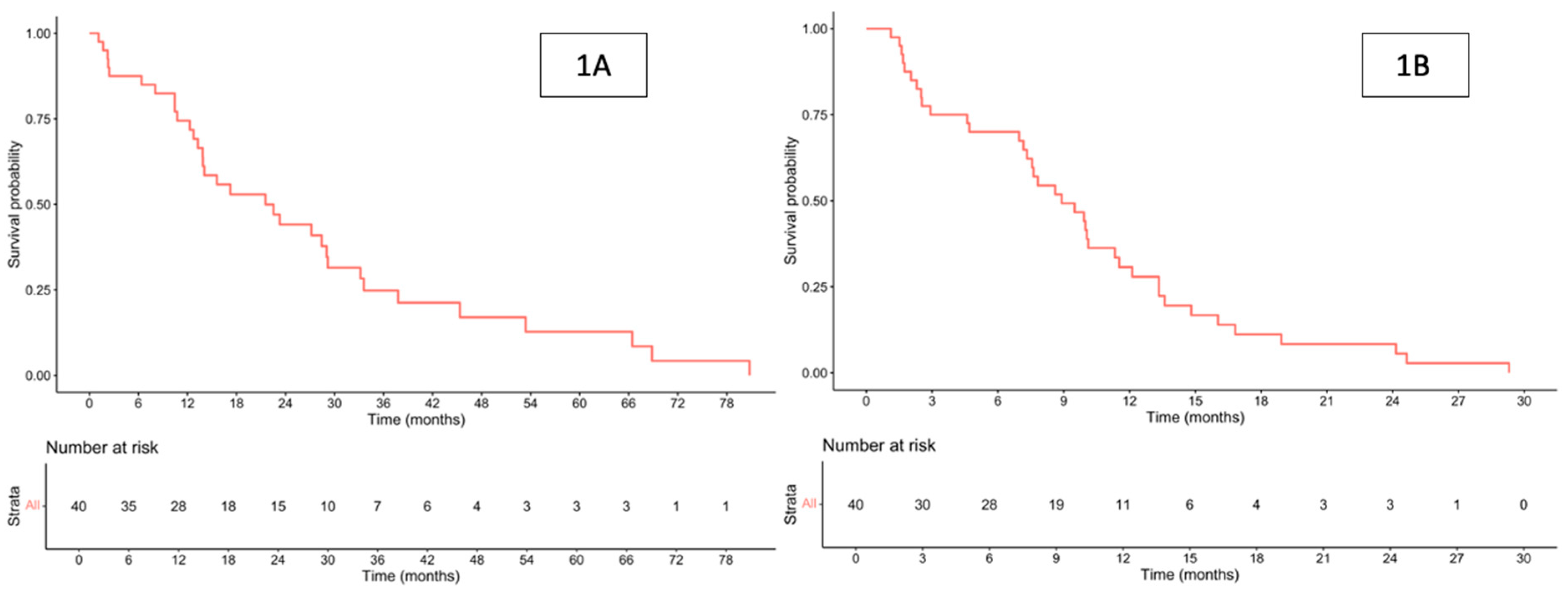
3.4. OS
3.5. PFS
3.6. Response Rates
3.7. Prognostic Factors
4. Discussion
5. Conclusions
Supplementary Materials
Author Contributions
Funding
Institutional Review Board Statement
Informed Consent Statement
Data Availability Statement
Acknowledgments
Conflicts of Interest
Abbreviations
| 5-FU | 5-fluorouracil |
| CA19-9 | carbohydrate antigen 19-9 |
| CAPOX | capecitabine plus oxaliplatin |
| CEA | carcinoembryonic antigen |
| CI | confidence interval |
| CR | complete response |
| CRC | colorectal cancer |
| CRS | cytoreductive surgery |
| ECOG | Eastern Cooperative Oncology Group |
| EGFR | epidermal growth factor receptor |
| FDG | fluorodeoxyglucose |
| FOLFIRI | 5-FU plus leucovorin and irinotecan |
| FOLFOX | 5-FU plus leucovorin and oxaliplatin |
| FOLFOXIRI | 5-FU plus leucovorin, oxaliplatin, and irinotecan |
| HER2 | human epidermal growth factor receptor 2 |
| HIPEC | hyperthermic intraperitoneal chemotherapy |
| HR | hazard ratio |
| MMR | mismatch repair |
| ORR | objective response rate |
| OS | overall survival |
| PD | progressive disease |
| PET | positron emission tomography |
| PFS | progression-free survival |
| PR | partial response |
| SD | stable disease |
References
- Carr, N.J.; Bibeau, F.; Bradley, R.F.; Dartigues, P.; Feakins, R.M.; Geisinger, K.R.; Gui, X.; Isaac, S.; Milione, M.; Misdraji, J.; et al. The histopathological classification, diagnosis and differential diagnosis of mucinous appendiceal neoplasms, appendiceal adenocarcinomas and pseudomyxoma peritonei. Histopathology 2017, 71, 847–858. [Google Scholar] [CrossRef]
- Ruoff, C.; Hanna, L.; Zhi, W.; Shahzad, G.; Gotlieb, V.; Saif, M.W. Cancers of the appendix: Review of the literatures. ISRN Oncol. 2011, 2011, 728579. [Google Scholar] [CrossRef]
- Smeenk, R.M.; van Velthuysen, M.L.F.; Verwaal, V.J.; Zoetmulder, F.A.N. Appendiceal neoplasms and pseudomyxoma peritonei: A population based study. Eur. J. Surg. Oncol. 2008, 34, 196–201. [Google Scholar] [CrossRef]
- Baratti, D.; Kusamura, S.; Nonaka, D.; Langer, M.; Andreola, S.; Favaro, M.; Gavazzi, C.; Laterza, B.; Deraco, M. Pseudomyxoma peritonei: Clinical pathological and biological prognostic factors in patients treated with cytoreductive surgery and hyperthermic intraperitoneal chemotherapy (HIPEC). Ann. Surg. Oncol. 2008, 15, 526–534. [Google Scholar] [CrossRef]
- Sugarbaker, P.H. New standard of care for appendiceal epithelial neoplasms and pseudomyxoma peritonei syndrome? Lancet Oncol. 2006, 7, 69–76. [Google Scholar] [CrossRef]
- Kang, D.W.; Kim, B.H.; Kim, J.M.; Kim, J.; Chang, H.J.; Chang, M.S.; Sohn, J.H.; Cho, M.Y.; Jin, S.Y.; Chang, H.K.; et al. Standardization of the pathologic diagnosis of appendiceal mucinous neoplasms. J Pathol Transl Med. 2021, 55, 247–264. [Google Scholar] [CrossRef] [PubMed]
- Yan, Q.; Zheng, W.; Luo, H.; Wang, B.; Zhang, X.; Wang, X. Incidence and survival trends for appendiceal mucinous adenocarcinoma: An analysis of 3237 patients in the Surveillance, Epidemiology, and End Results database. Future Oncol. 2019, 15, 3945–3961. [Google Scholar] [CrossRef] [PubMed]
- Asare, E.A.; Compton, C.C.; Hanna, N.N.; Kosinski, L.A.; Washington, M.K.; Kakar, S.; Weiser, M.R.; Overman, M.J. The impact of stage, grade, and mucinous histology on the efficacy of systemic chemotherapy in adenocarcinomas of the appendix: Analysis of the National Cancer Data Base. Cancer 2016, 122, 213–221. [Google Scholar] [CrossRef] [PubMed]
- Uemura, M.; Qiao, W.; Fournier, K.; Morris, J.; Mansfield, P.; Eng, C.; Royal, R.E.; Wolff, R.A.; Raghav, K.; Mann, G.N.; et al. Retrospective study of nonmucinous appendiceal adenocarcinomas: Role of systemic chemotherapy and cytoreductive surgery. BMC Cancer 2017, 17, 331. [Google Scholar] [CrossRef]
- Khan, F.; Vogel, R.I.; Diep, G.K.; Tuttle, T.M.; Lou, E. Prognostic factors for survival in advanced appendiceal cancers. Cancer Biomarkers 2016, 17, 457–462. [Google Scholar] [CrossRef]
- Osueni, A.; Chowdhury, Y.S. Appendix cancer. In StatPearls; StatPearls Publishing: Treasure Island, FL, USA. Available online: https://www.ncbi.nlm.nih.gov/books/NBK555943/ (accessed on 5 March 2025).
- Morgan, R.B.; Dhiman, A.; Sood, D.; Ong, C.T.; Wu, X.; Shergill, A.; Polite, B.; Turaga, K.K.; Eng, O.S. Mutational profiles and prognostic impact in colorectal and high-grade appendiceal adenocarcinoma with peritoneal metastases. J. Surg. Oncol. 2023, 127, 831–840. [Google Scholar] [CrossRef]
- Foote, M.B.; Walch, H.; Chatila, W.; Vakiani, E.; Chandler, C.; Steinruecke, F.; Nash, G.M.; Stadler, Z.; Chung, S.; Yaeger, R.; et al. Molecular classification of appendiceal adenocarcinoma. J. Clin. Oncol. 2023, 41, 1553–1564. [Google Scholar] [CrossRef]
- Govaerts, K.; Lurvink, R.J.; De Hingh, I.H.J.T.; Van der Speeten, K.; Villeneuve, L.; Kusamura, S.; Kepenekian, V.; Deraco, M.; Glehen, O.; Moran, B.J.; et al. Appendiceal tumours and pseudomyxoma peritonei: Literature review with PSOGI/EURACAN clinical practice guidelines for diagnosis and treatment. Eur. J. Surg. Oncol. 2021, 47, 11–35. [Google Scholar] [CrossRef]
- Sugarbaker, P.H.; Alderman, R.; Edwards, G.; Marquardt, C.E.; Gushchin, V.; Esquivel, J.; Chang, D. Prospective morbidity and mortality assessment of cytoreductive surgery plus perioperative intraperitoneal chemotherapy to treat peritoneal dissemination of appendiceal mucinous malignancy. Ann. Surg. Oncol. 2006, 13, 635–644. [Google Scholar] [CrossRef]
- Moran, B.; Baratti, D.; Yan, T.D.; Kusamura, S.; Deraco, M. Consensus statement on the loco-regional treatment of appendiceal mucinous neoplasms with peritoneal dissemination (pseudomyxoma peritonei). J. Surg. Oncol. 2008, 98, 277–282. [Google Scholar] [CrossRef] [PubMed]
- Baratti, D.; Milito, P.; Kusamura, S.; Roman, L.M.; Guaglio, M.; Deraco, M. Systemic metastases from low-grade and high-grade pseudomyxoma peritonei: Treatments and outcomes. Eur. J. Surg. Oncol. 2022, 48, 1590–1597. [Google Scholar] [CrossRef]
- Witkamp, A.J.; de Bree, E.; Kaag, M.M.; van Slooten, G.W.; van Coevorden, F.; Zoetmulder, F.A.N. Extensive surgical cytoreduction and intraoperative hyperthermic intraperitoneal chemotherapy in patients with pseudomyxoma peritonei. Br. J. Surg. 2001, 88, 458–463. [Google Scholar] [CrossRef] [PubMed]
- Kuncewitch, M.; Levine, E.A.; Shen, P.; Votanopoulos, K.I. The role of cytoreductive surgery and hyperthermic intraperitoneal chemotherapy for appendiceal tumors and colorectal adenocarcinomas. Clin. Colon Rectal Surg. 2018, 31, 288–294. [Google Scholar] [CrossRef] [PubMed]
- McClelland, P.H.; Gregory, S.N.; Nah, S.K.; Hernandez, J.M.; Davis, J.L.; Blakely, A.M. Predicting survival in mucinous adenocarcinoma of the appendix: Demographics, disease presentation, and treatment methodology. Ann. Surg. Oncol. 2024, 31, 6237–6251. [Google Scholar] [CrossRef]
- Flood, M.P.; Roberts, G.; Mitchell, C.; Ramsay, R.; Michael, M.; Heriot, A.G.; Kong, J.C. Impact of neoadjuvant systemic chemotherapy followed by cytoreductive surgery and hyperthermic intraperitoneal chemotherapy for appendiceal adenocarcinoma. Asia Pac. J. Clin. Oncol. 2024, 20, 32–40. [Google Scholar] [CrossRef]
- Hanna, D.N.; Macfie, R.; Ghani, M.O.; Hermina, A.; Mina, A.; Cha, D.E.; Bailey, C.E.; Cohen, N.; Labow, D.; Golas, B.; et al. Association of systemic chemotherapy approaches with outcomes in appendiceal peritoneal metastases. J. Surg. Res. 2023, 284, 94–100. [Google Scholar] [CrossRef]
- Sugarbaker, P.H.; Bijelic, L.; Chang, D.; Yoo, D. Neoadjuvant FOLFOX chemotherapy in 34 consecutive patients with mucinous peritoneal carcinomatosis of appendiceal origin. J. Surg. Oncol. 2010, 102, 576–581. [Google Scholar] [CrossRef] [PubMed]
- Strach, M.C.; Chakrabarty, B.; Nagaraju, R.T.; Mullamitha, S.; Braun, M.; O’Dwyer, S.T.; Aziz, O.; Barriuso, J. Defining a role for systemic chemotherapy in local and advanced appendix adenocarcinoma. ESMO Open. 2023, 8, 101619. [Google Scholar] [CrossRef] [PubMed]
- Munoz-Zuluaga, C.A.; King, M.C.; Ledakis, P.; Gushchin, V.; Sittig, M.; Nieroda, C.; Zambrano-Vera, K.; Sardi, A. Systemic chemotherapy before cytoreductive surgery and hyperthermic intraperitoneal chemotherapy (CRS/HIPEC) in patients with high-grade mucinous carcinoma peritonei of appendiceal origin. Eur. J. Surg. Oncol. 2019, 45, 1598–1606. [Google Scholar] [CrossRef]
- Bijelic, L.; Kumar, A.S.; Stuart, O.A.; Sugarbaker, P.H. Systemic chemotherapy prior to cytoreductive surgery and HIPEC for carcinomatosis from appendix cancer: Impact on perioperative outcomes and short-term survival. Gastroenterol. Res. Practice 2012, 2012, 163284. [Google Scholar] [CrossRef] [PubMed]
- Strach, M.C.; Sutherland, S.; Horvath, L.G.; Mahon, K. The role of chemotherapy in the treatment of advanced appendiceal cancers: Summary of the literature and future directions. Ther. Adv. Med. Oncol. 2022, 14, 17588359221112478. [Google Scholar] [CrossRef]
- Tejani, M.A.; ter Veer, A.; Milne, D.; Ottesen, R.; Bekaii-Saab, T.; Benson, A.B.; Schrag, D.; Shibata, S.; Skibber, J.; Weiser, M.; et al. Systemic therapy for advanced appendiceal adenocarcinoma: An analysis from the NCCN Oncology Outcomes Database for colorectal cancer. J. Natl. Compr. Cancer Netw. 2014, 12, 1123–1130. [Google Scholar] [CrossRef]
- Shapiro, J.F.; Chase, J.L.; Wolff, R.A.; Lambert, L.A.; Mansfield, P.F.; Overman, M.J.; Ohinata, A.; Liu, J.; Wang, X.; Eng, C. Modern systemic chemotherapy in surgically unresectable neoplasms of appendiceal origin: A single-institution experience. Cancer 2010, 116, 316–322. [Google Scholar] [CrossRef]
- Lieu, C.H.; Lambert, L.A.; Wolff, R.A.; Eng, C.; Zhang, N.; Wen, S.; Rafeeq, S.; Taggart, M.; Fournier, K.; Royal, R.; et al. Systemic chemotherapy and surgical cytoreduction for poorly differentiated and signet ring cell adenocarcinomas of the appendix. Ann. Oncol. 2012, 23, 652–658. [Google Scholar] [CrossRef]
- Pietrantonio, F.; Maggi, C.; Fanetti, G.; Iacovelli, R.; Di Bartolomeo, M.; Ricchini, F.; Deraco, M.; Perrone, F.; Baratti, D.; Kusamura, S.; et al. FOLFOX-4 chemotherapy for patients with unresectable or relapsed peritoneal pseudomyxoma. Oncologist. 2014, 19, 845–850. [Google Scholar] [CrossRef]
- Choe, J.H.; Overman, M.J.; Fournier, K.F.; Royal, R.E.; Ohinata, A.; Rafeeq, S.; Beaty, K.; Phillips, J.K.; Wolff, R.A.; Mansfield, P.F.; et al. Improved survival with anti-VEGF therapy in the treatment of unresectable appendiceal epithelial neoplasms. Ann. Surg. Oncol. 2015, 22, 2578–2584. [Google Scholar] [CrossRef]
- Dansby, J.; More, A.; Zeineddine, M.; Yousef, A.; Bent, A.; Dayyani, F.; Wolff, R.; Overman, M.; Shen, J.P. Taxane-based chemotherapy is effective in metastatic appendiceal adenocarcinoma. Oncologist. 2023, 28, e1303–e1305. [Google Scholar] [CrossRef]
- Shen, J.P.; Yousef, A.M.; Zeineddine, F.A.; Zeineddine, M.A.; Tidwell, R.S.; Beaty, K.A.; Scofield, L.C.; Rafeeq, S.; Hornstein, N.; Lano, E.; et al. Efficacy of systemic chemotherapy in patients with low-grade mucinous appendiceal adenocarcinoma: A randomized crossover trial. JAMA Netw. Open. 2023, 6, e2316161. [Google Scholar] [CrossRef]
- Lu, P.; Fields, A.C.; Meyerhardt, J.A.; Davids, J.S.; Shabat, G.; Bleday, R.; Goldberg, J.E.; Nash, G.M.; Melnitchouk, N. Systemic chemotherapy and survival in patients with metastatic low-grade appendiceal mucinous adenocarcinoma. J. Surg. Oncol. 2019, 120, 446–451. [Google Scholar] [CrossRef]
- De Roock, W.; Claes, B.; Bernasconi, D.; De Schutter, J.; Biesmans, B.; Fountzilas, G.; Kalogeras, K.T.; Kotoula, V.; Papamichael, D.; Laurent-Puig, P.; et al. Effects of KRAS, BRAF, NRAS, and PIK3CA mutations on the efficacy of cetuximab plus chemotherapy in chemotherapy-refractory metastatic colorectal cancer: A retrospective consortium analysis. Lancet Oncol. 2010, 11, 753–762. [Google Scholar] [CrossRef]
- Kabbani, W.; Houlihan, P.S.; Luthra, R.; Hamilton, S.R.; Rashid, A. Mucinous and nonmucinous appendiceal adenocarcinomas: Different clinicopathological features but similar genetic alterations. Mod. Pathol. 2002, 15, 599–605. [Google Scholar] [CrossRef] [PubMed]
- Raghav, K.P.; Shetty, A.V.; Kazmi, S.M.; Zhang, N.; Morris, J.; Taggart, M.; Fournier, K.; Royal, R.; Mansfield, P.; Eng, C.; et al. Impact of molecular alterations and targeted therapy in appendiceal adenocarcinomas. Oncologist. 2013, 18, 1270–1277. [Google Scholar] [CrossRef]
- Ichikawa, Y.; Nishida, M.; Suzuki, H.; Yoshida, S.; Tsunoda, H.; Kubo, T.; Uchida, K.; Miwa, M. Mutation of K-ras protooncogene is associated with histological subtypes in human mucinous ovarian tumors. Cancer Res. 1994, 54, 33–35. [Google Scholar] [PubMed]
- Fernández Montes, A.; Alonso Orduña, V.; Asensio Martínez, E.; Rodríguez Salas, N.; Torres, E.; Cacho Lavín, D.; Rodríguez Alonso, R.M.; Falcó, E.; Oliva, J.C.; Cirera, L.; et al. The frequency of specific KRAS mutations, and their impact on treatment choice and survival, in patients with metastatic colorectal cancer. Oncologist. 2023, 28, e902–e909. [Google Scholar] [CrossRef] [PubMed]
- Bekaii-Saab, T.S.; Yaeger, R.; Spira, A.I.; Pelster, M.S.; Sabari, J.K.; Hafez, N.; Barve, M.; Velastegui, K.; Yan, X.; Shetty, A.; et al. Adagrasib in advanced solid tumors harboring a KRASG12C mutation. J. Clin. Oncol. 2023, 41, 4097–4106. [Google Scholar] [CrossRef]
- Fakih, M.G.; Salvatore, L.; Esaki, T.; Modest, D.P.; Lopez-Bravo, D.P.; Taieb, J.; Karamouzis, M.V.; Ruiz-Garcia, E.; Kim, T.W.; Kuboki, Y.; et al. Sotorasib plus panitumumab in refractory colorectal cancer with mutated KRAS G12C. N. Engl. J. Med. 2023, 389, 2125–2139. [Google Scholar] [CrossRef] [PubMed]
- Feng, J.; Xiao, X.; Xia, X.; Min, J.; Tang, W.; Shi, X.; Xu, K.; Zhou, G.; Li, K.; Shen, P.; et al. A pan-KRAS inhibitor and its derived degrader elicit multifaceted anti-tumor efficacy in KRAS-driven cancers. Cancer Cell 2025. S1535-6108(25)00310-1. [Google Scholar] [CrossRef] [PubMed]
- Zhou, C.; Li, C.; Luo, L.; Li, X.; Jia, K.; He, N.; Mao, S.; Wang, W.; Shao, C.; Liu, X.; et al. Anti-tumor efficacy of HRS-4642 and its potential combination with proteasome inhibition in KRAS G12D-mutant cancer. Cancer Cell 2024, 42, 1286–1300.e8. [Google Scholar] [CrossRef]
- Zheng-Lin, B.; Bekaii-Saab, T.S. Treatment options for HER2-expressing colorectal cancer: Updates and recent approvals. Ther. Adv. Med. Oncol. 2024, 16, 17588359231225037. [Google Scholar] [CrossRef] [PubMed]
- Gujarathi, R.; Rodman, C.; Bansal, V.V.; Belmont, E.; Setia, N.; Alpert, L.; Hart, J.; Moller, M.; Eng, O.S.; Lee, G.; et al. Association between activating GNAS mutations and outcomes with chemotherapy in metastatic appendiceal adenocarcinoma. J. Clin. Oncol. 2024, 42, 4179. [Google Scholar] [CrossRef]
- Johannet, P.; Abdelfattah, S.; Wilde, C.; Patel, S.; Walch, H.; Rousseau, B.; Argiles, G.; Artz, O.; Patel, M.; Arfe, A.; et al. Molecular and Clinicopathologic Impact of GNAS Variants Across Solid Tumors. J Clin Oncol. 2024, 42, 3847–3857. [Google Scholar] [CrossRef]
- Kankanala, V.L.; Zubair, M.; Mukkamalla, S.K.R. Carcinoembryonic antigen. In StatPearls; StatPearls Publishing: Treasure Island, FL, USA, 2024. Available online: https://www.ncbi.nlm.nih.gov/books/NBK578172/ (accessed on 17 June 2025).
- Votanopoulos, K.I.; Swords, D.S.; Swett, K.R.; Randle, R.W.; Shen, P.; Stewart, J.H.; Levine, E.A. Obesity and peritoneal surface disease: Outcomes after cytoreductive surgery with hyperthermic intraperitoneal chemotherapy for appendiceal and colon primary tumors. Ann. Surg. Oncol. 2013, 20, 3899–3904. [Google Scholar] [CrossRef]
- Chen, G.; Chen, K.; Sahyoun, L.; Zaman, S.; Protiva, P. Appendiceal adenocarcinoma is associated with better prognosis than cecal adenocarcinoma: A population-based comparative survival study. BMJ Open Gastroenterol. 2023, 10, e001045. [Google Scholar] [CrossRef]
- Rohani, P.; Scotti, S.D.; Shen, P.; Stewart, J.H.; Russell, G.B.; Cromer, M.; Levine, E.A. Use of FDG-PET imaging for patients with disseminated cancer of the appendix. Am. Surg. 2010, 76, 1338–1344. [Google Scholar] [CrossRef]




| Doublet Regimen (n = 33) | Single-Agent Regimen (n = 5) | Triplet Regimen (n = 2) | Total (n = 40) | |
|---|---|---|---|---|
| Female, n (%) | 22 (66.7) | 2 (40.0) | 0 (0) | 24 (60.0) |
| Age, median, years (IQR) | 56.0 (43.0, 68.4) | 70.5 (49.5, 74.2) | 46.3 (41.5, 51.1) | 55.9 (44.6, 68.5) |
| Age ≥ 65 years, n (%) | 12 (36.4) | 3 (60.0) | 0 (0) | 15 (37.5) |
| BMI kg/m2, n (%) | ||||
| <18.5 | 2 (6.1) | 0 (0) | 0 (0) | 2 (5.0) |
| 18.5–24.9 | 9 (27.3) | 2 (40.0) | 1 (50.0) | 12 (30.0) |
| ≥25.0 | 22 (66.7) | 3 (60.0) | 1 (50.0) | 26 (65.0) |
| ECOG PS, n (%) | ||||
| 0 | 22 (66.7) | 1 (20.0) | 2 (100.0) | 25 (62.5) |
| 1 | 11 (33.3) | 3 (60.0) | 0 (0) | 14 (35.0) |
| 2 | 0 (0) | 1 (20.0) | 0 (0) | 1 (2.5) |
| Metastatic type, n (%) | ||||
| Synchronous | 20 (60.6) | 2 (40.0) | 2 (100.0) | 24 (60.0) |
| Metachronous | 13 (39.4) | 3 (60.0) | 0 (0) | 16 (40.0) |
| Number of metastasis sites, n (%) | ||||
| 1 | 21 (63.6) | 4 (80.0) | 1 (50.0) | 26 (65.0) |
| ≥2 | 12 (36.4) | 1 (20.0) | 1 (50.0) | 14 (35.0) |
| Site of metastasis, n (%) | ||||
| Peritoneum | 33 (100.0) | 5 (100.0) | 2 (100.0) | 40 (100.0) |
| Ovary | 7 (21.2) | 0 (0) | 0 (0) | 7 (17.5) |
| Liver | 4 (12.1) | 1 (20.0) | 0 (0) | 5 (12.5) |
| Lung | 1 (3.0) | 1 (20.0) | 0 (0) | 2 (5.0) |
| Pleura | 1 (3.0) | 0 (0) | 1 (50.0) | 2 (5.0) |
| Distant lymph node | 2 (6.1) | 0 (0) | 0 (0) | 2 (5.0) |
| Adrenal | 0 (0) | 1 (20.0) | 0 (0) | 1 (2.5) |
| Bone | 1 (3.0) | 0 (0) | 0 (0) | 1 (2.5) |
| Histology, n (%) | ||||
| Adenocarcinoma | 17 (51.5) | 2 (40.0) | 0 (0) | 19 (47.5) |
| Mucinous adenocarcinoma | 14 (42.4) | 2 (40.0) | 2 (100.0) | 18 (46.5) |
| Goblet cell adenocarcinoma | 2 (6.1) | 0 (0) | 0 (0) | 2 (5.0) |
| HAMN | 0 (0) | 1 (20.0) | 0 (0) | 1 (2.5) |
| Differentiation, n (%) | * | * | ||
| Moderately | 17 (51.5) | 3 (75.0) | 1 (50.0) | 22 (53.8) |
| Poorly | 16 (48.5) | 1 (25.0) | 1 (50.0) | 18 (46.2) |
| Signet ring cell feature, n (%) | 11 (33.3) | 1 (20.0) | 1 (50.0) | 13 (32.5) |
| FDG PET scan, n (%) | ||||
| Avid | 24 (72.7) | 2 (40.0) | 2 (100.0) | 28 (70.0) |
| Non-avid | 9 (27.3) | 1 (20.0) | 0 (0) | 10 (25.0) |
| Not performed | 0 (0) | 2 (40.0) | 0 (0) | 2 (5.0) |
| Baseline laboratory values | ||||
| Hemoglobin, g/dL (SD) | 12.8 (1.7) | 12.5 (1.9) | 11.8 (0.2) | 12.7 (1.7) |
| Albumin, g/dL (IQR) | 3.7 (3.4, 3.9) | 3.6 (3.1, 3.6) | 2.8 (2.8, 2.8) | 3.7 (3.3, 3.9) |
| CEA, ng/mL (IQR) | 4.2 (1.7, 7.0) | 56.3 (22.7, 90.8) | 83.0 (45.9, 120) | 37.67 (77.72) |
| CEA ≥ 5 ng/mL, n (%) | 12/31 (38.7) | 4/4 (100.0) | 2/2 (100.0) | 18/37 (48.6) |
| CA19-9, U/mL (SD) | 198.5 (320.7) | 206.4 (102.3) | 22.0 | 206.4 (413.9) |
| CA19-9 ≥ 37 U/mL, n (%) | 13/26 (50.0) | 2/3 (66.7) | 0/1 (0) | 15/30 (50.0) |
| Previous treatment, n (%) | ||||
| Primary tumor resection | 22 (66.7) | 3 (60.0) | 0 (0) | 25 (62.5) |
| CRS/HIPEC | 9 (27.3) | 2 (40.0) | 0 (0) | 11 (27.5) |
| Biomarker | Total (n = 40) | Adenocarcinoma (n = 19) | Mucinous Adenocarcinoma (n = 18) |
|---|---|---|---|
| KRAS mutation, n (%) | (tested = 35) | (tested = 17) | (tested = 16) |
| G12D | 10 (28.6) | 5 (29.4) | 5 (31.3) |
| G12V | 6 (17.1) | 3 (17.6) | 3 (18.8) |
| G12A | 5 (14.3) * | 2 (11.8) | 2 (12.5) |
| G13H | 1 (2.9) | 0 (0) | 1 (6.3) |
| G61L | 1 (2.9) | 1 (5.9) | 1 (6.3) |
| Q61H | 1 (2.9) | 1 (5.9) | 1 (6.3) |
| No mutation | 11 (31.4) ** | 5 (29.4) | 5 (31.3) |
| NRAS mutation, n (%) | (tested = 35) | (tested = 17) | (tested = 16) |
| Q61R | 1 (2.9) | 1 (5.9) | 0 (0) |
| No mutation | 34 (97.1) *** | 16 (94.1) | 16 (100.0) |
| BRAF mutation, n (%) | (tested = 35) | (tested = 17) | (tested = 16) |
| No mutation | 35 (100.0) *** | 17 (100.0) | 16 (100.0) |
| MMR, n (%) | (tested = 35) | (tested = 17) | (tested = 16) |
| Proficient | 35 (100.0) *** | 17 (100.0) | 16 (100.0) |
| Deficient | 0 (0) | 0 (0) | 0 (0) |
| HER2 amplification, n (%) | (tested = 13) | (tested = 4) | (tested = 9) |
| Negative | 13 (100.0) | 4 (100.0) | 9 (100.0) |
| HER2-low | 7 (53.8) | 3 (75.0) | 4 (44.4) |
| Positive | 0 (0) | 0 (0) | 0 (0) |
| Treatment Information | |
|---|---|
| Number of Lines of Treatment, n (%) | |
| 1 | 40 (100.0) |
| 2 | 22 (55.0) |
| 3 | 12 (30.0) |
| 4 | 3 (7.5) |
| 5 | 2 (5.0) |
| First-line treatment, n (%) | 40 (100.0) |
| Chemotherapy, n (%) | |
| FOLFOX | 21 (52.5) |
| FOLFIRI | 10 (25.0) |
| FOLFOXIRI | 2 (5.0) |
| CAPOX | 2 (5.0) |
| Capecitabine | 3 (7.5) |
| 5-FU | 2 (5.0) |
| Biologics, n (%) | |
| Bevacizumab | 20 (50.0) |
| Dose reduction, n (%) | |
| Yes | 17 (42.5) |
| No | 23 (57.5) |
| Median number of cycles (IQR) | 8.50 (5.75, 12.00) |
| Discontinuation of first-line treatment, n (%) | |
| Disease progression | 20 (50.0) |
| CRS/HIPEC | 6 (15.0) |
| Completed 6 months and planned treatment break | 6 (15.0) |
| Patient preference | 3 (7.5) |
| Decline in ECOG PS | 3 (7.5) |
| Death | 1 (2.5) |
| Ongoing treatment | 1 (1.5) |
| Second-line treatment, n (%) | 22 (55.0) |
| Chemotherapy, n (%) | |
| FOLFOX | 4 (18.2) |
| FOLFIRI | 14 (63.6) |
| CAPOX | 1 (4.6) |
| Clinical trials | 3 (13.6) |
| Biologics, n (%) | |
| Bevacizumab | 6 (27.3) |
| Cetuximab | 3 (13.6) |
| Doublet Regimens (n = 33) | Single-Agent Regimens (n = 5) | Triplet Regimens (n = 2) | |
|---|---|---|---|
| Complete response, n (%) | 0 (0) | 0 (0) | 0 (0) |
| Partial response, n (%) | 13 (39.4) | 0 (0) | 0 (0) |
| Stable disease, n (%) | 11 (33.3) | 3 (60.0) | 1 (50.0) |
| Progressive disease, n (%) | 7 (21.2) | 1 (20.0) | 1 (50.0) |
| Not performed, n (%) | 2 (6.1) | 1 (20.0) | 0 (0) |
| Factors | Univariate Analysis | Multivariate Analysis | ||
|---|---|---|---|---|
| HR (95% CI) | p-Value | HR (95% CI) | p-Value | |
| Sex: Male (vs. female) | 2.02 (0.95, 4.28) | 0.067 | 2.83 (1.05, 7.61) | 0.039 |
| Age ≥ 65 years | 0.89 (0.43, 1.87) | 0.764 | - | - |
| BMI (kg/m2) | ||||
| 18.5–24.9 | Ref | - | Ref | - |
| <18.5 | 4.37 (0.87, 22.09) | 0.074 | 5.25 (0.93, 29.59) | 0.06 |
| ≥25.0 | 1.63 (0.71, 3.74) | 0.247 | 2.87 (1.05, 7.87) | 0.04 |
| ECOG PS | - | - | ||
| 0 | Ref | |||
| 1 | 1.5 (0.73, 3.09) | 0.269 | ||
| 2 | 2.71 (0.35, 21.1) | 0.342 | ||
| Albumin ≥ 3.5 g/dL | 0.81 (0.39, 1.68) | 0.569 | - | - |
| CEA ≥ 5 U/mL | 2.19 (1.03, 4.65) | 0.042 | 2.80 (1.20, 6.52) | 0.017 |
| CA19-9 ≥ 37 U/mL | 1.52 (0.65, 3.55) | 0.329 | - | - |
| Histology | - | - | ||
| Intestinal-type adenocarcinoma | Ref | |||
| Mucinous adenocarcinoma | 0.86 (0.42, 1.78) | 0.686 | ||
| Goblet cell adenocarcinoma | 1.1 (0.14, 8.5) | 0.93 | ||
| HAMN | 0.61 (0.08, 4.68) | 0.634 | ||
| Poor differentiation (vs. moderate) | 1.68 (0.82, 3.45) | 0.154 | - | - |
| Signet ring cell feature | 1.24 (0.59, 2.6) | 0.563 | - | - |
| KRAS mutation | 0.68 (0.30, 1.54) | 0.353 | - | - |
| FDG PET scan (avid vs. non-avid) | 2.02 (0.81, 5.01) | 0.13 | 2.44 (0.94, 6.32) | 0.067 |
| Synchronous metastasis (vs. metachronous) | 0.61 (0.29, 1.25) | 0.175 | - | - |
| Number of metastatic sites (1 vs. ≥2) | 1.04 (0.5, 2.18) | 0.909 | - | - |
| First-line chemotherapy | - | - | ||
| Doublet regimen | Ref | |||
| Single-agent regimen | 1.22 (0.46, 3.26) | 0.689 | ||
| Triplet regimen | 1.67 (0.39, 7.21) | 0.492 | ||
| Addition of bevacizumab | 1.16 (0.58, 2.34) | 0.674 | - | - |
| Prior CRS/HIPEC | 0.65 (0.25, 1.69) | 0.373 | - | - |
Disclaimer/Publisher’s Note: The statements, opinions and data contained in all publications are solely those of the individual author(s) and contributor(s) and not of MDPI and/or the editor(s). MDPI and/or the editor(s) disclaim responsibility for any injury to people or property resulting from any ideas, methods, instructions or products referred to in the content. |
© 2025 by the authors. Licensee MDPI, Basel, Switzerland. This article is an open access article distributed under the terms and conditions of the Creative Commons Attribution (CC BY) license (https://creativecommons.org/licenses/by/4.0/).
Share and Cite
Wonglhow, J.; Wong, H.-L.; Michael, M.; Heriot, A.; Guerra, G.; Mitchell, C.; Tie, J. Survival Outcomes and Prognostic Factors in Metastatic Unresectable Appendiceal Adenocarcinoma Treated with Palliative Systemic Chemotherapy: A 10-Year Retrospective Analysis from Australia. Cancers 2025, 17, 3297. https://doi.org/10.3390/cancers17203297
Wonglhow J, Wong H-L, Michael M, Heriot A, Guerra G, Mitchell C, Tie J. Survival Outcomes and Prognostic Factors in Metastatic Unresectable Appendiceal Adenocarcinoma Treated with Palliative Systemic Chemotherapy: A 10-Year Retrospective Analysis from Australia. Cancers. 2025; 17(20):3297. https://doi.org/10.3390/cancers17203297
Chicago/Turabian StyleWonglhow, Jirapat, Hui-Li Wong, Michael Michael, Alexander Heriot, Glen Guerra, Catherine Mitchell, and Jeanne Tie. 2025. "Survival Outcomes and Prognostic Factors in Metastatic Unresectable Appendiceal Adenocarcinoma Treated with Palliative Systemic Chemotherapy: A 10-Year Retrospective Analysis from Australia" Cancers 17, no. 20: 3297. https://doi.org/10.3390/cancers17203297
APA StyleWonglhow, J., Wong, H.-L., Michael, M., Heriot, A., Guerra, G., Mitchell, C., & Tie, J. (2025). Survival Outcomes and Prognostic Factors in Metastatic Unresectable Appendiceal Adenocarcinoma Treated with Palliative Systemic Chemotherapy: A 10-Year Retrospective Analysis from Australia. Cancers, 17(20), 3297. https://doi.org/10.3390/cancers17203297

