The Diagnostic Performance of 2-[18F]FDG PET/CT in Identifying Richter Transformation in Chronic Lymphocytic Leukemia: An Updated Systematic Review and Bivariate Meta-Analysis
Abstract
Simple Summary
Abstract
1. Introduction
2. Materials and Methods
2.1. Protocol
2.2. Search Strategy
2.3. Study Selection
2.4. Data Extraction and Collection
2.5. Quality Assessment (Risk of Bias Assessment)
2.6. Statistical Analysis
3. Results
3.1. Literature Search
3.2. Study Characteristics
3.3. Risk of Bias and Applicability
3.4. Primary Results of the Included Studies (Qualitative Synthesis)
| Author | SUVmax Cut-Off | TP | FN | FP | TN | Sen | Spe | PPV | NPV |
|---|---|---|---|---|---|---|---|---|---|
| Bruzzi JF [14] | 5 | 10 | 1 | 8 | 18 | 91% | 69% | 56% | 95% |
| Karam M [15] | Na | na | na | na | Na | Na | na | Na | na |
| Taralli S [16] | Na | na | na | na | Na | na | na | Na | na |
| Papajik T [17] | Na | na | na | na | Na | na | na | Na | na |
| Conte MJ [18] | 5 | 22 | na | 61 | Na | na | na | Na | na |
| Falchi L [19] | 5 | 84 | 11 | 125 | 112 | 88% | 47% | 38% | 92% |
| Mauro FR [20] | 5 | 15 | 2 | 24 | 49 | 88% | 67% | 38.5% | 96% |
| Michallet AS [21] | 10 | 22 | 11 | 2 | 205 | 92% | 95% | 66% | 99% |
| Mato AR [22] | 5 10 11 12 | 5 5 | 1 14 | 27 2 | 1 14 | 71% 71% 71% 57% | 4% 50% 61% 68% | 16% 26% 31% 31% | 33% 88% 89% 86% |
| Pontoizeau C [23] | Na | na | na | na | Na | na | na | Na | na |
| Wang Y [24] | 5 6 7 8 9 10 11 12 13 14 15 | 24 14 | 1 7 | 53 11 | 14 22 | 96% 92% 84% 76% 72% 56% 52% 44% 40% 28% 28% | 21% 28% 45% 62% 72% 76% 83% 86% 93% 93% 93% | 51% 52% 57% 63% 69% 67% 72% 73% 83% 78% 78% | 86% 80% 76% 75% 75% 67% 67% 64% 64% 63% 60% |
| Porrazzo M [25] | 5 | 4 | 1 | 9 | 26 | 80% | 74% | 31% | 96% |
| Albano D [26] | 9 | 12 | 6 | 6 | 61 | 67% | 91% | 67% | 90% |
| Hod K [27] | Na | na | na | na | Na | na | Na | Na | na |
| Albano D [28] | 5 | 32 | 14 | 32 | 73 | 70% | 70% | 50% | 80% |
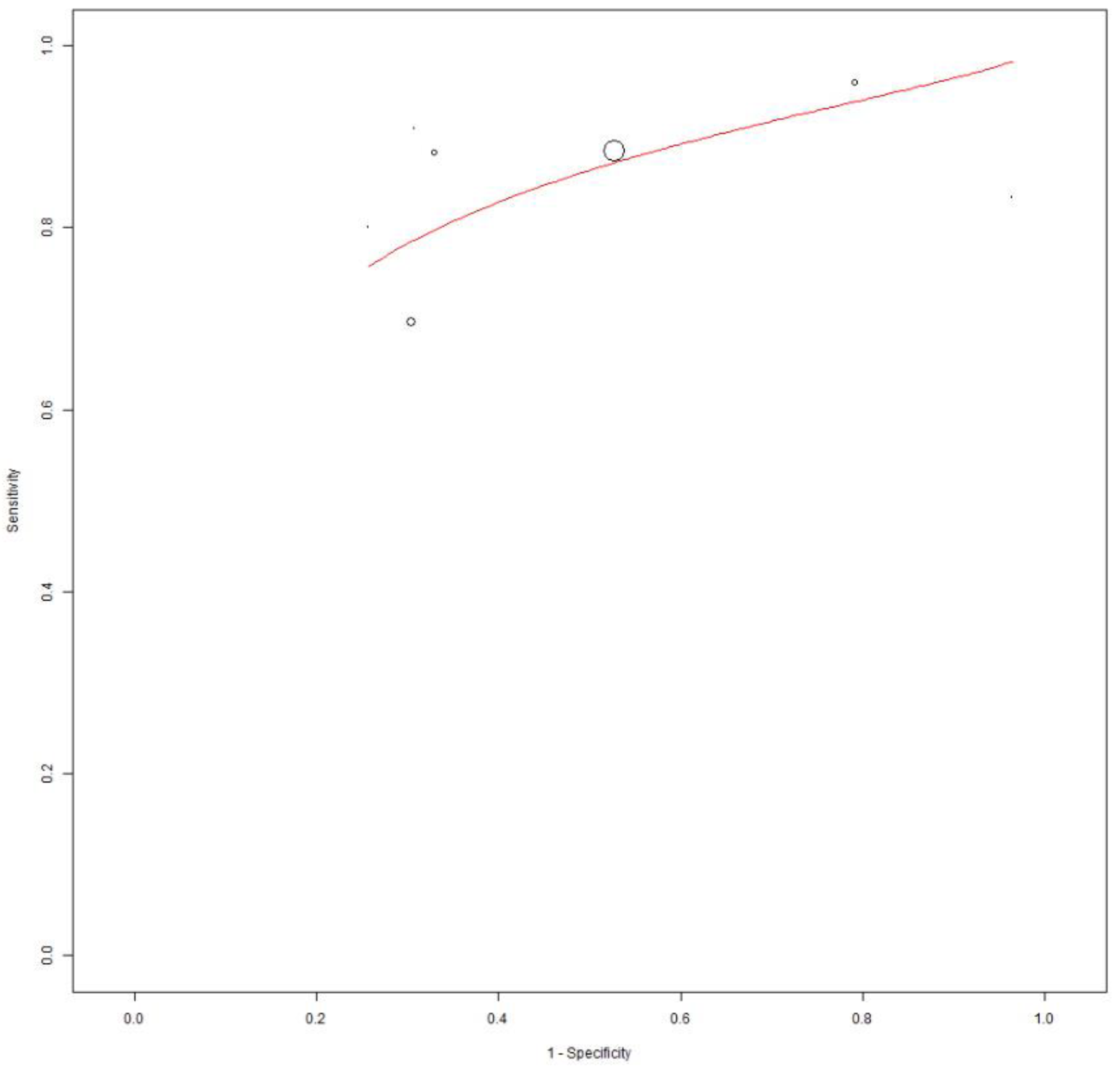
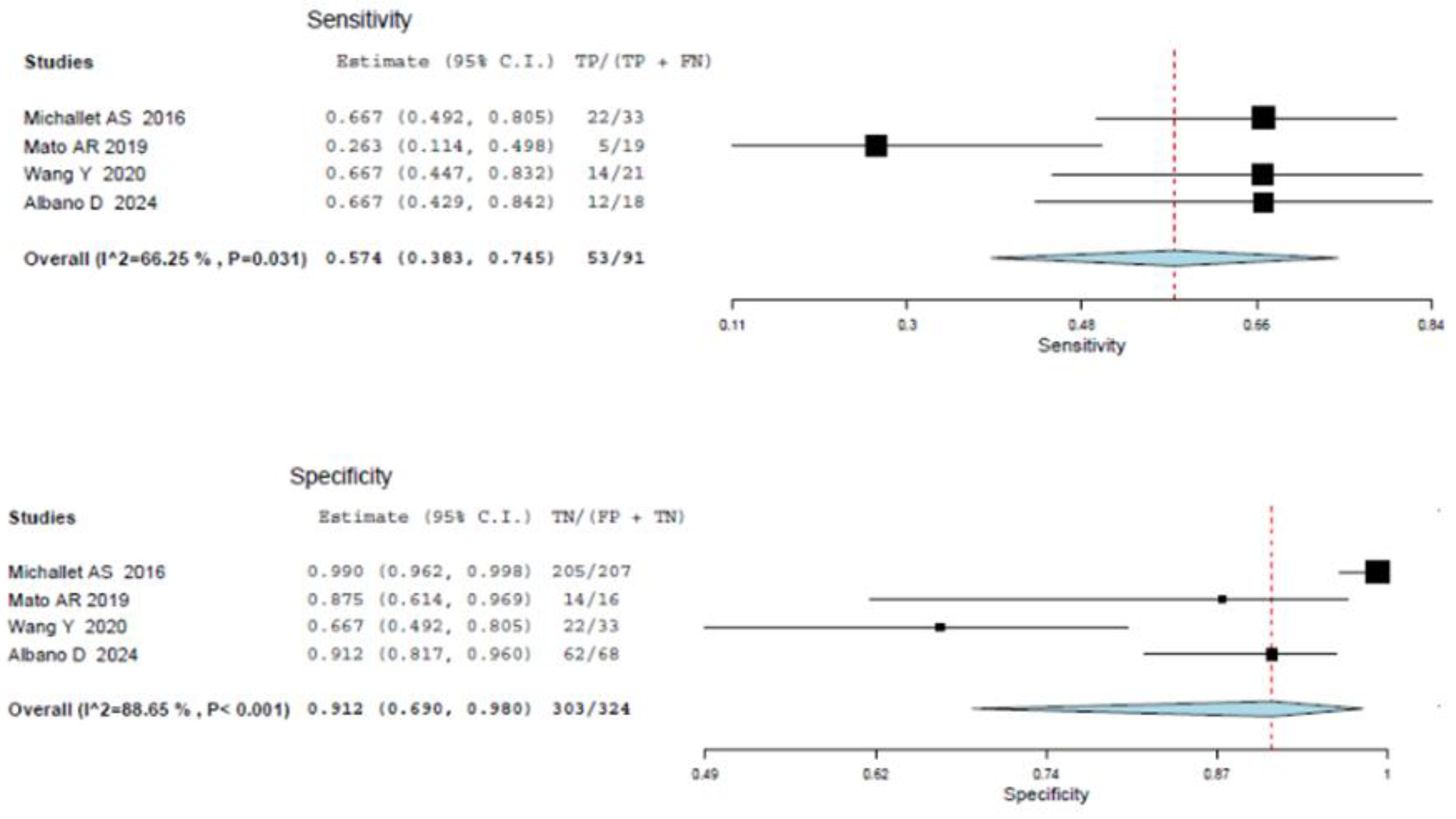
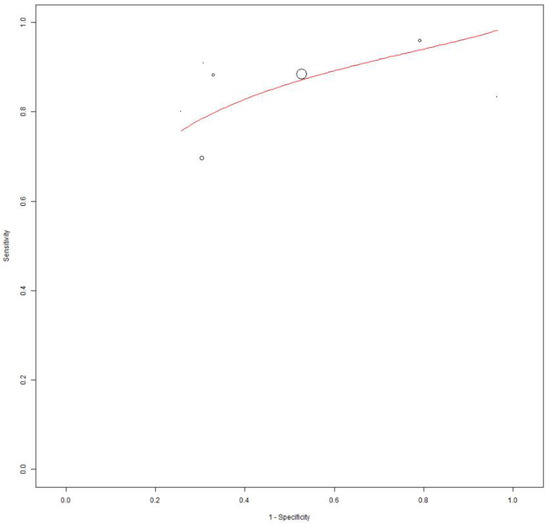
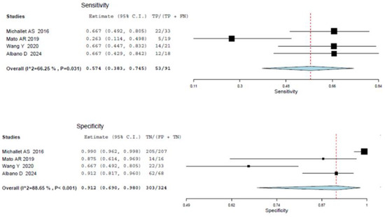
3.5. Quantitative Analysis (Meta-Analysis)
4. Discussion
5. Conclusions
Supplementary Materials
Author Contributions
Funding
Data Availability Statement
Conflicts of Interest
References
- Hallek, M. Chronic lymphocytic leukemia: 2020 update on diagnosis, risk stratification and treatment. Am. J. Hematol. 2019, 94, 1266–1287. [Google Scholar] [CrossRef] [PubMed]
- Zhang, S.; Kipps, T.J. The pathogenesis of chronic lymphocytic leukemia. Annu. Rev. Pathol. 2014, 9, 103–118. [Google Scholar] [CrossRef] [PubMed]
- Parikh, S.A.; Kay, N.E.; Shanafelt, T.D. How we treat Richter syndrome. Blood 2014, 123, 1647–1657. [Google Scholar] [CrossRef] [PubMed]
- Ayers, E.C.; Mato, A.R. Richter’s transformation in the era of kinase inhibitor therapy: A review. Clin. Lymphoma Myeloma Leuk. 2017, 17, 1–6. [Google Scholar] [CrossRef] [PubMed]
- Rossi, D. Richter’s syndrome: Novel and promising therapeutic alternatives. Best Pract. Res. Clin. Haematol. 2016, 29, 30–39. [Google Scholar] [CrossRef] [PubMed]
- Khan, M.; Siddiqi, R.; Thompson, P.A. Approach to Richter transformation of chronic lymphocytic leukemia in the era of novel therapies. Ann. Hematol. 2018, 97, 1–15. [Google Scholar] [CrossRef] [PubMed]
- Condoluci, A.; Rossi, D. Treatment of Richter’s Syndrome. Curr. Treat. Options Oncol. 2017, 18, 75. [Google Scholar] [CrossRef] [PubMed]
- Briski, R.; Taylor, J. Treatment of Richter Transformation of Chronic Lymphocytic Leukemia in the Modern Era. Cancers 2023, 15, 1857. [Google Scholar] [CrossRef] [PubMed]
- Eichhorst, B.; Robak, T.; Montserrat, E.; Ghia, P.; Niemann, C.U.; Kater, A.P.; Gregor, M.; Cymbalista, F.; Buske, C.; Hilmen, P.; et al. ESMO Guidelines Committee. Chronic lymphocytic leukaemia: ESMO Clinical Practice Guidelines for diagnosis, treatment and follow-up. Ann. Oncol. 2021, 32, 23–33. [Google Scholar] [CrossRef]
- Shaikh, F.; Janjua, A.; Van Gestel, F.; Ahmad, A. Richter Transformation of Chronic Lymphocytic Leukemia: A Review of Fluorodeoxyglucose Positron Emission Tomography–Computed Tomography and Molecular Diagnostics. Cureus 2017, 9, e968. [Google Scholar] [CrossRef]
- Rhodes, J.M.; Mato, A.R. PET/Computed Tomography in Chronic Lymphocytic Leukemia and Richter Transformation. PET Clin. 2019, 14, 405–410. [Google Scholar] [CrossRef] [PubMed]
- Whiting, P.F.; Rutjes, A.W.S.; Westwood, M.E.; Mallett, S.; Deeks, J.J.; Reitsma, J.B.; Leeflang, M.M.G.; Sterne, J.A.C.; Bossuyt, P.M.M.; QUADAS-2 Group. QUADAS-2: A revised tool for the quality assessment of diagnostic accuracy studies. Ann. Intern. Med. 2011, 155, 529–536. [Google Scholar] [CrossRef] [PubMed]
- Sadeghi, R.; Treglia, G. Systematic reviews and meta-analyses of diagnostic studies: A practical guideline. Clin. Transl. Imaging 2017, 5, 83–87. [Google Scholar] [CrossRef]
- Bruzzi, J.F.; Macapinlac, H.; Tsimberidou, A.M.; Truong, M.T.; Keating, M.J.; Marom, E.M.; Munden, R.F. Detection of Richter’s transformation of chronic lymphocytic leukemia by PET/CT. J. Nucl. Med. 2006, 47, 1267–1273. [Google Scholar] [PubMed]
- Karam, M.; Novak, L.; Cyriac, J.; Ali, A.; Nazeer, T.; Nugent, F. Role of Fluorine-18 Fluoro-Deoxyglucose Positron Emission Tomography Scan in the Evaluation and Follow-Up of Patients with Low-Grade Lymphomas. Cancer 2006, 107, 175–183. [Google Scholar] [CrossRef] [PubMed]
- Taralli, S.; Calcagni, M.L.; Ruffini, V.; Laurenti, L.; Sica, S.; Chiusolo, P.; Leone, G.; Giordano, A. Role of 18F-FDG PET-CT for evaluating the response to reduced intensity conditioning allogeneic transplant in heavily pre-treated patients with chronic lymphocytic leukemia: Preliminary results in nine patients. Ann. Nucl. Med. 2012, 26, 764–768. [Google Scholar] [CrossRef] [PubMed]
- Papajík, T.; Mysliveček, M.; Urbanová, R.; Buriánková, E.; Kapitáňová, Z.; Procházka, V.; Turcsányi, P.; Formánek, R.; Henzlová, L.; Flodr, P.; et al. 2-[18 F]fluoro-2-deoxy-D-glucose positron emission tomography/computed tomography examination in patients with chronic lymphocytic leukemia may reveal Richter transformation. Leuk. Lymphoma 2014, 55, 314–319. [Google Scholar] [CrossRef] [PubMed]
- Conte, M.J.; Bowen, D.A.; Wiseman, G.A.; Rabe, K.G.; Slager, S.L.; Schwager, S.M.; Call, T.G.; Viswanatha, D.S.; Zent, C.S. Use of positron emission tomography-computerized tomography (PET-CT) in the management of patients with chronic lymphocytic leukemia/small lymphocytic lymphoma (CLL). Leuk. Lymphoma 2014, 55, 2079–2084. [Google Scholar] [CrossRef]
- Falchi, L.; Keating, M.J.; Marom, E.M.; Truong, M.T.; Schlette, E.J.; Sargent, R.L.; Trinh, L.; Wang, X.; Smith, S.C.; Jain, N.; et al. Correlation between FDG/PET findings, histological features, clinical characteristics and survival in 332 patients with chronic lymphocytic leukemia. Blood 2014, 123, 2783–2790. [Google Scholar] [CrossRef]
- Mauro, F.R.; Chauvie, S.; Paoloni, F.; Biggi, A.; Cimino, G.; Rago, A.; Gentile, M.; Morabito, F.; Coscia, M.; Bellò, M.; et al. Diagnostic and prognostic role of PET/CT in patients with chronic lymphocytic leukemia and progressive disease. Leukemia 2015, 29, 1360–1365. [Google Scholar] [CrossRef]
- Michallet, A.S.; Sesques, P.; Rabe, K.G.; Itti, E.; Tordot, J.; Tychyj-Pinel, C.; Baseggio, L.; Subtil, F.; Salles, G.; Dupuis, J.M.; et al. An 18F-FDG-PET maximum standardized uptake value > 10 represents a novel valid marker for discerning Richter’s Syndrome. Leuk. Lymphoma 2016, 57, 1474–1477. [Google Scholar] [CrossRef] [PubMed]
- Mato, A.R.; Wierda, W.G.; Davids, M.S.; Cheson, B.D.; Coutre, S.E.; Choi, M.; Furman, R.R.; Heffner, L.; Barr, P.M.; Eradat, H. Utility of PET-CT in patients with chronic lymphocytic leukemia following B-cell receptor pathway inhibitor therapy. Haematologica 2019, 104, 2258–2264. [Google Scholar] [CrossRef] [PubMed]
- Pointoizeau, C.; Girard, A.; Mesbah, H.; Haumont, L.A.; Devillers, A.; Tempescul, A.; Salaün, P.Y.; Lamy, T.; Le Jeune, F.; Palard-Novello, X. Prognostic Value of Baseline Total Metabolic Tumor Volume Measured on FDG PET in Patients with Richter Syndrome. Clin. Nucl. Med. 2020, 45, 118–122. [Google Scholar] [CrossRef]
- Wang, Y.; Rabe, K.G.; Bold, M.S.; Shi, M.; Hanson, C.A.; Schwager, S.M.; Call, T.G.; Kenderian, S.S.; Muchtar, E.; Hayman, S.R.; et al. The role of 18F-FDG-PET in detecting Richter transformation of chronic lymphocytic leukemia in patients receiving therapy with a B-cell receptor inhibitor. Haematologica 2020, 105, 240564. [Google Scholar] [CrossRef] [PubMed]
- Porrazzo, M.; Nicolai, E.; Riminucci, M.; Vitale, C.; Coscia, M.; De Paoli, L.; Rago, A.; Buscicchio, G.; Maestrini, G.; Ligia, S.; et al. Prognostic Significance of PET/CT in Patients with Chronic Lymphocytic Leukemia (CLL) Treated with Frontline Chemoimmunotherapy. Cancers 2020, 12, 1773. [Google Scholar] [CrossRef] [PubMed]
- Albano, D.; Camoni, L.; Rodella, C.; Giubbini, R.; Bertagna, F. 2-[18F]-FDG PET/CT role in detecting Richter’s transformation of Chronic Lymphocytic Leukemia and predicting overall survival. Clin. Lymphoma Myeloma Leuk. 2020, S2152–S2650, 30670–30674. [Google Scholar] [CrossRef] [PubMed]
- Hod, K.; Tova, Y.; Gold, O.; Harari, S.F.; Guindy, M.; Shpilberg, O.; Groshar, D.; Tavor, S. The Pattern of Use of PET/CT Scans in the Clinical Management of Chronic Lymphocytic Leukemia. Clin. Lymphoma Myeloma Leuk. 2021, 21, 558–563. [Google Scholar] [CrossRef]
- Albano, D.; Calabrò, A.; Dondi, F.; Bertagna, F. 2-[18F]-FDG PET/CT Semi-quantitative and Radiomics Predictive Parameters of Richter’s Transformation in CLL Patients. Medicina 2024, 60, 203. [Google Scholar] [CrossRef] [PubMed]
- Bertagna, F.; Giubbini, R.; Albano, D. Chapter 9. Evidence-based Positron Emission Tomography. Summary of Recent Meta-analyses on PET. In Evidence-Based PET for Haematological Tumours; Springer: Berlin/Heidelberg, Germany, 2020. [Google Scholar] [CrossRef]
- El-Galaly, T.C.; Villa, D.; Gormsen, L.C.; Baech, J.; Lo, A.; Cheah, C.Y. FDG-PET/CT in the management of lymphomas: Current status and future directions. J. Intern. Med. 2018, 284, 358–376. [Google Scholar] [CrossRef]
- Ohmoto, A.; Fuji, S. Histological transformation in malignant lymphoma: A possible role of PET/CT and circulating tumor DNA as non-invasive diagnostic tools. Expert Rev. Hematol. 2020, 13, 23–30. [Google Scholar] [CrossRef]
- Kostakoglu, L.; Chauvie, S. Metabolic tumour volume metrics in lymphoma. Semin. Nucl. Med. 2018, 48, 50–66. [Google Scholar] [CrossRef] [PubMed]
- Prieto Prieto, J.C.; Vallejo Casas, J.A.; Hatzimichael, E.; Fotopoulos, A.; Kiortsis, D.N.; Sioka, C. The contribution of metabolic parameters of FDG PET/CT prior and during therapy of adult patients with lymphomas. Ann. Nucl. Med. 2020, 34, 707–717. [Google Scholar] [CrossRef] [PubMed]
- Frood, R.; Burton, C.; Tsoumpas, C.; Frangi, A.F.; Gleeson, F.; Patel, C.; Scarsbrook, A. Baseline PET/CT imaging parameters for prediction of treatment outcome in Hodgkin and diffuse large B cell lymphoma: A systematic review. Eur. J. Nucl. Med. Mol. Imaging 2021, 48, 3198–3220. [Google Scholar] [CrossRef] [PubMed]
- Jiang, H.; Li, A.; Ji, Z.; Tian, M.; Zhang, H. Role of Radiomics-Based Baseline PET/CT Imaging in Lymphoma: Diagnosis, Prognosis, and Response Assessment. Mol. Imaging Biol. 2022, 24, 537–549. [Google Scholar] [CrossRef] [PubMed]
- Mayerhoefer, M.E.; Umutlu, L.; Schöder, H. Functional imaging using radiomic features in assessment of lymphoma. Methods 2021, 188, 105–111. [Google Scholar] [CrossRef] [PubMed]
- Constantino, C.S.; Oliveira, F.P.M.; Silva, M.; Oliveira, C.; Castanheira, J.C.; Silva, Â.; Vaz, S.C.; Vieira, P.; Costa, D.C. Are lesion features reproducible between 18F-FDG PET/CT images when acquired on analog or digital PET/CT scanners? Eur. Radiol. 2020, 31, 3071–3079. [Google Scholar] [CrossRef] [PubMed]
- Schillaci, O.; Urbano, N. Digital PET/CT: A new intriguing chance for clinical nuclear medicine and personalized molecular imaging. Eur. J. Nucl. Med. Mol. Imaging 2019, 46, 1222–1225. [Google Scholar] [CrossRef] [PubMed]
- Honoré d’Este, S.; Andersen, F.L.; Andersen, J.B.; Jakobsen, A.L.; Sanchez Saxtoft, E.; Schulze, C.; Hansen, N.L.; Andersen, K.F.; Reichkendler, M.H.; Højgaard, L.; et al. Potential Clinical Impact of LAFOV PET/CT: A Systematic Evaluation of Image Quality and Lesion Detection. Diagnostics 2023, 13, 3295. [Google Scholar] [CrossRef] [PubMed]
- Mayerhoefer, M.E.; Jaeger, U.; Staber, P.; Raderer, M.; Wadsak, W.; Pfa, S.; Kornauth, C.; Senn, D.; Weber, M.; Wester, H.-J.; et al. [68Ga]Ga-Pentixafor PET/MRI for CXCR4 Imaging of Chronic Lymphocytic Leukemia: Preliminary Results. Investig. Radiol. 2018, 53, 403–408. [Google Scholar] [CrossRef]
- Buck, A.K.; Haug, A.; Dreher, N.; Lambertini, A.; Higuchi, T.; Lapa, C.; Weich, A.; Pomper, M.G.; Wester, H.J.; Zehndner, A.; et al. Imaging of C-X-C Motif Chemokine Receptor 4 Expression in 690 Patients with Solid or Hematologic Neoplasms Using 68Ga-Pentixafor PET. J. Nucl. Med. 2022, 63, 1687–1692. [Google Scholar] [CrossRef]







| First Author | Year | Country | Study Design | Funding Sources | No. of CLL Patients | M/F | Mean Age (Range) | No. of RT Patients |
|---|---|---|---|---|---|---|---|---|
| Bruzzi JF [14] | 2006 | USA | Retrospective | None declared | 37 | 26:11 | 61 (40–82) | 11 (30%) |
| Karam M [15] | 2006 | USA | Retrospective | None declared | 15 | NR | NR | 1 (7%) |
| Taralli S [16] | 2012 | Italy | Retrospective | None declared | 9 | 8:1 | 57.7 (49–70) | 1 (11%) |
| Papajik T [17] | 2014 | Czech Republic | Prospective | None declared | 44 | NR | NR | 8 (18%) |
| Conte MJ [18] | 2014 | USA | Prospective | Jackie S. Taylor Memorial Fund and the University of Iowa/Mayo Clinic Lymphoma SPORE (CA097274) | 272 | 197:75 | 61.5 * (21–91) | 25 (9%) |
| Falchi L [19] | 2014 | USA | Retrospective | None declared | 332 | 218:114 | 68 * (31–85) | 95 (29%) |
| Mauro FR [20] | 2015 | Italy | Retrospective | None declared | 90 | 65:25 | 61.2 * (31–81) | 17 (19%) |
| Michallet AS [21] | 2016 | France | Retrospective | None declared | 240 | 94:146 | 62 (21–91) | 24 (10%) |
| Mato AR [22] | 2019 | USA | Prospective | AbbVie, Inc. and Genentech-Roche, Inc. | 57 | Nr | 67 * (28–85) | 8 (14%) |
| Pontoizeau C [23] | 2020 | France | Retrospective | None declared | 28 | 22:6 | 71 * (36–89) | 28 (100%) |
| Wang Y [24] | 2020 | USA | Retrospective | K12 CA090628 grant from the National Cancer Institute (Paul Calabresi Career Development Award for Clinical Oncology) | 92 | 69:23 | 68 * (43–89) | 25 (27%) |
| Porrazzo M [25] | 2020 | Italy | Retrospective | Associazione Italiana per la Ricerca sul Cancro (AIRC) Foundation Milan, Italy, grant number (AIRC 5 _ 1000 No. 21198) | 40 | 31:9 | 62 * (35–92) | 5 (13%) |
| Albano D [26] | 2021 | Italy | Retrospective | None declared | 80 | 58:22 | 61 (27–83) | 18 (22.5%) |
| Hod K [27] | 2021 | Israel | Retrospective | None declared | 120 ° | 72:48 | 64 | 8 (6.7%) |
| Albano D [28] | 2024 | Italy | Retrospective | None declared | 137 | 103:34 | 62 * | 46 (34%) |
| First Author | Hybrid Imaging | Tomograph | 2-[18F]FDG Mean Injected Activity (MBq) | Uptake Time (min) | Image Analysis | Semiquantitative Parameters |
|---|---|---|---|---|---|---|
| Bruzzi JF [14] | PET/CT | Discovery ST-8, GE Healthcare | 555 | 60 | Visual and semiquantitative | SUVmax |
| Karam M [15] | PET | Advance NXI, GE Healthcare | 592–700 | 45 | Visual and semiquantitative | SUVmax |
| Taralli S [16] | PET/CT | GEMINI DUAL and GEMINI GXL, Philips Medical System | 166–318 | 60 | Visual and semiquantitative | SUVmax |
| Papajik T [17] | PET/CT | Biograph 16 HIREZ, Siemens | 400 | 60 ± 3 | Visual and semiquantitative | SUVmax |
| Conte MJ [18] | PET/CT | NR | NR | NR | Visual and semiquantitative | SUVmax |
| Falchi L [19] | PET and PET/CT | NR | NR | NR | Visual and semiquantitative | SUVmax |
| Mauro FR [20] | PET/CT | NR | NR | NR | Visual and semiquantitative | SUVmax |
| Michallet AS [21] | PET/CT | NR | NR | NR | Visual and semiquantitative | SUVmax |
| Mato AR [22] | PET/CT | NR | NR | NR | Visual and semiquantitative | SUVmax |
| Pontoizeau C [23] | PET/CT | NR | NR | NR | Visual and semiquantitative | SUVmax, MTV, TLG |
| Wang Y [24] | PET | NR | NR | NR | Visual and semiquantitative | SUVmax |
| Porrazzo M [25] | PET/CT | Discovery 710, GE Healthcare | 4 MBq/Kg | 60 ± 10 | Visual and semiquantitative | SUVmax |
| Albano D [26] | PET/CT | Discovery ST or 690, GE Healthcare | 3.5–4.5 MBq/Kg | 60 | Visual and semiquantitative | SUVbw, SUVlbm, SUVbsa, L-L SUV R, L-BP SUV R, MTV, TLG |
| Hod K [27] | PET/CT | GEMINI TF, Philips | 185–370 MBq | 60 | Visual and semiquantitative | SUVmax, SUVmean, SUVmax/SUVliver mean ratio |
| Albano D [28] | PET/CT | Discovery ST or 690, GE Healthcare | 3.5–4.5 MBq/Kg | 60 | Visual and semiquantitative | SUVbw, SUVlbm, SUVbsa, L-L SUV R, L-BP SUV R, MTV, TLG; radiomics (first- and second-order) |
Disclaimer/Publisher’s Note: The statements, opinions and data contained in all publications are solely those of the individual author(s) and contributor(s) and not of MDPI and/or the editor(s). MDPI and/or the editor(s) disclaim responsibility for any injury to people or property resulting from any ideas, methods, instructions or products referred to in the content. |
© 2024 by the authors. Licensee MDPI, Basel, Switzerland. This article is an open access article distributed under the terms and conditions of the Creative Commons Attribution (CC BY) license (https://creativecommons.org/licenses/by/4.0/).
Share and Cite
Albano, D.; Rizzo, A.; Racca, M.; Muoio, B.; Bertagna, F.; Treglia, G. The Diagnostic Performance of 2-[18F]FDG PET/CT in Identifying Richter Transformation in Chronic Lymphocytic Leukemia: An Updated Systematic Review and Bivariate Meta-Analysis. Cancers 2024, 16, 1778. https://doi.org/10.3390/cancers16091778
Albano D, Rizzo A, Racca M, Muoio B, Bertagna F, Treglia G. The Diagnostic Performance of 2-[18F]FDG PET/CT in Identifying Richter Transformation in Chronic Lymphocytic Leukemia: An Updated Systematic Review and Bivariate Meta-Analysis. Cancers. 2024; 16(9):1778. https://doi.org/10.3390/cancers16091778
Chicago/Turabian StyleAlbano, Domenico, Alessio Rizzo, Manuela Racca, Barbara Muoio, Francesco Bertagna, and Giorgio Treglia. 2024. "The Diagnostic Performance of 2-[18F]FDG PET/CT in Identifying Richter Transformation in Chronic Lymphocytic Leukemia: An Updated Systematic Review and Bivariate Meta-Analysis" Cancers 16, no. 9: 1778. https://doi.org/10.3390/cancers16091778
APA StyleAlbano, D., Rizzo, A., Racca, M., Muoio, B., Bertagna, F., & Treglia, G. (2024). The Diagnostic Performance of 2-[18F]FDG PET/CT in Identifying Richter Transformation in Chronic Lymphocytic Leukemia: An Updated Systematic Review and Bivariate Meta-Analysis. Cancers, 16(9), 1778. https://doi.org/10.3390/cancers16091778

