Ocular Motor Cranial Nerve Palsies and Increased Risk of Primary Malignant Brain Tumors: South Korean National Health Insurance Data
Abstract
Simple Summary
Abstract
1. Introduction
2. Materials and Methods
2.1. Data Source
2.2. Study Population
2.3. Variables
2.4. Statistical Analysis
3. Results
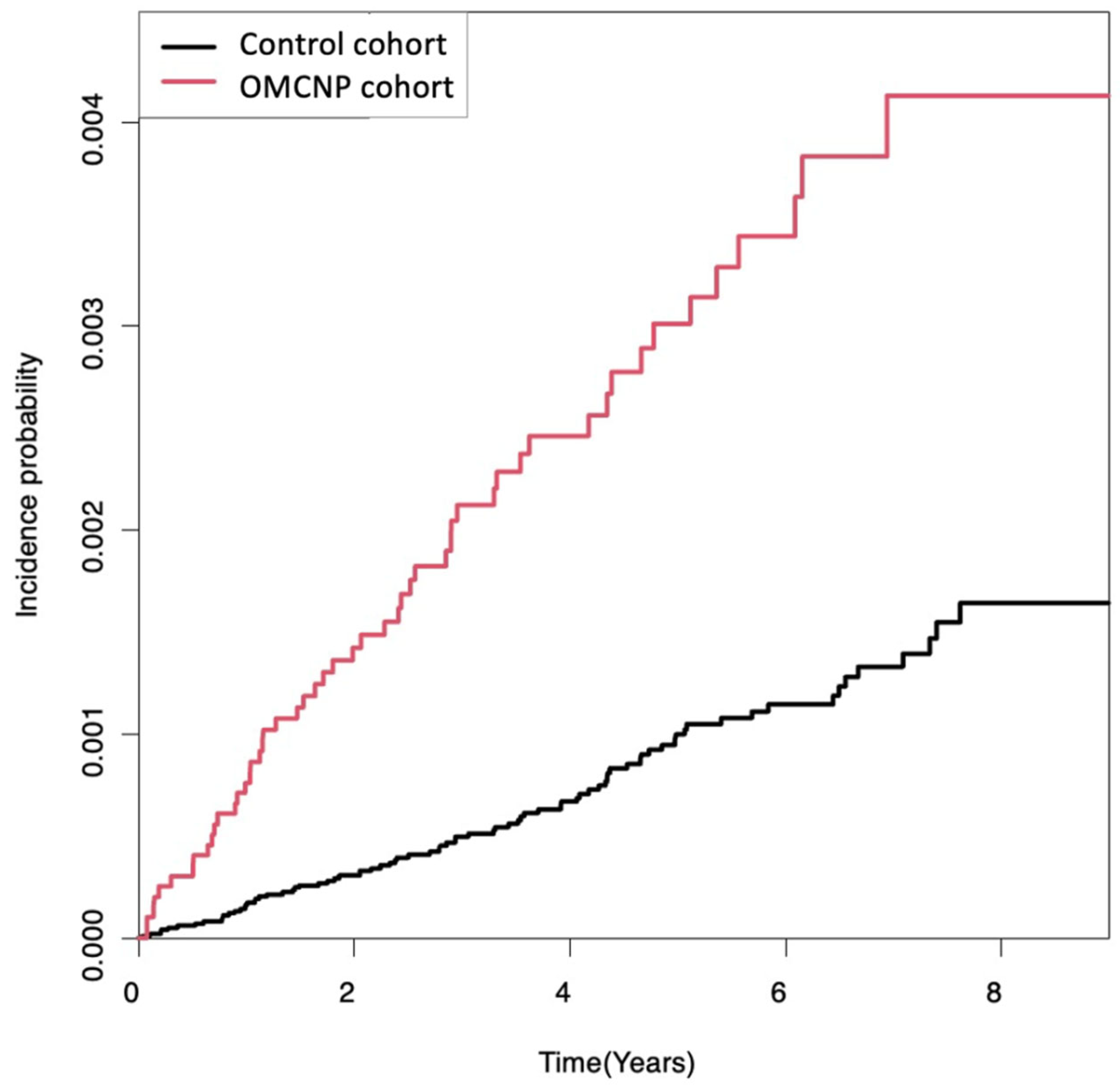
3.1. Risk of Primary Malignant Brain Tumors According to the Presence of OMCNP
3.2. Hazard Ratio with a Further Time Lag
3.3. Locations of Primary Malignant Brain Tumors
3.4. Subgroup Analysis
4. Discussion
5. Conclusions
Author Contributions
Funding
Institutional Review Board Statement
Informed Consent Statement
Data Availability Statement
Conflicts of Interest
References
- Fernandez, P.M.; Brem, S. Malignant brain tumors in the elderly. Clin. Geriatr. Med. 1997, 13, 327–338. [Google Scholar] [CrossRef]
- Salcman, M. The morbidity and mortality of brain tumors. A perspective on recent advances in therapy. Neurol. Clin. 1985, 3, 229–257. [Google Scholar] [CrossRef] [PubMed]
- McNeill, K.A. Epidemiology of Brain Tumors. Neurol. Clin. 2016, 34, 981–998. [Google Scholar] [CrossRef] [PubMed]
- Suarez-Meade, P.; Marenco-Hillembrand, L.; Sherman, W.J. Neuro-oncologic Emergencies. Curr. Oncol. Rep. 2022, 24, 975–984. [Google Scholar] [CrossRef] [PubMed]
- Louis, D.N.; Perry, A.; Reifenberger, G.; von Deimling, A.; Figarella-Branger, D.; Cavenee, W.K.; Ohgaki, H.; Wiestler, O.D.; Kleihues, P.; Ellison, D.W. The 2016 World Health Organization Classification of Tumors of the Central Nervous System: A summary. Acta Neuropathol. 2016, 131, 803–820. [Google Scholar] [CrossRef] [PubMed]
- Louis, D.N.; Perry, A.; Wesseling, P.; Brat, D.J.; Cree, I.A.; Figarella-Branger, D.; Hawkins, C.; Ng, H.K.; Pfister, S.M.; Reifenberger, G.; et al. The 2021 WHO Classification of Tumors of the Central Nervous System: A summary. Neuro Oncol. 2021, 23, 1231–1251. [Google Scholar] [CrossRef] [PubMed]
- Ohana, N.; Benharroch, D.; Sheinis, D.; Cohen, A. Traumatic glioblastoma: Commentary and suggested mechanism. J. Int. Med. Res. 2018, 46, 2170–2176. [Google Scholar] [CrossRef] [PubMed]
- Shah, D.S.; Sanan, A.; Morell, A.A.; Eichberg, D.G.; Shah, A.H.; Luther, E.; Lu, V.M.; Elarjani, T.; Higgins, D.M.O.; Patel, N.V.; et al. Traumatic brain injury and subsequent brain tumor development: A systematic review of the literature. Neurosurg. Rev. 2022, 45, 3003–3018. [Google Scholar] [CrossRef] [PubMed]
- Ostrom, Q.T.; Adel Fahmideh, M.; Cote, D.J.; Muskens, I.S.; Schraw, J.M.; Scheurer, M.E.; Bondy, M.L. Risk factors for childhood and adult primary brain tumors. Neuro Oncol. 2019, 21, 1357–1375. [Google Scholar] [CrossRef]
- Wrensch, M.; Minn, Y.; Chew, T.; Bondy, M.; Berger, M.S. Epidemiology of primary brain tumors: Current concepts and review of the literature. Neuro Oncol. 2002, 4, 278–299. [Google Scholar] [CrossRef]
- Moon, J. The relationship between radiofrequency-electromagnetic radiation from cell phones and brain tumor: The brain tumor incidence trends in South Korea. Environ. Res. 2023, 226, 115657. [Google Scholar] [CrossRef] [PubMed]
- Vienne-Jumeau, A.; Tafani, C.; Ricard, D. Environmental risk factors of primary brain tumors: A review. Rev. Neurol. 2019, 175, 664–678. [Google Scholar] [CrossRef] [PubMed]
- Perkins, A.; Liu, G. Primary Brain Tumors in Adults: Diagnosis and Treatment. Am. Fam. Physician 2016, 93, 211–217. [Google Scholar] [PubMed]
- Dalaqua, M.; do Nascimento, F.B.P.; Miura, L.K.; Reis, F.; Garcia, M.R.T.; Barbosa Júnior, A.A. Magnetic resonance imaging of the cranial nerves in congenital, traumatic, and vascular diseases: A pictorial essay. Radiol. Bras. 2021, 54, 185–192. [Google Scholar] [CrossRef]
- Mwanza, J.C.; Ngweme, G.B.; Kayembe, D.L. Ocular motor nerve palsy: A clinical and etiological study. Indian. J. Ophthalmol. 2006, 54, 173–175. [Google Scholar] [CrossRef]
- Klein Hesselink, T.; Gutter, M.; Polling, J.R. Neurological Imaging in Acquired Cranial Nerve Palsy: Ophthalmologists vs. Neurologists. Strabismus 2017, 25, 134–139. [Google Scholar] [CrossRef] [PubMed]
- Park, K.A.; Oh, S.Y.; Min, J.H.; Kim, B.J.; Kim, Y. Cause of acquired onset of diplopia due to isolated third, fourth, and sixth cranial nerve palsies in patients aged 20 to 50 years in Korea: A high resolution magnetic resonance imaging study. J. Neurol. Sci. 2019, 407, 116546. [Google Scholar] [CrossRef]
- Choi, K.D.; Choi, S.Y.; Kim, J.S.; Choi, J.H.; Yang, T.H.; Oh, S.Y.; Kim, S.H.; Lee, H.S.; Lee, S.H.; Jeong, S.H.; et al. Acquired Ocular Motor Nerve Palsy in Neurology Clinics: A Prospective Multicenter Study. J. Clin. Neurol. 2019, 15, 221–227. [Google Scholar] [CrossRef]
- Liu, G.T.; Volpe, N.J.; Galetta, S.L. Liu, Volpe, and Galetta’s Neuro-Ophthalmology: Diagnosis and Management, 3rd ed.; Elsevier: Philadelphia, PA, USA, 2018. [Google Scholar]
- Ostrom, Q.T.; Cioffi, G.; Waite, K.; Kruchko, C.; Barnholtz-Sloan, J.S. CBTRUS Statistical Report: Primary Brain and Other Central Nervous System Tumors Diagnosed in the United States in 2014–2018. Neuro Oncol. 2021, 23, iii1–iii105. [Google Scholar] [CrossRef]
- Hörner, R.; Kassubek, J.; Dreyhaupt, J.; Ludolph, A.C. The spectrum and differential diagnosis of acquired ocular motor nerve palsies: A clinical study of 502 patients. J. Neurol. 2022, 269, 2140–2148. [Google Scholar] [CrossRef]
- Khandia, R.; Munjal, A. Interplay between inflammation and cancer. Adv. Protein Chem. Struct. Biol. 2020, 119, 199–245. [Google Scholar] [PubMed]
- Singh, N.; Baby, D.; Rajguru, J.P.; Patil, P.B.; Thakkannavar, S.S.; Pujari, V.B. Inflammation and cancer. Ann. Afr. Med. 2019, 18, 121–126. [Google Scholar] [CrossRef] [PubMed]
- Coussens, L.M.; Werb, Z. Inflammation and cancer. Nature 2002, 420, 860–867. [Google Scholar] [CrossRef] [PubMed]
- Elinav, E.; Nowarski, R.; Thaiss, C.A.; Hu, B.; Jin, C.; Flavell, R.A. Inflammation-induced cancer: Crosstalk between tumours, immune cells and microorganisms. Nat. Rev. Cancer 2013, 13, 759–771. [Google Scholar] [CrossRef] [PubMed]
- Woodcock, T.; Morganti-Kossmann, M.C. The role of markers of inflammation in traumatic brain injury. Front. Neurol. 2013, 4, 18. [Google Scholar] [CrossRef] [PubMed]
- Lin, Y.; Wen, L. Inflammatory response following diffuse axonal injury. Int. J. Med. Sci. 2013, 10, 515–521. [Google Scholar] [CrossRef]
- Dandachi, D.; Ostrom, Q.T.; Chong, I.; Serpa, J.A.; Giordano, T.P.; Kruchko, C.; Barnholtz-Sloan, J.S.; Fowler, N.; Colen, R.R.; Morón, F.E. Primary central nervous system lymphoma in patients with and without HIV infection: A multicenter study and comparison with U.S national data. Cancer Causes Control 2019, 30, 477–488. [Google Scholar] [CrossRef]
- Blumenthal, D.T.; Raizer, J.J.; Rosenblum, M.K.; Bilsky, M.H.; Hariharan, S.; Abrey, L.E. Primary intracranial neoplasms in patients with HIV. Neurology 1999, 52, 1648–1651. [Google Scholar] [CrossRef]
- Park, B.; Ahn, K.H.; Choi, Y.; Kim, J.H.; Seong, H.; Kim, Y.J.; Choi, J.Y.; Song, J.Y.; Lee, E.; Jun, Y.H.; et al. Cancer Incidence Among Adults With HIV in a Population-Based Cohort in Korea. JAMA Netw. Open 2022, 5, e2224897. [Google Scholar] [CrossRef]
- Yoo, M.; Wang, J.S.; Park, S.J.; Cha, J.O.; Jung, Y.; Chung, Y.S.; Han, M.G.; Choi, B.S.; Kim, S.S.; Kee, M.K. Characteristics of recent HIV infection among individuals newly diagnosed as HIV-positive in South Korea (2008–2015). Sci. Rep. 2022, 12, 10515. [Google Scholar] [CrossRef]


| Total N = 118,686 | Control Cohort N = 98,905 | OMCNP Cohort N = 19,781 | p-Value | |
|---|---|---|---|---|
| Sex, men, N (%) | 74,778 (63.0) | 62,315 (63.0) | 12,463 (63.0) | 1.0000 |
| Age, years | 59.82 ± 13.05 | 59.82 ± 13.05 | 59.82 ± 13.05 | |
| ≥65 years, N (%) | 47,394 (39.93) | 39,495 (39.93) | 7899 (39.93) | 1.0000 |
| Smoking, N (%) | 26,318 (22.17) | 22,014 (22.26) | 4304 (21.76) | 0.1227 |
| Drinking, N (%) | 51,462 (43.36) | 43,451 (43.93) | 8011 (40.50) | <0.0001 |
| Regular physical activity, N (%) | 25,379 (21.38) | 21,104 (21.34) | 4275 (21.61) | 0.3909 |
| Low income, N (%) | 23,973 (20.20) | 20,126 (20.35) | 3847 (19.45) | 0.0040 |
| Obesity, N (%) | 44,288 (37.32) | 36,386 (36.79) | 7902 (39.95) | <0.0001 |
| Diabetes mellitus, N (%) | 21,978 (18.52) | 16,029 (16.21) | 5949 (30.07) | <0.0001 |
| Hypertension, N (%) | 53,620 (45.18) | 43,508 (43.99) | 10,112 (51.12) | <0.0001 |
| Dyslipidemia, N (%) | 39,819 (33.55) | 31,729 (32.08) | 8090 (40.90) | <0.0001 |
| Chronic kidney disease, N (%) | 8970 (7.56) | 7350 (7.43) | 1620 (8.19) | 0.0002 |
| HIV infection, N (%) | 8 (0.01) | 5 (0.01) | 3 (0.02) | 0.1138 |
| Number | Event | Person-Years (PYs) | Incidence Rate (per 1000 PYs) | HR (95% CI) | |||
|---|---|---|---|---|---|---|---|
| Model 1 | Model 2 | Model 3 | |||||
| Control cohort | 98,905 | 81 | 437,474.19 | 0.185 | 1 (reference) | 1 (reference) | 1 (reference) |
| OMCNP cohort | 19,781 | 52 | 86,700.57 | 0.600 | 3.239 (2.287, 4.589) | 3.241 (2.288, 4.591) | 3.272 (2.294, 4.665) |
| Number | Event | Person-Years (PYs) | Incidence Rate (per 1000 PYs) | HR (95% CI) | ||||
|---|---|---|---|---|---|---|---|---|
| Model 1 | Model 2 | Model 3 | ||||||
| 3-year time lag | Control cohort | 79,889 | 44 | 245,254.96 | 0.179 | 1 (reference) | 1 (reference) | 1 (reference) |
| OMCNP cohort | 15,853 | 21 | 48,276.43 | 0.435 | 2.425 (1.442, 4.078) | 2.425 (1.442, 4.077) | 2.39 (1.406, 4.061) | |
| 5-year time lag | Control cohort | 50,482 | 20 | 112,716.58 | 0.177 | 1 (reference) | 1 (reference) | 1 (reference) |
| OMCNP cohort | 9925 | 8 | 22,090.85 | 0.362 | 2.041 (0.899, 4.634) | 2.042 (0.900, 4.637) | 2.055 (0.892, 4.735) | |
| Locations | Total | Control Cohort | OMCNP Cohort | |
|---|---|---|---|---|
| Event/Number | 133/118,686 | 81/98,905 | 52/19,781 | p-Value |
| 0.0047 | ||||
| Meninges | 16 (12%) | 4 (5.0%) | 12 (23.1%) | |
| Brain parenchyma | 104 (78.2%) | 70 (86.4%) | 34 (65.4%) | |
| Other central nerve system | 13 (9.8%) | 7 (8.6%) | 6 (11.5%) |
| Subgroups | HR (95% CI) | p for Interaction | |
|---|---|---|---|
| Sex | Men | 2.441 (1.532, 3.889) | 0.0440 |
| Women | 5.118 (2.933, 8.932) | ||
| Age | <65 years | 6.951 (3.995, 12.094) | 0.0006 |
| ≥65 years | 1.899 (1.158, 3.114) | ||
| Smoking | No | 3.420 (2.308, 5.067) | 0.6162 |
| Yes | 2.724 (1.219, 6.086) | ||
| Drinking | No | 3.150 (2.022, 4.905) | 0.7765 |
| Yes | 3.497 (1.961, 6.236) | ||
| Regular physical activity | No | 3.049 (2.030, 4.580) | 0.4769 |
| Yes | 4.096 (2.012, 8.340) | ||
| Low income | No | 2.924 (1.949, 4.387) | 0.2446 |
| Yes | 4.762 (2.316, 9.793) | ||
| Obesity | No | 3.664 (2.372, 5.661) | 0.3907 |
| Yes | 2.657 (1.459, 4.837) | ||
| Diabetes | No | 3.531 (2.334, 5.342) | 0.4985 |
| Yes | 2.696 (1.388, 5.235) | ||
| Hypertension | No | 3.646 (2.247, 5.917) | 0.5257 |
| Yes | 2.909 (1.746, 4.846) | ||
| Dyslipidemia | No | 3.656 (2.423, 5.518) | 0.3173 |
| Yes | 2.450 (1.249, 4.807) | ||
| Chronic kidney disease | No | 3.258 (2.247, 4.724) | 0.9401 |
| Yes | 3.412 (1.080, 10.783) | ||
Disclaimer/Publisher’s Note: The statements, opinions and data contained in all publications are solely those of the individual author(s) and contributor(s) and not of MDPI and/or the editor(s). MDPI and/or the editor(s) disclaim responsibility for any injury to people or property resulting from any ideas, methods, instructions or products referred to in the content. |
© 2024 by the authors. Licensee MDPI, Basel, Switzerland. This article is an open access article distributed under the terms and conditions of the Creative Commons Attribution (CC BY) license (https://creativecommons.org/licenses/by/4.0/).
Share and Cite
Lyu, I.J.; Han, K.; Park, K.-A.; Oh, S.Y. Ocular Motor Cranial Nerve Palsies and Increased Risk of Primary Malignant Brain Tumors: South Korean National Health Insurance Data. Cancers 2024, 16, 781. https://doi.org/10.3390/cancers16040781
Lyu IJ, Han K, Park K-A, Oh SY. Ocular Motor Cranial Nerve Palsies and Increased Risk of Primary Malignant Brain Tumors: South Korean National Health Insurance Data. Cancers. 2024; 16(4):781. https://doi.org/10.3390/cancers16040781
Chicago/Turabian StyleLyu, In Jeong, Kyungdo Han, Kyung-Ah Park, and Sei Yeul Oh. 2024. "Ocular Motor Cranial Nerve Palsies and Increased Risk of Primary Malignant Brain Tumors: South Korean National Health Insurance Data" Cancers 16, no. 4: 781. https://doi.org/10.3390/cancers16040781
APA StyleLyu, I. J., Han, K., Park, K.-A., & Oh, S. Y. (2024). Ocular Motor Cranial Nerve Palsies and Increased Risk of Primary Malignant Brain Tumors: South Korean National Health Insurance Data. Cancers, 16(4), 781. https://doi.org/10.3390/cancers16040781

