Development and Validation of an Inflammatory Prognostic Index to Predict Outcomes in Advanced/Metastatic Urothelial Cancer Patients Receiving Immune Checkpoint Inhibitors
Abstract
Simple Summary
Abstract
1. Introduction
2. Materials and Methods
3. Results
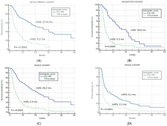
3.1. Development Cohort
3.2. Validation Cohort
3.3. Combined IO Cohort
3.4. Control (Chemotherapy) Cohort
4. Discussion
5. Conclusions
Author Contributions
Funding
Institutional Review Board Statement
Informed Consent Statement
Data Availability Statement
Conflicts of Interest
References
- Saginala, K.; Barsouk, A.; Aluru, J.S.; Rawla, P.; Padala, S.A.; Barsouk, A. Epidemiology of Bladder Cancer. Med. Sci. 2020, 8, 15. [Google Scholar] [CrossRef] [PubMed]
- Powles, T.; Valderrama, B.P.; Gupta, S.; Bedke, J.; Kikuchi, E.; Hoffman-Censits, J.H.; Iyer, G.; Vulsteke, C.; Park, S.H.; Shin, S.J.; et al. LBA6 EV-302/KEYNOTE-A39: Open-Label, Randomized Phase III Study of Enfortumab Vedotin in Combination with Pembrolizumab (EV+P) vs Chemotherapy (Chemo) in Previously Untreated Locally Advanced Metastatic Urothelial Carcinoma (La/MUC). Ann. Oncol. 2023, 34, S1340. [Google Scholar] [CrossRef]
- Hoimes, C.J.; Flaig, T.W.; Milowsky, M.I.; Friedlander, T.W.; Bilen, M.A.; Gupta, S.; Srinivas, S.; Merchan, J.R.; McKay, R.R.; Petrylak, D.P.; et al. Enfortumab Vedotin plus Pembrolizumab in Previously Untreated Advanced Urothelial Cancer. J. Clin. Oncol. 2023, 41, 22–31. [Google Scholar] [CrossRef] [PubMed]
- Bellmunt, J.; von der Maase, H.; Mead, G.M.; Skoneczna, I.; De Santis, M.; Daugaard, G.; Boehle, A.; Chevreau, C.; Paz-Ares, L.; Laufman, L.R.; et al. Randomized Phase III Study Comparing Paclitaxel/Cisplatin/Gemcitabine and Gemcitabine/Cisplatin in Patients with Locally Advanced or Metastatic Urothelial Cancer without Prior Systemic Therapy: EORTC Intergroup Study 30987. J. Clin. Oncol. 2012, 30, 1107–1113. [Google Scholar] [CrossRef] [PubMed]
- Von der Maase, H.; Hansen, S.W.; Roberts, J.T.; Dogliotti, L.; Oliver, T.; Moore, M.J.; Bodrogi, I.; Albers, P.; Knuth, A.; Lippert, C.M.; et al. Gemcitabine and Cisplatin versus Methotrexate, Vinblastine, Doxorubicin, and Cisplatin in Advanced or Metastatic Bladder Cancer: Results of a Large, Randomized, Multinational, Multicenter, Phase III Study. J. Clin. Oncol. 2000, 18, 3068–3077. [Google Scholar] [CrossRef] [PubMed]
- Von der Maase, H.; Sengelov, L.; Roberts, J.T.; Ricci, S.; Dogliotti, L.; Oliver, T.; Moore, M.J.; Zimmermann, A.; Arning, M. Long-Term Survival Results of a Randomized Trial Comparing Gemcitabine plus Cisplatin, with Methotrexate, Vinblastine, Doxorubicin, plus Cisplatin in Patients with Bladder Cancer. J. Clin. Oncol. 2005, 23, 4602–4608. [Google Scholar] [CrossRef]
- De Santis, M.; Bellmunt, J.; Mead, G.; Kerst, J.M.; Leahy, M.; Maroto, P.; Gil, T.; Marreaud, S.; Daugaard, G.; Skoneczna, I.; et al. Randomized Phase II/III Trial Assessing Gemcitabine/Carboplatin and Methotrexate/Carboplatin/Vinblastine in Patients with Advanced Urothelial Cancer Who Are Unfit for Cisplatin-Based Chemotherapy: EORTC Study 30986. J. Clin. Oncol. 2012, 30, 191–199. [Google Scholar] [CrossRef]
- Powles, T.; Park, S.H.; Voog, E.; Caserta, C.; Valderrama, B.P.; Gurney, H.; Kalofonos, H.; Radulović, S.; Demey, W.; Ullén, A.; et al. Avelumab Maintenance Therapy for Advanced or Metastatic Urothelial Carcinoma. N. Engl. J. Med. 2020, 383, 1218–1230. [Google Scholar] [CrossRef]
- Balar, A.V.; Galsky, M.D.; Rosenberg, J.E.; Powles, T.; Petrylak, D.P.; Bellmunt, J.; Loriot, Y.; Necchi, A.; Hoffman-Censits, J.; Perez-Gracia, J.L.; et al. Atezolizumab as First-Line Treatment in Cisplatin-Ineligible Patients with Locally Advanced and Metastatic Urothelial Carcinoma: A Single-Arm, Multicentre, Phase 2 Trial. Lancet 2017, 389, 67–76. [Google Scholar] [CrossRef] [PubMed]
- Balar, A.V.; Castellano, D.E.; Grivas, P.; Vaughn, D.J.; Powles, T.; Vuky, J.; Fradet, Y.; Lee, J.-L.; Fong, L.; Vogelzang, N.J.; et al. Efficacy and Safety of Pembrolizumab in Metastatic Urothelial Carcinoma: Results from KEYNOTE-045 and KEYNOTE-052 after up to 5 Years of Follow-Up. Ann. Oncol. 2023, 34, 289–299. [Google Scholar] [CrossRef]
- Bellmunt, J.; de Wit, R.; Vaughn, D.J.; Fradet, Y.; Lee, J.-L.; Fong, L.; Vogelzang, N.J.; Climent, M.A.; Petrylak, D.P.; Choueiri, T.K.; et al. Pembrolizumab as Second-Line Therapy for Advanced Urothelial Carcinoma. N. Engl. J. Med. 2017, 376, 1015–1026. [Google Scholar] [CrossRef] [PubMed]
- Powles, T.; Morrison, L. Biomarker Challenges for Immune Checkpoint Inhibitors in Urothelial Carcinoma. Nat. Rev. Urol. 2018, 15, 585–587. [Google Scholar] [CrossRef] [PubMed]
- Sharma, P.; Retz, M.; Siefker-Radtke, A.; Baron, A.; Necchi, A.; Bedke, J.; Plimack, E.R.; Vaena, D.; Grimm, M.-O.; Bracarda, S.; et al. Nivolumab in Metastatic Urothelial Carcinoma after Platinum Therapy (CheckMate 275): A Multicentre, Single-Arm, Phase 2 Trial. Lancet Oncol. 2017, 18, 312–322. [Google Scholar] [CrossRef]
- Powles, T.; Assaf, Z.J.; Davarpanah, N.; Banchereau, R.; Szabados, B.E.; Yuen, K.C.; Grivas, P.; Hussain, M.; Oudard, S.; Gschwend, J.E.; et al. CtDNA Guiding Adjuvant Immunotherapy in Urothelial Carcinoma. Nature 2021, 595, 432–437. [Google Scholar] [CrossRef]
- Bi, H.; Tian, Y.; Song, C.; Li, J.; Liu, T.; Chen, Z.; Chen, C.; Huang, Y.; Zhang, Y. Urinary Microbiota—A Potential Biomarker and Therapeutic Target for Bladder Cancer. J. Med. Microbiol. 2019, 68, 1471–1478. [Google Scholar] [CrossRef] [PubMed]
- Vandekerkhove, G.; Lavoie, J.-M.; Annala, M.; Murtha, A.J.; Sundahl, N.; Walz, S.; Sano, T.; Taavitsainen, S.; Ritch, E.; Fazli, L.; et al. Plasma ctDNA is a tumor tissue surrogate and enables clinical-genomic stratification of metastatic bladder cancer. Nat. Commun. 2021, 12, 184. [Google Scholar] [CrossRef] [PubMed]
- Lopez-Beltran, A.; Cimadamore, A.; Blanca, A.; Massari, F.; Vau, N.; Scarpelli, M.; Cheng, L.; Montironi, R. Immune Checkpoint Inhibitors for the Treatment of Bladder Cancer. Cancers 2021, 13, 131. [Google Scholar] [CrossRef]
- Tomlins, S.A.; Khazanov, N.A.; Bulen, B.J.; Hovelson, D.H.; Shreve, M.J.; Lamb, L.E.; Matrana, M.R.; Burkard, M.E.; Yang, E.S.-H.; Edenfield, W.J.; et al. Development and Validation of an Integrative Pan-Solid Tumor Predictor of PD-1/PD-L1 Blockade Benefit. Commun. Med. 2023, 3, 14. [Google Scholar] [CrossRef]
- Ferreiro-Pantín, M.; Anido-Herranz, U.; Betancor, Y.Z.; Cebey-López, V.; León-Mateos, L.; García-González, J.; García-Acuña, S.M.; Fernández-Díaz, N.; Tubio, J.M.C.; López-López, R.; et al. Clinical, Molecular, and Immune Correlates of the Immunotherapy Response Score in Patients with Advanced Urothelial Carcinoma under Atezolizumab Monotherapy: Analysis of the Phase II IMvigor210 Trial. ESMO Open 2023, 8, 101611. [Google Scholar] [CrossRef]
- Hanahan, D.; Weinberg, R.A. Hallmarks of Cancer: The next Generation. Cell 2011, 144, 646–674. [Google Scholar] [CrossRef]
- Ferrucci, P.F.; Ascierto, P.A.; Pigozzo, J.; Del Vecchio, M.; Maio, M.; Antonini Cappellini, G.C.; Guidoboni, M.; Queirolo, P.; Savoia, P.; Mandalà, M.; et al. Baseline Neutrophils and Derived Neutrophil-To-Lymphocyte Ratio: Prognostic Relevance in Metastatic Melanoma Patients Receiving Ipilimumab. Ann. Oncol. 2016, 27, 732–738. [Google Scholar] [CrossRef] [PubMed]
- Weide, B.; Martens, A.; Hassel, J.C.; Berking, C.; Postow, M.A.; Bisschop, K.; Simeone, E.; Mangana, J.; Schilling, B.; Di Giacomo, A.M.; et al. Baseline Biomarkers for Outcome of Melanoma Patients Treated with Pembrolizumab. Clin. Cancer Res. 2016, 22, 5487–5496. [Google Scholar] [CrossRef] [PubMed]
- Sacdalan, D.B.; Lucero, J.A.; Sacdalan, D. Prognostic Utility of Baseline Neutrophil-To-Lymphocyte Ratio in Patients Receiving Immune Checkpoint Inhibitors: A Review and Meta-Analysis. Onco Targets Ther. 2018, 11, 955–965. [Google Scholar] [CrossRef] [PubMed]
- Mezquita, L.; Auclin, E.; Ferrara, R.; Charrier, M.; Remon, J.; Planchard, D.; Ponce, S.; Ares, L.P.; Leroy, L.; Audigier-Valette, C.; et al. Association of the Lung Immune Prognostic Index with Immune Checkpoint Inhibitor Outcomes in Patients with Advanced Non–Small Cell Lung Cancer. JAMA Oncol. 2018, 4, 351. [Google Scholar] [CrossRef] [PubMed]
- Kazandjian, D.; Gong, Y.; Keegan, P.; Pazdur, R.; Blumenthal, G.M. Prognostic Value of the Lung Immune Prognostic Index for Patients Treated for Metastatic Non–Small Cell Lung Cancer. JAMA Oncol. 2019, 5, 1481. [Google Scholar] [CrossRef] [PubMed]
- Benitez, J.C.; Recondo, G.; Rassy, E.; Mezquita, L. The LIPI score and inflammatory biomarkers for selection of patients with solid tumors treated with checkpoint inhibitors. Q. J. Nucl. Med. Mol. Imaging 2020, 64, 162–174. [Google Scholar] [CrossRef]
- Meyers, D.E.; Stukalin, I.; Vallerand, I.A.; Lewinson, R.T.; Suo, A.; Dean, M.; North, S.; Pabani, A.; Cheng, T.; Heng, D.Y.C.; et al. The Lung Immune Prognostic Index Discriminates Survival Outcomes in Patients with Solid Tumors Treated with Immune Checkpoint Inhibitors. Cancers 2019, 11, 1713. [Google Scholar] [CrossRef]
- Parent, P.; Auclin, E.; Patrikidou, A.; Mezquita, L.; Martínez Chanzá, N.; Dumont, C.; Rodriguez-Vida, A.; Llacer, C.; Lozano, R.; Ratta, R.; et al. Prognostic Value of the Lung Immune Prognosis Index Score for Patients Treated with Immune Checkpoint Inhibitors for Advanced or Metastatic Urinary Tract Carcinoma. Cancers 2023, 15, 1066. [Google Scholar] [CrossRef]
- Bilen, M.A.; Martini, D.J.; Liu, Y.; Lewis, C.M.; Collins, H.; Shabto, J.M.; Akce, M.; Kissick, H.T.; Carthon, B.C.; Shaib, W.L.; et al. The Prognostic and Predictive Impact of Inflammatory Biomarkers in Patients Who Have Advanced-Stage Cancer Treated with Immunotherapy. Cancer 2019, 125, 127–134. [Google Scholar] [CrossRef]
- Olgun, P.; Diker, O. Sixth-Week Immune-Nutritional-Inflammatory Biomarkers: Can They Predict Clinical Outcomes in Patients with Advanced Non-Small Cell Lung Cancer Treated with Immune Checkpoint Inhibitors? Curr. Oncol. 2023, 30, 10539–10549. [Google Scholar] [CrossRef] [PubMed]
- Bellmunt, J.; Choueiri, T.K.; Fougeray, R.; Schutz, F.A.B.; Salhi, Y.; Winquist, E.; Culine, S.; von der Maase, H.; Vaughn, D.J.; Rosenberg, J.E. Prognostic Factors in Patients with Advanced Transitional Cell Carcinoma of the Urothelial Tract Experiencing Treatment Failure with Platinum-Containing Regimens. J. Clin. Oncol. 2010, 28, 1850–1855. [Google Scholar] [CrossRef] [PubMed]
- Bamias, A.; Merseburger, A.; Loriot, Y.; James, N.; Choy, E.; Castellano, D.; Lopez-Rios, F.; Calabrò, F.; Kramer, M.; de Velasco, G.; et al. New prognostic model in patients with advanced urothelial carcinoma treated with second-line immune checkpoint inhibitors. J. Immunother Cancer 2023, 11, e005977. [Google Scholar] [CrossRef] [PubMed]



| Characteristics | ICI Cohort N = 424 | Chemo N = 160 |
|---|---|---|
| Gender (n, %) | ||
| Male | 337(79) | 127 (79) |
| Female | 87 (21) | 33 (21) |
| Age at treatment start (years) (median, range) | ||
| 68 (37–92) | - | |
| Smoking history (n, %) | ||
| Never | 89 (21) | 32 (20) |
| Current | 199 (47) | 75 (47) |
| Former | 93 (22) | 24 (15) |
| Unknown | 43 (10) | 29 (18) |
| PD-L1 status (n, %) | ||
| Positive | 46 (11) | NA |
| Negative | 62 (15) | 7 (4) |
| Unknown | 316 (74) | 153 (96) |
| Primary tumour (n, %) | ||
| Upper tract (pyelocaliceal cavities, ureter) | 75 (18) | 34 (21) |
| Lower tract (bladder, urethra) | 299 (70) | 125 (78) |
| Mixed | 5 (1) | 1 (1) |
| Unknown | 45 (11) | 0 |
| Histology (n, %) | ||
| TCC | 351 (83) | 131 (82) |
| SCC | 12 (3) | 16 (10) |
| Other | 13 (3) | 8 (5) |
| Unknown | 48 (11) | 5 (3) |
| Type of chemo treatment (n, %) | ||
| Platinum-based therapy | - | 87 (54) |
| Gemcitabine only | - | 1 (1) |
| Vinflunine only | - | 9 (6) |
| Paclitaxel only | - | 6 (4) |
| Other | - | 57(35) |
| Type of ICI treatment (n, %) | ||
| PD-L1 inhibitor | 204 (48) | - |
| PD-1 inhibitor | 220 (52) | - |
| Number of metastatic sites (median, range) | 2 (0–6) | 2 (0–24) |
| IO line (median, range) | 2 (1–6) | - |
| Pretreatment performance status (ECOG) (n, %) | ||
| 0 | 169 (40) | 33 (21) |
| 1–2 | 242 (57) | 42 (26) |
| ≥3 | 8 (2) | 1 (1) |
| Unknown | 5 (1) | 84 (52) |
| Circulating inflammatory markers (median, range) | ||
| Baseline platelets | 250 (32.3–796) | 317 (52–617,000) |
| Baseline neutrophils | 4.9 (1.0–27.6) | 6.54 (1.09–15,110) |
| Baseline lymphocytes | 1.3 (0.2–4.5) | 1.7 (0.11–3290) |
| Last known status (n, %) | ||
| Deceased | 269 (63) | 115 (72) |
| Alive | 155 (37) | 45 (28) |
| Radiological response (n, %) | ||
| Complete response | 38 (9) | 10 (6) |
| Partial response | 75 (18) | 30 (19) |
| Stable disease | 91 (21) | 14 (9) |
| Progressive disease | 193 (46) | 17 (11) |
| Non evaluable | 27 (6) | 89 (55) |
| Overall survival (Days) (median, range) | 260.5 (4–3162) | 365 (28–2898) |
Disclaimer/Publisher’s Note: The statements, opinions and data contained in all publications are solely those of the individual author(s) and contributor(s) and not of MDPI and/or the editor(s). MDPI and/or the editor(s) disclaim responsibility for any injury to people or property resulting from any ideas, methods, instructions or products referred to in the content. |
© 2024 by the authors. Licensee MDPI, Basel, Switzerland. This article is an open access article distributed under the terms and conditions of the Creative Commons Attribution (CC BY) license (https://creativecommons.org/licenses/by/4.0/).
Share and Cite
Mokbel, S.; Baciarello, G.; Lavaud, P.; Omlin, A.; Calabrò, F.; Cathomas, R.; Aeppli, S.; Parent, P.; Giannatempo, P.; Koster, K.-L.; et al. Development and Validation of an Inflammatory Prognostic Index to Predict Outcomes in Advanced/Metastatic Urothelial Cancer Patients Receiving Immune Checkpoint Inhibitors. Cancers 2024, 16, 1465. https://doi.org/10.3390/cancers16081465
Mokbel S, Baciarello G, Lavaud P, Omlin A, Calabrò F, Cathomas R, Aeppli S, Parent P, Giannatempo P, Koster K-L, et al. Development and Validation of an Inflammatory Prognostic Index to Predict Outcomes in Advanced/Metastatic Urothelial Cancer Patients Receiving Immune Checkpoint Inhibitors. Cancers. 2024; 16(8):1465. https://doi.org/10.3390/cancers16081465
Chicago/Turabian StyleMokbel, Sara, Giuilia Baciarello, Pernelle Lavaud, Aurelius Omlin, Fabio Calabrò, Richard Cathomas, Stefanie Aeppli, Pauline Parent, Patrizia Giannatempo, Kira-Lee Koster, and et al. 2024. "Development and Validation of an Inflammatory Prognostic Index to Predict Outcomes in Advanced/Metastatic Urothelial Cancer Patients Receiving Immune Checkpoint Inhibitors" Cancers 16, no. 8: 1465. https://doi.org/10.3390/cancers16081465
APA StyleMokbel, S., Baciarello, G., Lavaud, P., Omlin, A., Calabrò, F., Cathomas, R., Aeppli, S., Parent, P., Giannatempo, P., Koster, K.-L., Appel, N., Gonnet, P., Angius, G., Tsantoulis, P., Arkenau, H.-T., Cattrini, C., Messina, C., Zeghondy, J., Morelli, C., ... Patrikidou, A. (2024). Development and Validation of an Inflammatory Prognostic Index to Predict Outcomes in Advanced/Metastatic Urothelial Cancer Patients Receiving Immune Checkpoint Inhibitors. Cancers, 16(8), 1465. https://doi.org/10.3390/cancers16081465

