Utility of Polygenic Risk Scores (PRSs) in Predicting Pancreatic Cancer: A Systematic Review and Meta-Analysis of Common-Variant and Mixed Scores with Insights into Rare Variant Analysis
Simple Summary
Abstract
1. Introduction
1.1. Risk Stratification and Early Detection
1.2. Expanding the Model with Rare Variants
1.3. Objective
2. Materials and Methods
2.1. Search Strategy
2.2. Study Selection
2.3. Quality and Risk of Bias Assessment
2.4. Target Outcomes and Data Extraction
2.5. Statistical Analysis
3. Results
3.1. Common-Variant Polygenic and Mixed Risk Scores on Pancreatic Cancer

3.2. Rare Variant Association Studies on Pancreatic Cancer

3.3. Meta-Analysis of Common-Variant PRS and Mixed Scores

3.4. Meta-Analysis of AUCs from Common-Variant PRSs

3.5. The Effect of Ancestry on Risk Score Performance

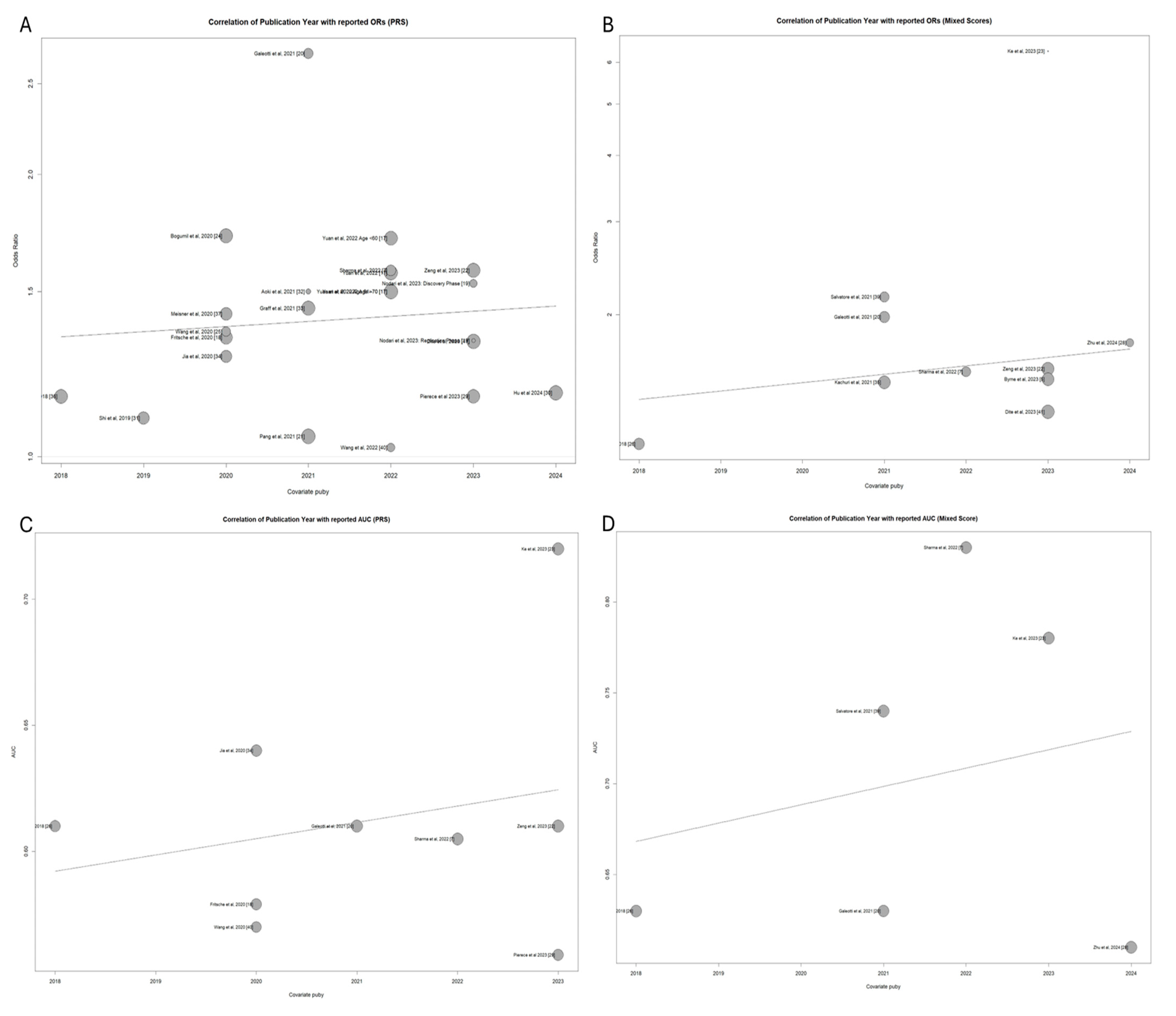
3.6. Exploring the Effect of SNP Number and Publication Year in Model Performances Through Meta-Regression


3.7. Addressing Heterogeneity Through Study Outlier Identification

3.8. Addressing Publication Bias
4. Discussion
4.1. Synthesis of Common-Variant Polygenic and Mixed Risk Scores for Pancreatic Cancer
4.2. Rare Variant Association in Pancreatic Cancer
5. Conclusions
Supplementary Materials
Author Contributions
Funding
Conflicts of Interest
References
- Rawla, P.; Sunkara, T.; Gaduputi, V. Epidemiology of Pancreatic Cancer: Global Trends, Etiology and Risk Factors. World J. Oncol. 2019, 10, 10. [Google Scholar] [CrossRef] [PubMed]
- Zhao, Z.Y.; Liu, W. Pancreatic Cancer: A Review of Risk Factors, Diagnosis, and Treatment. Technol. Cancer Res. Treat. 2020, 19, 1533033820962117. [Google Scholar] [CrossRef] [PubMed]
- Hu, J.X.; Lin, Y.Y.; Zhao, C.F.; Chen, W.B.; Liu, Q.C.; Li, Q.W.; Gao, F. Pancreatic Cancer: A Review of Epidemiology, Trend, and Risk Factors. World J. Gastroenterol. 2021, 27, 4298. [Google Scholar] [CrossRef] [PubMed]
- Guo, J.; Wang, M.F.; Zhu, Y.; Watari, F.; Xu, Y.H.; Chen, X. Exploitation of Platelets for Antitumor Drug Delivery and Modulation of the Tumor Immune Microenvironment. Acta Mater. Medica 2023, 2, 172–190. [Google Scholar] [CrossRef]
- Byrne, S.; Boyle, T.; Ahmed, M.; Lee, S.H.; Benyamin, B.; Hyppönen, E. Lifestyle, Genetic Risk and Incidence of Cancer: A Prospective Cohort Study of 13 Cancer Types. Int. J. Epidemiol. 2023, 52, 817–826. [Google Scholar] [CrossRef]
- O’Sullivan, J.W.; Shcherbina, A.; Justesen, J.M.; Turakhia, M.; Perez, M.; Wand, H.; Tcheandjieu, C.; Clarke, S.L.; Rivas, M.A.; Ashley, E.A. Combining Clinical and Polygenic Risk Improves Stroke Prediction Among Individuals with Atrial Fibrillation. Circ. Genom. Precis. Med. 2021, 14, E003168. [Google Scholar] [CrossRef]
- Sharma, S.; Tapper, W.J.; Collins, A.; Hamady, Z.Z.R. Predicting Pancreatic Cancer in the UK Biobank Cohort Using Polygenic Risk Scores and Diabetes Mellitus. Gastroenterology 2022, 162, 1665–1674.e2. [Google Scholar] [CrossRef]
- Yu, Y.; Chang, K.; Chen, J.S.; Bohlender, R.J.; Fowler, J.; Zhang, D.; Huang, M.; Chang, P.; Li, Y.; Wong, J.; et al. A Whole-Exome Case-Control Association Study to Characterize the Contribution of Rare Coding Variation to Pancreatic Cancer Risk. Hum. Genet. Genom. Adv. 2021, 3, 100078. [Google Scholar] [CrossRef]
- Slater, E.P.; Wilke, L.M.; Böhm, L.B.; Strauch, K.; Lutz, M.; Gercke, N.; Matthäi, E.; Hemminki, K.; Försti, A.; Schlesner, M.; et al. Combinations of Low-Frequency Genetic Variants Might Predispose to Familial Pancreatic Cancer. J. Pers. Med. 2021, 11, 631. [Google Scholar] [CrossRef]
- Fujitani, H.; Eguchi, H.; Kochi, Y.; Arai, T.; Muramatsu, M.; Okazaki, Y. Rare Germline Variants in Pancreatic Cancer and Multiple Primary Cancers: An Autopsy Study. Eur. J. Cancer Prev. 2023, 32, 286–297. [Google Scholar] [CrossRef]
- Gentiluomo, M.; Dixon-Suen, S.C.; Farinella, R.; Peduzzi, G.; Canzian, F.; Milne, R.L.; Lynch, B.M.; Campa, D. Physical Activity, Sedentary Behavior, and Pancreatic Cancer Risk: A Mendelian Randomization Study. J. Endocr. Soc. 2024, 8, bvae017. [Google Scholar] [CrossRef] [PubMed]
- Tan, M.C.B.; Isom, C.A.; Liu, Y.; Trégouët, D.A.; Lindstrom, S.; Wang, L.; Smith, E.; Gordon, W.; Van Hylckama Vlieg, A.; De Andrade, M.; et al. Transcriptome-Wide Association Study and Mendelian Randomization in Pancreatic Cancer Identifies Susceptibility Genes and Causal Relationships with Type 2 Diabetes and Venous Thromboembolism. EBioMedicine 2024, 106, 105233. [Google Scholar] [CrossRef]
- Nam, K.; Kho, M.; Zhou, W.; Mukherjee, B.; Lee, S. Rare Variant Effect Estimation and Polygenic Risk Prediction. medRxiv 2024. [CrossRef]
- Bolze, A.; Kiser, D.; Schiabor Barrett, K.M.; Elhanan, G.; Schnell Blitstein, J.M.; Neveux, I.; Dabe, S.; Reed, H.; Anderson, A.; Metcalf, W.J.; et al. Combining Rare and Common Genetic Variants Improves Population Risk Stratification for Breast Cancer. Genet. Med. Open 2024, 2, 101826. [Google Scholar] [CrossRef] [PubMed]
- Greenland, S.; Longnecker, M.P. Methods for Trend Estimation from Summarized Dose-Response Data, with Applications to Meta-Analysis. Am. J. Epidemiol. 1992, 135, 1301–1309. [Google Scholar] [CrossRef] [PubMed]
- Page, M.J.; McKenzie, J.E.; Bossuyt, P.M.; Boutron, I.; Hoffmann, T.C.; Mulrow, C.D.; Shamseer, L.; Tetzlaff, J.M.; Akl, E.A.; Brennan, S.E.; et al. The PRISMA 2020 Statement: An Updated Guideline for Reporting Systematic Reviews. BMJ 2021, 372, N71. [Google Scholar] [CrossRef]
- Yuan, C.; Kim, J.; Wang, Q.L.; Lee, A.A.; Babic, A.; Amundadottir, L.T.; Ardanaz, E.; Arslan, A.A.; Beane-Freeman, L.E.; Bracci, P.M.; et al. The Age-Dependent Association of Risk Factors with Pancreatic Cancer. Ann. Oncol. 2022, 33, 693. [Google Scholar] [CrossRef]
- Fritsche, L.G.; Patil, S.; Beesley, L.J.; VandeHaar, P.; Salvatore, M.; Ma, Y.; Peng, R.B.; Taliun, D.; Zhou, X.; Mukherjee, B. Cancer PRSweb: An Online Repository with Polygenic Risk Scores for Major Cancer Traits and Their Evaluation in Two Independent Biobanks. Am. J. Hum. Genet. 2020, 107, 815–836. [Google Scholar] [CrossRef]
- Nodari, Y.; Gentiluomo, M.; Mohelnikova-Duchonova, B.; Kreivenaite, E.; Milanetto, A.C.; Skieceviciene, J.; Landi, S.; Lawlor, R.T.; Petrone, M.C.; Arcidiacono, P.G.; et al. Genetic and Non-Genetic Risk Factors for Early-Onset Pancreatic Cancer. Dig. Liver Dis. 2023, 55, 1417–1425. [Google Scholar] [CrossRef]
- Galeotti, A.A.; Gentiluomo, M.; Rizzato, C.; Obazee, O.; Neoptolemos, J.P.; Pasquali, C.; Nentwich, M.; Cavestro, G.M.; Pezzilli, R.; Greenhalf, W.; et al. Polygenic and Multifactorial Scores for Pancreatic Ductal Adenocarcinoma Risk Prediction. J. Med. Genet. 2021, 58, 369–377. [Google Scholar] [CrossRef]
- Pang, Y.; Holmes, M.V.; Chen, Z.; Kartsonaki, C. A Review of Lifestyle, Metabolic Risk Factors, and Blood-Based Biomarkers for Early Diagnosis of Pancreatic Ductal Adenocarcinoma. J. Gastroenterol. Hepatol. 2019, 34, 330–345. [Google Scholar] [CrossRef] [PubMed]
- Zeng, L.; Wu, Z.; Yang, J.; Zhou, Y.; Chen, R. Association of Genetic Risk and Lifestyle with Pancreatic Cancer and Their Age Dependency: A Large Prospective Cohort Study in the UK Biobank. BMC Med. 2023, 21, 489. [Google Scholar] [CrossRef] [PubMed]
- Ke, T.M.; Lophatananon, A.; Muir, K.R. An Integrative Pancreatic Cancer Risk Prediction Model in the UK Biobank. Biomedicines 2023, 11, 3206. [Google Scholar] [CrossRef] [PubMed]
- Bogumil, D.; Conti, D.V.; Sheng, X.; Xia, L.; Shu, X.O.; Pandol, S.J.; Blot, W.J.; Zheng, W.; Le Marchand, L.; Haiman, C.A.; et al. Replication and Genetic Risk Score Analysis for Pancreatic Cancer in a Diverse Multiethnic Population. Cancer Epidemiol. Biomark. Prev. 2020, 29, 2686–2692. [Google Scholar] [CrossRef]
- Zhang, X.; Yang, Y.; Liu, P.; Wang, P.; Li, X.; Zhu, J.; Mai, W.; Jin, W.; Liu, W.; Zhou, Z.; et al. Identification of Risk Factors and Phenotypes of Surgical Site Infection in Patients After Abdominal Surgery. Ann. Surg. 2023, 278, E988–E994. [Google Scholar] [CrossRef]
- Nakatochi, M.; Lin, Y.; Ito, H.; Hara, K.; Kinoshita, F.; Kobayashi, Y.; Ishii, H.; Ozaka, M.; Sasaki, T.; Sasahira, N.; et al. Prediction Model for Pancreatic Cancer Risk in the General Japanese Population. PLoS ONE 2018, 13, e0203386. [Google Scholar] [CrossRef]
- Lu, Y.; Gentiluomo, M.; Macauda, A.; Gioffreda, D.; Gazouli, M.; Petrone, M.C.; Kelemen, D.; Ginocchi, L.; Morelli, L.; Papiris, K.; et al. Identification of Recessively Inherited Genetic Variants Potentially Linked to Pancreatic Cancer Risk. Front. Oncol. 2021, 11, 771312. [Google Scholar] [CrossRef]
- Zhu, H.; Choi, J.; Kui, N.; Yang, T.; Wei, P.; Li, D.; Sun, R. Identification of Pancreatic Cancer Germline Risk Variants with Effects That Are Modified by Smoking. JCO Precis. Oncol. 2024, 8, e2300355. [Google Scholar] [CrossRef]
- Pierce, B.L.; Tong, L.; Kraft, P.; Ahsan, H. Unidentified Genetic Variants Influence Pancreatic Cancer Risk: An Analysis of Polygenic Susceptibility in the PanScan Study. Genet. Epidemiol. 2012, 36, 517. [Google Scholar] [CrossRef]
- Hu, J.; Ye, Y.; Zhou, G.; Zhao, H. Using Clinical and Genetic Risk Factors for Risk Prediction of 8 Cancers in the UK Biobank. JNCI Cancer Spectr. 2024, 8, pkae008. [Google Scholar] [CrossRef]
- Shi, Z.; Yu, H.; Wu, Y.; Lin, X.; Bao, Q.; Jia, H.; Perschon, C.; Duggan, D.; Helfand, B.T.; Zheng, S.L.; et al. Systematic Evaluation of Cancer-Specific Genetic Risk Score for 11 Types of Cancer in The Cancer Genome Atlas and Electronic Medical Records and Genomics Cohorts. Cancer Med. 2019, 8, 3196–3205. [Google Scholar] [CrossRef] [PubMed]
- Aoki, M.N.; Stein, A.; de Oliveira, J.C.; Chammas, R.; Uno, M.; Munhoz, F.B.d.A.; Marin, A.M.; Canzian, F. Susceptibility Loci for Pancreatic Cancer in the Brazilian Population. BMC Med. Genom. 2021, 14, 111. [Google Scholar] [CrossRef] [PubMed]
- Graff, R.E.; Cavazos, T.B.; Thai, K.K.; Kachuri, L.; Rashkin, S.R.; Hoffman, J.D.; Alexeeff, S.E.; Blatchins, M.; Meyers, T.J.; Leong, L.; et al. Cross-Cancer Evaluation of Polygenic Risk Scores for 16 Cancer Types in Two Large Cohorts. Nat. Commun. 2021, 12, 970. [Google Scholar] [CrossRef] [PubMed]
- Jia, G.; Lu, Y.; Wen, W.; Long, J.; Liu, Y.; Tao, R.; Li, B.; Denny, J.C.; Shu, X.O.; Zheng, W. Evaluating the Utility of Polygenic Risk Scores in Identifying High-Risk Individuals for Eight Common Cancers. JNCI Cancer Spectr. 2020, 4, pkaa021. [Google Scholar] [CrossRef] [PubMed]
- Kachuri, L.; Graff, R.E.; Smith-Byrne, K.; Meyers, T.J.; Rashkin, S.R.; Ziv, E.; Witte, J.S.; Johansson, M. Pan-Cancer Analysis Demonstrates That Integrating Polygenic Risk Scores with Modifiable Risk Factors Improves Risk Prediction. Nat. Commun. 2020, 11, 6084. [Google Scholar] [CrossRef]
- Klein, A.P.; Wolpin, B.M.; Risch, H.A.; Stolzenberg-Solomon, R.Z.; Mocci, E.; Zhang, M.; Canzian, F.; Childs, E.J.; Hoskins, J.W.; Jermusyk, A.; et al. Genome-Wide Meta-Analysis Identifies Five New Susceptibility Loci for Pancreatic Cancer. Nat. Commun. 2018, 9, 556. [Google Scholar] [CrossRef]
- Meisner, A.; Kundu, P.; Zhang, Y.D.; Lan, L.V.; Kim, S.; Ghandwani, D.; Pal Choudhury, P.; Berndt, S.I.; Freedman, N.D.; Garcia-Closas, M.; et al. Combined Utility of 25 Disease and Risk Factor Polygenic Risk Scores for Stratifying Risk of All-Cause Mortality. Am. J. Hum. Genet. 2020, 107, 418. [Google Scholar] [CrossRef]
- Rothwell, J.A.; Jenab, M.; Karimi, M.; Truong, T.; Mahamat-Saleh, Y.; Ferrari, P.; Dashti, S.G.; Kühn, T.; Cross, A.J.; Severi, G.; et al. Metabolic Syndrome and Risk of Gastrointestinal Cancers: An Investigation Using Large-Scale Molecular Data. Clin. Gastroenterol. Hepatol. 2022, 20, e1338. [Google Scholar] [CrossRef]
- Salvatore, M.; Beesley, L.J.; Fritsche, L.G.; Hanauer, D.; Shi, X.; Mondul, A.M.; Pearce, C.L.; Mukherjee, B. Phenotype Risk Scores (PheRS) for Pancreatic Cancer Using Time-Stamped Electronic Health Record Data: Discovery and Validation in Two Large Biobanks. J. Biomed. Inform. 2021, 113, 103652. [Google Scholar] [CrossRef]
- Wang, L.; Desai, H.; Verma, S.S.; Le, A.; Hausler, R.; Verma, A.; Judy, R.; Doucette, A.; Gabriel, P.E.; Abecasis, G.; et al. Performance of Polygenic Risk Scores for Cancer Prediction in a Racially Diverse Academic Biobank. Genet. Med. 2021, 24, 601. [Google Scholar] [CrossRef]
- Dite, G.S.; Spaeth, E.; Wong, C.K.; Murphy, N.M.; Allman, R. Predicting 10-Year Risk of Pancreatic Cancer Using a Combined Genetic and Clinical Model. Gastro Hep Adv. 2023, 2, 979–989. [Google Scholar] [CrossRef] [PubMed]
- Saha, G.; Singh, R.; Mandal, A.; Das, S.; Chattopadhyay, E.; Panja, P.; Roy, P.; Desarkar, N.; Gulati, S.; Ghatak, S.; et al. A Novel Hotspot and Rare Somatic Mutation p.A138V, at TP53 Is Associated with Poor Survival of Pancreatic Ductal and Periampullary Adenocarcinoma Patients. Mol. Med. 2020, 26, 59. [Google Scholar] [CrossRef] [PubMed]
- Astiazaran-Symonds, E.; Kim, J.; Haley, J.S.; Kim, S.Y.; Rao, H.S.; Center, R.G.; Carey, D.J.; Stewart, D.R.; Goldstein, A.M. A Genome-First Approach to Estimate Prevalence of Germline Pathogenic Variants and Risk of Pancreatic Cancer in Select Cancer Susceptibility Genes. Cancers 2022, 14, 3257. [Google Scholar] [CrossRef]
- Yang, S.; He, P.; Wang, J.; Schetter, A.; Tang, W.; Funamizu, N.; Yanaga, K.; Uwagawa, T.; Satoskar, A.R.; Gaedcke, J.; et al. A Novel MIF Signaling Pathway Drives the Malignant Character of Pancreatic Cancer by Targeting NR3C2. Cancer Res. 2016, 76, 3838–3850. [Google Scholar] [CrossRef]
- Grant, R.C.; Selander, I.; Connor, A.A.; Selvarajah, S.; Borgida, A.; Briollais, L.; Petersen, G.M.; Lerner-Ellis, J.; Holter, S.; Gallinger, S. Prevalence of Germline Mutations in Cancer Predisposition Genes in Patients with Pancreatic Cancer. Gastroenterology 2015, 148, 556–564. [Google Scholar] [CrossRef]
- Obazee, O.; Archibugi, L.; Andriulli, A.; Soucek, P.; Małecka-Panas, E.; Ivanauskas, A.; Johnson, T.; Gazouli, M.; Pausch, T.; Lawlor, R.T.; et al. Germline BRCA2 K3326X and CHEK2 I157T Mutations Increase Risk for Sporadic Pancreatic Ductal Adenocarcinoma. Int. J. Cancer 2019, 145, 686–693. [Google Scholar] [CrossRef]
- Wieme, G.; Kral, J.; Rosseel, T.; Zemankova, P.; Parton, B.; Vocka, M.; Van Heetvelde, M.; Kleiblova, P.; Blaumeiser, B.; Soukupova, J.; et al. Prevalence of Germline Pathogenic Variants in Cancer Predisposing Genes in Czech and Belgian Pancreatic Cancer Patients. Cancers 2021, 13, 4430. [Google Scholar] [CrossRef]
- Yu, X.; Shi, S.; Yu, X. Immune Microenvironment and Immunotherapy in Pancreatic Cancer: A Narrative Review. Precis. Cancer Med. 2022, 5, 39. [Google Scholar] [CrossRef]
- Hendifar, A.; Blais, E.M.; Wolpin, B.; Subbiah, V.; Collisson, E.; Singh, I.; Cannon, T.; Shaw, K.; Petricoin, E.F.; Klempner, S.; et al. Retrospective Case Series Analysis of RAF Family Alterations in Pancreatic Cancer: Real-World Outcomes from Targeted and Standard Therapies. JCO Precis. Oncol. 2021, 5, 1325–1338. [Google Scholar] [CrossRef]
- Puccini, A.; Ponzano, M.; Dalmasso, B.; Vanni, I.; Gandini, A.; Puglisi, S.; Borea, R.; Cremante, M.; Bruno, W.; Andreotti, V.; et al. Clinical Significance of Germline Pathogenic Variants among 51 Cancer Predisposition Genes in an Unselected Cohort of Italian Pancreatic Cancer Patients. Cancers 2022, 14, 4447. [Google Scholar] [CrossRef]
- Horn, I.P.; Marks, D.L.; Koenig, A.N.; Hogenson, T.L.; Almada, L.L.; Goldstein, L.E.; Romecin Duran, P.A.; Vera, R.; Vrabel, A.M.; Cui, G.; et al. A Rare Germline CDKN2A Variant (47T>G; P16-L16R) Predisposes Carriers to Pancreatic Cancer by Reducing Cell Cycle Inhibition. J. Biol. Chem. 2021, 296, 100634. [Google Scholar] [CrossRef] [PubMed]
- Ryu, K.H.; Park, S.; Chun, J.W.; Cho, E.; Choi, J.; Lee, D.E.; Shim, H.; Kim, Y.H.; Han, S.S.; Park, S.J.; et al. Prevalence and Risk Factors of Germline Pathogenic Variants in Pancreatic Ductal Adenocarcinoma. Cancer Res. Treat. Off. J. Korean Cancer Assoc. 2023, 55, 1303–1312. [Google Scholar] [CrossRef] [PubMed]
- McWilliams, R.R.; Wieben, E.D.; Chaffee, K.G.; Antwi, S.O.; Raskin, L.; Olopade, O.I.; Li, D.; Highsmith, W.E.; Colon-Otero, G.; Khanna, L.G.; et al. CDKN2A Germline Rare Coding Variants and Risk of Pancreatic Cancer in Minority Populations. Cancer Epidemiol. Biomark. Prev. 2018, 27, 1364–1370. [Google Scholar] [CrossRef] [PubMed]
- Kawamoto, Y.; Ikezawa, K.; Tabuchi, T.; Morishima, T.; Seiki, Y.; Watsuji, K.; Hirao, T.; Higashi, S.; Urabe, M.; Kai, Y.; et al. Hospital Volume and Prognosis of Patients with Metastatic Pancreatic Cancer: A Study Using the Osaka Cancer Registry. J. Cancer Res. Clin. Oncol. 2023, 149, 12835–12841. [Google Scholar] [CrossRef]
- Chen, F.; Childs, E.J.; Mocci, E.; Bracci, P.; Gallinger, S.; Li, D.; Neale, R.E.; Olson, S.H.; Scelo, G.; Bamlet, W.R.; et al. Analysis of Heritability and Genetic Architecture of Pancreatic Cancer: A PanC4 Study. Cancer Epidemiol. Biomark. Prev. 2019, 28, 1238–1245. [Google Scholar] [CrossRef]
- Polaski, J.T.; Udy, D.B.; Escobar-Hoyos, L.F.; Askan, G.; Leach, S.D.; Ventura, A.; Kannan, R.; Bradley, R.K. The Origins and Consequences of UPF1 Variants in Pancreatic Adenosquamous Carcinoma. Elife 2021, 10, e62209. [Google Scholar] [CrossRef]
- Mars, N.; Koskela, J.T.; Ripatti, P.; Kiiskinen, T.T.J.; Havulinna, A.S.; Lindbohm, J.V.; Ahola-Olli, A.; Kurki, M.; Karjalainen, J.; Palta, P.; et al. Polygenic and Clinical Risk Scores and Their Impact on Age at Onset and Prediction of Cardiometabolic Diseases and Common Cancers. Nat. Med. 2020, 26, 549–557. [Google Scholar] [CrossRef]
- Elliott, J.; Bodinier, B.; Bond, T.A.; Chadeau-Hyam, M.; Evangelou, E.; Moons, K.G.M.; Dehghan, A.; Muller, D.C.; Elliott, P.; Tzoulaki, I. Predictive Accuracy of a Polygenic Risk Score–Enhanced Prediction Model vs a Clinical Risk Score for Coronary Artery Disease. JAMA 2020, 323, 636–645. [Google Scholar] [CrossRef]
- He, Y.; Lakhani, C.M.; Rasooly, D.; Manrai, A.K.; Tzoulaki, I.; Patel, C.J. Comparisons of Polyexposure, Polygenic, and Clinical Risk Scores in Risk Prediction of Type 2 Diabetes. Diabetes Care 2021, 44, 935–943. [Google Scholar] [CrossRef]
- Yanes, T.; McInerney-Leo, A.M.; Law, M.H.; Cummings, S. The Emerging Field of Polygenic Risk Scores and Perspective for Use in Clinical Care. Hum. Mol. Genet. 2020, 29, R165–R176. [Google Scholar] [CrossRef]
- Yang, Y.; Guan, S.; Ou, Z.; Li, W.; Yan, L.; Situ, B. Advances in AI-based Cancer Cytopathology (3/2023). Interdiscip. Med. 2023, 1, e12048. [Google Scholar] [CrossRef]
- Suzuki, Y.; Ménager, H.; Brancotte, B.; Vernet, R.; Nerin, C.; Boetto, C.; Auvergne, A.; Linhard, C.; Torchet, R.; Lechat, P.; et al. Trait Selection Strategy in Multi-Trait GWAS: Boosting SNP Discoverability. Hum. Genet. Genom. Adv. 2024, 5, 100319. [Google Scholar] [CrossRef] [PubMed]
- Julienne, H.; Laville, V.; McCaw, Z.R.; He, Z.; Guillemot, V.; Lasry, C.; Ziyatdinov, A.; Nerin, C.; Vaysse, A.; Lechat, P.; et al. Multitrait GWAS to Connect Disease Variants and Biological Mechanisms. PLoS Genet. 2021, 17, e1009713. [Google Scholar] [CrossRef] [PubMed]
- Yurgelun, M.B.; Chittenden, A.B.; Morales-Oyarvide, V.; Rubinson, D.A.; Dunne, R.F.; Kozak, M.M.; Qian, Z.R.; Welch, M.W.; Brais, L.K.; Da Silva, A.; et al. Germline Cancer Susceptibility Gene Variants, Somatic Second Hits, and Survival Outcomes in Patients with Resected Pancreatic Cancer. Genet. Med. 2019, 21, 213–223. [Google Scholar] [CrossRef]
- Grund, B.; Sabin, C. Analysis of Biomarker Data: Logs, Odds Ratios and ROC Curves. Curr. Opin. HIV AIDS 2010, 5, 473. [Google Scholar] [CrossRef]
- Baker, S.G.; Schuit, E.; Steyerberg, E.W.; Pencina, M.J.; Vickers, A.; Moons, K.G.M.; Mol, B.W.J.; Lindeman, K.S. How to Interpret a Small Increase in AUC with an Additional Risk Prediction Marker: Decision Analysis Comes Through. Stat. Med. 2014, 33, 3946–3959. [Google Scholar] [CrossRef]
- de Hond, A.A.H.; Steyerberg, E.W.; van Calster, B. Interpreting Area under the Receiver Operating Characteristic Curve. Lancet Digit. Health 2022, 4, e853–e855. [Google Scholar] [CrossRef]
- Austin, P.C.; Steyerberg, E.W. Interpreting the Concordance Statistic of a Logistic Regression Model: Relation to the Variance and Odds Ratio of a Continuous Explanatory Variable. BMC Med. Res. Methodol. 2012, 12, 82. [Google Scholar] [CrossRef]
- Lu, T.; Zhou, S.; Wu, H.; Forgetta, V.; Greenwood, C.M.T.; Richards, J.B. Individuals with Common Diseases but with a Low Polygenic Risk Score Could Be Prioritized for Rare Variant Screening. Genet. Med. 2021, 23, 508–515. [Google Scholar] [CrossRef]
- Momozawa, Y.; Mizukami, K. Unique Roles of Rare Variants in the Genetics of Complex Diseases in Humans. J. Hum. Genet. 2020, 66, 11–23. [Google Scholar] [CrossRef]
- Gu, A.; Li, J.; Qiu, S.; Hao, S.; Yue, Z.Y.; Zhai, S.; Li, M.Y.; Liu, Y. Pancreatic Cancer Environment: From Patient-Derived Models to Single-Cell Omics. Mol. Omics 2024, 20, 220–233. [Google Scholar] [CrossRef] [PubMed]
- Wang, Z.; Choi, S.W.; Chami, N.; Boerwinkle, E.; Fornage, M.; Redline, S.; Bis, J.C.; Brody, J.A.; Psaty, B.M.; Kim, W.; et al. The Value of Rare Genetic Variation in the Prediction of Common Obesity in European Ancestry Populations. Front. Endocrinol. 2022, 13, 863893. [Google Scholar] [CrossRef] [PubMed]
- Dornbos, P.; Koesterer, R.; Ruttenburg, A.; Nguyen, T.; Cole, J.B.; Leong, A.; Meigs, J.B.; Florez, J.C.; Rotter, J.I.; Udler, M.S.; et al. A Combined Polygenic Score of 21,293 Rare and 22 Common Variants Improves Diabetes Diagnosis Based on Hemoglobin A1C Levels. Nat. Genet. 2022, 54, 1609–1614. [Google Scholar] [CrossRef] [PubMed]
- Lali, R.; Chong, M.; Omidi, A.; Mohammadi-Shemirani, P.; Le, A.; Cui, E.; Paré, G. Calibrated Rare Variant Genetic Risk Scores for Complex Disease Prediction Using Large Exome Sequence Repositories. Nat. Commun. 2021, 12, 5852. [Google Scholar] [CrossRef]
- Aldisi, R.; Hassanin, E.; Sivalingam, S.; Buness, A.; Klinkhammer, H.; Mayr, A.; Fröhlich, H.; Krawitz, P.; Maj, C. Gene-Based Burden Scores Identify Rare Variant Associations for 28 Blood Biomarkers. BMC Genom. Data 2023, 24, 50. [Google Scholar] [CrossRef]
- Smail, C.; Ferraro, N.M.; Hui, Q.; Durrant, M.G.; Aguirre, M.; Tanigawa, Y.; Keever-Keigher, M.R.; Rao, A.S.; Justesen, J.M.; Li, X.; et al. Integration of Rare Expression Outlier-Associated Variants Improves Polygenic Risk Prediction. Am. J. Hum. Genet. 2022, 109, 1055–1064. [Google Scholar] [CrossRef]
- Kang, J.H.; Lee, Y.; Kim, D.J.; Kim, J.-W.; Cheon, M.J.; Lee, B.-C. Polygenic Risk and Rare Variant Gene Clustering Enhance Cancer Risk Stratification for Breast and Prostate Cancers. Commun. Biol. 2024, 7, 1289. [Google Scholar] [CrossRef]
- Darst, B.F.; Sheng, X.; Eeles, R.A.; Kote-Jarai, Z.; Conti, D.V.; Haiman, C.A. Combined Effect of a Polygenic Risk Score and Rare Genetic Variants on Prostate Cancer Risk. Eur. Urol. 2021, 80, 134–138. [Google Scholar] [CrossRef]
- Surg, E.; Neoptolemos, J.P.; Hu, K.; Bailey, P.; Springfeld, C.; Cai, B.; Miao, Y.; Michalski, C.; Carvalho, C.; Hackert, T.; et al. Personalized Treatment in Localized Pancreatic Cancer. Eur. Surg. 2023, 56, 93–109. [Google Scholar] [CrossRef]
- Huang, X.; Zhang, G.; Tang, T.Y.; Gao, X.; Liang, T.B. Personalized Pancreatic Cancer Therapy: From the Perspective of MRNA Vaccine. Mil. Med. Res. 2022, 9, 53. [Google Scholar] [CrossRef]
- Shaya, J.; Kato, S.; Adashek, J.J.; Patel, H.; Fanta, P.T.; Botta, G.P.; Sicklick, J.K.; Kurzrock, R. Personalized Matched Targeted Therapy in Advanced Pancreatic Cancer: A Pilot Cohort Analysis. NPJ Genom. Med. 2023, 8, 1. [Google Scholar] [CrossRef]






| Author and Year | Dataset Origin | Sample Size | Clinical Risk Factors Investigated | SNPs | Summary Statistics |
|---|---|---|---|---|---|
| Yuan et al., 2022 [17] | Nurses’ Health Study HPFS Study PanScan/PanC4 | 5107 Cases 8845 Controls | Smoking, Obesity, T2DM (>2 years), Height, Blood Group, Exercise, Alcohol consumption No mixed score | 22 | <60 years OR: 6.91 >70 years OR: 4.12 Top vs. bottom centile |
| Sharma et al., 2022 [7] | UK Biobank | 1042 Cases 10,420 Controls | Race, Smoking, DM, Family History, Waist Circumference Mixed score + subset analysis | 49 | HR: 2.738 Top vs. bottom quantile |
| Byrne et al. 2023 [5] | UK Biobank | 451 Cases 195,822 Controls | Lifestyle Index (Weight, Activity, Dietary profile, Smoking status) Mixed Score | 22 | HR: 4.14 Top 5% |
| Fritsche et al., 2020 [18] | MGI Cohort UK Biobank Cohort | 1265 Cases 446,955 Controls | No mixed score | 10 | OR: 1.64 (0.655–4.12) Top 1% |
| Nodari et al., 2023 [19] | PanScan I, II and III PANDoRA consortium | 912 Cases 10,222 Controls | Smoking, Alcohol Consumption, T2DM No mixed score | 6 | <50 years OR: 2.90 (1.17–7.17) >50 years OR: 2.44 (1.76–3.38) 5th vs. 1st quintile |
| Galeotti et al., 2021 [20] | PanScan I,II,III and PanC4 dbGaP | 2851 Cases 4810 Controls | Sex, Age, Smoking, T2DM Mixed Score | 30 | PRS OR: 3.24 (2.86–3.67) Mixed OR: 14.37 (5.57–37.09) 5th vs. 1st quantile |
| Pang et al., 2021 [21] | China Kadoorie Biobank | 585 Cases 512,891 Controls | Age, Sex, Alcohol Consumption, Smoking, Education, BMI, Physical Activity, Diabetes (any) No mixed score | 8 | OR: 1.048 (1.05–1.11) per SD increase |
| Zeng et al., 2023 [22] | UK Biobank | 1129 Cases 340,631 Controls | BMI, WC, Physical Activity, Sedentary Time, Dietary Habits, Alcohol Consumption, Smoking Separate clinical Score: Sex, Age, Education, Socioeconomic Status Mixed Score | 54 | HR: 1.58 (1.47–1.71) Intermediate vs. High PRS HR: 0.48 (0.41–0.56) Favorable vs. Unfavorable LS |
| Ke et al., 2023 [23] | UK Biobank 960 patients 257,348 controls (75% training, 25% testing) | 1402 Cases 502,387 Controls | Gender, Age, Blood Group, Family history of bowel cancer, Smoking, Alcohol, BMI, Pancreatitis, T2DM, Gallbladder related disease, Hep B infection, Vitamin D deficiency, SLE Mixed Score | 40 | OR: 2.03 (1.65–2.50) 5th quintile vs. 1st quintile |
| Bogumil et al., 2020 [24] | Multiethnic Cohort Southern Community Cohort Study | 691 Cases 13,778 Controls | None | 11 | OR: 2.25 (1.73–2.92) 5th vs. 1st quintile |
| Wang et al., 2020 [25] | Chinese, Single institution | 254 Cases 1200 Controls | Age, Sex | 21 | OR: 1.36 (1.06–1.74) |
| Nakatochi et al., 2018 [26] | Japanese origin 945 patients, 2109 controls | 945 Cases 2109 Controls | Smoking Family history of pancreatic cancer | 5 | OR: 1.98 (1.42–2.76) 1st vs. 5th quintile |
| Lu et al., 2021 [27] | PanScan I, II, III, PanC4 PANDoRA for replication | 8769 Cases 7055 Controls | Sex, Age, Country | 6 | |
| Zhu et al., 2024 [28] | UK Biobank 765 cases | 765 Cases 315,512 Controls | Smoking (stratification) | Non-smk OR: 2.31 (1.69–3.15) Ever-smk OR: 0.53 (0.30–0.91) | |
| Pierce et al. 2023 [29] | PanScan I,II | 1478 Cases 1534 Controls | None | 12 | OR: 0.9 (0.85–1.0) |
| Hu et al. 2024 [30] | UK Biobank | 1402 Cases 409,532 Controls | Living status, Number in household, Dietary requirements, Basal metabolic rate, Overall health, Tense, Comparative, Hair color, Mean corpuscular hemoglobin, Vascular/heart problems, Reticulocyte count, Physical activity, Anxiety, Waist circumference, Cancer diagnosis, Lymphocyte count, Whole body fat free mass, Highest qualifications, Glycated hemoglobin | - | AUC: 0.549 |
| Shi et al., 2019 [31] | The Cancer Genome Atlas Electronic Medical Records and Genomics | 163 Cases 13,427 Controls | None | 9 | OR 1.67 (1.1–2.53) per SD increase |
| Aoki et al., 2021 [32] | Two centers in Brazil | 78 Cases 256 Controls | Sex, Ethnicity, Smoking, Alcohol use, History of pancreatitis No mixed score | 24 | OR: 8.13 (2.95–22.43) 5th vs. 1st quintile |
| Graff et al., 2021 [33] | UK Biobank and GERA cohort | 665 Cases 410,354 Controls | None | 22 | OR: 1.44 (1.33–1.55) per SD increase |
| Jia et al., 2020 [34] | UK Biobank | 432 Cases 479,652 Controls | None | 22 | HR: 3.37 (2.39–4.76) 5th vs. 1st quntile |
| Kachuri et al., 2021 [35] | UK Biobank | 768 Cases 413,753 Controls | Family History of Cancer, Smoking, Alcohol Intake, Adiposity | 22 | OR: 1.49 (1.37–1.63) per SD increase |
| Klein et al., 2018 [36] | PanC4 | 9040 Cases 12,496 Controls | None | 22 | OR: 2.20 (1.83–2.65) 5th vs. 10th decile |
| Meisner et al., 2020 [37] | UK Biobank | 496 Cases 337,138 Controls | None | 18 | OR 1.42 (1.22–1.63) per SD increase |
| Rothwell et al., 2022 [38] | UK Biobank | 478 Cases 366,016 Controls | Metabolic Syndrome, Height, Alcohol, Smoking, Education Levels Not used for mixed modeling | 26 | Used only for stratifying. No separate report |
| Salvatore et al., 2021 [39] | MGI UK Biobank | 1089 Cases 430,570 Controls | BMI, Alcohol, Smoking Mixed Score | 18 | OR: 2.16 (1.76–2.65) 5th vs. 1st quintile |
| Wang et al., 2022 [40] | Penn Medicine Biobank | 46 Cases 6383 Controls | Stratified for age and sex | 18 | OR: 1.023 (0.759–1.377) per SD increase |
| Dite et al., 2023 [41] | UK Biobank | 851 Cases 376,462 Controls | None | 22 | OR: 1.31 (95% CI, 1.264–1.357) per SD increase |
| Author and Year | Genes and Variants Investigated | |
|---|---|---|
| Saha et al., 2020 [42] | KMT2C, TP53, NM_000546.6(TP53):c.413C>T, SMAD4, CTNNB1, ERBB2, NOTCH1, PARP1, PIK3R1, PIK3CD | |
| Symonds et al., 2022 [43] | ERCC4, RET, HMBS, EPCAM, MRE11, ATM (rs1555093684), BRCA2 (rs80359537), CDKN2A, CDC73, ERCC4, ERCC5, FANCD2, NM_001018115.3(FANCD2):c.1876C>T, L2HGDH, PMS2, NM_000535.7(PMS2):c.904-2A>G, NM_000535.7(PMS2):c.1882C>T, RB1, CFTR (rs201958172), GBA (rs367968666), HMBS, MRE11, NSD1, PALB2, NM_024675.4(PALB2):c.470C>A, RAD51C, RET, SLC25A13, NM_014251.3(SLC25A13):c.1762C>T (p.Arg588Ter), NM_014251.3(SLC25A13):c.1063C>T (p.Arg355Ter), SLX4, TRIM37, (p.Ser157Ter), NM_000283.4(PDE6B):c.2395C>T (p.Arg799Ter), NM_020975.4(RET):c.[2410G>A;2832C>G], NM_015047.3(EMC1):c.2059C>T (p.Arg687Ter) | |
| Gentiluomo et al., 2019 [11] | TAS1R2 (rs11261087) | |
| Tan et al., 2022 [12] | ATM, POLE, BRCA2, TYR03, PABC1, SSC5D | |
| Slater et al., 2021 [9] | PCMS c.724G>A, FPC p.(A242T) | |
| Yang et al. 2016 [44] | APC, ATM (rs587779852, rs567060474), BRCA1 (rs28897673), BRCA2 (rs80359537), CASR, CFTR (rs201958172, rs397508725, rs151048781, rs149279509), CPA1, FANCA, MLH1, MSH2 (rs267607911, rs145649774, rs34136999), MSH6 (rs376220212), PALB2 (rs180177100), PMS2 (rs587780046), TP53 (rs145151284) | |
| Grant et al., 2018 [45] | BRCA2 (rs80359550), PZP, IFNA5, FGFR3 (rs17881656), NM_000059.4 (FGFR3):c.10095 | |
| Obazee et al., 2019 [46] | BRCA2 (rs11571833), CHEK2 (rs17879961) | |
| Wieme et al. 2021 [47] | ATM, NM_000051.4(ATM):c.1564_1565del(p.Glu522fs),NM_000051.4:c.3756_3757dup,NM_000051.4(ATM):c.6095G>A(p.Arg2032Lys),NM_000051.4:c.6096-9_6096-5del, NM_000051.4(ATM):c.7327C>T(p.Arg2443Ter), NM_000051.4(ATM):c.8494C>Tp.Arg2832Cys), BRCA1, NM_007294.4(BRCA1):c.2411_2412del(p.Gln804fs), NM_007294.4(BRCA1):c.3991C>T(p.Gln1331Ter), NM_007294.4(BRCA1):c.3770_3771del(p.Glu1257fs), BRCA2, NM_000059.4(BRCA2):c.8487+47C>Tc.1989del,NM_000059.4(BRCA2):c.3545_3546del(p.Gln1181_Phe1182insTer), NM_000059.4(BRCA2):c.475G>A(p.Val159Met), NM_000059.4(BRCA2):c.4935del(p.Glu1646fs), NM_000059.4(BRCA2):c.5073dup(p.Trp1692fs), NM_000059.4(BRCA2):c.6275_6276del(p.Leu2092fs), NM_000059.4:c.7415dup, NM_000059.4(BRCA2):c.7480C>T(p.Arg2494Ter), NM_000059.4(BRCA2):c.8167G>C(p.Asp2723His)c.8755-1G>A, NM_000059.4(BRCA2):c.8755-1G>T, CHEK2, NM_007194.4:c.846+4_846+7del, NM_007194.4(CHEK2):c.917G>C(p.Gly306Ala), ERCC4, FANCE, NBN, NM_031483.7(ITCH):c.212+3A>Gc.2263G>T, NM_000535.7(PMS2):c.137G>T(p.Ser46Ile), NM_000535.7(PMS2):c.1840A>T(p.Lys614Ter), NM_000546.6(TP53):c.528C>A(p.Cys176Ter), NM_000488.4(SERPINC1):c.801_805del(p.Lys268fs) | |
| Yu et al. 2022 [48] | ADGRF3 (rs150568284), MAP3K11 (rs35487354), TERT (rs2736098), rs9579139, PRHOXNB, PDX1 (rs9581943), HECTD2 (rs61754654), INPP4A, ABCB1, TAAR6 (rs41298393), SBDS (rs120074160), OR2AT4 (rs145245435), GPR113, chr7-87160645-87160645 | |
| Hendifar et al. 2021 [49] | V600E, BRAF, SND1-BRAF fusions | |
| Puccini et al., 2022 [50] | ATM, BRCA1, BRCA2, CDKN2A, FANCA, AD50 | |
| Tan et al., 2021 [12] | PALD1, COL4A2 (rs370540848)—CYLC2 (rs139628328), ZFYVE9 (rs749151241)—BRD3 (rs149702159)—BRD4 (rs149982995, rs35676845), LRP1B (rs148734150, rs139901295, rs75995642, rs77234491, rs138996626) | |
| Horn et al., 2021 [51] | CDK9A nsv6313094 | |
| Hei Ryu et al., 2021 [52] | ATM (rs587781598, rs780619951, rs1442299125, rs786202800, rs770641163), BRCA1 (rs80357662, rs80357524), BRCA2 (rs80359659, rs80358427), MSH3 (rs539295465), RAD50 (rs778555849), RAD51D (rs1403784434, rs753862052), PALB2 (rs587776527), PMS2 (rs587778618), SPINK1 (rs148954387), TP53 (rs397516436) | |
| Fujitani et al., 2023 [10] | APC, BRCA2 (rs2072490081), BUB1B (rs28989182), MSH6 (rs63750909), AXIN2, BMPR1A, MSH2 (rs772662439), SMARCA4, TP53 (rs397516436) | |
| McWilliams et al., 2018 [53] | CDKN2A | |
| Kawamoto et al., 2021 [54] | CPA1 (rs267601284, rs782248213, rs184981267, rs201750163), CPB1 (rs1275676207, rs201519774) | |
| Chen et al., 2019 [55] | TERT-CPLTML (rs35226131), DAB2 (rs2255280) | |
| Polaski et al., 2021 [56] | TERT (rs377639087) | |
| Yu et al., 2021 [8] | HECTD2 (rs61754654), CSGALANACT1_DUP_01 (rs34799877), PFAS (rs34778863), PLEKHH1 (rs45616031), INPP4A, TMEM217 (rs34322528), OR2AT4 (rs145245435), PDGFB (rs55634318), GPR113 (rs150568284), SPTBN5 (rs149954264), UBE3B (rs61748069) | |
Disclaimer/Publisher’s Note: The statements, opinions and data contained in all publications are solely those of the individual author(s) and contributor(s) and not of MDPI and/or the editor(s). MDPI and/or the editor(s) disclaim responsibility for any injury to people or property resulting from any ideas, methods, instructions or products referred to in the content. |
© 2025 by the authors. Licensee MDPI, Basel, Switzerland. This article is an open access article distributed under the terms and conditions of the Creative Commons Attribution (CC BY) license (https://creativecommons.org/licenses/by/4.0/).
Share and Cite
Verras, G.I.; Hamady, Z.Z.; Collins, A.; Tapper, W. Utility of Polygenic Risk Scores (PRSs) in Predicting Pancreatic Cancer: A Systematic Review and Meta-Analysis of Common-Variant and Mixed Scores with Insights into Rare Variant Analysis. Cancers 2025, 17, 241. https://doi.org/10.3390/cancers17020241
Verras GI, Hamady ZZ, Collins A, Tapper W. Utility of Polygenic Risk Scores (PRSs) in Predicting Pancreatic Cancer: A Systematic Review and Meta-Analysis of Common-Variant and Mixed Scores with Insights into Rare Variant Analysis. Cancers. 2025; 17(2):241. https://doi.org/10.3390/cancers17020241
Chicago/Turabian StyleVerras, Georgios Ioannis, Zaed Z. Hamady, Andrew Collins, and William Tapper. 2025. "Utility of Polygenic Risk Scores (PRSs) in Predicting Pancreatic Cancer: A Systematic Review and Meta-Analysis of Common-Variant and Mixed Scores with Insights into Rare Variant Analysis" Cancers 17, no. 2: 241. https://doi.org/10.3390/cancers17020241
APA StyleVerras, G. I., Hamady, Z. Z., Collins, A., & Tapper, W. (2025). Utility of Polygenic Risk Scores (PRSs) in Predicting Pancreatic Cancer: A Systematic Review and Meta-Analysis of Common-Variant and Mixed Scores with Insights into Rare Variant Analysis. Cancers, 17(2), 241. https://doi.org/10.3390/cancers17020241

