Transarterial Chemoembolization Outperforms Radioembolization in Early- and Intermediate-Stage Hepatocellular Carcinoma: A Multicenter Retrospective Study
Simple Summary
Abstract
1. Introduction
2. Patients and Methods
2.1. Study Design and Participants
2.2. Transarterial Therapy Procedures
2.3. Follow-Up and Safety Analyses
2.4. Statistical Analysis
2.5. Ethical Considerations
3. Results
3.1. Baseline Characteristics and Interventions
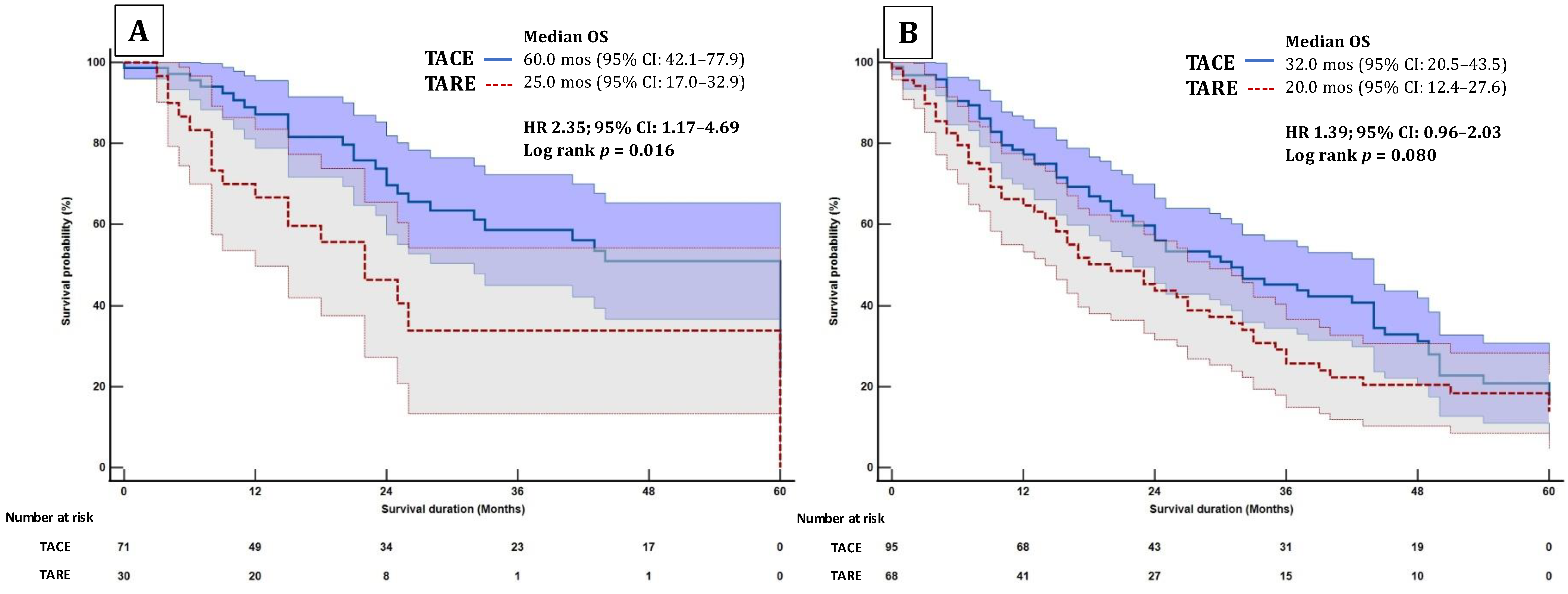
3.2. Treatment Outcomes and Survival
3.3. Safety
4. Discussion
5. Conclusions
Supplementary Materials
Author Contributions
Funding
Institutional Review Board Statement
Data Availability Statement
Conflicts of Interest
Abbreviations
References
- Bosch, F.X.; Ribes, J.; Borràs, J. Epidemiology of primary liver cancer. Semin. Liver Dis. 1999, 19, 271–285. [Google Scholar] [CrossRef] [PubMed]
- Alqahtani, S.A.; Sanai, F.M.; Alolayan, A.; Abaalkhail, F.; Alsuhaibani, H.; Hassanain, M.; Alhazzani, W.; Alsuhaibani, A.; Algarni, A.; Forner, A.; et al. Saudi Association for the Study of Liver diseases and Transplantation practice guidelines on the diagnosis and management of hepatocellular carcinoma. Saudi J. Gastroenterol. 2020, 26 (Suppl. 1), S1–S40. [Google Scholar] [CrossRef] [PubMed]
- Reig, M.; Forner, A.; Rimola, J.; Ferrer-Fàbrega, J.; Burrel, M.; Garcia-Criado, Á.; Kelley, R.K.; Galle, P.R.; Mazzaferro, V.; Salem, R.; et al. BCLC strategy for prognosis prediction and treatment recommendation: The 2022 update. J. Hepatol. 2022, 76, 681–693. [Google Scholar] [CrossRef]
- Wang, Q.; Xia, D.; Bai, W.; Wang, E.; Sun, J.; Huang, M.; Mu, W.; Yin, G.; Li, H.; Zhao, H.; et al. Development of a prognostic score for recommended TACE candidates with hepatocellular carcinoma: A multicentre observational study. J. Hepatol. 2019, 70, 893–903. [Google Scholar] [CrossRef] [PubMed]
- Salem, R.; Lewandowski, R.J.; Mulcahy, M.F.; Riaz, A.; Ryu, R.K.; Ibrahim, S.; Atassi, B.; Baker, T.; Gates, V.; Miller, F.H.; et al. Radioembolization for hepatocellular carcinoma using Yttrium-90 microspheres: A comprehensive report of long-term outcomes. Gastroenterology 2010, 138, 52–64. [Google Scholar] [CrossRef]
- Sangro, B.; Carpanese, L.; Cianni, R.; Golfieri, R.; Gasparini, D.; Ezziddin, S.; Paprottka, P.M.; Fiore, F.; Van Buskirk, M.; Bilbao, J.I.; et al. Survival after yttrium-90 resin microsphere radioembolization of hepatocellular carcinoma across Barcelona clinic liver cancer stages: A European evaluation. Hepatology 2011, 54, 868–878. [Google Scholar] [CrossRef]
- Dhondt, E.; Lambert, B.; Hermie, L.; Huyck, L.; Vanlangenhove, P.; Geerts, A.; Verhelst, X.; Aerts, M.; Vanlander, A.; Berrevoet, F.; et al. 90Y Radioembolization versus Drug-eluting Bead Chemoembolization for Unresectable Hepatocellular Carcinoma: Results from the TRACE Phase II Randomized Controlled Trial. Radiology 2022, 303, 699–710. [Google Scholar] [CrossRef]
- Salem, R.; Gordon, A.C.; Mouli, S.; Hickey, R.; Kallini, J.; Gabr, A.; Mulcahy, M.F.; Baker, T.; Abecassis, M.; Miller, F.H.; et al. Y90 radioembolization significantly prolongs time to progression compared with chemoembolization in patients with hepatocellular carcinoma. Gastroenterology 2016, 151, 1155–1163.e2. [Google Scholar] [CrossRef]
- Ninomiya, M.; Tsuruoka, M.; Inoue, J.; Hiraoka, A.; Iwata, T.; Sano, A.; Sato, K.; Onuki, M.; Sawahashi, S.; Kuroda, H.; et al. A new model to estimate duration of survival in patients with hepatocellular carcinoma with BCLC intermediate stage. Sci. Rep. 2023, 13, 20739. [Google Scholar] [CrossRef]
- Choi, J.W.; Kang, S.; Lee, J.; Choi, Y.; Kim, H.C.; Chung, J.W. Prognostication and risk factor stratification for survival of patients with hepatocellular carcinoma: A nationwide big data analysis. Sci. Rep. 2023, 13, 10388. [Google Scholar] [CrossRef]
- Carr, B.I.; Kondragunta, V.; Buch, S.C.; Branch, R.A. Therapeutic equivalence in survival for hepatic arterial chemoembolization and yttrium 90 microsphere treatments in unresectable hepatocellular carcinoma: A two-cohort study. Cancer 2010, 116, 1305–1314. [Google Scholar] [CrossRef]
- Kim, M.A.; Jang, H.; Choi, N.R.; Nam, J.Y.; Lee, Y.B.; Cho, E.J.; Lee, J.-H.; Yu, S.J.; Kim, H.-C.; Chung, J.W.; et al. Yttrium-90 Radioembolization Is Associated with Better Clinical Outcomes in Patients with Hepatocellular Carcinoma Compared with Conventional Chemoembolization: A Propensity Score-Matched Study. J. Hepatocell. Carcinoma 2021, 8, 1565–1577. [Google Scholar] [CrossRef] [PubMed]
- Lu, W.; Zhang, T.; Xia, F.; Huang, X.; Gao, F. Transarterial radioembolization versus chemoembolization for hepatocellular carcinoma: A meta-analysis. Front. Oncol. 2025, 14, 1511210. [Google Scholar] [CrossRef] [PubMed]
- Yu, S.C.H.; Hui, J.W.; Li, L.; Cho, C.C.; Hui, E.P.; Chan, S.L.; Yeo, W.M.M. Comparison of Chemoembolization, Radioembolization, and Transarterial Ethanol Ablation for Huge Hepatocellular Carcinoma (≥10 cm) in Tumour Response and Long-Term Survival Outcome. Cardiovasc. Intervent. Radiol. 2022, 45, 172–181. [Google Scholar] [CrossRef]
- Kooby, D.A.; Egnatashvili, V.; Srinivasan, S.; Chamsuddin, A.; Delman, K.A.; Kauh, J.; Staley, C.A.; Kim, H.S. Comparison of yttrium-90 radioembolization and transcatheter arterial chemoembolization for the treatment of unresectable hepatocellular carcinoma. J. Vasc. Interv. Radiol. 2010, 21, 224–230. [Google Scholar] [CrossRef]
- Salem, R.; Lewandowski, R.J.; Kulik, L.; Wang, E.; Riaz, A.; Ryu, R.K.; Sato, K.T.; Gupta, R.; Nikolaidis, P.; Miller, F.H.; et al. Radioembolization results in longer time-to-progression and reduced toxicity compared with chemoembolization in patients with hepatocellular carcinoma. Gastroenterology 2011, 140, 497–507.e2. [Google Scholar] [CrossRef]
- Facciorusso, A.; Serviddio, G.; Muscatiello, N. Transarterial radioembolization vs chemoembolization for hepatocarcinoma patients: A systematic review and meta-analysis. World J. Hepatol. 2016, 8, 770–778. [Google Scholar] [CrossRef]
- Tohme, S.; Bou Samra, P.; Kaltenmeier, C.; Chidi, A.P.; Varley, P.R.; Tsung, A. Radioembolization for Hepatocellular Carcinoma: A Nationwide 10-Year Experience. J. Vasc. Interv. Radiol. 2018, 29, 912–919.e2. [Google Scholar] [CrossRef]
- Garin, E.; Tselikas, L.; Guiu, B.; Chalaye, J.; Rolland, Y.; de Baere, T.; Assenat, E.; Tacher, V.; Palard, X.; Déandreis, D.; et al. Long-Term Overall Survival After Selective Internal Radiation Therapy for Locally Advanced Hepatocellular Carcinomas: Updated Analysis of DOSISPHERE-01 Trial. J. Nucl. Med. 2024, 65, 264–269. [Google Scholar] [CrossRef]
- Kolligs, F.; Arnold, D.; Golfieri, R.; Pech, M.; Peynircioglu, B.; Pfammatter, T.; Ronot, M.; Sangro, B.; Schaefer, N.; Maleux, G.; et al. Factors impacting survival after transarterial radioembolization in patients with hepatocellular carcinoma: Results from the prospective CIRT study. JHEP Rep. 2022, 5, 100633. [Google Scholar] [CrossRef]
- Salem, R.; Johnson, G.E.; Kim, E.; Riaz, A.; Bishay, V.; Boucher, E.; Fowers, K.; Lewandowski, R.; Padia, S.A. Yttrium-90 Radioembolization for the Treatment of Solitary, Unresectable HCC: The LEGACY Study. Hepatology 2021, 74, 2342–2352. [Google Scholar] [CrossRef]
- Makary, M.S.; Ramsell, S.; Miller, E.; Beal, E.W.; Dowell, J.D. Hepatocellular carcinoma locoregional therapies: Outcomes and future horizons. World J. Gastroenterol. 2021, 27, 7462–7479. [Google Scholar] [CrossRef]
- Allaire, M.; Garcia, H.; Meyblum, L.; Mouri, S.; Spitzer, E.; Goumard, C.; Lucidarme, O.; Rudler, M.; Scatton, O.; Roux, C.; et al. Non selective beta-blockers prevent PHT-related complications occurrence in HCC patients with esophageal varices treated by TACE. Clin. Res. Hepatol. Gastroenterol. 2025, 49, 102496. [Google Scholar] [CrossRef] [PubMed]
- Miyayama, S.; Kikuchi, Y.; Yoshida, M.; Yamashiro, M.; Sugimori, N.; Ikeda, R.; Okimura, K.; Sakuragawa, N.; Ueda, T.; Sanada, T.; et al. Outcomes of conventional transarterial chemoembolization for hepatocellular carcinoma ≥10 cm. Hepatol. Res. 2019, 49, 787–798. [Google Scholar] [CrossRef] [PubMed]
- Salem, R.; Padia, S.A.; Toskich, B.B.; Callahan, J.D.; Fowers, K.D.; Geller, B.S.; Johnson, G.E.; Kulik, L.; Patel, T.C.; Lewandowski, R.J.; et al. Radiation segmentectomy for early hepatocellular carcinoma is curative. J. Hepatol. 2025, 82, 1125–1132. [Google Scholar] [CrossRef]
- Yoshitomi, K.; Hayashi, T.; Oe, S.; Shibata, M.; Honma, Y.; Harada, M.; Kooka, Y. Child-Pugh grade deterioration stratified by the etiology after transcatheter arterial chemoembolization as initial treatment for hepatocellular carcinoma. Sci. Rep. 2024, 14, 3707. [Google Scholar] [CrossRef]
- Carrión, L.; Clemente-Sánchez, A.; Márquez-Pérez, L.; Orcajo-Rincón, J.; Rotger, A.; Ramón-Botella, E.; González-Leyte, M.; Echenagusía-Boyra, M.; Colón, A.L.; Reguera-Berenguer, L.; et al. Portal hypertension increases the risk of hepatic decompensation after 90Yttrium radioembolization in patients with hepatocellular carcinoma: A cohort study. Therap. Adv. Gastroenterol. 2023, 16, 17562848231206995. [Google Scholar] [CrossRef] [PubMed]
- Spreafico, C.; Sposito, C.; Vaiani, M.; Cascella, T.; Bhoori, S.; Morosi, C.; Lanocita, R.; Romito, R.; Chiesa, C.; Maccauro, M.; et al. Development of a prognostic score to predict response to Yttrium-90 radioembolization for hepatocellular carcinoma with portal vein invasion. J. Hepatol. 2018, 68, 724–732. [Google Scholar] [CrossRef]
- Hsu, C.Y.; Lee, Y.H.; Hsia, C.Y.; Huang, Y.H.; Su, C.W.; Lin, H.C.; Lee, R.C.; Chiou, Y.Y.; Lee, F.Y.; Huo, T.I. Performance status in patients with hepatocellular carcinoma: Determinants, prognostic impact, and ability to improve the Barcelona Clinic Liver Cancer system. Hepatology. 2013, 57, 112–119. [Google Scholar] [CrossRef]
- Arabi, M.; Alghamdi, H.S.; Almesned, A.A.; Alanazi, O.I.; Alzahrani, K.; Alghamdi, M.A.; Bukhaytan, M.; Alkhalaf, M.F.; Almaimoni, M.A.; Alagrafy, N.A.; et al. Identifying key predictors of mortality and liver decompensation in hepatocellular carcinoma patients treated with transarterial radioembolization. Saudi J. Gastroenterol. 2025, 31, 176–184. [Google Scholar] [CrossRef]
- Sangro, B.; Gil-Alzugaray, B.; Rodriguez, J.; Sola, I.; Martinez-Cuesta, A.; Viudez, A.; Chopitea, A.; Iñarrairaegui, M.; Arbizu, J.; Bilbao, J.I.; et al. Liver disease induced by radioembolization of liver tumors: Description and possible risk factors. Cancer 2008, 112, 1538–1546. [Google Scholar] [CrossRef]
- Braat, M.N.; van Erpecum, K.J.; Zonnenberg, B.A.; van den Bosch, M.A.; Lam, M.G. Radioembolization-induced liver disease: A systematic review. Eur. J. Gastroenterol. Hepatol. 2017, 29, 144–152. [Google Scholar] [CrossRef]


| Parameter | Total n = 279 | TACE n = 175 | TARE n = 104 | p |
|---|---|---|---|---|
| Age (yrs) | 67.6 ± 10.1 | 67.3 ± 10.4 | 67.9 ± 9.4 | 0.519 |
| Male gender | 207 (74.2) | 128 (73.1) | 79 (76.0) | 0.603 |
| BMI (kg/m2) | 27.5 ± 6.0 | 27.8 ± 6.3 | 27.0 ± 5.5 | 0.528 |
| Diabetes | 166 (59.5) | 97 (55.4) | 69 (66.3) | 0.072 |
| Bilirubin (μmol/L) | 13.0 (8.6–19.7) | 12.3 (8.8–20.4) | 13.5 (8.3–19.0) | 0.950 |
| ALT (U/L) | 30.0 (19.0–45.2) | 30.0 (18.0–46.0) | 31.5 (21.0–44.9) | 0.368 |
| AST (U/L) | 36.0 (25.0–57.0) | 35.0 (24.0–56.0) | 39.0 (27.0–60.2) | 0.147 |
| ALP (U/L) | 124.0 (90.8–175.0) | 120.0 (89.8–164.5) | 129.0 (92.5–195.8) | 0.260 |
| GGT (U/L) | 108.0 (55.0–208.7) | 99.0 (51.0–198.0) | 125.8 (66.5–212.2) | 0.222 |
| Albumin (g/L) | 36.0 (31.0–39.0) | 36.0 (31.0–39.0) | 36.0 (31.2–39.2) | 0.808 |
| INR | 1.1 (1.1–1.2) | 1.1 (1.1–1.2) | 1.1 (1.1–1.2) | 0.365 |
| Platelets (109/L) | 160.5 (111.5–230.3) | 161.5 (104.8–230.3) | 159.0 (117.5–230.0) | 0.621 |
| AFP (ng/mL) | 11.3 (4.4–59.5) | 9.3 (4.0–45.7) | 12.0 (5.0–160.0) | 0.153 |
| AFP < 400 | 236 (85.5) | 154 (89.0) | 82 (79.6) | 0.032 |
| AFP ≥ 400 | 40 (14.5) | 19 (11.0) | 21 (20.4) | |
| Etiology | 0.158 | |||
| Hepatitis B | 88 (31.5) | 55 (31.4) | 33 (31.7) | |
| Hepatitis C | 87 (31.2) | 58 (33.1) | 29 (27.9) | |
| MASLD | 70 (25.1) | 37 (21.1) | 33 (31.7) | |
| Other | 34 (12.2) | 25 (14.3) | 09 (8.7) | |
| Non-Cirrhotic | 8 (2.9) | 4 (2.3) | 4 (3.8) | 0.477 |
| Cirrhosis CTP A | 202 (72.4) | 124 (70.9) | 78 (75.0) | |
| Cirrhosis CTP B | 69 (24.7) | 47 (26.9) | 22 (21.2) | |
| CTP score 5/6 | 202 (74.5) | 124 (72.5) | 78 (78.0) | 0.668 |
| CTP score 7 | 44 (16.2) | 30 (17.5) | 14 (14.0) | |
| CTP score 8/9 | 25 (9.2) | 17 (9.9) | 8 (8.0) | |
| ECOG | 0.130 | |||
| PS 0–1 | 244 (87.5) | 149 (85.1) | 95 (91.3) | |
| PS 2 | 35 (12.5) | 26 (14.9) | 09 (8.7) | |
| BCLC Stage | 0.036 | |||
| Stage 0/A | 108 (38.7) | 76 (43.4) | 32 (30.8) | |
| Stage B | 171 (61.3) | 99 (56.6) | 72 (69.2) | |
| Tumors | ||||
| Number | 1.0 (1.0–2.0) | 1.0 (1.0–1.0) | 2.0 (1.0–3.0) | <0.001 |
| Diameter, largest (cm) | 3.7 (2.5–5.7) | 3.1 (2.0–4.2) | 4.4 (2.8–6.4) | <0.001 |
| Parameter | Total n = 108 | TACE n = 76 | TARE n = 32 | p |
|---|---|---|---|---|
| Age (yrs) | 67.8 ± 11.4 | 66.8 ± 11.5 | 70.3 ± 10.8 | 0.290 |
| Male gender | 73 (67.6) | 51 (67.1) | 22 (68.8) | 0.716 |
| BMI (kg/m2) | 28.0 ± 6.5 | 27.9 ± 6.7 | 28.0 ± 6.2 | 0.926 |
| Diabetes | 73 (67.6) | 50 (65.8) | 23 (71.9) | 0.537 |
| Bilirubin (μmol/L) | 12.0 (8.4–18.0) | 12.0 (8.5–19.3) | 12.0 (8.3–17.9) | 0.856 |
| ALT (U/L) | 26.5 (17.3–41.0) | 25.5 (17.0–41.0) | 28.5 (18.3–42.3) | 0.155 |
| AST (U/L) | 34.5 (22.3–55.8) | 34.5 (22.0–55.8) | 34.5 (23.3–56.3) | 0.072 |
| ALP (U/L) | 118.5 (86.3–169.0) | 118.5 (86.3–165.5) | 120.0 (84.0–197.5) | 0.278 |
| GGT (U/L) | 101.0 (54.0–218.0) | 99.5 (49.3–203.0) | 129.6 (63.8–230.5) | 0.228 |
| Albumin (g/L) | 36.0 (31.0–40.0) | 36.0 (31.0–40.0) | 35.0 (29.8–38.8) | 0.367 |
| INR | 1.1 (1.0–1.2) | 1.1 (1.0–1.2) | 1.1 (1.0–1.2) | 0.471 |
| Platelets (109/L) | 143.0 (101.0–209.0) | 140.0 (99.0–215.0) | 161.0 (106.5–205.5) | 0.621 |
| AFP (ng/mL) | 8.0 (4.0–25.5) | 8.0 (4.0–23.3) | 8.9 (3.1–51.7) | 0.046 |
| AFP < 400 | 97 (91.5) | 70 (93.3) | 27 (87.1) | 0.443 |
| AFP ≥ 400 | 9 (8.5) | 5 (6.7) | 4 (12.9) | |
| Etiology | 0.343 | |||
| Hepatitis B | 26 (24.1) | 20 (26.3) | 06 (18.8) | |
| Hepatitis C | 41 (38.0) | 31 (40.8) | 10 (31.3) | |
| MASLD | 31 (28.7) | 18 (23.7) | 13 (40.6) | |
| Other | 10 (9.3) | 7 (9.2) | 3 (9.4) | |
| Non-Cirrhotic | 2 (1.9) | 0 (0) | 2 (6.3) | 0.133 |
| Cirrhosis CTP A | 83 (78.3) | 60 (78.9) | 23 (71.9) | |
| Cirrhosis CTP B | 23 (21.7) | 16 (21.1) | 7 (21.9) | |
| CTP score 5/6 | 83 (78.3) | 60 (78.9) | 23 (76.7) | 0.673 |
| CTP score 7 | 16 (15.1) | 12 (15.8) | 4 (13.3) | |
| CTP score 8/9 | 7 (6.6) | 4 (5.3) | 3 (10.0) | |
| ECOG | 0.102 | |||
| PS 0–1 | 101 (93.5) | 69 (90.8) | 32 (100.0) | |
| PS 2 | 7 (6.5) | 7 (9.2) | 0 (0.0) | |
| Tumors | ||||
| Number | 1.0 (1.0–1.0) | 1.0 (1.0–1.0) | 1.0 (1.0–1.0) | 0.609 |
| Diameter, largest (cm) | 3.1 (2.0–4.2) | 2.7 (1.8–3.7) | 4.2 (2.3–5.8) | 0.001 |
| Parameters | Total n = 171 | TACE n = 99 | TARE n = 72 | p |
|---|---|---|---|---|
| Age (yrs) | 67.4 ± 9.2 | 67.8 ± 9.6 | 66.9 ± 8.7 | 0.814 |
| Male gender | 134 (78.4) | 77 (77.8) | 57 (79.2) | 0.828 |
| BMI (kg/m2) | 27.2 ± 5.7 | 27.6 ± 6.0 | 26.5 ± 5.2 | 0.381 |
| Diabetes | 93 (54.4) | 47 (47.5) | 46 (63.9) | 0.033 |
| Bilirubin (μmol/L) | 13.5 (8.8–20.5) | 13.0 (8.8–22.0) | 13.7 (8.1–20.1) | 0.956 |
| ALT (U/L) | 31.0 (21.0–48.0) | 31.0 (20.0–48.0) | 32.5 (22.3–48.1) | 0.650 |
| AST (U/L) | 37.0 (26.4–57.0) | 35.0 (25.0–56.6) | 39.5 (28.0–63.0) | 0.144 |
| ALP (U/L) | 127.6 (92.9–175.5) | 120.5 (92.5–165.5) | 131.0 (95.5–194.3) | 0.346 |
| GGT (U/L) | 112.0 (55.5–188.0) | 97.0 (51.5–208.0) | 122.0 (66.0–173.0) | 0.355 |
| Albumin (g/L) | 38.0 (31.7–39.0) | 36.8 (31.7–39.0) | 36.0 (31.2–39.6) | 0.739 |
| INR | 1.1 (1.1–1.3) | 1.2 (1.1–1.3) | 1.1 (1.1–1.2) | 0.313 |
| Platelets (109/L) | 167.0 (117.0–245.0) | 174.0 (108.0–246.0) | 159.0 (120.0–244.8) | 0.827 |
| AFP (ng/mL) | 13.2 (5.0–85.0) | 12.9 (5.0–61.3) | 14.2 (5.9–287.0) | 0.258 |
| AFP < 400 | 139 (81.8) | 84 (85.7) | 55 (76.4) | 0.120 |
| AFP ≥ 400 | 31 (18.2) | 14 (14.3) | 17 (23.6) | |
| Etiology | 0.232 | |||
| Hepatitis B | 62 (36.3) | 35 (35.4) | 27 (37.5) | |
| Hepatitis C | 46 (26.9) | 27 (27.3) | 19 (26.4) | |
| MASLD | 39 (22.8) | 19 (19.2) | 20 (27.8) | |
| Other | 24 (14.0) | 18 (18.2) | 6 (8.3) | |
| Non-Cirrhotic | 6 (3.5) | 4 (4.0) | 2 (2.8) | 0.235 |
| Cirrhosis CTP A | 119 (69.6) | 64 (64.6) | 55 (76.4) | |
| Cirrhosis CTP B | 46 (26.9) | 31 (31.3) | 15 (20.8) | |
| CTP score 5/6 | 120 (72.7) | 65 (68.4) | 55 (78.6) | 0.290 |
| CTP score 7 | 27 (16.4) | 17 (17.9) | 10 (14.3) | |
| CTP score 8/9 | 18 (10.9) | 13 (13.7) | 5 (7.1) | |
| ECOG | 0.243 | |||
| PS 0–1 | 143 (83.6) | 80 (80.8) | 63 (87.5) | |
| PS 2 | 28 (16.4) | 19 (19.2) | 9 (12.5) | |
| Tumors | ||||
| Number | 2.0 (1.0–3.0) | 2.0 (1.0–3.0) | 2.0 (1.0–3.0) | 0.440 |
| Diameter, largest (cm) | 4.4 (2.9–6.4) | 4.0 (3.0–5.6) | 5.0 (2.7–7.8) | 0.049 |
| Tumor Response | Overall Cohort | p | |
|---|---|---|---|
| TACE (n = 175) | TARE (n = 104) | ||
| Complete response | 58 (33.9) | 25 (24.3) | 0.341 |
| Partial response | 55 (32.2) | 42 (40.8) | |
| Stable disease | 27 (15.8) | 17 (16.5) | |
| Progressive disease | 31 (18.1) | 19 (18.4) | |
| Tumor Response | Early-stage (BCLC 0/A) Cohort | p | |
| TACE (n = 76) | TARE (n = 32) | ||
| Complete response | 32 (43.2) | 11 (34.3) | 0.012 |
| Partial response | 14 (18.9) | 16 (50.0) | |
| Stable disease | 15 (20.3) | 3 (9.4) | |
| Progressive disease | 13 (17.6) | 2 (6.3) | |
| Tumor Response | Intermediate-stage (BCLC B) Cohort | p | |
| TACE (n = 99) | TARE (n = 72) | ||
| Complete response | 26 (26.8) | 14 (19.7) | 0.363 |
| Partial response | 41 (42.3) | 26 (36.6) | |
| Stable disease | 12 (12.4) | 14 (19.7) | |
| Progressive disease | 18 (18.6) | 17 (23.9) | |
Disclaimer/Publisher’s Note: The statements, opinions and data contained in all publications are solely those of the individual author(s) and contributor(s) and not of MDPI and/or the editor(s). MDPI and/or the editor(s) disclaim responsibility for any injury to people or property resulting from any ideas, methods, instructions or products referred to in the content. |
© 2025 by the authors. Licensee MDPI, Basel, Switzerland. This article is an open access article distributed under the terms and conditions of the Creative Commons Attribution (CC BY) license (https://creativecommons.org/licenses/by/4.0/).
Share and Cite
Sanai, F.M.; Alzanbagi, A.; Arabi, M.; Alfawaz, S.S.; Bzeizi, K.I.; Almatrafi, M.; Alsabban, A.M.; Bardesi, J.; Alghamdi, H.S.; Shawkat, M.; et al. Transarterial Chemoembolization Outperforms Radioembolization in Early- and Intermediate-Stage Hepatocellular Carcinoma: A Multicenter Retrospective Study. Cancers 2025, 17, 2254. https://doi.org/10.3390/cancers17132254
Sanai FM, Alzanbagi A, Arabi M, Alfawaz SS, Bzeizi KI, Almatrafi M, Alsabban AM, Bardesi J, Alghamdi HS, Shawkat M, et al. Transarterial Chemoembolization Outperforms Radioembolization in Early- and Intermediate-Stage Hepatocellular Carcinoma: A Multicenter Retrospective Study. Cancers. 2025; 17(13):2254. https://doi.org/10.3390/cancers17132254
Chicago/Turabian StyleSanai, Faisal M., Adnan Alzanbagi, Mohammed Arabi, Sarah S. Alfawaz, Khalid I. Bzeizi, Mohammed Almatrafi, Abdulmalik M. Alsabban, Jameel Bardesi, Hamdan S. Alghamdi, Mohamed Shawkat, and et al. 2025. "Transarterial Chemoembolization Outperforms Radioembolization in Early- and Intermediate-Stage Hepatocellular Carcinoma: A Multicenter Retrospective Study" Cancers 17, no. 13: 2254. https://doi.org/10.3390/cancers17132254
APA StyleSanai, F. M., Alzanbagi, A., Arabi, M., Alfawaz, S. S., Bzeizi, K. I., Almatrafi, M., Alsabban, A. M., Bardesi, J., Alghamdi, H. S., Shawkat, M., Alotaibi, T. M., Alameer, K. H., Saleem, S., Abualganam, S., Tashkandi, A. M., Guzaiz, N. H., Abourokbah, N. H., Alfakieh, H. O., Almaghrabi, M., ... Alqahtani, S. A. (2025). Transarterial Chemoembolization Outperforms Radioembolization in Early- and Intermediate-Stage Hepatocellular Carcinoma: A Multicenter Retrospective Study. Cancers, 17(13), 2254. https://doi.org/10.3390/cancers17132254

